Research on Distributed Dual-Wheel Electric-Drive Fuzzy PI Control for Agricultural Tractors
Abstract
1. Introduction
2. Materials and Methods
2.1. Distributed Tractor Mathematical Model
2.2. The Overall Configuration
2.2.1. Scaling of Tractor Maximum Acceleration Analysis and Test
2.2.2. Analysis of Tractor Uneven Load Disturbance
2.3. HIL Test Bench Design
2.4. Fuzzy Controller Design
2.4.1. PI Controller Design
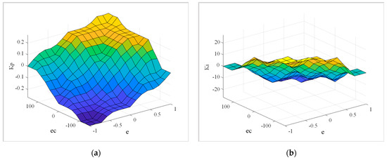
2.4.2. Fuzzy Controller Design
3. Results and Discussion
3.1. Simulation Results and Analysis of Vehicle Speed Response
3.1.1. Simulation and Analysis of Vehicle Speed Response under No-Load Conditions
3.1.2. Simulation and Analysis of Vehicle Speed Response under Off-Load Conditions
3.2. Vehicle Speed Response Test
3.3. Tractor Straight-Line Driving Test under Various Operating Conditions
3.3.1. No-Load Straight-Line Driving Condition Test
3.3.2. Impact Off-Load Straight-Line Driving Condition Test
3.3.3. Continuous Off-Load Straight-Line Driving Condition Test
3.4. Discussion
4. Conclusions
Author Contributions
Funding
Institutional Review Board Statement
Data Availability Statement
Conflicts of Interest
References
- Zhu, Z.; Zeng, L.; Chen, L.; Zou, R.; Cai, Y. Fuzzy Adaptive Energy Management Strategy for a Hybrid Agricultural Tractor Equipped with HMCVT. Agriculture 2022, 12, 1986. [Google Scholar] [CrossRef]
- Mocera, F.; Somà, A.; Martelli, S.; Martini, V. Trends and future perspective of electrification in agricultural tractor-implement applications. Energies 2023, 16, 6601. [Google Scholar] [CrossRef]
- Moreda, G.P.; Muñoz-García, M.A.; Barreiro, P. High voltage electrification of tractor and agricultural machinery—A review. Energy Convers. Manag. 2016, 115, 117–131. [Google Scholar] [CrossRef]
- Kun, Y.; Jie, W.; Di, T.; Xueyi, Z.; Dong, G.; Ruijun, L. Study of YSC used for all Electric Independent Driving and Braking Electric Vehicle based on Fuzzy PI Control. IFAC-PapersOnLine 2018, 51, 670–675. [Google Scholar] [CrossRef]
- Lajunen, A.; Suomela, J.; Pippuri, J.; Tammi, K.; Lehmuspelto, T.; Sainio, P. Electric and Hybrid Electric Non-Road Mobile Machinery—Present Situation and Future Trends. World Electr. Veh. J. 2016, 8, 172–183. [Google Scholar] [CrossRef]
- Xie, B.; Zhang, C.; Chen, S.; Mao, E.; Du, Y. Transmission Performance of Two-wheel Drive Electric Tractor. Tran. Chin. Soc. Agric. Mach. 2015, 46, 8–13. [Google Scholar]
- Yang, Y.; Cui, K.; Shi, D.; Mustafa, G.; Wang, J. PID control with PID event triggers: Theoretic analysis and experimental results. Control Eng. Pract. 2022, 128, 105322. [Google Scholar] [CrossRef]
- Li, Y.; Ma, D. Robust PID Control of Second-Order Uncertain Nonlinear System with Time-Varying Delay: An Input-Output Approach. IFAC-PapersOnLine 2021, 54, 70–75. [Google Scholar] [CrossRef]
- Lombardi, G.V.; Berni, R. Renewable energy in agriculture: Farmers Willingness-to-Pay for a photovoltaic electric farm tractor. J. Clean. Prod. 2021, 313, 127520. [Google Scholar] [CrossRef]
- Mu, Y.; Qi, L.; Sun, M.; Han, W. An Improved Deviation Coupling Control Method for Speed Synchronization of Multi-Motor Systems. Appl. Sci. 2024, 14, 5300. [Google Scholar] [CrossRef]
- Qu, Y.; Ning, D.; Liu, F.; Guo, F. Design and Simulation of Fuzzy PID Controller. Comp. Simu. 2009, 26, 130–132. [Google Scholar]
- Zhang, E.; Shi, S.; Gao, W.; Weng, Z. Recent Researches and Developments on Fuzzy Control System. Control Theory Technol. 2001, 18, 7–11. [Google Scholar]
- Xu, W.; Qu, B.; Xu, B. Brushless DC Motor Speed Control System Based on Fuzzy PID Control. Sci. Technol. Eng. 2010, 10, 7926–7929. [Google Scholar]
- Yuan, P.; Xu, C.; Zhou, J.; Yang, Z. Research on Improved Anti-Interference Fuzzy PID of AGV Control System. Mach. Des. Manu. 2023, 3, 212–221. [Google Scholar]
- Tang, N.; Guo, Z.; Zhao, M.; Su, X. Application of Fuzzy Adaptive PID in Constant Pressure control of LNG Submersible Pump. Sci. Technol. Innov. 2024, 1, 15–19. [Google Scholar]
- Luo, X.; Wang, Z. Research on motion control of underwater vehicle based on fuzzy PlD. Electron. Meas. Technol. 2020, 43, 53–56. [Google Scholar]
- Kroičs, K.; Būmanis, A. BLDC Motor Speed Control with Digital Adaptive PID-Fuzzy Controller and Reduced Harmonic Content. Energies 2024, 17, 1311. [Google Scholar] [CrossRef]
- Zhang, X.; Göhlich, D. Integrated traction control strategy for distributed drive electric vehicles with improvement of economy and longitudinal driving stability. Energies 2017, 10, 126. [Google Scholar] [CrossRef]
- Lampl, T.; Königsberger, R.; Hornung, M. Design and evaluation of distributed electric drive architectures for high-lift control systems. In 66. Deutsche Luft- und Raumfahrtkongress; Deutsche Gesellschaft für Luft- und Raumfahrt (DGLR): Braunschweig, Germany, 2017. [Google Scholar]
- Qiu, Q.; Fan, Z.; Meng, Z.; Zhang, Q.; Cong, Y.; Li, B.; Wang, N.; Zhao, C. Extended Ackerman Steering Principle for the coordinated movement control of a four-wheel drive agricultural mobile robot. Comput. Electron. Agric. 2018, 152, 40–50. [Google Scholar] [CrossRef]
- Li, G.; Zhang, S.; Liu, L.; Zhang, X.; Yin, Y. Trajectory Tracking Control in Real-Time of Dual-Motor-Driven Driverless Racing Car Based on Optimal Control Theory and Fuzzy Logic Method. Complex 2021, 2021, 5549776. [Google Scholar] [CrossRef]
- Yu, L.; Kong, D.; Shao, X.; Yan, X. A path planning and navigation control system design for driverless electric bus. IEEE Access. 2018, 6, 53960–53975. [Google Scholar] [CrossRef]
- Gao, Q.; Gao, M.; Song, L. Research on the method of track deviation correction for tracked vehicles. Chin. J. Constr. Mac. 2023, 6, 527–531. [Google Scholar]
- Zhao, L.; Li, J.; Yang, B.; Yin, W.; Jia, Y.; Zhang, K.; Zhang, X. Design and simulation analysis of mountain electric track chassis. Tract. Agric. Transp. 2024, 51, 30–37. [Google Scholar]
- Petrecca, G. Energy Conversion and Management: Principles and Applications; Springer International Publishing: Cham, Switzerland, 2014; pp. 101–103. [Google Scholar]
- Gao, T.; Wang, G. Approximation Performance and Localization Algorithm of Generalized Mamdani Fuzzy Systems Constructed Based on Fuzzy Similarity. Fuzzy Syst. Math. 2018, 32, 137–143. [Google Scholar]
- Khanh, P.Q.; Anh, H.P. Advanced PMSM speed control using fuzzy PI method for hybrid power control technique. Ain Shams Eng. J. 2023, 14, 102222. [Google Scholar] [CrossRef]
- Cevallos, G.; Herrera, M.; Jaimez, R.; Aboukheir, H.; Camacho, O. A Practical Hybrid Control Approach for a Greenhouse Microclimate: A Hardware-in-the-Loop Implementation. Agriculture 2022, 12, 1916. [Google Scholar] [CrossRef]
- Wang, M.; Niu, C.; Wang, Z.; Jiang, Y.; Jian, J.; Tang, X. Model and Parameter Adaptive MPC Path Tracking Control Study of Rear-Wheel-Steering Agricultural Machinery. Agriculture 2024, 14, 823. [Google Scholar] [CrossRef]
- Zhao, Z. The Research and Design of Hydraulic Servo System Based on Fuzzy Control; M.Eng. Harbin Institute of Technology: Harbin, China, 2021. [Google Scholar]
















| Parameter | Value |
|---|---|
| Diameter of the triangular track drive wheel/mm | 1000 |
| Wheelbase/m | 2 |
| Rated power per motor/kW | 25.1 |
| Rated torque per motor/Nm | 120 |
| Rated speed per motor/(rmin−1) | 2000 |
| Gear ratio | 20 |
| Parameter | Value |
|---|---|
| 0.63 | |
| 0.01 | |
| 0.1 | |
| 2 | |
| /H | 0.003483 |
| /Ω | 0.04785 |
| /Wb | 0.21088 |
| 4 | |
| 10−4 |
| NB | NM | NS | ZO | PS | PM | PB | ||
|---|---|---|---|---|---|---|---|---|
| NB | NB | NB | NM | NM | NS | ZO | ZO | |
| NM | NB | NB | NM | NS | NS | ZO | PS | |
| NS | NM | NM | NM | NS | ZO | PS | PS | |
| ZO | NM | NM | NS | ZO | PS | PM | PM | |
| PS | NS | NS | ZO | PS | PS | PM | PM | |
| PM | NS | ZO | PS | PM | PM | PM | PB | |
| PB | ZO | ZO | PM | PM | PM | PB | PB | |
| NB | NM | NS | ZO | PS | PM | PB | ||
|---|---|---|---|---|---|---|---|---|
| NB | PB | PB | PM | PM | PS | ZO | ZO | |
| NM | PB | PB | PM | PS | PS | ZO | ZO | |
| NS | PB | PM | PS | PS | ZO | NS | NS | |
| ZO | PM | PM | PS | ZO | NS | NM | NM | |
| PS | PM | PS | ZO | NS | NS | NM | NB | |
| PM | ZO | ZO | NS | NS | NM | NB | NB | |
| PB | ZO | ZO | NS | NM | NM | NB | NB | |
| Controller | Acceleration Process | Deceleration Process | ||
|---|---|---|---|---|
| Maximum Overshoot (%) | Steady-State Response Time (s) | Maximum Overshoot (%) | Steady-State Response Time (s) | |
| Traditional PI controller | 0.09 | 1.15 | 0.08 | 1.02 |
| Fuzzy PI controller | 0.03 | 0.67 | 0.03 | 0.94 |
| Controller | No Load | Impulse Off-Load | Continuous Off-Load |
|---|---|---|---|
| Maximum Trajectory Offset (m) | |||
| Traditional PI controller | 0.10 | 0.14 | 0.12 |
| Fuzzy PI controller | 0.04 | 0.08 | 0.08 |
Disclaimer/Publisher’s Note: The statements, opinions and data contained in all publications are solely those of the individual author(s) and contributor(s) and not of MDPI and/or the editor(s). MDPI and/or the editor(s) disclaim responsibility for any injury to people or property resulting from any ideas, methods, instructions or products referred to in the content. |
© 2024 by the authors. Licensee MDPI, Basel, Switzerland. This article is an open access article distributed under the terms and conditions of the Creative Commons Attribution (CC BY) license (https://creativecommons.org/licenses/by/4.0/).
Share and Cite
Zhang, Q.; Hu, C.; Li, R. Research on Distributed Dual-Wheel Electric-Drive Fuzzy PI Control for Agricultural Tractors. Agriculture 2024, 14, 1442. https://doi.org/10.3390/agriculture14091442
Zhang Q, Hu C, Li R. Research on Distributed Dual-Wheel Electric-Drive Fuzzy PI Control for Agricultural Tractors. Agriculture. 2024; 14(9):1442. https://doi.org/10.3390/agriculture14091442
Chicago/Turabian StyleZhang, Qian, Caiqi Hu, and Rui Li. 2024. "Research on Distributed Dual-Wheel Electric-Drive Fuzzy PI Control for Agricultural Tractors" Agriculture 14, no. 9: 1442. https://doi.org/10.3390/agriculture14091442
APA StyleZhang, Q., Hu, C., & Li, R. (2024). Research on Distributed Dual-Wheel Electric-Drive Fuzzy PI Control for Agricultural Tractors. Agriculture, 14(9), 1442. https://doi.org/10.3390/agriculture14091442
