Abstract
The advent of precision agriculture has highlighted the necessity for the careful determination of crop phenology at increasingly smaller scales. Although remote sensing technology is extensively employed for the monitoring of crop growth, the acquisition of high-precision phenological data continues to present a significant challenge. This study, conducted in Youyi County, Shuangyashan City, Heilongjiang Province, China, employed time-series spectral index data derived from Sentinel-2 remote sensing images to investigate methodologies for the extraction of pivotal phenological phases during the primary growth stages of maize. The data were subjected to Savitzky–Golay (S-G) filtering and cubic spline interpolation in order to denoise and smooth them. The combination of dynamic thresholding with slope characteristic node recognition enabled the successful extraction of the jointing and tasseling stages of maize. Furthermore, a comparison of the extraction of phenophases based on the time-series curves of the NDVI, EVI, GNDVI, OSAVI, and MSR was conducted. The results showed that maize exhibited different sensitivities to the spectral indices during the jointing and tasseling stages: the OSAVI demonstrated the highest accuracy for the jointing stage, with a mean absolute error of 3.91 days, representing a 24.8% improvement over the commonly used NDVI. For the tasseling stage, the MSR was the most accurate, achieving an absolute error of 4.87 days, with an 8.6% improvement compared to the NDVI. In this study, further analysis was conducted based on maize cultivation data from Youyi County (2021–2023). The results showed that the maize phenology in Youyi County in 2021 was more advanced compared to 2022 and 2023, primarily due to the higher average temperatures in 2021. This study provides valuable support for the development of precision agriculture and maize phenology monitoring and also provides a useful data reference for future agricultural management.
1. Introduction
Maize is a major global food crop, occupying a critical position in agricultural production worldwide. It serves as a fundamental source of sustenance and animal feed for many countries []. In China, the strategic importance of maize extends beyond food security to encompass economic development. It plays a dual role in this regard, providing essential nutrients for human consumption and serving as a key component in animal feed and industrial raw materials []. It is therefore imperative to guarantee the stability and high yield of maize production, not only for the purpose of ensuring the livelihoods of the population but also for the protection of national food security and the promotion of social stability.
The study of crop phenology, which involves studying the developmental stages and growth patterns of crops throughout the growing season, is crucial in understanding crop dynamics and optimizing agricultural management strategies [,]. By employing phenology extraction technologies, it is possible to monitor and analyze crop performance at different growth stages, thereby laying the scientific foundation for precision agricultural management []. In the growth process of maize, the jointing and tasseling stages are two critical periods. The jointing stage marks the transition from vegetative to reproductive growth in maize, and the growth rate and potential of the plant during this stage directly influence its subsequent growth and yield formation. The tasseling stage is a key period for reproductive development in maize, determining the success of pollination, which directly affects kernel formation and the final yield. Therefore, these two stages have significant scientific value in maize phenology research. Understanding their phenological characteristics is essential in improving the crop management efficiency and yield prediction accuracy. Moreover, accurately acquiring crop phenology information not only enhances the yield forecasting accuracy but also helps farmers and agricultural policymakers to better adapt to climate change and other environmental challenges [,,]. In practical applications, climate change, especially variations in temperature and precipitation, significantly impacts the growing cycle and phenological characteristics of maize at different stages. Therefore, the precise monitoring and analysis of these critical stages can provide a scientific basis for more effective agricultural management and climate adaptation strategies. Detailed research on key growth stages, such as the jointing and tasseling stages, will enable a more comprehensive assessment of the impact of climate change on crop growth, thereby providing essential support for the implementation of precision agriculture and sustainable development.
Different vegetation indices can reflect different characteristics of crops [,]. The Normalized Difference Vegetation Index (NDVI) is one of the most widely used vegetation indices in remote sensing for the monitoring of crop growth and extraction of phenological data []. The NDVI effectively reflects the vegetation growth status and cover density by capturing the spectral characteristics of vegetation []. However, a known limitation of the NDVI is its saturation effect—when the vegetation density is high, the index tends to saturate, causing the peak in the time-series curve to deviate from the actual phenological events. To overcome this issue, researchers have developed methods that extract phenological data based on key nodes in the time-series curve and dynamic thresholding [,,], aimed at enhancing the accuracy of phenology extraction. However, as the NDVI is only one among numerous vegetation indices, other indices, such as the Enhanced Vegetation Index (EVI), Optimized Soil-Adjusted Vegetation Index (OSAVI), Green Normalized Difference Vegetation Index (GNDVI), Modified Simple Ratio (MSR), Green Chlorophyll Index (GCI), and Structure Insensitive Pigmentation Index (SIPI), may display disparate response characteristics in varying crop growth stages and across diverse regional conditions. It is therefore imperative that further research is conducted into the potential applications of alternative vegetation indices for the extraction of phenological data, in conjunction with dynamic threshold methods. It is of great importance to identify the most appropriate combination of indices to ensure the accurate extraction of phenological data, in order to facilitate further developments in this field of study [].
Presently, data pertaining to the temporal spectral index derived from satellite remote sensing imagery captured by the MODIS instrument can be used as a direct reflection of changes in crops over time. The effectiveness of these time-series curves for crop phenology extraction has been demonstrated through the application of filtering, interpolation, and fitting techniques []. The short revisit cycle of MODIS enables it to partially offset the impact of cloud cover on remote sensing imagery. However, when applied to the extraction of crop phenology in small, densely distributed areas, the medium spatial resolution of MODIS presents challenges in capturing the phenological differences between individual plots [,]. In contrast, the high spatial resolution of Sentinel-2 remote sensing imagery permits the more effective avoidance of the issues associated with lower spatial resolutions. Nevertheless, the comparatively lengthy revisit period gives rise to a greater impact of cloud cover on the imagery, resulting in a higher degree of noise in the time-series spectral index data and a reduction in the distinctness of the curve peaks. Consequently, the question of how remote sensing imagery, which is capable of small-scale weather monitoring, can be used to provide more accurate crop weather monitoring remains an open issue [].
This study employed Sentinel-2 imagery to obtain a range of spectral index data over a time series in Youyi County, generate time-series curves, and compare the extraction errors of multiple spectral indices for the jointing and tasseling stages of corn. The optimal indices for the extraction of the jointing and tasseling stages were identified. The objectives of this study were (1) to identify sensitive spectral indices for the extraction of the jointing and tasseling stages of corn; (2) to analyze the spatial variations in corn’s phenological stages in Youyi County from 2021 to 2023.
2. Overview of the Study Area and Data Processing
2.1. Overview of the Study Area
The study area is located in Youyi County, Shuangyashan City, Heilongjiang Province, situated within the central region of the Sanjiang Plain. The geographical coordinates of the study area range from 46°31′ to 46°59′ N latitude and 131°28′ to 132°15′ E longitude, encompassing an area of approximately 1784.2 square kilometers. The climate of Youyi County is classified as temperate continental monsoon; the winter season (November to March) is characterized by cold and dry conditions, while the summer period (June to August) is marked by high temperatures and humidity. The fertile soils and favorable climatic conditions of Youyi County facilitate the cultivation of a variety of crops, including rice, maize, and soybeans. The agricultural production model is based primarily on a single annual harvest. Maize is typically sown in mid-to-late April, with irrigation applied in late May to early June, when maize enters the jointing stage, and fertilization is carried out in July during the tasseling stage to increase the accumulation of dry matter and the starch content in the grains. The geographic location of the area, the main crop types, and the locations of the sampling points selected for the study are shown in Figure 1.

Figure 1.
Geographic location of the study area and distribution of major crops.
2.2. Data Acquisition and Processing
The datasets used in this study include field survey data on maize phenology in and around Youyi County in 2022, time-series Sentinel-2 satellite remote sensing images, vector data on cultivated plots in Youyi County, and data on the crop cultivation types in Youyi County.
2.2.1. Ground-Based Data
This study integrates vector data on cultivated plots and crop cultivation type data [] from Youyi County from 2021 to 2023 for overlay analysis, where the vectors represent parcel information manually delineated from remote sensing imagery. The initial filtering focused on identifying plots where maize was among the cultivated crops. Secondary screening was conducted using spatial statistical analysis to extract plots predominantly cultivated with maize, with the maize cultivation area exceeding 50% of the total plot area. Visual interpretation was then employed to subdivide plots with clearly defined cultivation boundaries and simple geometric features. Non-maize plots and arable land with complex planting types that were difficult to classify were manually excluded. As a result, a dataset of maize cultivation plots in Youyi County was obtained, and each plot was assigned a unique identifier for further analysis.
The data used for experimental validation were derived from field observations conducted on maize cultivation plots in Youyi County and its surrounding areas during June and July 2022. The onset of a specific phenological stage was determined when the requisite characteristics of that stage were observed in the crop plants. Once the proportion of plants in a specific phenological stage within a plot reached 10% of the total, this was deemed to be the onset of that particular developmental stage. Similarly, a threshold of 50% indicated that the crop was fully in that phenological stage, while 80% signified the completion of development in that stage. This study obtained the time points at which the maize jointing and tasseling stages were fully completed, with 80% of the plants entering the corresponding phenological stage, which were directly applied in the subsequent verification analysis. To address potential inaccuracies in the localization of field data and statistical errors, time-series remote sensing imagery was employed to validate the observations at each sampling point. In conclusion, a total of 47 valid data points corresponding to the jointing and tasseling stages of maize were obtained.
2.2.2. Remote Sensing Data
This study employed high-resolution Sentinel-2 satellite imagery to calculate time-series spectral indices for maize cultivation plots, with a spatial resolution of 10 meters. Given the mid-latitude location of the Sanjiang Plain and the resulting overlap of the satellite images, the temporal resolution of the imagery can reach 2 to 3 days. The data products were downloaded from the Google Earth Engine (GEE) platform (https://code.earthengine.google.com/) (accessed on 1 June 2024), where the Sentinel-2 products underwent a series of preprocessing steps, including atmospheric correction and geometric correction. The data were masked to exclude cloud cover, and the mean spectral index values for each plot in Youyi County were extracted and exported over the time series.
3. Research Methodology
This study focuses on maize in Youyi County and addresses the issues caused by cloudy weather, the non-uniqueness of the feature nodes in the time-series curves used to extract phenological information due to different maize planting times across plots, and the inability to reflect phenological differences in maize within small regional plots due to low spatial resolution of the imagery. We adopted Savitzky–Golay (S-G) filtering, dynamic thresholding, and a combination of slope feature nodes and compressed time for phenology extraction, using time-series spectral index data to achieve the extraction of the jointing and tasseling stages of maize.
3.1. Time-Series Spectral Indices and Treatments
3.1.1. Remote Sensing Image Data
The NDVI, widely recognized as the most commonly utilized index in agricultural management and ecological monitoring, plays a crucial role in crop phenology extraction. However, its limitations are noteworthy. Traditionally, studies have relied on medium-resolution imagery to compute the time-series NDVI and generate corresponding curves for phenological analysis []. This medium resolution often falls short in meeting the spatial scale requirements for the monitoring of smaller plots, particularly in areas with heterogeneous cropping patterns. Furthermore, high-resolution imagery typically contains a larger proportion of soil within each pixel, which can disproportionately influence the NDVI readings. Additionally, the saturation effect of the NDVI becomes pronounced when the vegetation cover is dense. This saturation can result in the early occurrence of peak values in the time-series curve, leading to the premature identification of phenological stages.
In order to address the aforementioned issues, this study employs four indices—the GNDVI, EVI, OSAVI, and MSR—to construct time-series curves for the extraction of the jointing and tasseling stages in maize (Table 1). Subsequently, the results are compared with those obtained from the NDVI time-series curve. In particular, the GNDVI incorporates the green band to enhance the sensitivity to chlorophyll; the EVI includes the blue band for atmospheric correction to provide more accurate vegetation information; the OSAVI introduces a soil adjustment factor to mitigate the influence of the soil background; and the MSR adjusts the ratio between the infrared and red bands using a square root transformation to increase the range of index variation and overcome saturation effects. The various indices and their formulas are presented in Table 1 for reference.

Table 1.
Spectral indices used in this study.
3.1.2. Savitzky–Golay (S-G) Filtering
Savitzky–Golay (S-G) filtering is a data smoothing method proposed by Abraham Savitzky and Marcel J.E. Golay in 1964 []. It achieves data smoothing by performing polynomial fitting within a sliding window and replacing the original data point with the central value of the fitted curve. The steps for the use of this method are as follows. For a data sequence {xi} (i = 1, 2, 3, …, N), a window of length 2m + 1 is defined. Within the sliding window, a low-order polynomial is fitted to the central point xi and the 2m neighboring data points. Polynomial coefficients are solved using the least squares method, ensuring that the fitted curve closely approximates the original data points within the window. The objective function is
where k is the polynomial order of the setup, yj is the original value of the data, ak is the polynomial coefficient, and n is the fitted polynomial order.
The agricultural production model for maize in Youyi County is characterized by a one-harvest-per-year cycle. The temporal spectral index curve displays a unimodal function, initially rising and subsequently declining, with a discernible overall trend and peak characteristics. Accordingly, the S-G filter method was employed in this study to denoise the temporal spectral index data, thereby enhancing the data’s trend while effectively preserving their characteristics.
3.1.3. Cubic Spline Interpolation
Cubic spline interpolation is a widely used technique in the field of temporal spectral curve analysis []. It is employed in data fitting, graph plotting, and signal processing due to its favorable characteristics of low computational costs, high accuracy, and strong continuity. It is particularly well suited to situations where transitions between data points must be smooth [,]. The construction of a set of cubic polynomials ensures that the resulting interpolation curve is relatively smooth within each data point and its neighboring regions, with continuous first and second derivatives. This enables the interpolated spectral index series to demonstrate a more continuous and precise changing trend. In this study, cubic spline interpolation was employed to unify the temporal data into a uniform time interval of 1 day.
3.2. Methods of Extraction of Phenological Periods
3.2.1. Slope Feature Nodes and Dynamic Thresholds
Previous studies have mostly used the slope feature node method or the dynamic thresholding method for phenology extraction based on time-series spectral index curves.
The slope feature node method is based on the temporal characteristic curve of the spectral index, which reflects the growth trend of the crop, and it can extract a number of key nodes [,]. The time point at which the growth rate reaches its maximum in the upward phase of the curve indicates the fastest growth stage of the crop, corresponding to the maize jointing stage. The time at which the curve reaches its peak represents the maximum growth state of the plant, marking the end of vegetative growth, which corresponds to the tasseling stage of maize. The point in the downward phase of the curve where the rate of decline is greatest indicates that the crop has been harvested, which corresponds to the harvesting stage of maize. Therefore, to effectively extract the jointing and tasseling stages of maize, this study calculates the slope of the time characteristic curve to identify the time points at which the slope was at its maximum and where it equaled zero, corresponding to the fastest growth rate and peak growth on the curve, which represented the jointing and tasseling stages, respectively.
In 2002, Josson and Eklundh proposed the dynamic threshold method [], which uses 10% and 90% of the difference between the maximum and minimum values of the time-series vegetation index as dynamic thresholds. The time at which the vegetation index first reached 10% during the upward phase of the curve was used to represent the beginning of the vegetative growth phase of the crop, while the time at which the index first reached 90% during the downward phase marked the beginning of the reproductive growth phase of the crop. This helped to determine the phenology of the crop.
In previous studies, crop phenology extraction was mostly based on medium-resolution imagery [,], which was insufficient for small-scale monitoring needs [], and pixel-level analysis was easily affected by noise. To improve the monitoring accuracy, this study uses high-resolution Sentinel-2 imagery and constructs time-series curves based on the mean spectral index of each plot. This approach avoids the uncertainty caused by the excessive influence of individual pixels due to surface features, weather conditions, and other factors.
In extracting the jointing stage of maize, this study found that the results based on the Sentinel-2 temporal spectral index curve generally indicated a later jointing stage compared to the actual phenological time. Therefore, in this study, the point where the spectral index first reached the value of the spectral index at the maximum slope minus 15% of the difference between the maximum and minimum values of the temporal curve was used as the characteristic node to mark the beginning of the jointing stage. Similarly, in the extraction of the tasseling stage, the dynamic threshold used in the traditional method was reduced from 10% to 5% based on the extraction results. This means that the point where the spectral index first reached the value of the spectral index at zero slope minus 5% of the difference between the maximum and minimum values of the time curve was used as the characteristic node to mark the beginning of the tasseling stage (Figure 2). In this study, characteristic node identification was performed based on the imagery of each individual plot to obtain the phenological information for each separate plot.

Figure 2.
Schematic diagram of maize phenological period extraction based on spectral index time-series curves.
3.2.2. Curve Optimization Method for Compression Time
In this study, phenology extraction was performed based on the time curves of the mean spectral indices of small plots. Since maize in Youyi County is planted as early as May and harvested no later than October, the time range selected for this study was from 1 May to 31 October. Different plots have different planting times, and fields need to be weeded before planting. Some later-planted plots were covered with weeds at the beginning of the study period, while some early-harvested plots showed signs of regrowth after harvest. This caused the problem of non-unique time feature nodes used for phenology extraction (the points where the slope of the curve is zero and where the slope is at its maximum) on the smoothed and fitted curves. This problem typically manifested itself as the extracted feature node dates being concentrated at both ends of the curve, which is common in crop phenology extraction based on Sentinel-2 data. Due to the large number of maize planting plots in the study area, it was difficult to effectively control the time based on the planting time of each plot. Therefore, a time-compressed curve optimization method was used in the study.
After importing the time-series spectral index data, the process begins with filtering and interpolation, followed by fitting to generate a time characteristic curve. The key feature nodes (where the slope is maximum and zero) of the first derivative of the curve are extracted, and the data for the jointing and tasseling stages are calculated using the dynamic threshold method. Since the ideal curve has a rising and falling shape, the ideal feature nodes should follow the order jointing date < tasseling date. By checking that the extracted results meet this ideal condition, valid results can be filtered out and invalid results marked. Next, a unit step size is set (in this study, one data interval in the time series is used as the step size) to gradually shift the start date forward and the end date backward. After compressing the time range, the curve is re-fitted and re-extracted using the new time range, and the valid results are filtered again. If compressing the time range transforms invalid results into valid ones, the new results replace the old ones; otherwise, they remain marked as invalid. This process is repeated until the number of invalid results stops changing. At this point, the final results are exported and the remaining invalid marked results are manually checked and corrected, finally achieving the extraction of the key phenological time nodes (jointing and tasseling stages) for maize. The workflow is shown in Figure 3.

Figure 3.
Flow of curve optimization methods for compression time.
3.3. Validation Methods
This study compares the maize jointing and tasseling stage data, as observed in the field in 2022, with the results of the extraction of these stages, based on the analysis of the time-series curves of the five spectral indices. The accuracy of the results is assessed using the mean absolute error (MAE), while the root mean square error (RMSE) is employed to assist in the evaluation of extreme deviations in the results. Additionally, an improved form of the MAE, the RMAE, is applied in the present study to quantify the changes in the accuracy of the extraction results from the various spectral indices compared to the commonly used NDVI in previous research. The relevant formulae are presented below:
where represents the actual value, represents the predicted value, n is the number of samples, and MAEx and MAEref are the MAE values of the extraction results for spectral index x and the reference spectral index, respectively. The reference spectral index in this paper is the NDVI.
4. Results
The extraction of the maize jointing and tasseling stages based on the Sentinel-2 NDVI time-series curves resulted in an error exceeding five days. This indicates that the NDVI index has certain limitations in identifying specific phenological stages. To further improve the accuracy of phenology extraction, this study introduced other phenology-related indices, namely the EVI, GNDVI, OSAVI, and MSR, and analyzed and compared their time-series curve extraction results.
4.1. Extraction and Analysis of Maize Jointing Stage
The vegetation indices introduced in this study and the results regarding the maize jointing stage based on each index are shown in Figure 4 and Table 2.


Figure 4.
Extraction results for the jointing stage of maize for each index. (a) NDVI extraction results. (b) EVI extraction results. (c) OSAVI extraction results. (d) GNDVI extraction results. (e) MSR extraction results.

Table 2.
Multi-exponential extraction errors in maize at jointing stage.
In the process of extracting the maize jointing stage, the OSAVI exhibited a distinct advantage, with its extraction errors (including the MAE and RMSE) being the smallest among all vegetation indices. In comparison to the NDVI, the OSAVI is more effective in reducing the impact of the red-light band saturation effect, which helps to suppress interference from bare soil reflectance, thus allowing for a more accurate reflection of the vegetation growth conditions []. In particular, during the extraction of the maize jointing stage, the Optimized Soil-Adjusted Vegetation Index (OSAVI) demonstrated notable superiority, with both its MAE and RMSE exhibiting lower values than those of the other vegetation indices.
This suggests that the OSAVI is more resilient in the presence of ground-based interference caused by inadequate leaf coverage. At the jointing stage, the plant leaf cover is not yet saturated, and the reflectance in the red-light band is significantly affected by the presence of bare soil. This renders the NDVI vulnerable to saturation effects, which can impede the precise evaluation of the vegetation growth conditions. The introduction of a soil adjustment factor in the OSAVI serves to effectively mitigate the interference from bare soil reflectance in the red-light band. This design feature represents the reason behind OSAVI’s superior performance in jointing stage extraction under the condition of low vegetation coverage, with a reduction in the MAE of 1.29 days in comparison to the NDVI. This provides further evidence that the OSAVI is more accurate in reflecting the vegetation conditions when the leaf coverage is insufficient.
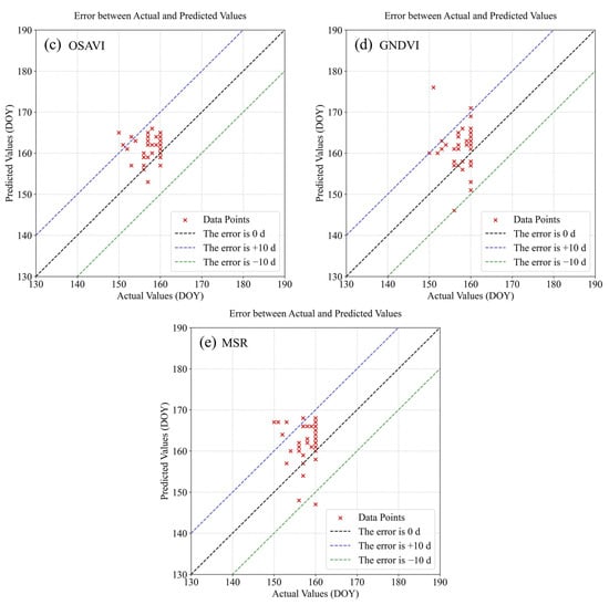
4.2. Extraction and Analysis of Maize Tasseling Stage
The vegetation indices introduced in the study and the results regarding the maize tasseling stage based on each index are shown in Figure 5 and Table 3.

Figure 5.
Extraction results for the tasseling stage of maize for each index. (a) NDVI extraction results. (b) EVI extraction results. (c) OSAVI extraction results. (d) GNDVI extraction results. (e) MSR extraction results.

Table 3.
Multi-exponential extraction errors in maize at tasseling stage.
In the extraction of the maize tasseling stage, the Modified Simple Ratio Vegetation Index (MSR) exhibited the lowest mean absolute error (MAE), showing an improvement of 0.46 days in comparison to the Normalized Difference Vegetation Index (NDVI) extraction results. The principal reason for this improvement is the saturation effect inherent to the NDVI. During the tasseling stage, when the vegetation coverage is high, the Normalized Difference Vegetation Index (NDVI) is adversely affected by significant red-light reflectance saturation, which impairs its capacity to accurately reflect the growth status of vegetation under conditions of high coverage. This, in turn, affects the precision of the extraction process. In contrast, the MSR adjusts the ratio of the red and near-infrared bands, thereby mitigating the saturation effect of the NDVI and maintaining better sensitivity under high coverage. This results in improved extraction accuracy.
4.3. Extraction Analysis of Maize Phenology in Youyi County
Based on the comparative analysis of the validation results for phenology extraction using various indices on the 2022 sample data, the multi-index combination phenology extraction method (OSAVI to extract the maize jointing stage and MSR to extract the tasseling stage) meets the accuracy requirements for the monitoring of maize phenology in small plots. Therefore, using this method, the maize jointing and tasseling stages for the planting plots in Youyi County from 2021 to 2023 were extracted (Figure 6). Due to prolonged cloud cover over a small number of plots, the quality of the Sentinel-2 imagery was adversely affected, resulting in the generation of time-series curves of poor quality that failed to accurately reflect the actual trends in the spectral indices. To reduce the errors and enhance the validity of the extraction results, this study performed truncation on the extraction results for the maize jointing and tasseling stages, removing the highest and lowest 5% of the data and retaining only the middle 90% for result analysis. The actual extraction results are as follows.

Figure 6.
Extraction results for maize at the stage of jointing and tasseling in Youyi County, 2021–2023. (a) 2021 jointing stage of maize. (b) 2021 tasseling stage of maize. (c) 2022 jointing stage of maize. (d) 2022 tasseling stage of maize. (e) 2023 jointing stage of maize. (f) 2023 tasseling stage of maize.
The results of the extraction indicated that the maize jointing stage in Youyi County occurred as early as day 144 in 2021 and as late as day 191; the tasseling stage occurred as early as day 171 and as late as day 229. In 2022, the jointing stage occurred between days 139 and 178, while the tasseling stage ranged from day 190 to day 222. In 2023, the jointing stage occurred between days 134 and 179, with the tasseling stage taking place from days 189 to 229. It is noteworthy that, in June 2021, the minimum temperature in Youyi County was relatively high, resulting in a higher effective accumulated temperature over a relatively short period. Therefore, in comparison to the years 2022 and 2023, the jointing and tasseling stages of maize in Youyi County exhibited a certain degree of advancement in 2021 [].
5. Discussion
This study employed the mean time-series spectral indices of plots and a multi-index combined phenology extraction method to enhance the accuracy of phenological data extraction from Sentinel-2, thereby meeting the spatial and extraction precision requirements for small plots. The efficacy of this method has been validated through practical applications. A discussion and analysis of the above research findings is provided below.
5.1. Advantages of the Plot-Based Phenology Extraction Method
The construction of time-series curves for each pixel in the study area is a requisite step in traditional pixel-based phenology extraction methods. However, this process can result in significant computational demands and prolonged extraction times when utilizing high-spatial-resolution data, due to the vast number of pixels involved. In this study, the plot-based phenology extraction method employed the mean spectral indices of individual plots to represent the growth status of maize in those plots, thereby providing a more accurate reflection of the overall growth conditions of the agricultural fields. This approach has the advantage of reducing the computational demands while simultaneously minimizing errors and noise at the pixel scale, thereby enhancing the accuracy of the extraction results.
5.2. Data Preprocessing Impact Analysis
The processing of raw data is crucial for plot-based phenology extraction []. Firstly, to meet the accuracy and resolution requirements, this study utilized Sentinel-2 remote sensing imagery, with a relatively high spatial resolution but a slightly longer temporal resolution. While this choice provided more accurate spatial information, it also resulted in higher noise levels in the imagery under adverse weather conditions, which severely impacted the fitting of the spectral index curves. To address this, the relatively simple and efficient Savitzky–Golay filtering method was applied for noise reduction. After filtering, the time-series curves more accurately reflected the actual spectral index variations for each plot, thereby making the subsequent phenology extraction more scientific and reliable. However, S-G filtering is not the only viable method, and future research should further explore the effects of other filtering techniques on time-series curve smoothing to optimize the data processing accuracy.
Secondly, due to the varying planting times across different plots, the growth of weeds before and after planting has a significant impact on the spectral index values, curve fitting, and the extraction of characteristic nodes. The time-compressed curve optimization method used in this study effectively minimized the abnormal feature node extraction caused by weeds before and after maize planting. However, due to the lack of detailed field management data, the influence of weeds on the spectral indices remains, leading to shifts in the spectral index feature nodes [], which results in discrepancies between the extracted phenological times and the actual events. To further improve the accuracy, future studies may use remote sensing imagery to differentiate between crops and weeds [], enabling the independent phenological monitoring of crops. However, challenges such as the difficulty of obtaining imagery, the sufficiency of the temporal resolution, and other related issues remain significant obstacles in this study.
5.3. Analysis of the Advantages of Combining Multi-Index Time-Series Curves
To address the issues of the low temporal resolution in Sentinel-2 time-series data, the effects of clouds and rain, soil background interference, and NDVI saturation, this study conducted a comparative analysis using the time-series curves of five vegetation indices: the NDVI, EVI, OSAVI, GNDVI, and MSR. The combined use of these indices effectively enhanced the accuracy in identifying the maize jointing and tasseling stages.
This study concluded that the soil background and vegetation density have a noticeable influence on the time-series spectral index curves during the maize growing season. In the jointing stage, when the vegetation coverage is low, the reflectance from exposed soil significantly affects all vegetation indices. At this stage, applying the OSAVI effectively reduces the impact of the soil background, thereby improving the extraction accuracy. During the tasseling stage, when the vegetation coverage is higher, the MSR adjusts the ratio between the red and near-infrared bands and introduces a square root function, and the upper limit of the index is raised to positive infinity, thereby avoiding the saturation effect of the index. This adjustment enhances the effectiveness of the extraction results for the jointing stage. The combined application of multiple indices improves the ability to capture key phenological stages.
5.4. Processing and Analysis of Extreme Data
In this study, the curve optimization method by time compression was employed to reduce the frequency of abnormal feature node occurrences, thereby mitigating the appearance of extreme values. However, this does not mean that extreme values can be completely eliminated. In the error analysis of the maize tasseling stage, although the MAE of the MSR was the smallest, the RMSE was slightly higher than that of the NDVI, which was caused by the presence of more extreme values in the extraction results. A small number of image data were affected by prolonged cloudy and rainy weather, resulting in relatively poor quality and even the inability to generate valid spectral index curves. This was the main source of extreme errors in the phenology extraction results. When such conditions occur, optical remote sensing imagery can no longer meet the extraction requirements for maize phenology in these plots, and the extracted results will differ significantly from the actual values. Furthermore, when the number of extreme errors is large, the subsequent series of analyses of the crop phenology will be significantly impacted. Therefore, to further reduce the influence of outliers on the extraction results, it is recommended to screen and process extreme values during data handling.
5.5. Research Limitations and Directions for Future Improvement
While this study achieved the successful extraction of the phenological stages of maize within small areas, several limitations remain. Firstly, the presence of cloud cover and the occurrence of data gaps presented challenges for the accurate extraction of phenological information. Secondly, the efficacy of distinct vegetation index combinations differed across the growth stages and regional conditions, suggesting that future research could further optimize these combinations. In addition, the low spatial resolution of meteorological data limits the applicability of the causal analysis of phenological changes, hindering a deeper understanding of the impact of climatic variables on phenological changes. At the same time, the acquisition of field management data, such as factors reflecting crop varieties, planting spacing, and other agronomic conditions, also faces challenges. The lack of such data further restricts the analysis of the relationship between phenological changes and management practices. Due to the difficulty in obtaining crop samples and related data, building a robust and efficient predictive model becomes a significant challenge. Therefore, future research will focus on overcoming the issue of sample scarcity and exploring more effective ways to collect sufficient training samples. In this context, various approaches can be employed in the future to improve the data acquisition and analysis accuracy. For example, machine learning methods have shown tremendous potential in reversing crop growth and phenological changes over small spatial areas. By integrating remote sensing data, meteorological data, and field management data, more accurate predictive models are expected to be developed. As these technologies are progressively applied, the precision and depth of the causal analysis of phenological changes are expected to improve significantly, providing stronger support for precision agriculture management and climate adaptation strategies.
6. Conclusions
This study employed the mean spectral indices from Sentinel-2, combined with Savitzky–Golay (S-G) filtering, dynamic thresholding, and curve optimization methods such as time compression, with the objective of extracting the jointing and tasseling stages of maize. The results demonstrated that the plot-based phenology extraction method effectively mitigated the adverse effects of NDVI saturation and improved the accuracy of phenological information extraction. The combination of multiple vegetation indices significantly improved the extraction accuracy for the maize phenological stages. For the jointing stage, the OSAVI time series demonstrated the highest accuracy, with a mean absolute error of 3.91 days, representing a 24.8% improvement over the NDVI-based extraction. The occurrence of extreme errors was notably rare, making the OSAVI a reliable choice for jointing stage extraction. For the tasseling stage, the MSR time series provided the best results, with a mean absolute error of 4.87 days and improving the accuracy by 8.6% compared to the NDVI. However, the frequency of extreme errors in the MSR was slightly higher. Therefore, it is recommended to apply a trimming process to the extraction results when using the MSR, in order to mitigate the impact of extreme values on the overall extraction accuracy. This partially mitigated the limitations in the accuracy of Sentinel-2 extraction. This study extracted the jointing and tasseling stages for maize plots in Youyi County, from 2021 to 2023, thereby confirming the effectiveness of the method in identifying critical growth stages of maize. The results showed that the maize phenology in Youyi County in 2021 was significantly earlier compared to 2022 and 2023. Upon review, it was found that the average temperature in Youyi County in 2021 was relatively higher, which aligns with previous studies that conclude that higher accumulated temperatures tend to advance crop phenological stages. The methodologies and conclusions presented in this research can be applied to precision agriculture to improve the extraction accuracy regarding the maize jointing and tasseling stages. Further studies could seek to optimize the combination of vegetation indices with a view to enhancing the precision and reliability of phenological information extraction.
Author Contributions
Conceptualization, M.Q., H.Y. and R.L.; methodology, M.Q. and H.Y.; software, M.Q., C.N. and Y.Z.; validation, M.Q. and H.Y.; formal analysis, M.Q. and Y.Z.; investigation, M.Q. and C.N.; resources, H.Y. and C.N.; data curation, M.Q.; writing—original draft preparation, M.Q.; writing—review and editing, H.Y. and R.L.; visualization, M.Q. and H.Y.; supervision, H.Y., and R.L.; project administration, H.Y. and C.N.; funding acquisition, H.Y. and R.L. All authors have read and agreed to the published version of the manuscript.
Funding
This project was financially supported by the Strategic Priority Research Program of the Chinese Academy of Sciences (XDA28100500), the Youth Innovation Promotion Association CAS (2021119), and the National Natural Science Foundation of China (41871339).
Institutional Review Board Statement
Not applicable.
Data Availability Statement
The raw data supporting the conclusions of this article will be made available by the authors on request.
Acknowledgments
The authors sincerely thank the editor and anonymous reviewers for their valuable comments and suggestions to improve the quality of this paper.
Conflicts of Interest
The authors declare no conflict of interest.
References
- Ranum, P.; Pena-Rosas, J.P. Global maize production, utilization, and consumption. Ann. N. Y. Acad. Sci. 2014, 1312, 105–112. [Google Scholar] [CrossRef] [PubMed]
- Zhao, R.; He, P.; Xie, J.; Johnston, A.M.; Xu, X.; Qiu, S.; Zhao, S. Ecological intensification management of maize in northeast China: Agronomic and environmental response. Agric. Ecosyst. Environ. 2016, 224, 123–130. [Google Scholar] [CrossRef]
- Kanwar, H.; Sharma, S. Phenology and Global Climate Change: A Comprehensive Review. Ejournal Appl. For. Ecol. 2023, 11, 20–30. [Google Scholar]
- Luo, Y.-C.; Zhang, Z.; Zhang, L.-L.; Zhang, J.; Tao, F.-L. Weakened maize phenological response to climate warming in China over 1981–2018 due to cultivar shifts. Adv. Clim. Chang. Res. 2022, 13, 710–720. [Google Scholar] [CrossRef]
- Zeng, L.L.; Wardlow, B.D. A review of vegetation phenological metrics extraction using time-series, multispectral satellite data. Remote Sens. Environ. 2020, 237, 111511. [Google Scholar] [CrossRef]
- Hatfield, J.L.; Prueger, J.H. Temperature extremes: Effect on plant growth and development. Weather. Clim. Extrem. 2015, 10, 4–10. [Google Scholar] [CrossRef]
- Craufurd, P.Q.; Wheeler, T.R. Climate change and the flowering time of annual crops. J. Exp. Bot. 2009, 60, 2529–2539. [Google Scholar] [CrossRef]
- Xie, X.C.; Yang, Y.C. Research of Agricultural Modernization. Res. Agric. Mod. 2021, 42, 165–174. [Google Scholar] [CrossRef]
- Wang, L.; Zhang, H.C. Poplar seedling varieties and drought stress classification based on multi-source, time-series data and deep learning. Ind. Crops Prod. 2024, 218, 118905. [Google Scholar] [CrossRef]
- Fan, X.X.; Zhang, H.C. Evaluating drought stress response of poplar seedlings using a proximal sensing platform via multi-parameter phenotyping and two-stage machine learning. Comput. Electron. Agric. 2024, 225, 109261. [Google Scholar] [CrossRef]
- Sakamoto, T.; Wardlow, B.D. A two-step filtering approach for detecting maize and soybean phenology with time-series MODIS data. Remote Sens. Environ. 2010, 114, 2146–2159. [Google Scholar] [CrossRef]
- Zhang, X.Y.; Friedl, M.A. Global vegetation phenology from Moderate Resolution Imaging Spectroradiometer (MODIS): Evaluation of global patterns and comparison with in situ measurements. J. Geophys. Res.-Biogeosci. 2006, 111. [Google Scholar] [CrossRef]
- Zhang, J.H.; Xu, Y.Y. Detecting major phenological stages of rice using MODIS-EVI data and Symlet11 wavelet in Northeast China. In Proceedings of the 2012 2nd International Conference on Remote Sensing, Environment and Transportation Engineering, Nanjing, China, 1–3 June 2012; pp. 1–4. [Google Scholar] [CrossRef]
- Zhang, F.; Wu, B.F. Methods of monitoring crop phonological stages using time series of vegetation indicator. Trans. Chin. Soc. Agric. Eng. 2004, 20, 155–159. [Google Scholar]
- Jonsson, P.; Eklundh, L. Seasonality extraction by function fitting to time-series of satellite sensor data. IEEE Trans. Geosci. Remote Sens. 2002, 40, 1824–1832. [Google Scholar] [CrossRef]
- Gao, F.; Anderson, M.C. Toward mapping crop progress at field scales through fusion of Landsat and MODIS imagery. Remote Sens. Environ. 2017, 188, 9–25. [Google Scholar] [CrossRef]
- Li, S.; Xu, L. High-quality vegetation index product generation: A review of NDVI time series reconstruction techniques. Int. J. Appl. Earth Obs. Geoinf. 2021, 105, 102640. [Google Scholar] [CrossRef]
- Mulla, D.J. Twenty five years of remote sensing in precision agriculture: Key advances and remaining knowledge gaps. Biosyst. Eng. 2013, 114, 358–371. [Google Scholar] [CrossRef]
- Lu, M.; Gu, X.H. Production Capacity Evaluation of Farmland Using Long Time Series of Remote Sensing Images. Agriculture 2022, 12, 1619. [Google Scholar] [CrossRef]
- Atzberger, C. Advances in Remote Sensing of Agriculture: Context Description, Existing Operational Monitoring Systems and Major Information Needs. Remote Sens. 2013, 5, 949–981. [Google Scholar] [CrossRef]
- Wei, P.; Ye, H.C. Early Crop Mapping Based on Sentinel-2 Time-Series Data and the Random Forest Algorithm. Remote Sens. 2023, 15, 3212. [Google Scholar] [CrossRef]
- Hu, Q.; Sulla-Menashe, D. A phenology-based spectral and temporal feature selection method for crop mapping from satellite time series. Int. J. Appl. Earth Obs. Geoinf. 2019, 80, 218–229. [Google Scholar] [CrossRef]
- Rouse, J.W.; Haas, R.H. Monitoring vegetation systems in the Great Plains with ERTS. NASA Spec. Publ 1974, 351, 309. [Google Scholar]
- Gitelson, A.A.; Kaufman, Y.J. Use of a green channel in remote sensing of global vegetation from EOS-MODIS. Remote Sens. Environ. 1996, 58, 289–298. [Google Scholar] [CrossRef]
- Huete, A.R.; Liu, H.Q. A comparison of vegetation indices over a global set of TM images for EOS-MODIS. Remote Sens. Environ. 1997, 59, 440–451. [Google Scholar] [CrossRef]
- Rondeaux, G.; Steven, M. Optimization of soil-adjusted vegetation indices. Remote Sens. Environ. 1996, 55, 95–107. [Google Scholar] [CrossRef]
- Chen, J.M. Evaluation of vegetation indices and a modified simple ratio for boreal applications. Can. J. Remote Sens. 1996, 22, 229–242. [Google Scholar] [CrossRef]
- Savitzky, A.; Golay, M.J.E. Smoothing and differentiation of data by simplified least squares procedures. Anal. Chem. 1964, 36, 1627–1639. [Google Scholar] [CrossRef]
- Schoenberg, I.J. Contributions to the problem of approximation of equidistant data by analytic functions. Part B. On the problem of osculatory interpolation. A second class of analytic approximation formulae. Q. Appl. Math. 1946, 4, 112–141. [Google Scholar] [CrossRef]
- Cai, Z.Z.; Jönsson, P. Performance of smoothing methods for reconstructing NDVI time-series and estimating vegetation phenology from MODIS data. Remote Sens. 2017, 9, 1271. [Google Scholar] [CrossRef]
- Li, X.Y.; Zhu, W.Q. Assessing the effects of time interpolation of NDVI composites on phenology trend estimation. Remote Sens. 2021, 13, 5018. [Google Scholar] [CrossRef]
- Ji, Z.L.; Pan, Y.Z. Prediction of crop yield using phenological information extracted from remote sensing vegetation index. Sensors 2021, 21, 1406. [Google Scholar] [CrossRef] [PubMed]
- Liu, R.Q.; Zhang, G.L. Evaluating effects of medium-resolution optical data availability on phenology-based rice mapping in China. Remote Sens. 2022, 14, 3134. [Google Scholar] [CrossRef]
- Du, J.N.; Xu, S.C. A Novel Approach for Farmland Size Estimation in Small-Scale Agriculture Using Edge Counting and Remote Sensing. Remote Sens. 2024, 16, 2981. [Google Scholar] [CrossRef]
- Lizaso, J.I.; Ruiz-Ramos, M. Impact of high temperatures in maize: Phenology and yield components. Field Crops Res. 2018, 216, 129–140. [Google Scholar] [CrossRef]
- Gong, Z.; Ge, W.Y. Satellite remote sensing of vegetation phenology: Progress, challenges, and opportunities. ISPRS J. Photogramm. Remote Sens. 2024, 217, 149–164. [Google Scholar] [CrossRef]
- Sishodia, R.P.; Ray, R.L. Applications of Remote Sensing in Precision Agriculture: A Review. Remote Sens. 2020, 12, 3136. [Google Scholar] [CrossRef]
- Jiang, J.L.; Zhang, H. Single-Season Rice Area Mapping by Combining Multi-Temporal Polarization Decomposition Components and the Two-Stage Segmentation Method. Agriculture 2024, 14, 2. [Google Scholar] [CrossRef]
Disclaimer/Publisher’s Note: The statements, opinions and data contained in all publications are solely those of the individual author(s) and contributor(s) and not of MDPI and/or the editor(s). MDPI and/or the editor(s) disclaim responsibility for any injury to people or property resulting from any ideas, methods, instructions or products referred to in the content. |
© 2024 by the authors. Licensee MDPI, Basel, Switzerland. This article is an open access article distributed under the terms and conditions of the Creative Commons Attribution (CC BY) license (https://creativecommons.org/licenses/by/4.0/).