Leaf Color Chart-Based Nitrogen Management Affects Rice Enzyme Activities and Maintains Soil Nitrogen Balance
Abstract
1. Introduction
2. Materials and Methods
2.1. Experimental Materials and Field Site
2.2. Experimental Design and Agronomic Management
2.3. Leaf Color Chart Value
2.4. Enzyme Activities
2.5. Grain Yield and Nitrogen Uptake
2.6. Gaseous Nitrogen Emissions
2.7. Nitrogen Content in Paddy Soil, Nitrogen Leaching and Runoff
2.8. Atmospheric Nitrogen Deposition and Nitrogen Content in Irrigation Water
2.9. Statistical Analysis of Data
3. Results
3.1. Leaf Color Chart (LCC) Value and Nitrogen Reduction Amount
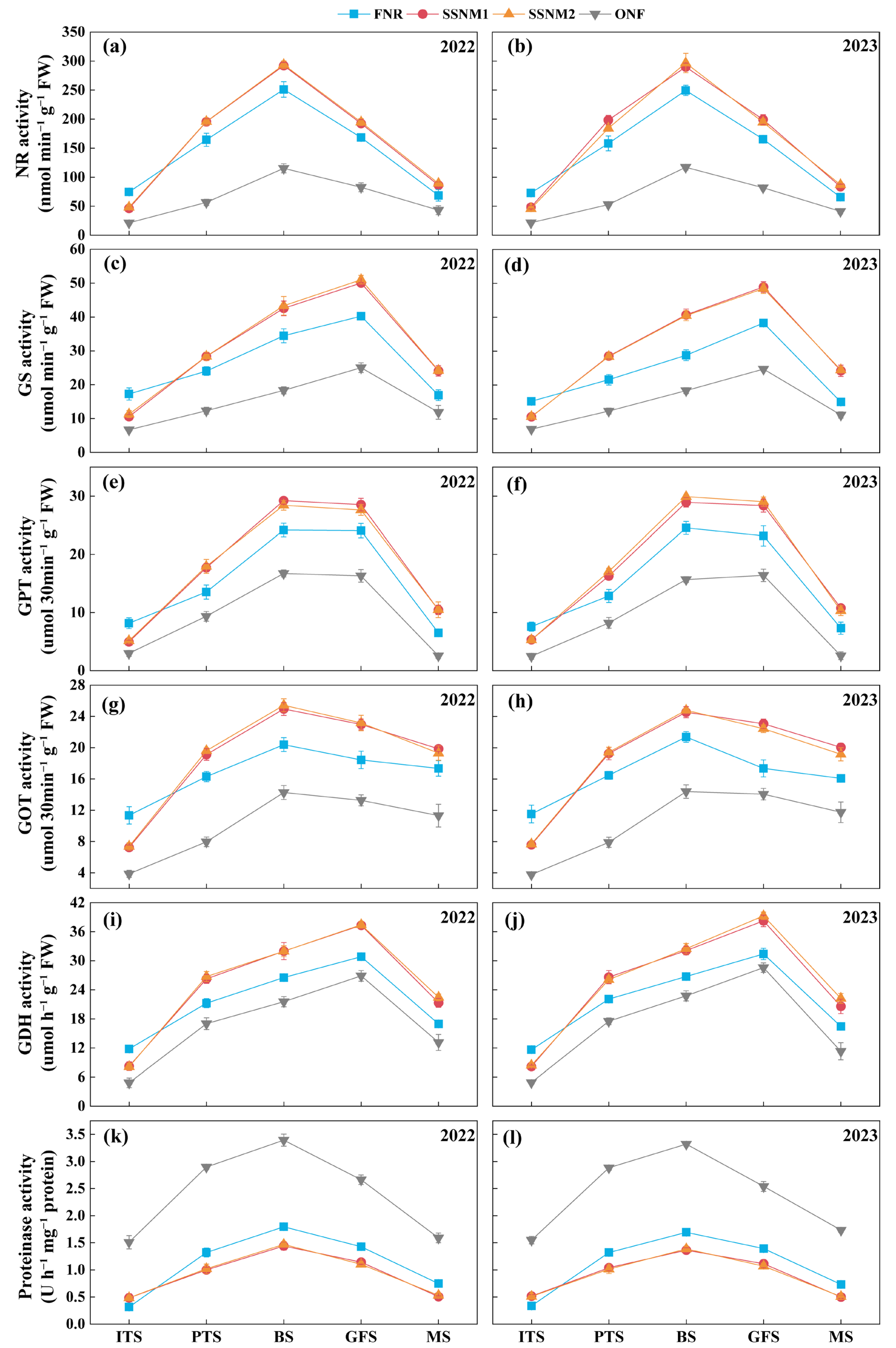
3.2. Nitrogen Metabolism-Related Enzyme Activities in Rice Leaves
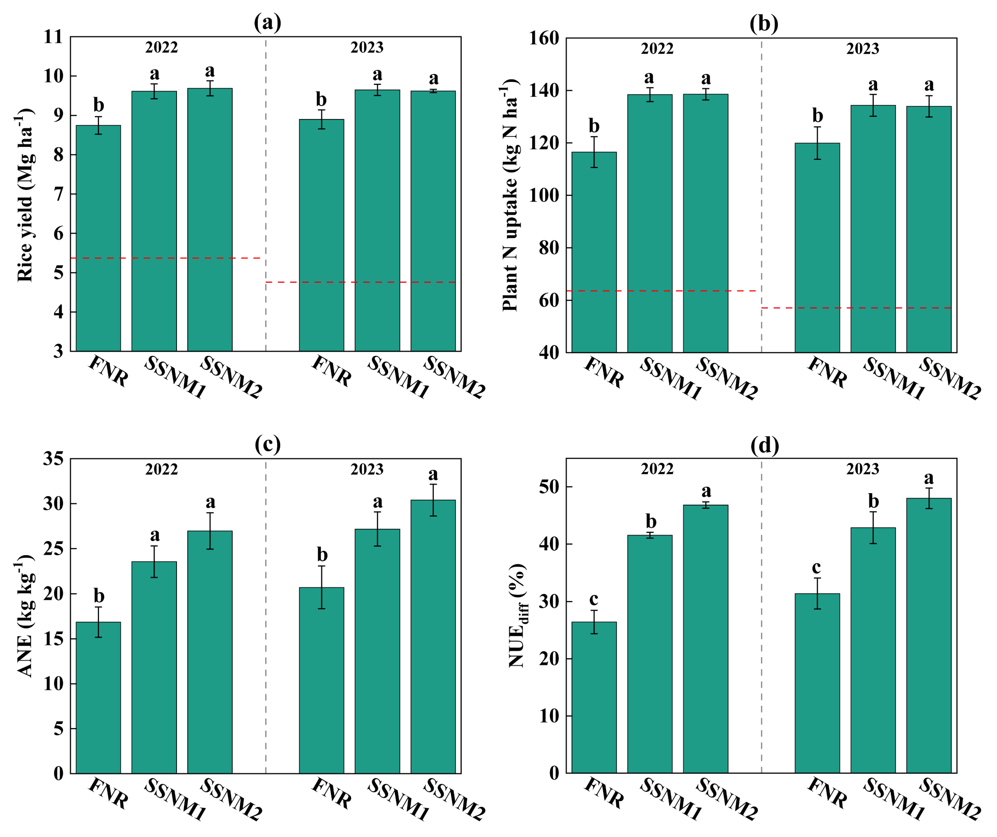
3.3. Rice Yield and Nitrogen Use Efficiency
3.4. Gaseous Nitrogen Emissions from Rice Fields
3.5. Nitrogen Leaching and Runoff in Rice Fields
3.6. Nitrogen Content in Paddy Soil
3.7. Nitrogen Balance in Rice Fields
4. Discussion
4.1. Effects of Leaf Color Chart-Based N Management on Enzyme Activities, N Utilization and Rice Yield
4.2. Effects of Leaf Color Chart-Based N Management on Reactive N Losses in Rice Fields
4.3. Effects of Leaf Color Chart-Based N Management on Soil N Balance
4.4. Uncertainty and Limitations
5. Conclusions
Supplementary Materials
Author Contributions
Funding
Data Availability Statement
Conflicts of Interest
References
- Zhang, J.S.; Zhang, F.P.; Yang, J.H.; Wang, J.P.; Cai, M.L.; Li, C.F.; Cao, C.G. Emissions of N2O and NH3, and nitrogen leaching from direct seeded rice under different tillage practices in central China. Agric. Ecosyst. Environ. 2011, 140, 164–173. [Google Scholar] [CrossRef]
- Ludemann, C.I.; Gruere, A.; Heffer, P.; Dobermann, A. Global data on fertilizer use by crop and by country. Sci. Data 2022, 9, 501. [Google Scholar] [CrossRef]
- Lowder, S.K.; Skoet, J.; Raney, T. The number, size, and distribution of farms, smallholder farms, and family farms worldwide. World Dev. 2016, 87, 16–29. [Google Scholar] [CrossRef]
- Wu, Y.; Xi, X.; Tang, X.; Luo, D.; Gu, B.; Lam, S.K.; Vitousek, P.M.; Chen, D. Policy distortions, farm size, and the overuse of agricultural chemicals in China. Proc. Natl. Acad. Sci. USA 2018, 115, 7010–7015. [Google Scholar] [CrossRef]
- Kanter, D.R.; Bell, A.R.; Mcdermid, S.S. Precision agriculture for smallholder nitrogen management. One Earth 2019, 1, 281–284. [Google Scholar] [CrossRef]
- Miao, X.K.; Xing, X.M.; Ding, Y.F.; Ke, J.; Liu, Z.H.; Tang, S.; Ding, C.Q.; Wang, S.H.; Li, G.H. Yield and nitrogen uptake of bowl-seedling machine-transplanted rice with slow-release nitrogen fertilizer. Agron. J. 2016, 108, 313–320. [Google Scholar] [CrossRef]
- Quan, Z.; Xin, Z.; Fang, Y.; Davidson, E.A. Different quantification approaches for nitrogen use efficiency lead to divergent estimates with varying advantages. Nat. Food 2021, 2, 241–245. [Google Scholar] [CrossRef]
- Ma, R.; Yu, K.; Xiao, S.; Liu, S.; Ciais, P.; Zou, J. Data-driven estimates of fertilizer-induced soil NH3, NO and N2O emissions from croplands in China and their climate change impacts. Glob. Change Biol. 2022, 28, 1008–1022. [Google Scholar] [CrossRef]
- Gu, B.; Zhang, X.; Lam, S.K.; Yu, Y.; van Grinsven, H.J.M.; Zhang, S.; Wang, X.; Bodirsky, B.L.; Wang, S.; Duan, J.; et al. Cost-effective mitigation of nitrogen pollution from global croplands. Nature 2023, 613, 77–84. [Google Scholar] [CrossRef]
- Yin, Y.; Zhao, R.; Yang, Y.; Meng, Q.; Ying, H.; Cassman, K.G.; Cong, W.; Tian, X.; He, K.; Wang, Y.; et al. A steady-state N balance approach for sustainable smallholder farming. Proc. Natl. Acad. Sci. USA 2021, 118, e2106576118. [Google Scholar] [CrossRef]
- Bhatia, A.; Pathak, H.; Jain, N.; Singh, P.K.; Tomer, R. Greenhouse gas mitigation in rice–wheat system with leaf color chart-based urea application. Environ. Monit. Assess. 2012, 184, 3095–3107. [Google Scholar] [CrossRef]
- Zhang, K.; Yuan, Z.; Yang, T.; Lu, Z.; Cao, Q.; Tian, Y.; Zhu, Y.; Cao, W.; Liu, X. Chlorophyll meter–based nitrogen fertilizer optimization algorithm and nitrogen nutrition index for in-season fertilization of paddy rice. Agron. J. 2020, 112, 288–300. [Google Scholar] [CrossRef]
- Mohanty, S.; Nayak, A.K.; Bhaduri, D.; Swain, C.K.; Kumar, A.; Tripathi, R.; Shahid, M.; Behera, K.K.; Pathak, H. Real-time application of neem-coated urea for enhancing N-use efficiency and minimizing the yield gap between aerobic direct-seeded and puddled transplanted rice. Field Crop. Res. 2021, 264, 108072. [Google Scholar] [CrossRef]
- Yogendra, N.D.; Kumara, B.H.; Chandrashekar, N.; Prakash, N.B.; Anantha, M.S.; Shashidhar, H.E. Real-time nitrogen management in aerobic rice by adopting leaf color chart (LCC) as influenced by silicon. J. Plant Nutr. 2017, 40, 1277–1286. [Google Scholar] [CrossRef]
- Islam, Z.; Bagchi, B.; Hossain, M. Adoption of leaf color chart for nitrogen use efficiency in rice: Impact assessment of a farmer-participatory experiment in West Bengal, India. Field Crop. Res. 2007, 103, 70–75. [Google Scholar] [CrossRef]
- Alam, M.M.; Karim, M.R.; Ladha, J.K. Integrating best management practices for rice with farmers’ crop management techniques: A potential option for minimizing rice yield gap. Field Crop. Res. 2013, 144, 62–68. [Google Scholar] [CrossRef]
- Chivenge, P.; Sharma, S.; Bunquin, M.A.; Hellin, J. Improving nitrogen use efficiency—A key for sustainable rice production systems. Front. Sustain. Food Syst. 2021, 5, 737412. [Google Scholar] [CrossRef]
- Mohanty, S.; Swain, C.K.; Tripathi, R.; Sethi, S.K.; Bhattacharyya, P.; Kumar, A.; Raja, R.; Shahid, M.; Panda, B.B.; Lal, B.; et al. Nitrate leaching, nitrous oxide emission and N use efficiency of aerobic rice under different N application strategy. Arch. Agron. Soil Sci. 2017, 64, 465–479. [Google Scholar] [CrossRef]
- Qiao, J.; Zhao, D.; Zhou, W.; Yan, T.; Yang, L. Sustained rice yields and decreased N runoff in a rice-wheat cropping system by replacing wheat with Chinese milk vetch and sharply reducing fertilizer use. Environ. Pollut. 2021, 288, 117722. [Google Scholar] [CrossRef] [PubMed]
- Rajbonshi, M.P.; Mitra, S.; Bhattacharyya, P. Agro-technologies for greenhouse gases mitigation in flooded rice fields for promoting climate smart agriculture. Environ. Pollut. 2024, 350, 123973. [Google Scholar] [CrossRef]
- Lin, Y.L.; Chao, Y.Y.; Kao, C.H. Exposure of rice seedlings to heat shock protects against subsequent Cd-induced decrease in glutamine synthetase activity and increase in specific protease activity in leaves. J. Plant Physiol. 2010, 167, 1061–1065. [Google Scholar] [CrossRef] [PubMed]
- Rosales, E.P.; Iannone, M.F.; Groppa, M.D.; Benavides, M.P. Polyamines modulate nitrate reductase activity in wheat leaves: Involvement of nitric oxide. Amino Acids 2012, 42, 857–865. [Google Scholar] [CrossRef] [PubMed]
- Ning, S.J.; Cheng, X.F.; Zhang, G.Y.; Wei, D.Z. Changes in the activity and dynamics of enzymes associated with nitrogen metabolism in flag-leaves of hybrid rice at the late developmental stage. Chin. J. Eco-Agric. 2012, 20, 1606–1613. [Google Scholar] [CrossRef]
- Bradford, M.M. A rapid and sensitive method for the quantification of microgram quantities of proteins utilizing the principle of protein-dye binding. Anal. Biochem. 1976, 72, 248–254. [Google Scholar] [CrossRef]
- Tang, J.; Hu, Q.; Li, C.; Cao, C.; Zhang, X.; Zhang, Y.; Tan, W.; Cheng, B.; Xiong, D.; Liu, T.; et al. Air injection in paddy soil reduces N2O and NH3 emissions and regulates the nitrogen cycle. Soil Tillage Res. 2025, 246, 106329. [Google Scholar] [CrossRef]
- Meng, S.; Liu, C.; Zheng, X.; Liang, W.; Hu, R. Effects of the applied amount of wheat straw on methane, carbon dioxide, nitrous oxide, and nitric oxide fluxes of a bare soil in South Shanxi. Clim. Environ. Res. 2012, 17, 504–514. [Google Scholar] [CrossRef]
- GB 1184-89; Determination of Total Nitrogen—Alkaline Potassium Persulfate Digestion UV Spectrophotometric Method. Standards Press of China: Beijing, China, 1989.
- GB/T 8538-1995; Water Quality—Determination of Ammonium Nitrogen—Indophenol Blue Colorimetric Method. Standards Press of China: Beijing, China, 1995.
- HJ/T 346-2007; Water Quality—Determination of Nitrate nitrogen—Ultraviolet Spectrophotometric Method. Standards Press of China: Beijing, China, 2007.
- Wang, M.; Chen, Z.; Yang, J.; Xu, W.; Ge, C.; Chen, W. Measurement difference in paddy field nitrogen leakage by using different type lysimeters. Chin. J. Appl. Ecol. 2009, 20, 1236–1242. [Google Scholar] [CrossRef]
- Rizwan, M.; Mostofa, M.G.; Ahmad, M.Z.; Zhou, Y.; Adeel, M.; Mehmood, S.; Ahmad, M.A.; Javedi, R.; Imtiaz, M.; Aziz, O.; et al. Hydrogen sulfide enhances rice tolerance to nickel through the prevention of chloroplast damage and the improvement of nitrogen metabolism under excessive nickel. Plant Physiol. Biochem. 2019, 138, 100–111. [Google Scholar] [CrossRef]
- Han, M.L.; Lv, Q.Y.; Zhang, J.; Wang, T.; Zhang, C.X.; Tan, R.J.; Wang, Y.L.; Zhong, L.Y.; Gao, Y.Q.; Chao, Z.F.; et al. Decreasing nitrogen assimilation under drought stress by suppressing DST-mediated activation of Nitrate Reductase 1.2 in rice. Mol. Plant 2022, 15, 167–178. [Google Scholar] [CrossRef]
- Wang, J.; Sha, Z.; Qin, Q.; Sun, L.; Sun, Y.; Yang, S.; Xue, Y.; Cao, L. Soil aggregate-associated organic nitrogen pools, enzyme activities, and microbial community fertilized with food waste-derived organic fertilizer. Appl. Soil Ecol. 2024, 202, 105580. [Google Scholar] [CrossRef]
- Yang, Y.; Lu, X.; Yan, B.; Li, B.; Sun, J.; Guo, S.; Tezuka, T. Bottle gourd rootstock-grafting affects nitrogen metabolism in NaCl-stressed watermelon leaves and enhances short-term salt tolerance. J. Plant Physiol. 2013, 170, 653–661. [Google Scholar] [CrossRef]
- Liang, C.G.; Chen, L.P.; Wang, Y.; Liu, J.; Xu, G.L.; Tian, L. High temperature at grain-filling stage affects nitrogen metabolism enzyme activities in grains and grain nutritional quality in rice. Rice Sci. 2011, 18, 210–216. [Google Scholar] [CrossRef]
- Jin, Z.; Han, Y.; Wang, H.; Zhu, L.; Qu, Y.; He, S.; Yang, L.; Wang, S.; Zhang, Z. Effects of tillering and heading nitrogen fertilization ratio on compound content and enzyme activity and gene expression to rice leaf senescence. J. Northeast Agric. Univ. 2018, 49, 11–21. [Google Scholar] [CrossRef]
- Ye, Y.; Liang, X.; Chen, Y.; Liu, J.; Gu, J.; Guo, R.; Li, L. Alternate wetting and drying irrigation and controlled-release nitrogen fertilizer in late-season rice. Effects on dry matter accumulation, yield, water and nitrogen use. Field Crop. Res. 2013, 144, 212–224. [Google Scholar] [CrossRef]
- Li, L.; Zhao, C.; Wang, X.; Tan, Y.; Wang, X.; Liu, X.; Guo, B. Effects of nitrification and urease inhibitors on ammonia-oxidizing microorganisms, denitrifying bacteria, and greenhouse gas emissions in greenhouse vegetable fields. Environ. Res. 2023, 237, 116781. [Google Scholar] [CrossRef]
- Liao, S.; Deng, F.; Zhou, W.; Wang, L.; Li, W.; Hu, H.; Pu, S.; Li, S.; Chen, Y.; Tao, Y.; et al. Polypeptide urea increases rice yield and nitrogen use efficiency through root growth improvement. Field Crop. Res. 2024, 313, 109415. [Google Scholar] [CrossRef]
- Erisman, J.W. How ammonia feeds and pollutes the world. Science 2021, 374, 685–686. [Google Scholar] [CrossRef]
- Shang, Y.; Yin, Y.; Ying, H.; Tian, X.; Cui, Z. Updated loss factors and high-resolution spatial variations for reactive nitrogen losses from Chinese rice paddies. J. Environ. Manag. 2023, 358, 120752. [Google Scholar] [CrossRef]
- Zhang, S.; Zhang, G.; Wang, D.; Liu, Q. Abiotic and biotic effects of long-term straw retention on reactive nitrogen runoff losses in a rice–wheat cropping system in the Yangtze Delta region. Agric. Ecosyst. Environ. 2021, 305, 107162. [Google Scholar] [CrossRef]
- Peng, Z.; Liao, B.; Luo, J.; Chen, Y.; Yu, Q.; Liu, B.; Cui, Y.; Liu, F.; Shi, L. Simultaneous optimization of water and nitrogen management demonstrates effective and robust performance in nitrogen footprint reduction within the double-season rice system. J. Clean. Prod. 2024, 469, 143154. [Google Scholar] [CrossRef]
- Shcherbak, I.; Millar, N.; Robertson, G.P. Global metaanalysis of the nonlinear response of soil nitrous oxide (N2O) emissions to fertilizer nitrogen. Proc. Natl. Acad. Sci. USA 2014, 111, 9199–9204. [Google Scholar] [CrossRef]
- Bhatnagar, A.; Sillanpää, M. A review of emerging adsorbents for nitrate removal from water. Chem. Eng. J. 2011, 168, 493–504. [Google Scholar] [CrossRef]
- Meng, X.; Li, Y.; Yao, H.; Wang, J.; Dai, F.; Wu, Y.; Chapman, S. Nitrification and urease inhibitors improve rice nitrogen uptake and prevent denitrification in alkaline paddy soil. Appl. Soil Ecol. 2020, 154, 103665. [Google Scholar] [CrossRef]
- Yang, B.; Cai, S.; Liu, Y.; Xu, L.; Wang, Y.; Peng, X.; Zhao, X.; Yan, X. Soil nitrogen supply and retention capacity determine the effect and utilization rate of nitrogen fertilizer in paddy field. Acta Pedol. Sin. 2023, 60, 212–223. [Google Scholar] [CrossRef]
- Shao, W.; Wang, Q.; Guan, Q.; Luo, H.; Ma, Y.; Zhang, J. Distribution of soil available nutrients and their response to environmental factors based on path analysis model in arid and semi-arid area of northwest China. Sci. Total Environ. 2022, 827, 154254. [Google Scholar] [CrossRef] [PubMed]
- Sugai, J.; Takashima, N.; Muto, K.; Kaku, T.; Nakayama, H.; Asagi, N.; Komatsuzaki, M. Effects of cover crops on soil inorganic nitrogen and organic carbon dynamics in paddy fields. Agriculture 2024, 14, 2365. [Google Scholar] [CrossRef]
- Bai, E.; Li, S.; Xu, W.; Li, W.; Dai, W.; Jiang, P. A meta-analysis of experimental warming effects on terrestrial nitrogen pools and dynamics. New Phytol. 2013, 199, 441–451. [Google Scholar] [CrossRef] [PubMed]
- Zhong, Y.; Wang, X.; Yang, J.; Zhao, X. Tracing the fate of nitrogen with 15N isotope considering suitable fertilizer rate related to yield and environment impacts in paddy field. Paddy Water Environ. 2017, 15, 943–949. [Google Scholar] [CrossRef]
- Ma, Q.; Wang, M.; Zheng, G.; Yao, Y.; Tao, R.; Zhu, M.; Ding, J.; Li, C.; Guo, W.; Zhu, X. Twice-split application of controlled-release nitrogen fertilizer met the nitrogen demand of winter wheat. Field Crop. Res. 2021, 267, 108163. [Google Scholar] [CrossRef]
- Wang, Y.; Lu, Y. Evaluating the potential health and economic effects of nitrogen fertilizer application in grain production systems of China. J. Clean. Prod. 2020, 264, 121635. [Google Scholar] [CrossRef]
- Liao, B.; Peng, Z.; Shu, Y.; Zhang, B.; Dai, Y.; Liu, Z.; Wang, F.; Hu, R.; Luo, Y.; Cui, Y. Can optimizing nitrogen management improve net ecosystem economic benefits in rice cultivation? J. Clean. Prod. 2024, 437, 140756. [Google Scholar] [CrossRef]
- Wang, B.; Shen, Y.; Xie, W.; Zhu, S.; Zhao, X.; Wang, S. FeIII-tannic acid-modified waterborne polymer-coated urea has agronomic, environmental and economic benefits in flooded rice paddy. J. Clean. Prod. 2021, 321, 129013. [Google Scholar] [CrossRef]








| Rice Yield | N Uptake | NR | GS | GPT | GOT | GDH | Proteinase | |
|---|---|---|---|---|---|---|---|---|
| rice yield | 0.997 ** | 0.996 ** | 0.971 ** | 0.985 ** | 0.992 ** | 0.956 ** | −0.995 ** | |
| N uptake | 0.997 ** | 0.996 ** | 0.982 ** | 0.992 ** | 0.996 ** | 0.970 ** | −0.991 ** | |
| NR | 0.996 ** | 0.996 ** | 0.980 ** | 0.988 ** | 0.998 ** | 0.963 ** | −0.997 ** | |
| GS | 0.971 ** | 0.982 ** | 0.980 ** | 0.992 ** | 0.989 ** | 0.985 ** | −0.964 ** | |
| GPT | 0.985 ** | 0.992 ** | 0.988 ** | 0.992 ** | 0.994 ** | 0.990 ** | −0.977 ** | |
| GOT | 0.992 ** | 0.996 ** | 0.998 ** | 0.989 ** | 0.994 ** | 0.978 ** | −0.991 ** | |
| GDH | 0.756 * | 0.970 ** | 0.963 ** | 0.985 ** | 0.990 ** | 0.978 ** | −0.946 ** | |
| Proteinase | −0.995 ** | −0.991 ** | −0.997 ** | −0.964 ** | −0.977 ** | −0.991 ** | −0.946 ** |
Disclaimer/Publisher’s Note: The statements, opinions and data contained in all publications are solely those of the individual author(s) and contributor(s) and not of MDPI and/or the editor(s). MDPI and/or the editor(s) disclaim responsibility for any injury to people or property resulting from any ideas, methods, instructions or products referred to in the content. |
© 2025 by the authors. Licensee MDPI, Basel, Switzerland. This article is an open access article distributed under the terms and conditions of the Creative Commons Attribution (CC BY) license (https://creativecommons.org/licenses/by/4.0/).
Share and Cite
Tang, J.; Zhang, W.; Niu, X.; Li, C.; Cao, C.; Xiong, D.; Zhang, Y.; Qu, J.; Wang, B.; Liu, T. Leaf Color Chart-Based Nitrogen Management Affects Rice Enzyme Activities and Maintains Soil Nitrogen Balance. Agriculture 2025, 15, 1861. https://doi.org/10.3390/agriculture15171861
Tang J, Zhang W, Niu X, Li C, Cao C, Xiong D, Zhang Y, Qu J, Wang B, Liu T. Leaf Color Chart-Based Nitrogen Management Affects Rice Enzyme Activities and Maintains Soil Nitrogen Balance. Agriculture. 2025; 15(17):1861. https://doi.org/10.3390/agriculture15171861
Chicago/Turabian StyleTang, Jichao, Wenxuan Zhang, Xi Niu, Chengfang Li, Cougui Cao, Dongliang Xiong, Ying Zhang, Jianhua Qu, Bin Wang, and Tianqi Liu. 2025. "Leaf Color Chart-Based Nitrogen Management Affects Rice Enzyme Activities and Maintains Soil Nitrogen Balance" Agriculture 15, no. 17: 1861. https://doi.org/10.3390/agriculture15171861
APA StyleTang, J., Zhang, W., Niu, X., Li, C., Cao, C., Xiong, D., Zhang, Y., Qu, J., Wang, B., & Liu, T. (2025). Leaf Color Chart-Based Nitrogen Management Affects Rice Enzyme Activities and Maintains Soil Nitrogen Balance. Agriculture, 15(17), 1861. https://doi.org/10.3390/agriculture15171861

