You are currently viewing a new version of our website. To view the old version click .
Agriculture
  • Article
  • Open Access

25 February 2024

Does the Deep Placement of Fertilizers Increase Potato Yields, Fertilization Efficiency and Reduce N2O Emissions from the Soil?

,
,
and
Division of Agricultural and Environmental Chemistry, Institute of Agriculture, Warsaw University of Life Sciences—SGGW, Nowoursynowska 159, 02-776 Warsaw, Poland
*
Author to whom correspondence should be addressed.
This article belongs to the Special Issue Fertilizer Management Strategies for Enhancing the Growth, Yield and Quality in Crops

Abstract

Despite the notable decline in potato cultivation areas across Poland and Europe, potatoes remain a crucial crop with diverse applications. Achieving the ambitious emission targets set by the EU for agricultural production may be easier with the practice of deep placement of slow-release fertilizers, which may increase yields and reduce greenhouse gas emissions. To examine the effect of deep placement of slow-release fertilizers on potato tuber yields, plant nutrient uptake, nutrient use efficiency, and soil N2O-N emissions, a two-year field experiment was conducted on loamy sand soil classified as Alblic Podzol (Ochric) soil, under temperate climate conditions prevailing in central Poland. The experiment involved a three-field rotation (potatoes, wheat, and peas), with potatoes being cultivated after peas in both years of the study. The experiment compared the effects of applying slow-release fertilizer at soil depths of 10 and 20 cm (DP10 and DP20) to fertilization with single-nutrient fertilizers applied to the soil surface (TD). The experiment utilized increasing doses of nitrogen and phosphorus, denoted as D0 (control), D1, D2, and D3, along with a standard dose of potassium across all tested fertilizer application methods. The results of this study confirmed that deep placement of slow-release fertilizers had limited effects on potato tuber yields. Deep placement of slow-release fertilizer increased plant nitrogen uptake by 2.8–13.5% compared to topdressing. Consequently, there was an improvement in nitrogen use efficiency from 29.8–75.0% on sites with fertilizer topdressing to 38.7–89.8% on sites with slow-release fertilizer deep placement. Phosphorus uptake by plants on sites with slow-release fertilizer deep placement was approximately 9.3–13.0% higher than on sites with fertilizer topdressing. This led to an enhancement in phosphorus use efficiency from about 15.1–19.5% on fertilizer topdressing sites to 19.4–25.4% on slow-release fertilizer deep placement sites. The impact of fertilizer deep placement was found to be less pronounced compared to the effects observed with increased nitrogen and phosphorus doses. The most important factors affecting tuber yield and nutrient use in potatoes were rainfall levels during the growing season. Deep fertilization did contribute to reduce soil N2O emissions by about 14%. However, further research involving different fertilization methods is needed to comprehensively assess the effectiveness of this practice in reducing greenhouse gas emissions.

1. Introduction

In Europe, the potato is a significant agricultural commodity, with a production volume exceeding 55.3 million tons and an approximate market value of €12.3 billion. This production occurs on approximately 1660.3 thousand hectares of land [1]. Despite a notable decline of 39.7% in potato cultivation area in Poland over the past decade, Poland maintains its position as the leading potato producer in Europe, following a trend of increased concentration and specialization in potato farming, similar to other European nations. In Poland, potatoes find primary use in frozen and preserved potato products, with limited utilization in potato starch and dried potato production, such as flour, meal, and flakes. Despite fluctuations in exports and consumption of potato products, potato cultivation remains stable, as potatoes continue to be the most commonly consumed vegetable in Poland.
Potatoes exhibit a relatively low demand for phosphorus but have a substantial requirement for potassium and nitrogen [2]. The critical nitrogen requirement stage for potatoes occurs during tuber setting and growth, with daily uptake ranging from 5 to 8 kg N per hectare [3]. Phosphorus and potassium accumulation intensifies at the phenological development stage of the plant when the tuber reaches 40% of the total final mass, with plants absorbing 0.4–1.0 kg P and 13.0–15.0 kg K per hectare per day. Inadequate nutrition during these crucial growth phases can result in reduced tuber yields. Therefore, achieving high yields relies not only on applying optimal nutrient doses but also on distributing nutrients in the soil to align with plant uptake dynamics. Conventional fertilization methods often lead to nutrient overconcentration early in plant growth, followed by deficiencies in later stages. Additionally, the risk of drought during the growing season poses a significant threat to crop yields [4], and insufficient nutrient uptake can lead to increased nutrient losses and environmental contamination, such as water bodies and atmosphere [5,6,7].
Slow-release fertilizers (SRF) and controlled-release fertilizers (CRF) have the potential to provide a nutrient release pattern that aligns with plant requirements [8]. Nutrient release from SRF depends on nutrient dissolution and organic compound mineralization, while CRF release relies on vapor penetration through granule pores, ingredient dissolution, and diffusion into the soil [9]. The use of calcium sulfate urea adducts can further slow nutrient distribution from SRF fertilizers [10]. Trenkel [11] suggests that only 15% of SRF fertilizer ingredients are released within 24 h, increasing to 75% within 28 days. Encapsulated slow-release fertilizers have demonstrated yield increases in maize and soybean by 3–16%, starch content by 2–7%, oil by 2–10%, and crude protein by 3–16%, compared to conventional fertilizers [12]. Yang et al. [13] observed that replacing traditional fertilizers with slow-release fertilizers increased maize and rice yields by 8.0–12.5% and improved nitrogen utilization by 4.8–14.0%. Similarly, Geng et al. [14] reported yield increases in oilseed rape with slow-release fertilizers, while Zeng et al. [15] achieved similar results in wheat and maize, reducing nitrogen leaching and minimizing environmental impacts. However, such effects have not been consistently observed in potato cultivation [16], making it challenging to determine the reasons for the lack of response to slow-release fertilization found in previous studies. Rutkowska et al. [17] did report positive effects of deep placement of slow-acting fertilizers in maize cultivation under Poland’s specific climate and soil conditions. A meta-analysis of data from 40 field trials indicates that compared to fertilizer broadcast, fertilizer deep placement results in an average increase in crop yield of about 3.7%, along with a 12% increase in nutrients content in above-ground parts [18]. Furthermore, the study reveals that deep placement of both nitrogen and phosphorus leads to greater crop yield gains than the application of straight fertilizers, which supply only one nutrient. Notably, the efficiency of deep placement improves as the application depth increases below 10 cm of soil depth. Additionally, deep placement of the amide form of nitrogen yields a greater increase in yield compared to ammoniacal fertilizers. Fertilizer deep placement not only enhances the depth of plant rooting [18], but also positively influences chlorophyll content, photosynthesis rate, nitrogen use efficiency, and nitrogen partial factors productivity [19]. Given that rice yields are largely restricted by relatively low nitrogen use efficiency [19], fertilizer deep placement boots grain yield by enhancing nutrient use efficiency [20]. In subtropical China, compared to fertilizer broadcasting, deep placement of N and NPK fertilizers increases rice yields by 35.6–37.2% and 49.9–53.3%, respectively [21]. This increase is coupled with a rise in nitrogen use by plants from 21.2–32.0% under broadcasting to 58.7–84.6% under deep fertilizer placement. Both enhancements in productive panicle and spikelet numbers, as well as plant rooting, contribute to increased yields and nitrogen use efficiency [22]. Li et al. [23] report that fertilizer deep placement not only elevates rice yield and nitrogen use efficiency but also reduces CH4- and N2O-induced global warming potential by up to 25.3% and 12.3%, respectively.
Building upon this existing literature, we hypothesized that deep placement of slow-release fertilizers into the soil could enhance potato nutrition and yield, improve nutrient use efficiency, and reduce greenhouse gas emissions from soil. Consequently, our research aimed to assess the impact of increasing the depth of application of SRF fertilizer granules on both aboveground and belowground biomass accumulation in potatoes, tuber yields, nutrient (N, P) use efficiency, and soil N2O emissions.

2. Materials and Methods

2.1. Experiment Location and Soil and Meteorological Conditions

The study’s objective was realized through a field experiment conducted on a farm located in Kuklówka Zarzeczna (52°04′63″ N, 20°59′27″ E) in Central Poland. In this experiment, crops were cultivated in a three-field rotation: potatoes, wheat, and pea, all on loamy sand soil classified as Ablic Podzol (Ochric) soil according to the FAO 2015 classification. The soil had an organic carbon content of 7.3 g C kg−1 and total nitrogen content of 0.53 g N kg−1. The levels of available phosphorus and potassium were determined using the Egner-Riehm DL soil test [24], with calcium lactate extract measured by spectrophotometry (Genesys 10S UV-VIS, Thermo Scientific, Waltham, MA, USA) for phosphorus and atomic absorption spectrometry (Thermo Scientific, iCE 3000 Series) for potassium. Soil pH was measured in a 1 M KCl solution (1:25) using a potentiometric method with a pH meter (Schott, Mainz, Germany, type GC 842). In the initial (dry) year of the study, the soil exhibited available phosphorus and potassium contents of 65.9 mg P kg−1 and 174.2 mg K kg−1, respectively, with a soil pH of 5.9 in 1 M KCl. Conversely, during the subsequent (wet) year of study, the soil pH in 1 M KCl measured 5.6, accompanied by available phosphorus and potassium levels of 85.6 mg P kg−1 and 141.1 mg K kg−1, respectively.
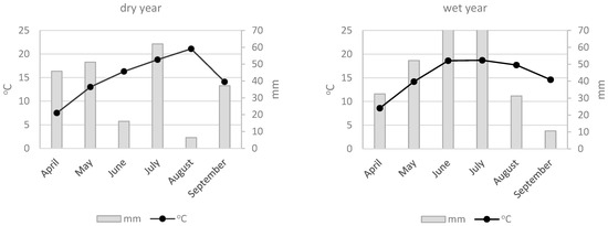
Meteorological data were collected from the meteorological station situated at the Chylice Experimental Field, which is a part of the Experimental Station of the Institute of Agriculture at the Warsaw University of Life Sciences in Skierniewice. The Chylice Experimental Field was approximately 6 km away from the study site. The research was carried out over two consecutive growing seasons (2015 and 2016) characterized by differing weather conditions (Figure 1). Both years exhibited a similar pattern in monthly temperatures from April to September, but the cumulative temperature during the second growing period was approximately 1.6 °C higher than in the preceding one. The first growing season under investigation was marked by dry conditions, with a notable deficiency in rainfall, particularly during the tuber setting stage and in August. In the second year of the study, the total precipitation during the growing season was higher and evenly distributed, especially during the tuber setting stage and the intensive tuber growth period, which proved favorable for potato growth and yield.
Figure 1. Mean monthly temperature (°C) and total monthly precipitation (mm) during the growing seasons.

2.2. Experiment Design

The split-plot experiment was carried out in four replicates, with each experimental plot covering an area of 11.5 m2. Within the experiment, a control plot without fertilization (D0) was designated, while other plots received varying doses of nutrients (D1, D2, and D3). Irrespective of the method of application and the type of fertilizers used, the nutrient doses in fertilizers were as follows: 50 kg N ha−1 and 25 kg P2O5 ha−1 in the D1 treatment, 100 kg N ha−1 and 50 kg P2O5 ha−1 in the D2 treatment, and 150 kg N ha−1 and 75 kg P2O5 ha−1 in the D3 treatment (refer to Table 1). Additionally, in all treatments, the same dose of potassium was applied, specifically 100 kg K2O ha−1. These nutrients were applied either to the soil surface (TD) or through deep placement of fertilizers (DP10 and DP20) (Table 1). The top-dressed treatments consisted of urea (46% N), triple superphosphate (45.8% P2O5), CaSO4·2H2O, CuSO4·5H2O, Zn(NO3)2·6H2O, and H3BO3. In contrast, the fertilizer deep placement sites received granular fertilizer UreaPhoS Mikro (granule diameter 10.0 mm), containing 200 g N, 100 g P2O5, 70 g S, 3.0 g Zn, 1.5 g Cu, and 0.6 g B per kilogram. The nitrogen in UreaPhoS Mikro fertilizer was present in the form of urea and calcium sulfate adduct (CaSO4·4CO(NH2)2). UreaPhoS Mikro fertilizer was manufactured by the New Chemical Syntheses Institute within the Łukasiewicz Research Network in Puławy, Poland. The quantitative nutrient compositions of UreaPhoS Mikro fertilizer used for deep placement and the fertilizers applied in top-dressed treatments were identical. Furthermore, a uniform dose of potassium (100 kg K2O ha−1) was applied in the form of potassium salt (KCl, 60% K2O) across all experimental sites. In the DP10 and DP20 sites, UreaPhoS Mikro granules were applied at depths of 10 cm and 20 cm below the seed potato, respectively. The potato variety used was Irga, and the planting was carried out in rows with a 30 cm spacing between plants and an inter-row width of 75 cm, with the potatoes planted at a depth of 7 cm below the soil surface (Figure 2). “Irga” is a medium-early potato variety known for its stable yield production. The tubers typically contain average 12.8% starch. This variety demonstrates resistance to cyst nematodes and exhibits relatively high resistance to viruses such as PVY, PLRV. It also shows moderate resistance to common potato diseases such as potato common scab, blackleg, dry rot, and mechanical damage. However, it displays limited resistance to potato bacterial soft rot and late blight disease [25].
Table 1. Application method and doses of nitrogen, phosphorus applied under potatoes in the field experiment.
Figure 2. Fertilizer application scheme.
On the TD site, fertilizers were applied prior to planting the potatoes. Conversely, on the sites designated for fertilizer deep placement (DP10 and DP20), fertilizer granules were applied immediately before planting the potatoes. To facilitate this, a hole with a diameter of 11 cm was created at the potato planting location in the field, with a depth that corresponded to the desired placement of fertilizers at 10 cm and 20 cm below the seedling, respectively. These holes were formed using a metal soil probe with adjustable soil penetration depth. Following the application of fertilizer pellets, the holes were covered with soil collected from the excavation process, ensuring that a seed tuber was positioned at a depth of 7 cm within the soil (Figure 2).

2.3. Measurements and Analysis

In both years of the study, all experimental plots were sampled in four replicates, and whole potato plants were collected for research purposes. The weight of the above-ground parts, roots, and tubers was assessed at four specific time points: 56 days, 78 days, 99 days, and 123 days after planting the potatoes. The tested variety belonged to the category of medium-early varieties, with a growth cycle spanning 120 days. Plant sampling commenced on the 56th day after planting, marking a critical phase in potato development characterized by vigorous growth. During this phase, the aboveground portion expands rapidly, achieving full development by approximately the 78th day of vegetation, when it blankets the soil and forms a uniform canopy. By the 56th day of vegetation, tuberization initiates alongside intensive biomass growth of the plant’s underground components. Both the aboveground and underground parts exhibit robust growth, resulting in a heightened demand for nutrients, which was assessed through yield analysis and biomass nutrient content determination. From the 78th to the 99th day of vegetation, continued growth of both aboveground biomass and tubers was observed. Evaluating yield and nutrient uptake during this period enabled an assessment of the efficacy of deep fertilization in meeting the nutrient demands of potatoes intended for early harvest. Post the 99th day of vegetation, a decline in biomass accumulation within potato tubers marked the onset of the tuber maturation phase leading up to the harvest stage. Biomass measurements of the above-ground parts, tubers, and roots were conducted on all of these assessment dates. Afterward, the plant materials were dried at 65 °C, and their nitrogen content was determined using the Kjeldahl method, while phosphorus content was determined using the vanadium-molybdate method. These analyses were carried out using a Genesys 10S UV-VIS spectrophotometer from Thermo Scientific.
The results obtained enabled the determination of various parameters, including:
plant yield (the accumulation of biomass of above-ground parts, roots and potato tubers)
nutrient uptake by above- and below-ground parts of the plant in the final crop
was calculated according to the Formula (1):
N N . P U = Y × N N , P C
where:
  • NN,PU is nutrient (N, P) uptake by plants (kg ha−1);
  • Y is the yield of plant parts (above-ground parts, roots, potato tubers);
  • NN,PC is the nutrient content in plants (g kg−1);
nutrients (N, P) use efficiency was calculated according to the Formula (2):
N N , P U E = N N P U N N P U c o n t r o l D N P × 100
where:
  • NN,PUE is the nutrient use efficiency (NUE or PUE) (%);
  • NN,PU is nutrient (N, P) uptake by plants on fertilized treatment (kg ha−1);
  • NN,PUcontrol is nutrient (N, P) uptake by plants on control treatment (kg ha−1);
  • DN,P—the dose of nutrient in fertilizers (kg ha−1);

2.4. N2O-N Emissions from Soil

To test the impact of deep placement of slow-release fertilizers on N2O-N emissions from the soil, relevant measurements were conducted at three specific time points aligned with the various stages of plant development. These time points were chosen as follows: at the inter-row spherical stage (60th day of potato vegetation), during the intensive tuber growth stage (80th day of plant vegetation), and at the final stage of potato growth (105th day of vegetation) during the first (dry) year of the study. Soil N2O-N fluxes were measured on TD, DP10, and DP20 sites that had received fertilization with D3, each in four replicates.
N2O-N soil fluxes were measured in situ using a chamber method (diameter = 16 cm, height = 18.5 cm) with a portable FTIR spectrometer model Alpha (Bruker, Germany). The chamber was placed atop the ridges, and N2O-N soil emissions were calculated based on the change in gas content within the chamber after a 10-min exposure to the soil surface, utilizing the Equation (3) described by Hutchinson and Livingston [26]. N2O-N emissions from the soil were expressed as µg N2O-N m−2 h−1.
F = Δ C Δ t · V c · M m o l A · V m o l
where:
ΔC/Δt represents the rate of change in N2O-N concentration inside the chamber.
Vc denotes the total volume of the chamber, corrected for temperature.
A stands for the surface area of the chamber.
Mmol represents the molar mass of N2O-N.
Vmol signifies the molar volume of N2O-N inside the chamber, adjusted for air temperature using the ideal gas law.

2.5. Statistical Analysis

Statistical analysis was conducted to evaluate the significance of differences between means. An analysis of variance (ANOVA) was performed using Statistica PL 13.3 software (Tulsa, OK, USA). Homogeneous groups were determined for the dependent variables assessed using the Tukey test at a significance level of p < 0.05.

3. Results

3.1. Accumulation of Plant Biomass

In both years of the study, at successive measurement dates, the biomass of aboveground and belowground plant parts on sites fertilized with increasing doses of fertilizers (D1-D3), either applied to the soil surface (TD) or incorporated into the soil (DP10, DP20), was significantly higher compared to the control site (D0). Increasing the fertilizer dose applied either to the soil surface or into the soil resulted in an increased biomass of both above- and below-ground plant parts (Table 2).
Table 2. Biomass of aboveground parts, tubers and roots of potatoes during the plant growing season (t ha−1).
During the initial period of potato growth (up to the 56th day of vegetation), the rate of aboveground biomass accumulation exceeded that of plant tubers and roots. Between the 57th and 78th days of vegetation, plants accumulated tuber biomass more rapidly than aboveground biomass. However, between the 79th and 99th days of vegetation, the rate of tuber biomass accumulation notably declined, and depending on the level and method of fertilization, it became similar to or even lower than the rate of aboveground biomass accumulation. Between the 100th and 123rd days of vegetation, the rate of biomass accumulation for aboveground plant parts and potato tubers was generally lower than during the earlier growth phases.

3.2. Potato Tuber Yield

The final potato tuber yields, recorded on day 123 of plant vegetation, were influenced by the method and dosage of fertilizer application, as well as prevailing weather conditions (Table 2). Drought conditions notably exerted a negative impact on potato tuber yields. In the first (dry) year of the study, average potato tuber yields in the top-dressed treatments (TD) were approximately 14.8–23.0% higher compared to the control. On DP10 and DP20 sites, the yields exhibited increases of about 20.9–26.5% and 19.4–37.2%, respectively. In the second (wet) year of the study, these differences in yields amounted to 22.9–41.1%, 26.8–48.7%, and 30.0–51.4%, respectively.
The results of two-way ANOVA analysis, as shown in the Table 3, revealed that in both dry and wet years, the main effects of fertilizer doses and methods of application significantly influenced tuber yields. However, their interaction had a significant effect on yield only in the dry year.
Table 3. The two-way ANOVA results-the relationship between fertilizer application methods, nutrient dose, and tuber yield in both dry and wet years.

3.3. Nitrogen and Phosphorus Use Efficiency

Table 4 presents data on nitrogen and phosphorus uptake by the aboveground plant parts and tubers of the potato crop. Nitrogen uptake by plants ranged from 77 to 207 kg N ha−1, and phosphorus uptake ranged from 14 to 36 kg P2O5 ha−1. As anticipated, the lowest nutrient uptake occurred in plants from the control group (D0), while an increase in fertilizer dosage generally led to a significant rise in both nitrogen and phosphorus uptake by the plants. Deep placement of fertilizers at a depth of 10 cm below the seedling resulted in enhanced plant nitrogen uptake in both years of the study. However, when the fertilizer application depth was increased to 20 cm below the seedling, this effect occurred sporadically, with instances of reduced nutrient uptake observed just as frequently in relation to DP10 objects. The effect of increasing fertilizer doses on plant phosphorus uptake was primarily noticeable after applying D1 and D2 doses of fertilizers. In contrast, further increases in nutrient doses (up to D3) often did not result in a significant increase in plant phosphorus uptake. It’s essential to note that the uptake of nutrients (N, P) by plants was influenced by the prevailing atmospheric conditions during the growing season. Regardless of the application method and fertilizer dose, the average nitrogen uptake by plants during a wet year was over 52% higher, and phosphorus uptake was approximately 55% higher compared to a dry year.
Table 4. Uptake of nitrogen (kg N ha−1) and phosphorus (kg P2O5 ha−1) in the final yield of above-ground parts and tubers of potatoes.
Irrespective of the method of fertilizer application, nitrogen and phosphorus use efficiency was notably higher in the wet year compared to the dry year (Figure 3 and Figure 4). As anticipated, increasing the application rates of nitrogen and phosphorus in fertilizers led to a significant reduction in both NUE and PUE (Figure 3b and Figure 4b).
Figure 3. The main effects and interactions between fertilizer application methods, nutrient dose, and nitrogen use efficiency (NUE) in both dry and wet years.
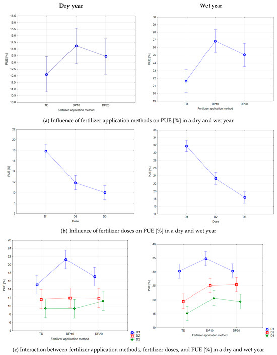
Figure 4. The main effects and interactions between fertilizer application methods, nutrient dose, and phosphorus use efficiency (PUE) in both dry and wet years.
On average, nitrogen use efficiency was generally lower on sites with topdressing (TD) compared to sites with deep placement at 10 cm (DP10) and on DP20 sites (Figure 3a). However, no significant interaction was found between the fertilizer application method and dose (p = 0.32 in the dry year and p = 0.65 in the wet year) (Figure 3c).
Plants use phosphorus from fertilizers less efficiently than nitrogen, as shown by approximately three times lower PUE than NUE (Figure 3 and Figure 4). Phosphorus use efficiency at TD sites ranged from 9.5% to 30.3%, at DP10 sites from 9.4% to 34.8%, and at DP20 sites from 11.3% to 30.4% (Figure 4c). PUE was lower in TD treatments than in DP10 and DP20 treatments for both years of study, similar to NUE (Figure 4a). Nevertheless, it’s worth noting that increasing the depth of fertilizer application from 10 cm to 20 cm below the seedling (DP10 and DP20, respectively) resulted in reduced phosphorus use efficiency (Figure 4a).

3.4. N2O-N Soil Emissions

The N2O-N soil emissions at the TD site ranged from 7.74 to 10.59 µg N2O-N m−2 h−1, at the DP10 site from 9.27 to 8.48 µg N2O-N m−2 h−1, and at the DP20 site from 7.12 to 8.80 µg N2O-N m−2 h−1 (Figure 5). During the initial two measurement dates, N2O-N emissions from the soil at the DP10 site were significantly higher than at the other sites (TD and DP20) (Figure 5). However, during the final measurement date, emissions at the TD site exceeded those recorded at sites DP10 and DP20. Despite the observed variability throughout the growing season, the average N2O-N emission from the soil was 8.78 µg N2O-N m−2 h−1 at the TD site, 8.61 µg N2O-N m−2 h−1 at the DP10 site, and 7.73 µg N2O-N m−2 h−1 at the DP20 site. During the measurement days, the soil emitted a total of 26.35 µg N2O-N m−2 h−1 ± 3.08 in the TD treatment, 25.84 µg N2O-N m−2 h−1 ± 1.94 in the DP10 treatment and 23.19 µg N2O-N m−2 h−1 ± 1.40 in the DP20 treatment. Notably, only the deep placement of slow-release fertilizer at a depth of 20 cm beneath the seedling reduced in a reduction of N2O-N emissions by 13.7% compared to urea top dressing, albeit without statistical significance.
Figure 5. N2O-N soil emissions from soil fertilized with a dose of 150 kg N ha−1 (D3) using topdressing (TD) and deep placement (DP10 and DP20) method. Different letters (a, b) indicate significant differences (p < 0.05) among treatments (TD, DP10 and DP20) (separately for test dates).

4. Discussion

4.1. Effect of Fertilizer Application and Rate on Biomass Accumulation and Potato Yield

Potatoes, although known for their water-efficient characteristics, exhibit higher sensitivity to soil water deficiency compared to other plants due to their shallow root system [27]. Insufficient rainfall leads to reduced biomass accumulation in both aboveground plant parts and tubers. The results presented in Table 2 highlight the substantial impact of drought stress, resulting in a maximum reduction in tuber biomass of over 73%, a reduction of about 62.5% in plant roots, and approximately 49.6% in aboveground plant parts when compared to a year with more favorable precipitation. Interestingly, drought stress was most pronounced in the early stages of plant growth, up to the 56th day of vegetation, with a reduction ranging from about 22.2% to 62.5%. During this period, tuber biomass exhibited similarities between the dry and wet years.
Conversely, the impact of drought on aboveground biomass was more variable. In subsequent measurements up to the 123rd day of plant growth, differences in root biomass between dry and wet years decreased, while disparities in tuber and aboveground plant biomass increased. In the dry year, reductions in tuber biomass at 78, 99, and 123 days of plant growth ranged from 46.4% to 73.3%, and reductions in aboveground biomass ranged from 19.7% to 55.3%. These findings align with the strategies employed by potatoes under drought conditions, such as increasing leaf greenness at the expense of growth. As noted by Dahal et al. [28], drought during the tuberization and tuber bulking stage can result in a reduction in stolon numbers per stem, lower tuber numbers, and inhibited photosynthesis.
Furthermore, in addition to reducing leaf numbers and leaf area and adapting to lower water potential, potatoes growing under drought conditions may adjust their root-to-shoot biomass ratio. The data in Table 2 indicate that the average root-to-shoot biomass ratios up to the 56th day of vegetation and between the 57th and 78th day of vegetation in a dry year were 15.6:1 and 15.0:1, respectively, while in a wet year, they were 10.4 and 13.2:1, respectively. This shift towards a larger root architecture can enhance nutrient and water uptake efficiency, a characteristic supported by the findings of Zarzynska et al. [29], who reported that potato cultivars with deeper and more extensive root systems exhibited increased drought tolerance.
Therefore, between the 79th and 99th days of vegetation, when plant roots had already well outgrown the soil, the differences in the values of this root-to-shoot biomass ratio in the dry and wet years (19.2:1 and 18.4:1, respectively) were significantly smaller. While the functioning and architecture of the root system are genetically determined, they can be modified due to nutrient content, distribution, and water availability in the soil [30]. Plants adapt their root system biomass accumulation strategy to optimize nutrient supply or mitigate the negative impact of excessive nutrient concentrations in the soil. For instance, ammonium ions in the soil solution tend to stimulate the development of new lateral roots, while nitrate ions promote the growth of existing lateral roots [31,32]. As per López-Bucio et al. [33], root growth into deeper soil layers primarily occurs in response to nitrogen and phosphorus deficiency in the topsoil layer.
Additionally, Bélanger et al. [34] demonstrated that potatoes can adjust their biomass partitioning when exposed to water and nitrogen stresses, favoring tubers and large roots. Therefore, it is expected that deep placement of slow-release fertilizers, unlike topdressing with conventional mineral fertilizers, would stimulate root growth in the soil. This is because the slow distribution of nutrients from slow-release fertilizers, combined with their deep placement, creates nitrogen and phosphorus deficiency conditions in the topsoil at the beginning of the plant growing season. Niedzinski et al. [35] observed that slow-release fertilizer deep placement led to an increase in root length, accompanied by a decrease in root weight in favor of tuber yield increase. However, the results of the conducted field experiment, as shown in Table 2, indicate that the effect of fertilizer deep placement on potato tuber yields was relatively limited. Nonetheless, in dry years, applying fertilizers to a depth of 20 cm below the seed potato allowed for the effectiveness of the highest fertilizer rate (D3), which was ineffective with surface application of fertilizers. In the dry year, potato tuber yields on the DP10 site at the D1 fertilizer rate and on the DP20 site at the D2 fertilizer rate were about 10.2% and 13.5% higher, respectively, than on the TD sites fertilized with the corresponding fertilizer rate. However, on the other DP10 and DP20 sites, yields were similar to those on TD sites.
In contrast, in the wet year, irrespective of fertilizer application rate, potato tuber yields on DP10 and DP20 sites were only about 3.1% to 8.1% higher than on TD sites. This supports the view of Wilson et al. [15] that potatoes exhibit limited responsiveness to fertilizer application methods (topdressing vs. deep placement). Considering the described differences in potato tuber yields, it can be concluded that the capital expenditure associated with the production of specialized fertilizers and machinery, as well as the increase in fuel consumption resulting from the placement of granules in the soil, may not be justified in potato cultivation. In contrast, the level of fertilization had a much more significant impact on tuber yield than the method of fertilizer application. Depending on the application method and type of fertilizer, the increase in tuber yield resulting from increased fertilizer application ranged from 14.8% to 37.2% in dry years and from 22.8% to 51.4% in wet years, a phenomenon well-documented in the literature [36,37].

4.2. Nitrogen and Phosphorus Uptake and Efficiency

The uptake and nutrients use efficiency in potato cultivation are significantly influenced by weather conditions and water availability to the plants. Regardless of the application method, type, and dose of fertilizers, plants exhibited better nitrogen and phosphorus uptake and nutrient use efficiency in wet years compared to dry years (Table 4, Figure 3 and Figure 4). This was closely associated with higher potato yields in wet years than in dry years. The relationship between potato tuber yield and nitrogen and phosphorus uptake has been extensively explored, as detailed in a recent study by Xu et al. [38]. Nutrient uptake by plants is a critical aspect of agronomic research, as it helps determine the optimal accumulation of nitrogen and phosphorus needed for maximum plant yield under specific soil, climatic, and agronomic conditions.
With a well-defined level of nutrient uptake from fertilizers by plants, it becomes possible to determine environmentally safe and economically justifiable fertilizer doses that align with production goals. Depending on the soil and climate conditions, the optimal nitrogen and phosphorus uptake may vary.
According to the QUEFTS model, developed for tropical potato growing conditions, achieving a yield of 24 tons per hectare of tubers necessitates the accumulation of 4.0 kg of nitrogen (N) and 1.6 kg of phosphorus pentoxide (P2O5) per ton of aboveground parts and tubers, along with 2.9 kg of N and 1.14 kg of P2O5 per ton of tubers. To achieve a higher yield of 60 t ha−1, a more substantial accumulation of nutrients is required, specifically 6.7 kg of N and 2.52 kg of P2O5 per ton of potato tubers alone [38].
The maximum nitrogen uptake by potatoes varies depending on the soil tillage regime under Brazilian soil and climatic conditions, ranging from 85 to 110 kg N per hectare (ha) and from 32 to 43.5 kg P2O5 per ha. Ierna et al. [37] reported that under Mediterranean climate conditions, with irrigation applied at the potato emergence stage at 50% of the maximum evapotranspiration, satisfactory potato yields are achieved with applications of 100 kg N and 50 kg P2O5 per ha.
Data presented by Blecharczyk et al. [39] under Polish climatic conditions, where the average potato yield in a mineral-organic fertilization system was 26.4 t ha−1, showed that potatoes uptake approximately 88 kg N and 46.4 kg P2O5 per ha. In a mineral-organic fertilization system yielding about 21.0 t ha−1, the nutrient uptake was approximately 62.6 kg N and 34.1 kg P2O5 per ha. Larger nitrogen accumulation in tubers, between 102 and 142 kg N per ha, was observed at tuber yields ranging from 40.4 to 45.9 t ha−1 [40].
The results of the study, as presented in Table 4, demonstrate that potatoes fertilized using different methods and varying nutrient doses took up between 100 and 207 kg N and between 18 and 36 kg P2O5 per ha. Despite the substantial nutrient uptake by the plants, particularly in a wet year, the potato yields corresponding to this level of nitrogen and phosphorus uptake, as described in the literature by Trawczynski [40], were not achieved. Notably, in a dry year, nitrogen (and phosphorus) uptake from fertilizers was significantly lower than in a wet year.
The application of fertilizer nitrogen deep-placed at a depth of 10 cm below the seedlings (DP10) was generally slightly better utilized than on TD (topdressing) sites, and in some cases, similarly or slightly better than on DP20 sites. The use efficiency of fertilizer phosphorus was also slightly better on certain DP10 and DP20 sites compared to TD sites. The improved utilization of phosphorus by plants in the wet year can be attributed to the essential diffusion process that governs the supply of this nutrient to plant roots, which is favored by better soil moisture conditions [41].

4.3. Nutrient Losses

The level of nitrogen use efficiency, especially on sites with the highest nutrient application rate (D3), during a dry year could potentially have contributed to nitrogen losses from the soil. Due to the drought conditions, leaching losses could only occur outside the growing season and if significant amounts of ammonium nitrogen from the fertilizer were nitrified in the soil. This notion is supported by the fact that leaching from the soil predominantly consists of nitrate (NO3) [42]. Conversely, in a wet year, the high values of nitrogen use efficiency may have significantly reduced the risk of nitrogen leaching into groundwater. Recent literature even suggests that deep placement of fertilizers may be an effective method to reduce nitrogen leaching from the soil [43]. In the current study, we investigated the effect of fertilizer application methods on N2O-N emissions from the soil. N2O-N emissions from soil are closely linked to the activities of various aerobic and anaerobic bacteria responsible for nitrogen compound transformations in the soil [44,45]. The primary drivers of N2O-N emissions from soil are the mineral forms of nitrogen (NH4+ and NO3). Consequently, emissions of this gas are higher in soils with higher concentrations of these ions [46]. The results depicted in Figure 5 indicate that, for the same nitrogen application rate, the average N2O-N emissions from soil at the TD site were comparable to those at the DP10 site and approximately 13.7% higher than at the DP20 site.
The limited mitigation effect on soil N2O-N emissions with shallow fertilizer application and the more substantial effect observed with fertilizer application to a 20 cm soil depth align with findings reported in the literature [47,48,49]. In our study, while deep placement of fertilizer improved nitrogen use efficiency, it did not exhibit a clear impact on crop yields. Consequently, in the context of potato cultivation, it is debatable to suggest, as Singh et al. [47] did, that the negligible mitigation effect of N2O-N emissions in sandy soils is secondary to the production function of such fertilizer placement. The nearly 14% reduction in N2O-N emissions observed in our study could be relevant in the context of striving to meet ambitious greenhouse gas reduction targets set for European agriculture [50]. Nevertheless, the absence of a response by potatoes to increased fertilizer placement depth from 10 to 20 cm (as seen in Table 2) and the potential loss of the N2O-N mitigation effect reported by Sosulski et al. [51] with deep placement emphasize the need for more comprehensive research in this area. Total N2O-N emissions from soil were approximately 13.7% lower in the DP20 treatment compared to the TD treatment. Generally, these differences are consistent with findings documented in the literature [23,51]. However, it appears that the extent of N2O-N emissions reduction owing to fertilizer deep placement is contingent upon the cultivated crop species. Under analogous soil and climatic conditions, fertilizer deep placement in maize cultivation yielded an average reduction in N2O-N emissions ranging from 21.8 to 32.3% [17]. Nevertheless, at specific study sites, N2O-N emissions from top-dressed soil were comparable to those observed under deep placement fertilization.
An assessment of the potential loss of phosphorus from soil with deep fertilizer placement compared to topdressing under potatoes can be made by analyzing the extent to which this nutrient is utilized by plants. The relatively high phosphorus use efficiency at sites DP10 and DP20 suggests that the risk of phosphorus loss from the soil may have been greater at TD sites, especially at higher nutrient application rates. Although sandy soils typically exhibit low sorption capacities for phosphorus [52], this phenomenon was likely not affected. The discontinuation of organic fertilization for potatoes may have reduced competition between organic and phosphate anions for sorption sites in the soil [53]. The findings from the referenced studies suggest that organic compounds released into the soil due to manure decomposition compete with phosphates for sorption sites in the soil or form complexes with Al and Fe, thereby diminishing the soil’s sorption capacity for phosphorus [54,55]. Additionally, it can be predicted that even in a year with more precipitation, conditions for increased surface runoff of phosphorus were not prevalent.

5. Conclusions

In the context of potato cultivation under the soil and climatic conditions of central Poland, the deep placement of slow-release fertilizers has demonstrated a rather limited impact on yield enhancement. Even in dry years, the differences in potato yields between traditional surface fertilization and deep placement at depths of 10 and 20 cm below the seedlings were relatively modest compared to the effects of increasing nitrogen and phosphorus doses in fertilizers. Furthermore, increasing the depth of fertilizer application from 10 cm to 20 cm did not significantly alter the nitrogen and phosphorus use efficiency from the fertilizer. However, it’s important to note that deep placement at a depth of 20 cm did lead to a reduction in N2O-N emissions from the light soil, suggesting that this practice may contribute to mitigating emissions of this greenhouse gas in potato cultivation. Nevertheless, for a comprehensive assessment of the mitigation effect, further studies should conduct an in-depth analysis of the greenhouse gas emission balance, taking into account other greenhouse gas emissions.

Author Contributions

Conceptualization, T.S., T.N. and J.Ł.; methodology, T.S. and T.N.; validation, M.S.; formal analysis, M.S.; investigation, T.S., T.N. and J.Ł.; data curation, T.S.; writing—original draft preparation, T.S.; writing—review and editing, T.N., J.Ł. and M.S.; visualization, M.S. and T.N.; supervision, M.S.; project administration, J.Ł. and T.S. All authors have read and agreed to the published version of the manuscript.

Funding

This work was supported by The National Centre for Research and Development—Poland (NCBR) AZOMAIS PBS1/B8/4/2012 no 178675.

Institutional Review Board Statement

Not applicable.

Data Availability Statement

The data described in this study are available on request from the corresponding author.

Conflicts of Interest

The authors declare no conflicts of interest.

References

  1. Statistical; Agriculture, Yearly Output. 2021. Available online: https://ec.europa.eu/eurostat/statistics-explained/images/4/46/Production_of_potatoes%2C_including_seed%2C_2020_T1Rev.png (accessed on 22 January 2024).
  2. Westermann, D.T. Nutritional requirements of potatoes. Am. J. Potato Res. 2005, 82, 301–307. [Google Scholar] [CrossRef]
  3. Horneck, D.; Rosen, C. Measuring nutrient accumulation rates of potatoes—Tools for better management. Better Crops 2008, 92, 94–96. [Google Scholar]
  4. Parry, M.L. Assessment of Potential Effects and Adaptation for Climate Change in Europe: The Europe ACACIA Project; Jackson Environmental Institute, University of East Anglia: Norwich, UK, 2000; p. 324. [Google Scholar]
  5. Grizzetti, B.; Bouraoui, F.; De Marsily, G. Assessing nitrogen pressures on European surface water. Glob. Biogeochem. Cycles 2008, 22, 1–14. [Google Scholar] [CrossRef]
  6. Namdev, G.R.; Bajpai, A.; Malik, S. Effect of chemical fertilizers on water quality of irrigation reservoir (Kaliasote Reservoir) of Bhopal (MP). Curr. World Environ. 2011, 6, 169–172. [Google Scholar]
  7. Hénault, C.; Grossel, A.; Mary, B.; Roussel, M.; Léonard, J. Nitrous Oxide Emission by Agricultural Soils: A Review of Spatial and Temporal Variability for Mitigation. Pedosphere 2012, 22, 426–433. [Google Scholar] [CrossRef]
  8. Wang, C.; Lv, J.; Coulter, J.A.; Xie, J.; Yu, J.; Li, J.; Zhang, J.; Tang, C.; Niu, T.; Gan, Y. Slow-release fertilizer improves the growth, quality, and nutrient utilization of wintering Chinese chives (Allium tuberosum rottler ex spreng.). Agronomy 2020, 10, 381. [Google Scholar] [CrossRef]
  9. Shaviv, A. Advanced in controlled-release fertilizers. Adv. Agron. 2001, 71, 1–49. [Google Scholar]
  10. Niedziński, T.; Sierra, M.J.; Łabętowicz, J.; Noras, K.; Cabrales, C.; Millán, R. Release of nitrogen from granulate mineral and organic fertilizers and its effect on selected chemical parameters of soil. Agronomy 2021, 11, 1981. [Google Scholar] [CrossRef]
  11. Trenkel, M.E. Slow-and Controlled-Release and Stabilized Fertilizers: An Option for Enhancing Nutrient Use Efficiency in Agriculture, 2nd ed.; International Fertilizer Industry Association (IFA): Paris, France, 2010. [Google Scholar]
  12. Abou-Zied, S.T.; AbdEl-Lateef, E.M.; Hanem, A.S.; Hozayn, M.M.; Soad, M.E.A.; Amel, L.A.E.L.; Essa, R.E. Effect of different slow release nitrogen fertilizer forms on yield and chemical constituents of maize and soybean. Middle East J. Agric. Res. 2014, 3, 645–655. [Google Scholar]
  13. Yang, L.J.; Han, X.R.; Zhan, X.M.; Yang, J.F.; Fang, D.W.; Zou, D.B. Effects of slow release nitrogen fertilizers on yield of maize and rice, nitrogen use efficiency and inorganic N residue. J. Shenyang Agric. Univ. 2012, 43, 184–188. [Google Scholar]
  14. Geng, J.; Sun, Y.; Zhang, M.; Li, C.; Yang, Y.; Liu, Z.; Li, S. Long-term effects of controlled release urea application on crop yields and soil fertility under rice-oilseed rape rotation system. Field Crops Res. 2015, 184, 65–73. [Google Scholar] [CrossRef]
  15. Zeng, W.; Liu, Z.; Zhang, M.; Shi, Y.; Zhu, Q.; Sun, Y.; Zhou, H.; Li, C.; Yang, Y.; Geng, J. Improving crop yields, nitrogen use efficiencies, and profits by using mixtures of coated controlled-released and uncounted urea in a wheat-maize system. Field Crops Res. 2017, 205, 106–115. [Google Scholar] [CrossRef]
  16. Wilson, M.L.; Rosen, C.J.; Moncrief, J.F. Potato response to a polymer-coated urea on an irrigated, coarse-textured soil. Agron. J. 2009, 101, 897–905. [Google Scholar] [CrossRef]
  17. Rutkowska, B.; Szulc, W.; Szara, E.; Skowrońska, M.; Jadczyszyn, T. Soil N2O emissions under conventional and reduced tillage methods and maize cultivation. Plant Soil Environ. 2017, 63, 342–347. [Google Scholar] [CrossRef]
  18. Nkebiwe, P.M.; Weinmann, M.; Bar-Tal, A.; Muller, T. Fertilizer placement to improve crop nutrient acquisition and yield: A review and meta-analysis. Field Crops Res. 2016, 196, 389–401. [Google Scholar] [CrossRef]
  19. Khalofah, A.; Khan, M.I.; Arif, M.; Hussain, A.; Ullah, R.; Irfan, M.; Mahpara, S.; Shah, R.U.; Ansari, M.J.; Kintl, A.; et al. Deep placement of nitrogen fertilizer improves yield, nitrogen use efficiency and economic returns of transplanted fine rice. PLoS ONE 2021, 16, e0247529. [Google Scholar] [CrossRef] [PubMed]
  20. Islam, S.M.M.; Gaihre, Y.K.; Islam, M.N.; Jahan, A.; Sarkar, M.A.R.; Singh, U.; Islam, A.; Mahmud, A.A.; Akter, M.; Islam, M.R. Effects of integrated nutrient management and urea deep placement on rice yield, nitrogen use efficiency, farm profits and greenhouse gas emissions in saline soils of Bangladesh. Sci. Total Environ. 2024, 909, 168660. [Google Scholar] [CrossRef] [PubMed]
  21. Wu, M.; Li, G.; Li, W.; Liu, J.; Liu, M.; Jiang, C.; Li, Z. Nitrogen fertilizer deep placement for increased grain yield and nitrogen recovery efficiency in rice grown in subtropical China. Front. Plant Sci. 2017, 8, 1227. [Google Scholar] [CrossRef]
  22. Chen, Y.; Ping, F.; Tian, H.; Ashraf, U.; Mo, Z.; Duan, M.; Li, L.; Tang, X.; Pan, S. Deep Placement of Nitrogen Fertilizer Affects Grain Yield, Nitrogen Recovery Efficiency, and Root Characteristics in Direct-Seeded Rice. J. Plant Growth Regul. 2021, 40, 379–387. Available online: https://assets.researchsquare.com/files/rs-4021/v1/7831879e-c4af-4482-b6a1-7e6b7dfa6e92.pdf?c=1631826499 (accessed on 11 February 2024). [CrossRef]
  23. Li, L.; Tian, H.; Zhang, M.; Fan, P.; Ashraf, U.; Liu, H.; Chen, X.; Duan, M.; Tang, X.; Wang, Z.; et al. Deep placement of nitrogen fertilizer increases rice yield and nitrogen use efficiency with fewer greenhouse gas emissions in a mechanical direct-seeded cropping system. Crop J. 2021, 9, 1386–1396. [Google Scholar] [CrossRef]
  24. Egner, M.T.; Riehm, H.; Domingo, W.R. Untersuchungen uber die chemishe boden-analyse als grundlage fur die beurteilung des nahrsoffzustandes der boden. II. Chemiche extraktionsmethoden zur phosphor und kalimbestimmung kungl.Lantbrukshoegskolans. Annales 1960, 26, 199–215. [Google Scholar]
  25. Plant Breeding and Acclimatization Institute—National Research Institute Bonin Research Center. Available online: http://ziemniak-bonin.pl/ (accessed on 11 February 2024).
  26. Hutchinson, G.L.; Livingston, G.P. Use of Chamber Systems to Measure Trace Gas; Fluxes, L.A., Mosier, A.R., Duxbury, J.M., Rolston, D.E., Eds.; Agricultural Ecosystem Effects on Trace Gases and Global Climate Change; Special Publication: Madison, WI, USA, 1993; pp. 63–78. [Google Scholar]
  27. Djaman, K.; Irmak, S.; Koudahe, K.; Allen, S. Irrigation management in potato (Solanum tuberosum L.) production: A review. Sustainability 2021, 13, 1504. [Google Scholar] [CrossRef]
  28. Dahal, K.; Li, X.Q.; Tai, H.; Creelman, A.; Bizimungu, B. Improving potato stress tolerance and tuber yield under a climate change scenario—A current overview. Front. Plant Sci. 2019, 10, 563. [Google Scholar] [CrossRef] [PubMed]
  29. Zarzyńska, K.; Boguszewska-Mańkowska, D.; Nosalewicz, A. Differences in size and architecture of the potato cultivars root system and their tolerance to drought stress. Plant Soil Environ. 2017, 63, 159164. [Google Scholar] [CrossRef]
  30. Krouk, G.; Ruffel, S.; Gutiérrez, R.A.; Gojon, A.; Crawford, N.M.; Coruzzi, G.M.; Lacombe, B.A. framework integrating plant growth with hormones and nutrients. Trends Plant Sci. 2011, 16, 178–182. [Google Scholar] [CrossRef]
  31. Lima, J.E.; Kojima, S.; Takahashi, H.; von Wirén, N. Ammonium triggers lateral root branching in Arabidopsis in an AMMONIUM TRANSPORTER1;3-dependent manner. Plant Cell 2010, 22, 3621–3633. [Google Scholar] [CrossRef]
  32. Jones, B.; Ljung, K. Subterranean space exploration: The development of root system architecture. Curr. Opin. Plant Biol. 2012, 15, 97–102. [Google Scholar] [CrossRef] [PubMed]
  33. López-Bucio, J.; Cruz-Ramírez, A.; Herrera-Estrella, L. The role of nutrient availability in regulating root architecture. Curr. Opin. Plant Biol. 2003, 6, 280–287. [Google Scholar] [CrossRef]
  34. Bélanger, G.; Walsh, J.R.; Richards, J.E.; Milbum, P.H.; Ziadi, N. Tuber growth and biomass partitioning of two potato cultivars grown under different n fertilization rates with and without irrigation. Am. J. Potato Res. 2001, 78, 109–117. [Google Scholar] [CrossRef]
  35. Niedziński, T.; Rutkowska, B.; Łabętowicz, J.; Szulc, W. Effect of deep placement fertilization on the distribution of biomass, nutrients, and root system development in potato plants. Plants 2023, 12, 1880. [Google Scholar] [CrossRef]
  36. Ruža, A.; Skrabule, I.; Vaivode, A. Influence of nitrogen on potato productivity and nutrient use efficiency. Proc. Latv. Acad. Sci. B Nat. Exact Appl. Sci. 2013, 67, 247–253. [Google Scholar] [CrossRef]
  37. Ierna, A.; Pandino, G.; Lombardo, S.; Mauromicale, G. Tuber yield, water and fertilizer productivity in early potato as affected by a combination of irrigation and fertilization. Agric. Water Manag. 2011, 101, 35–41. [Google Scholar] [CrossRef]
  38. Xu, Y.; He, P.; Xu, X.; Qiu, S.; Ullah, S.; Gao, Q.; Zhou, W. Estimating nutrient uptake requirements for potatoes based on quefts analysis in China. Agron. J. 2019, 111, 2387–2394. [Google Scholar] [CrossRef]
  39. Blecharczyk, A.; Kowalczewski, P.Ł.; Sawinska, Z.; Rybacki, P.; Radzikowska-Kujawska, D. Impact of Crop Sequence and Fertilization on Potato Yield in a Long-Term Study. Plants 2023, 12, 495. [Google Scholar] [CrossRef] [PubMed]
  40. Trawczyński, C. Influence of nitrogen fertilization on the yield, quality and nitrogen utilization efficiency of early potato tubers harvested on two dates. J. Elem. 2019, 24, 1253–1267. [Google Scholar] [CrossRef]
  41. Hinsinger, P.; Plassard, C.; Tang, C.; Jaillard, B. Origins of root-mediated pH changes in the rhizosphere and their responses to environmental constraints: A review. Plant Soil 2003, 248, 43–59. [Google Scholar] [CrossRef]
  42. Sosulski, T.; Szara, E.; Szymańska, M.; Stępień, W. N2O emission and nitrogen and carbon leaching from the soil in relation to long-term and current mineral and organic fertilization—A laboratory study. Plant Soil Environ. 2017, 63, 97–104. [Google Scholar] [CrossRef]
  43. Rychel, K.; Meurer, K.H.E.; Getahun, G.T.; Bergström, L.; Kirchmann, H.; Kätterer, T. Lysimeter deep N fertilizer placement reduced leaching and improved N use efficiency. Nutr. Cycl. Agroecosyst. 2023, 126, 213–228. [Google Scholar] [CrossRef]
  44. Butterbach-Bahl, K.; Baggs, E.M.; Dannenmann, M.; Kiese, R.; Zechmeister-Boltenstern, S. Nitrous oxide emissions from soils: How well do we understand the processes and their controls? Philos. Trans. R. Soc. Lond. B Biol. Sci. 2013, 368, 20130122. [Google Scholar] [CrossRef]
  45. Zhu, X.; Burger, M.; Doane, T.A.; Horwath, W.R. Ammonia oxidation pathways and nitrifier denitrification are significant source of N2O and NO under low oxygen availability. Proc. Natl. Acad. Sci. USA 2013, 110, 6328–6333. [Google Scholar] [CrossRef]
  46. Sosulski, T.; Szara, E.; Szymańska, M.; Stępień, W.; Rutkowska, B.; Szulc, W. Soil N2O emissions under conventional tillage conditions and from forest soil. Soil Tillage Res. 2019, 190, 86–91. [Google Scholar] [CrossRef]
  47. Singh, P.; Bhatia, A.; Subhash, N.; Dua, V.K.; Rawal, S.; Kumar, M.; Sharma, J.; Kumar, S.; Chaukhande, P.; Mankar, P. Greenhouse gas emissions from potato crop. Potato J. 2022, 49, 100–103. [Google Scholar]
  48. Liu, X.; Mosier, A.R.; Halvorson, A.D.; Zhang, F.S. The impact of nitrogen placement and tillage on NO, CO2 fluxes from a clay loam soil. Plant Soil 2006, 280, 177–188. [Google Scholar] [CrossRef]
  49. Hosen, Y.; Paisancharoen, K.; Tsuruta, H. Effects of deep application of urea on NO and N2O emissions from an Andisol. Nutr. Cycl. Agroecosyst. 2002, 63, 197–206. [Google Scholar] [CrossRef]
  50. European Commission. Forging a Climate-Resilient Europe—The New EU Strategy on Adaptation to Climate Change. 2021. Available online: https://eur-lex.europa.eu/legal-content/EN/TXT/PDF/?uri=CELEX:52021DC0082 (accessed on 22 January 2024).
  51. Sosulski, T.; Stępien, W.; Wąs, A.; Szymańska, M. N2O and CO2 Emissions from Bare Soil: Effect of Fertilizer Management. Agriculture 2020, 10, 602. [Google Scholar] [CrossRef]
  52. Szara, E.; Sosulski, T.; Szymańska, M.; Szyszkowska, K. Usefulness of Mehlich-3 test in the monitoring of phosphorus dispersion from Polish arable soils. Environ. Monit. Assess. 2018, 190, 298. [Google Scholar] [CrossRef] [PubMed]
  53. Szara, E.; Sosulski, T.; Szymańska, M.; Stępień, W. Phosphate sorption and p soil-test in sandy loam soil as affected by manure and lime applications in a long-term fertilization experiment. Fresenius Environ. Bull. 2017, 26, 3191–3199. [Google Scholar]
  54. Iyamuremye, F.; Dick, R.P.; Baham, J. Organic amendments and phosphates dynamics: I. Phosphorus chemistry and sorption. Soil Sci. 1996, 161, 426–435. [Google Scholar] [CrossRef]
  55. You, Y.; Whalen, J.K.; Hendershot, W.H. Phosphate sorption and release in a sandy-loam soil as influenced by fertilizer sources. Soil Sci. Soc. Am. J. 2007, 71, 118–124. [Google Scholar]
Disclaimer/Publisher’s Note: The statements, opinions and data contained in all publications are solely those of the individual author(s) and contributor(s) and not of MDPI and/or the editor(s). MDPI and/or the editor(s) disclaim responsibility for any injury to people or property resulting from any ideas, methods, instructions or products referred to in the content.

Article Metrics

Citations

Article Access Statistics

Multiple requests from the same IP address are counted as one view.