Influence of Mulching on Replantation Disease in Sour Cherry Orchard
Abstract
1. Introduction
2. Materials and Methods
- In autumn 2005 liming 2 t·ha−1.
- Spring 2006, submerging and ploughing.
- In 2006, three times in April, June, and August, green manure in the form of mustard was sown, which, before flowering, was ploughed to a depth of 20–25 cm.
- In the autumn of 2006, manure was applied in a dose of 40 t ha−1 and plowing was carried out to a depth of 20 cm.
- In the spring of 2007, before planting trees, fibering, cultivating, and harrowing were carried out.
- Agricultural crop rotation (rapeseed, cereals)
- In the years before the trees were planted, legumes were grown for green manure and soil was grown.
2.1. Measurements, Observations and Analyses
2.1.1. Tree Growth, Productivity and Yield Efficiency
2.1.2. Fruit Quality
- -
- The fruit quality assessment was carried out on the basis of the following five measures:
- -
- Fruit weight—The weight of the fruit was defined as the collective pr. A total of 10 fruits were weighed 10 times with an accuracy of 0.1 g, and then the result was divided. From each combination, 100 fruits were collected.
- -
- Fruit firmness—determined individually for 100 fruits from each repetition using a firmness tester model FT 02 (Facchini Srl, Alfonsine, Italy), which was fixed on a tripod. This test consists of piercing the fruit (whole fruits with peel) with a stem with a diameter of 2.5 mm. Results were expressed in newtons (g) with an accuracy of 1 g.
- -
- Total soluble solids (TSS)—the same fruits that were previously used to measure firmness and determine the mass of the fruit were taken for analysis. The measurement was made using the PR-101a electronic refractometer (Atago Co., Ltd., Tokyo, Japan). The measurement value was expressed in °Brix accuracy of 0.1 °Brix.
- -
- Titratable acidity (TA) of the fruit was measured with a pH meter (pH 538, WTW, Germany) calibrated with pH 4 and 7 buffers. From each repetition, 50 fruits were taken, and 150 mL of juice was squeezed. In total, 5 mL was taken for analysis, 50 mL of distilled water was added, and 0.1 N NaOH was titrated, neutralizing the acid solution to achieve pH 8.1. On the basis of the amount of NaOH consumed, the acidity was calculated and the result was converted into the percentage of malic acid.
- -
- The color of the fruit skin was measured in one place with a manual Minolta CR-100 colorimeter (Minolta Corp., Ramsey, NJ, USA) and recorded using the uniform CIE L* a* b* color space. The value of L* reflects the brightness of the color, a* specifies the proportions of red (positive values) and green (negative values), while b* determines the proportion of yellow (positive values) and blue (negative values). Parameters a* and b* define the chromaticity of a color, whereas the parameter L* defines its luminance, related to the size of the luminous flux that reflects from the object and reaches the eye of the observer. The numeric values a* and b* have been converted to a Hueab angle value (h° = tan−1 b*/a*), chroma (C* = ((a*)2 + (b*)2)0.5) [40,41], tomato color index (COL = (2000 × a)/(L × (a2 + b2)0.5)) [9,42], and index red grapes CIRG = (18O − h)/(L* + C) [9,43,44,45].
Phenological Development
2.1.3. Soil Sampling
2.2. Weather Conditions
2.3. Statistical Analysis
3. Results and Discussion
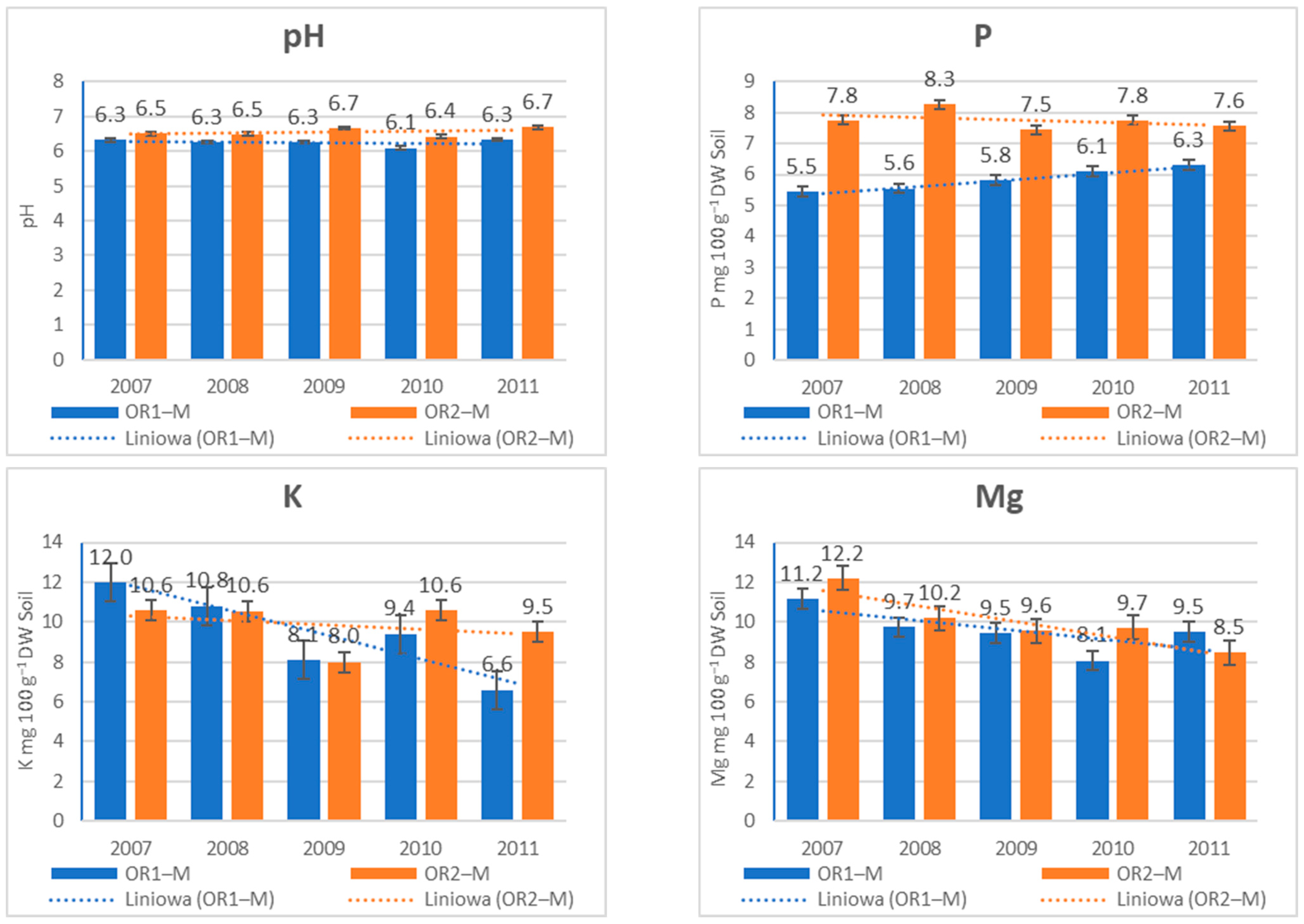
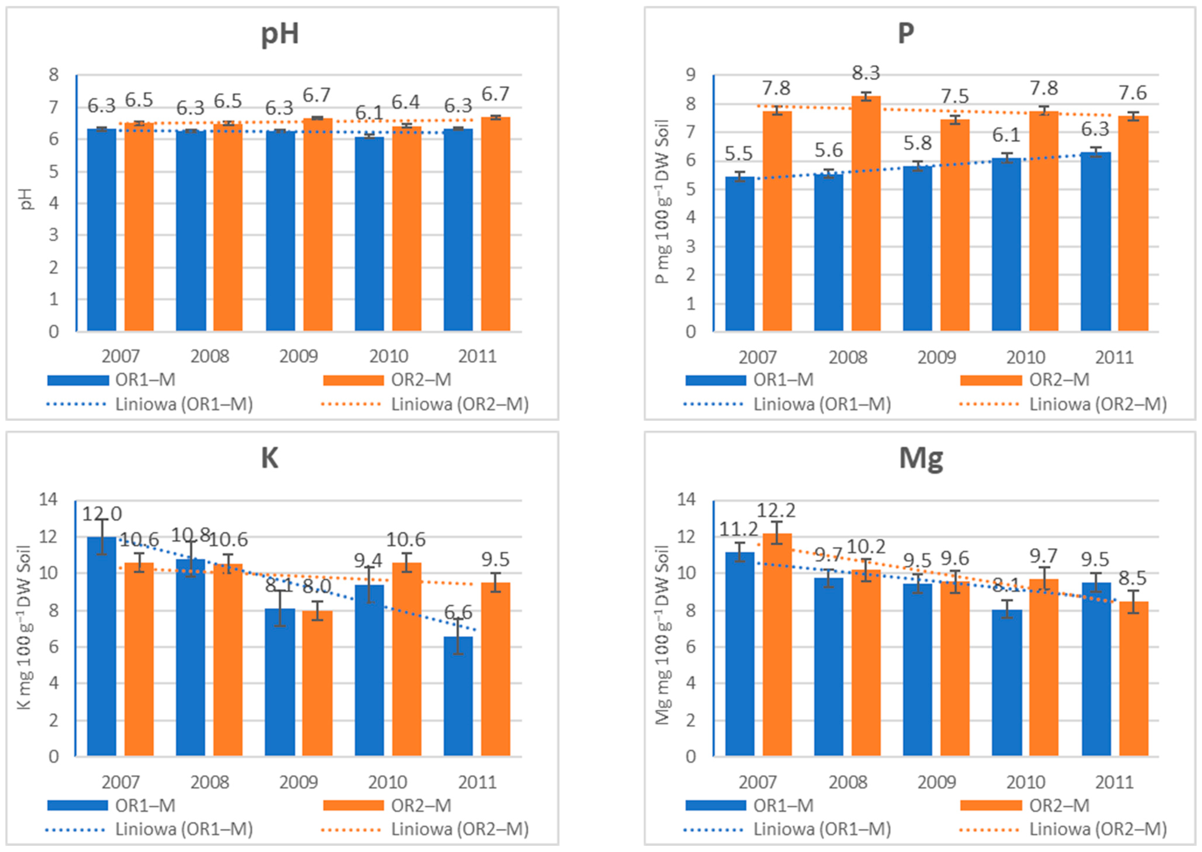
3.1. Mineral Content in the Soil
3.2. Tree Growth
3.3. Yielding
3.4. Quality of Cherry Fruits
3.4.1. Fruit Weight
3.4.2. Fruit Firmness
3.4.3. Total Soluble Solids Content
3.4.4. Titratable Acidity
3.4.5. Fruit Color
4. Conclusions
Supplementary Materials
Author Contributions
Funding
Institutional Review Board Statement
Data Availability Statement
Conflicts of Interest
References
- FAO. Food and Agriculture Organization of the United Nations. Available online: https://www.fao.org/faostat/en/#data/QCL (accessed on 15 September 2022).
- Rutkowski, K.; Łysiak, G.P.; Zydlik, Z. Effect of Nitrogen Fertilization in the Sour Cherry Orchard on Soil Enzymatic Activities, Microbial Population, and Fruit Quality. Agriculture 2022, 12, 2069. [Google Scholar] [CrossRef]
- Rutkowski, K.; Zydlik, Z.; Pacholak, E. Effect of Tree Pruning Intensity on the Yield and Fruit Quality of the Sour Cherry. Zemdirb.-Agric. 2015, 102, 417–422. [Google Scholar] [CrossRef]
- Mika, A.; Wawrzyńczak, P.; Buler, Z.; Krawiec, A.; Białkowski, P.; Michalska, B.; Plaskota, M.; Gotowicki, B. Results of Experiments with Densely-Planted Sour Cherry Trees for Harvesting with a Continuously Moving Combine Harvester. J. Fruit Ornam. Plant Res. 2011, 19, 31–40. [Google Scholar]
- Jadczuk-Tobjasz, E.; Bednarski, R. Wstepna Ocena Wzrostu i Owocowania Dziesieciu Odmian Wisni (Preliminary Evaluation of the Growth and Yielding of 10 Sour Cherry Cultivars). Zesz. Nauk. Inst. Sadow. I Kwiaciarstwa W Skiern. 2007, 15, 17–27. [Google Scholar]
- Kierczyńska, S. Zmiany w Produkcji i Eksporcie Malin i Wiśni w Krajach Europy Południowej i Wschodniej i Ich Znaczenie Dla Produkcji w Polsce. Probl. World Agric./Probl. Rol. Swiat. 2019, 19, 65–76. [Google Scholar] [CrossRef]
- Brzozowski, P.; Klimek, G. Opłacalność Produkcji Wiśni w Polsce w Latach 2000–2010. Zesz. Nauk. Inst. Sadow. I Kwiaciarstwa W Skiern. 2010, 18, 181–193. [Google Scholar]
- Żurawicz, E.; Szymajda, M.; Kubik, J. Breeding of New Sour Cherry Cultivars at the Research Institute of Horticulture, Skierniewice, Poland. Acta Hortic. 2019, 1232, 105–112. [Google Scholar] [CrossRef]
- Rutkowski, K.; Łysiak, G.P. Weather Conditions, Orchard Age and Nitrogen Fertilization Influences Yield and Quality of ‘Łutówka’ Sour Cherry Fruit. Agriculture 2022, 12, 2008. [Google Scholar] [CrossRef]
- Kurlus, R.; Rutkowski, K.; Łysiak, G.P. Improving of Cherry Fruit Quality and Bearing Regularity by Chemical Thinning with Fertilizer. Agronomy 2020, 10, 1281. [Google Scholar] [CrossRef]
- Fadón, E.; Herrera, S.; Guerrero, B.I.; Guerra, M.E.; Rodrigo, J. Chilling and Heat Requirements of Temperate Stone Fruit Trees (Prunus Sp.). Agronomy 2020, 10, 409. [Google Scholar] [CrossRef]
- Hochmaier, V. Chilling Unit Accumulation and Degree-Day Requirements of Four Sweet Cherry (Prunus avium L.) Cultivars. In Proceedings of the VI International Cherry Symposium, Reñaca, Chile, 15–19 November 2009; Ayala, M., Zoffoli, J.P., Lang, G.A., Eds.; Int Soc Horticultural Science: Leuven, Belgium, 2014; Volume 1020, pp. 203–207. [Google Scholar]
- Grabowska, A.; Sękara, A.; Bieniasz, M.; Kunicki, E.; Kalisz, A. Dark-Chilling of Seedlings Affects Initiation and Morphology of Broccoli Inflorescence. Not. Bot. Horti Agrobot. Cluj-Napoca 2013, 41, 213–218. [Google Scholar] [CrossRef]
- Castède, S.; Campoy, J.A.; García, J.Q.; Le Dantec, L.; Lafargue, M.; Barreneche, T.; Wenden, B.; Dirlewanger, E. Genetic Determinism of Phenological Traits Highly Affected by Climate Change in Prunus Avium: Flowering Date Dissected into Chilling and Heat Requirements. New Phytol. 2014, 202, 703–715. [Google Scholar] [CrossRef]
- Callan, N.W. Dormancy Effects on Supercooling in Deacclimated `Meteor’ Tart Cherry Flower Buds. J. Am. Soc. Hortic. Sci. 1990, 115, 982–986. [Google Scholar] [CrossRef]
- Felker, F.C.; Robitaille, H.A. Chilling Accumulation and Rest of Sour Cherry Flower Buds. J. Amer. Soc. Hort. Sci. 1985, 110, 227–232. [Google Scholar] [CrossRef]
- Rodríguez, A.; Pérez-López, D.; Sánchez, E.; Centeno, A.; Gómara, I.; Dosio, A.; Ruiz-Ramos, M. Chilling Accumulation in Fruit Trees in Spain under Climate Change. Nat. Hazards Earth Syst. Sci. 2019, 19, 1087–1103. [Google Scholar] [CrossRef]
- Sewell, G.W.F.; Wilson, J.F. The Specific Replant Disease of Cherry and Plum. Rep. East Malling Res. Stn. 1975, 157. [Google Scholar]
- Mai, W.F.; Abawi, G.S. Determining the Cause and Extent of Apple, Cherry, and Pear Replant Diseases under Controlled Conditions. Phytopathology 1978, 68, 1540–1544. [Google Scholar] [CrossRef]
- Pitcher, R.S.; Way, D.W.; Savory, B.M. Specific Replant Diseases of Apple and Cherry and Their Control by Soil Fumigation. J. Hortic. Sci. 1966, 41, 379–396. [Google Scholar] [CrossRef]
- Winkelmann, T.; Smalla, K.; Amelung, W.; Baab, G.; Grunewaldt-Stöcker, G.; Kanfra, X.; Meyhöfer, R.; Reim, S.; Schmitz, M.; Vetterlein, D.; et al. Apple Replant Disease: Causes and Mitigation Strategies. Curr Issues Mol Biol 2019, 30, 89–106. [Google Scholar] [CrossRef]
- St. Laurent, A.; Merwin, I.A.; Thies, J.E. Long-Term Orchard Groundcover Management Systems Affect Soil Microbial Communities and Apple Replant Disease Severity. Plant Soil 2008, 304, 209–225. [Google Scholar] [CrossRef]
- Teskey, B.J.; Shoemaker, J.S. Tree Fruit Production, 3rd ed.; Springer: New York, NY, 1978; ISBN 978-1-4684-6867-0. [Google Scholar]
- Zhang, Z.; Chen, Q.; Yin, C.; Shen, X.; Chen, X.; Sun, H.; Gao, A.; Mao, Z. The Effects of Organic Matter on the Physiological Features of Malus Hupehensis Seedlings and Soil Properties under Replant Conditions. Sci. Hortic. 2012, 146, 52–58. [Google Scholar] [CrossRef]
- Sun, J.; Zhang, Q.; Zhou, J.; Wei, Q. Illumina Amplicon Sequencing of 16S RRNA Tag Reveals Bacterial Community Development in the Rhizosphere of Apple Nurseries at a Replant Disease Site and a New Planting Site. PLoS ONE 2014, 9, e111744. [Google Scholar] [CrossRef]
- Thakur, K.K.; Sharma, D.P. Pot-Culture Studies on Soil and Leaf Nutrients Status of Peach in Response to Different Soil Management Techniques for Preventing Replant Disease. Pharma Innov. J. 2018, 7, 1046–1053. [Google Scholar]
- Pacholak, E.; Rutkowski, K.; Zydlik, Z.; Zachwieja, M. Effect of Soil Fatigue Prevention Method on the Microbiological Soil Status in Replanted Apple Tree Orchard. Part I. Number of Nematodes. EJPAU 2006, 9, 4. [Google Scholar]
- Pacholak, E.; Zydlik, Z.; Zachwieja, M.; Rutkowski, K. Effect of Irrigation and Fertilization on the Growth and Yielding of Apple-Trees Cultivar Šampion in a Replanted Orchard. Acta Sci. Pol. Hortorum Cultus 2007, 6, 3–13. [Google Scholar]
- Brown, M.W.; Tworkoski, T. Pest Management Benefits of Compost Mulch in Apple Orchards. Agric. Ecosyst. Environ. 2004, 103, 465–472. [Google Scholar] [CrossRef]
- Oliveira, M.T.; Merwin, I.A. Soil Physical Conditions in a New York Orchard after Eight Years under Different Groundcover Management Systems. Plant Soil 2001, 234, 233–237. [Google Scholar] [CrossRef]
- van Schoor, L.; Denman, S.; Cook, N.C. Characterisation of Apple Replant Disease under South African Conditions and Potential Biological Management Strategies. Sci. Hortic. 2009, 119, 153–162. [Google Scholar] [CrossRef]
- Forge, T.; Neilsen, G.; Neilsen, D. Organically Acceptable Practices to Improve Replant Success of Temperate Tree-Fruit Crops. Sci. Hortic. 2016, 200, 205–214. [Google Scholar] [CrossRef]
- Licznar-Małańczuk, M.; Slobodianyk, L. Weed Occurrence in a Young Apple Orchard Mulched with Two Different Organic Materials. Acta Agrobot 2021, 74, 745. [Google Scholar] [CrossRef]
- Chen, B.; Liu, E.; Tian, Q.; Yan, C.; Zhang, Y. Soil Nitrogen Dynamics and Crop Residues. A Review. Agron. Sustain. Dev. 2014, 34, 429–442. [Google Scholar] [CrossRef]
- Thomsen, E.O.; Culumber, C.M.; Reeve, J.R.; Cardon, G.; Alston, D.; Black, B.L.; Ransom, C.V. Strategies for Managing Soil Fertility and Health in Organic Orchards—A Fact Sheet. All Curr. Publ. 2018, 1, 1–9. [Google Scholar]
- Bakshi, P.; Wali, V.K.; Iqbal, M.; Jasrotia, A.; Kour, K.; Ahmed, R.; Bakshi, M. Sustainable Fruit Production by Soil Moisture Conservation with Different Mulches: A Review. AJAR 2015, 10, 4718–4729. [Google Scholar] [CrossRef]
- Saoir, S.; Mansfield, J. The Potential for Spent Mushroom Compost as a Mulch for Weed Control in Bramley Orchards. Acta Hortic. 2000, 525, 427–430. [Google Scholar] [CrossRef]
- Przybyłko, S.; Szpadzik, E.; Marszał, J.; Kowalczyk, W.; Wrona, D. Different Floor Management Systems Affect Soil Properties and Initial Development of Apple Tree (Malus × Domestica Borkh.) in an Orchard. Agriculture 2022, 12, 2070. [Google Scholar] [CrossRef]
- Robbins, S.H.; Righetti, T.L.; Fallahi, E.; Dixon, A.R.; Chaplin, M.H. Influence of Trenching, Soil Amendments, and Mulching on the Mineral Content, Growth, Yield, and Quality of “Italian” Prunes. Commun. Soil Sci. Plant Anal. 1986, 17, 457–471. [Google Scholar] [CrossRef]
- Łysiak, G. The Base Colour of Fruit as an Indicator of Optimum Harvest Date for Two Apple Cultivars (Malus Domestica Borkh.). Folia Hortic. 2012, 24, 81–89. [Google Scholar] [CrossRef]
- Łysiak, G.; Kurlus, R.; Zydlik, Z.; Walkowiak-Tomczak, D. Apple Skin Colour Changes during Harvest as an Indicator of Maturity. Acta Sci. Pol.-Hortorum Cultus 2014, 13, 71–83. [Google Scholar]
- Dodds, G.T.; Brown, J.W.; Ludford, P.M. Surface Color Changes of Tomato and Other Solanaceous Fruit during Chilling. J. Am. Soc. Hortic. Sci. 1991, 116, 482–490. [Google Scholar] [CrossRef]
- Usenik, V.; Štampar, F.; Veberič, R. Anthocyanins and Fruit Colour in Plums (Prunus domestica L.) during Ripening. Food Chem. 2009, 114, 529–534. [Google Scholar] [CrossRef]
- Carreño, J.; Martínez, A.; Almela, L.; Fernández-López, J.A. Proposal of an Index for the Objective Evaluation of the Colour of Red Table Grapes. Food Res. Int. 1995, 28, 373–377. [Google Scholar] [CrossRef]
- Feng, C.; Chen, M.; Xu, C.; Bai, L.; Yin, X.; Li, X.; Allan, A.C.; Ferguson, I.B.; Chen, K. Transcriptomic Analysis of Chinese Bayberry (Myrica rubra) Fruit Development and Ripening Using RNA-Seq. BMC Genom. 2012, 13, 19. [Google Scholar] [CrossRef]
- Page, A.L. Methods of Soil Analysis. Part 2. Chemical and Microbiological Properties; Agronomy Monographs; American Society of Agronomy, Soil Science Society of America, Wiley: Hoboken, NJ, USA, 1982; ISBN 978-0-89118-977-0. [Google Scholar]
- Sadowski, A.; Nurzyński, J.; Pacholak, E.; Smolarz, K. Określenie Potrzeb Nawożenia Roślin Sadowniczych II. Zasady, Liczby Graniczne i Dawki Nawożenia. Instr. Upowsz. 1990, 3, 1–25. [Google Scholar]
- McDowell, R.W.; Worth, W.; Carrick, S. Evidence for the Leaching of Dissolved Organic Phosphorus to Depth. Sci. Total Environ. 2021, 755, 142392. [Google Scholar] [CrossRef]
- Rutkowski, K.; Łysiak, G.P. Effect of Nitrogen Fertilization on Tree Growth and Nutrient Content in Soil and Cherry Leaves (Prunus cerasus L.). Agriculture 2023, 13, 578. [Google Scholar] [CrossRef]
- Cakmak, D.; Saljnikov, E.; Perovic, V.; Jaramaz, D.; Mrvic, V. Effect of Long-Term Nitrogen Fertilization on Main Soil Chemical Properties in Cambisol. In Proceedings of the 19th World Congress of Soil Science, Soil Solutions for Changing World, Brisbane, Australia, 1–6 August 2010. [Google Scholar]
- Uzun, I. Use of Spent Mushroom Compost in Sustainable Fruit Production. J. Fruit Ornam. Plant Res. 2004, 12, 157–165. [Google Scholar]
- Facteau, T.J.; Chestnut, N.E.; Rowe, K.E. Tree, Fruit Size and Yield of ‘Bing’ Sweet Cherry as Influenced by Rootstock, Replant Area, and Training System. Sci. Hortic. 1996, 67, 13–26. [Google Scholar] [CrossRef]
- Aldea, V.; Parnia, C. Investigations on the Agrobiological Implications in Sweet Cherry Replant Disease. Acta Hortic. 1993, 324, 79–80. [Google Scholar] [CrossRef]
- Usenik, V.; Stampar, F. The Effect of Environmental Temperature on Sweet Cherry Phenology. Eur. J. Hortic. Sci. 2011, 76, 1. [Google Scholar]
- Mafrica, R.; Piscopo, A.; De Bruno, A.; Poiana, M. Effects of Climate on Fruit Growth and Development on Olive Oil Quality in Cultivar Carolea. Agriculture 2021, 11, 147. [Google Scholar] [CrossRef]
- Forge, T.; Neilsen, G.; Neilsen, D.; Hogue, E.; Faubion, D. Composted Dairy Manure and Alfalfa Hay Mulch Affect Soil Ecology and Early Production of ‘Braeburn’ Apple on M.9 Rootstock. HortScience 2013, 48, 645–651. [Google Scholar] [CrossRef]
- Treder, W.; Klamkowski, K.; Mika, A.; Wójcik, P. Response of Young Apple Trees to Different Orchard Floor Management System. J. Fruit Ornam. Plant Res. 2004, 12, 113–123. [Google Scholar]
- Bieniek, A.; Piłat, B.; Szałkiewicz, M.; Markuszewski, B.; Gojło, E. Evaluation of Yield, Morphology and Quality of Fruits of Cherry Silverberry (Elaeagnus multiflora Thunb.) Biotypes under Conditions of North-Eastern Poland. Pol. J. Nat. Sci. 2017, 32, 61–70. [Google Scholar]
- Bieniek, A.; Markuszewski, B.; Kopytowski, J.; Pluta, S.; Markowski, J. Yielding and Fruit Quality of Several Cultivars and Breeding Clones of Amelanchier Alnifolia Grown in North-Eastern Poland. Zemdirb.-Agric. 2019, 106, 351–358. [Google Scholar] [CrossRef]
- Głowacka, A.; Sitarek, M.; Rozpara, E.; Podwyszyńska, M. Pomological Characteristics and Ploidy Levels of Japanese Plum (Prunus salicina Lindl.) Cultivars Preserved in Poland. Plants 2021, 10, 884. [Google Scholar] [CrossRef]
- Szot, I.; Łysiak, G.P. Effect of the Climatic Conditions in Central Europe on the Growth and Yield of Cornelian Cherry Cultivars. Agriculture 2022, 12, 1295. [Google Scholar] [CrossRef]
- Łysiak, G.P.; Kurlus, R.; Michalska, A. Increasing the Frost Resistance of ‘Golden Delicious’, ‘Gala’ and ‘Šampion’ Apple Cultivars. Folia Hortic. 2016, 28, 125. [Google Scholar] [CrossRef][Green Version]
- Maeda, T.; Hiraiwa, M.K.; Shimomura, Y.; Oe, T. Weather Conditions Affect Pollinator Activity, Fruit Set Rate, and Yield in Japanese Apricot. Sci. Hortic. 2023, 307, 111522. [Google Scholar] [CrossRef]
- Nielsen, A.; Reitan, T.; Rinvoll, A.W.; Brysting, A.K. Effects of Competition and Climate on a Crop Pollinator Community. Agric. Ecosyst. Environ. 2017, 246, 253–260. [Google Scholar] [CrossRef]
- Dziedzic, E.; Bieniasz, M.; Kowalczyk, B. Morphological and Physiological Features of Sweet Cherry Floral Organ Affecting the Potential Fruit Crop in Relation to the Rootstock. Sci. Hortic. 2019, 251, 127–135. [Google Scholar] [CrossRef]
- Davarynejad, G.H.; Szabo, Z.; Persely, S.; Szabo, T.; Nyéki, J. The Fruit Set Capability of Some Sour Cherry Cultivars (Prunus cerasus L.). Acta Hortic. 2014, 1020, 181–184. [Google Scholar] [CrossRef]
- Rutkowski, K.; Łysiak, G.P. Thinning Methods to Regulate Sweet Cherry Crops—A Review. Appl. Sci. 2022, 12, 1280. [Google Scholar] [CrossRef]
- Bieniek, A.; Draganska, E.; Pranckietis, V. Assesment of Climatic Conditions for Actinidia Arguta Cultivation in North-Eastern Poland. Zemdirb.-Agric. 2016, 103, 311–318. [Google Scholar] [CrossRef]
- Aras, S.; Eşitken, A. Physiological Responses of Cherry Rootstocks to Short Term Salinity. Erwerbs-Obstbau 2018, 60, 161–164. [Google Scholar] [CrossRef]
- Kotuby-Amacher, J.; Koenig, R.; Kitchen, B. Salinity and Plant Tolerance. Available online: https://digitalcommons.usu.edu/cgi/viewcontent.cgi?article=1042&context=extension_histall (accessed on 25 May 2023).
- Grattan, S.R.; Grieve, C.M. Salinity–Mineral Nutrient Relations in Horticultural Crops. Sci. Hortic. 1998, 78, 127–157. [Google Scholar] [CrossRef]
- Gupta, S.K.; Goyal, M.R.; Singh, A. Engineering Practices for Management of Soil Salinity: Agricultural, Physiological, and Adaptive Approaches; Apple Academic Press: New York, NY, USA, 2018; ISBN 978-1-351-17108-3. [Google Scholar]
- Lysiak, P.G.; Pacholak, E. Effects of 13 Years Soil Fertilisation on Storage Quality of ‘Cortland’ Apples. In International Symposium Effect of Pre-& Postharvest Factors in Fruit Storage; ISHS: Leuven, Belgium, 1999; Volume 485, pp. 265–272. [Google Scholar]
- Sosna, I. Effect of Hand and Chemical Thinning on Yielding and Fruit Quality of Two Late–Ripening Plum Cultivars. Acta Sci. Pol. Hortorum Cultus 2012, 11, 41–51. [Google Scholar]
- Sosna, I.; Kortylewska, D. Evaluation of Several Less Known Pear (Pyrus communis L.) Cultivars in the Climatic Conditions of Lower Silesia. Acta Agrobot. 2012, 65, 157–162. [Google Scholar] [CrossRef][Green Version]
- Bieniasz, M.; Konieczny, A. The Effect of Titanium Organic Complex on Pollination Process and Fruit Development of Apple Cv. Topaz. Agronomy 2021, 11, 2591. [Google Scholar] [CrossRef]
- Bieniek, A. Yield, Morphology and Biological Value of Fruits of Actinidia Arguta and Actinidia Purpurea and Some of Their Hybrid Cultivars Grown in North-Eastern Poland. Acta Sci. Pol. Hortorum Cultus 2012, 11, 117–130. [Google Scholar]
- Bieniek, A.; Bieniek, A.; Bielska, N. Variation in Fruit and Seed Morphology of Selected Biotypes and Cultivars of Elaeagnus Multiflora Thunb. in North-Eastern Europe. Agriculture 2023, 13, 495. [Google Scholar] [CrossRef]
- Szpadzik, E.; Krupa, T.; Molska-Kawulok, K.; Przybyłko, S. Fruit Quality and Contents of Some Bioactive Compounds in Selected Czech Sweet Cherry (Prunus avium L.) Cultivars under Conditions of Central Poland. Agriculture 2022, 12, 1859. [Google Scholar] [CrossRef]
- Maas, F.M.; Kanne, H.J.; van der Steeg, P.A.H. Chemical Thinning of “Conference” Pears. In Proceedings of the XI International Symposium on Plant Bioregulators in Fruit Production, Bologna, Italy, 20 September 2009; Volume 884, pp. 293–304. [Google Scholar]
- Wertheim, S.J. Developments in the Chemical Thinning of Apple and Pear. Plant Growth Regul. 2000, 31, 85–100. [Google Scholar] [CrossRef]
- Sas-Paszt, L.; Pruski, K.; Żurawicz, E.; Sumorok, B.; Derkowska, E.; Głuszek, S. The Effect of Organic Mulches and Mycorrhizal Substrate on Growth, Yield and Quality of Gold Milenium Apples on M.9 Rootstock. Can. J. Plant Sci. 2014, 94, 281–291. [Google Scholar] [CrossRef]
- Aregay, N.; Belew, D.; Zenebe, A.; Haile, M.; Gebresamuel, G.; Girma, A. Tree Age and Harvesting Season Affected Physico-Chemical and Bioactive Compounds of Elite Type of Gunda Gundo Orange (Citrus Spp.) in the Northern Ethiopia. Int. J. Fruit Sci. 2021, 21, 26–39. [Google Scholar] [CrossRef]
- Bessho, H.; Kudo, K.; Omori, J.; Inomata, Y.; Wada, M.; Masuda, T.; Nakamoto, Y.; Fujisawa, H.; Suzuki, Y. A Portable Non-Destructive Quality Meter for Understanding Fruit Soluble Solids in Apple Canopies. In Proceedings of the VIII International Symposium on Canopy, Rootstocks and Environmental Physiology in Orchard Systems, Budapest, Hungary, 13 June 2004; Volume 732, pp. 593–597. [Google Scholar]
- Szewczuk, A.; Gudarowska, E. The Effect of Different Types of Mulching on Yield, Size, Color and Storability of Jonagored Apples. J. Fruit Ornam. Plant Res. 2004, 12, 207–213. [Google Scholar]
- Granatstein, D.; Andrews, P.; Groff, A. Productivity, Economics, and Fruit and Soil Quality of Weed Management Systems in Commercial Organic Orchards in Washington State, USA. Org. Agric. 2014, 4, 197–207. [Google Scholar] [CrossRef]
- Lordan, J.; Pascual, M.; Villar, J.M.; Fonseca, F.; Papió, J.; Montilla, V.; Rufat, J. Use of Organic Mulch to Enhance Water-Use Efficiency and Peach Production under Limiting Soil Conditions in a Three-Year-Old Orchard. Span. J. Agric. Res. 2015, 13, e0904. [Google Scholar] [CrossRef]
- Nava, G.; Dechen, A.R.; Nachtigall, G.R. Nitrogen and Potassium Fertilization Affect Apple Fruit Quality in Southern Brazil. Commun. Soil Sci. Plant Anal. 2007, 39, 96–107. [Google Scholar] [CrossRef]
- Yener, H.; Altuntaş, Ö. Effects of Potassium Fertilization on Leaf Nutrient Content and Quality Attributes of Sweet Cherry Fruits (Prunus avium L.). J. Plant Nutr. 2021, 44, 946–957. [Google Scholar] [CrossRef]
- Nowicka, P.; Wojdyło, A.; Lech, K.; Figiel, A. Chemical Composition, Antioxidant Capacity, and Sensory Quality of Dried Sour Cherry Fruits Pre-Dehydrated in Fruit Concentrates. Food Bioprocess Technol. 2015, 8, 2076–2095. [Google Scholar] [CrossRef]
- Grafe, C.; Schuster, M. Physicochemical Characterization of Fruit Quality Traits in a German Sour Cherry Collection. Sci. Hortic. 2014, 180, 24–31. [Google Scholar] [CrossRef]
- Siddiq, M.; Iezzoni, A.; Khan, A.; Breen, P.; Sebolt, A.M.; Dolan, K.D.; Ravi, R. Characterization of New Tart Cherry (Prunus cerasus L.): Selections Based on Fruit Quality, Total Anthocyanins, and Antioxidant Capacity. Int. J. Food Prop. 2011, 14, 471–480. [Google Scholar] [CrossRef]
- Schuster, M. Sour Cherries for Fresh Consumption. Acta Hortic. 2019, 1235, 113–118. [Google Scholar] [CrossRef]
- Szpadzik, E.; Jadczuk-Tobjasz, E.; \Lotocka, B. Floral Biology of Some Sour Cherry Cultivars and Their Suitability for Cultivation. Hortic. Landsc. Archit. 2010, 31, 43–51. [Google Scholar]
- Kurlus, R.; Świerczyński, S.; Rutkowski, K.; Ratajkiewicz, H.; Malinowska, A.; Wyrwał, A. Exogenus ‘GA3’ and ‘GA4+7’ Effects on Phenological Indices, Frost Hardiness and Quality Properties of ‘English Morello’ Sour Cherry (Prunus cerasus L.). Acta Sci. Pol. Hortorum Cultus 2017, 16, 99–109. [Google Scholar] [CrossRef]
- Etienne, A.; Génard, M.; Lobit, P.; Mbeguié-A-Mbéguié, D.; Bugaud, C. What Controls Fleshy Fruit Acidity? A Review of Malate and Citrate Accumulation in Fruit Cells. J. Exp. Bot. 2013, 64, 1451–1469. [Google Scholar] [CrossRef]
- Tymoshchuk, T. The Effects of Weather Factors on Titrating Acids Accumulation in Sweet Cherry Fruits. Future Food: J. Food Agric. Soc. 2023, 11, 1. [Google Scholar] [CrossRef]
- Vasilishina, O. Effect of Temperature and Humidity on Quality Score of Sour Cherry Fruits (Prunus cerasus L.). Rasteniev’dni Nauk. /Bulg. J. Crop Sci. 2017, 54, 35–40. [Google Scholar]
- Pedisić, S.; Dragović-Uzelac, V.; Levaj, B.; Škevin, D. Effect of Maturity and Geographical Region on Anthocyanin Content of Sour Cherries (Prunus cerasus Var. Marasca). Food Technol. Biotechnol. 2010, 48, 86–93. [Google Scholar]
- Batisse, C.; Fils-Lycaon, B.; Buret, M. Pectin Changes in Ripening Cherry Fruit. J. Food Sci. 1994, 59, 389–393. [Google Scholar] [CrossRef]
- Paniagua, C.; Posé, S.; Morris, V.J.; Kirby, A.R.; Quesada, M.A.; Mercado, J.A. Fruit Softening and Pectin Disassembly: An Overview of Nanostructural Pectin Modifications Assessed by Atomic Force Microscopy. Ann. Bot. 2014, 114, 1375–1383. [Google Scholar] [CrossRef] [PubMed]
- Gonçalves, B.; Landbo, A.-K.; Knudsen, D.; Silva, A.P.; Moutinho-Pereira, J.; Rosa, E.; Meyer, A.S. Effect of Ripeness and Postharvest Storage on the Phenolic Profiles of Cherries (Prunus avium L.). J. Agric. Food Chem. 2004, 52, 523–530. [Google Scholar] [CrossRef] [PubMed]
- Gonçalves, B.; Silva, A.P.; Moutinho-Pereira, J.; Bacelar, E.; Rosa, E.; Meyer, A.S. Effect of Ripeness and Postharvest Storage on the Evolution of Colour and Anthocyanins in Cherries (Prunus avium L.). Food Chem. 2007, 103, 976–984. [Google Scholar] [CrossRef]
- Fallahi, E.; Righetti, T.L.; Proebsting, E.L. Pruning and Nitrogen Effects on Elemental Partitioning and Fruit Maturity in ‘Bing’Sweet Cherry. J. Plant Nutr. 1993, 16, 753–763. [Google Scholar] [CrossRef]
- Keller, M.; Arnink, K.J.; Hrazdina, G. Interaction of Nitrogen Availability during Bloom and Light Intensity During Veraison. I. Effects on Grapevine Growth, Fruit Development, and Ripening. Am. J. Enol. Vitic. 1998, 49, 333–340. [Google Scholar] [CrossRef]
- Jezek, M.; Zörb, C.; Merkt, N.; Geilfus, C.-M. Anthocyanin Management in Fruits by Fertilization. J. Agric. Food Chem. 2018, 66, 753–764. [Google Scholar] [CrossRef] [PubMed]
- Wang, H.; Cheng, L. Differential Effects of Nitrogen Supply on Skin Pigmentation and Flesh Starch Breakdown of ‘Gala’ Apple. HortScience 2011, 46, 1116–1120. [Google Scholar] [CrossRef]
- Delgado, R.; González, M.R.; Martín, P. Interaction Effects of Nitrogen and Potassium Fertilization on Anthocyanin Composition and Chromatic Features of Tempranillo Grapes. OENO One 2006, 40, 141–150. [Google Scholar] [CrossRef]
- Pedišić, S.; Levaj, B.; Dragović-Uzelac, V.; Škevin, D.; Skendrović Babojelić, M. Color Parameters and Total Anthocyanins of Sour Cherries (Prunus cerasus L.) during Ripening. Agric. Conspec. Sci. 2009, 74, 259–262. [Google Scholar]
- Al-Dairi, M.; Pathare, P.B.; Al-Yahyai, R. Effect of Postharvest Transport and Storage on Color and Firmness Quality of Tomato. Horticulturae 2021, 7, 163. [Google Scholar] [CrossRef]
- Do Amarante, C.V.T.; Stanger, M.C.; Coldebella, M.C.; Vilvert, J.C.; Dos Santos, A.; Steffens, C.A. Fruit Quality and Yield of ‘Imperial Gala’ Apple Trees Protected by Anti-Hail Nets of Different Colorations in Southern Brazil. In Proceedings of the Acta Horticulturae; Acta Horticulturae, Cairns, Queensland, Australia, 20 November 2016; 2016; Volume 1205, pp. 897–904. [Google Scholar]
- Tomala, K. Orchard Factors Affecting Fruit Storage Quality and Prediction of Harvest Date of Apples; Acta Hort.: Warsaw, Poland, 1997. [Google Scholar]
- Ochmian, I.D. The Impact of Foliar Application of Calcium Fertilizers on the Quality of Highbush Blueberry Fruits Belonging to the “Duke” Cultivar. Not. Bot. Horti Agrobot. Cluj-Napoca 2012, 40, 163–169. [Google Scholar] [CrossRef]









| Planting Area | mg 100 g−1 DW Soil | pH in KCl | p | |||||||
|---|---|---|---|---|---|---|---|---|---|---|
| P | p | K | p | Mg | p | K/Mg | p | |||
| Depth 0–20 cm | ||||||||||
| OR1 | 9.3 | 0.147 | 14.4 | 0.131 | 11.9 | 0.202 | 1.3 | 0.099 | 6.5 | p = 0.246 |
| OR2 | 10.0 | 11.7 | 12.6 | 0.9 | 6.7 | |||||
| Depth 21–40 cm | ||||||||||
| OR1 | 5.7 | 0.482 | 11.3 | 0.240 | 9.7 | 0.052 | 1.2 | 0.082 | 6.1 | p = 0.971 |
| OR2 | 6.6 | 8.7 | 11.1 | 0.8 | 6.2 | |||||
| Contents of Macro-Elements [mg·100 g−1] | pH | Organic Matter [%] | Contents Micro-Elements [mg·kg−1] | |||||||
|---|---|---|---|---|---|---|---|---|---|---|
| P | K | Mg | S | B | Mn | Cu | Zn | Fe | ||
| 144.5 | 59.5 | 35.6 | 37.8 | 6.71 | 29.8 | 7.9 | 256.8 | 11.3 | 145.6 | 4800.0 |
| 2008 | 2009 | 2010 | 2011 | 2012 | 2013 | 2014 | 2015 | 2016 | |
|---|---|---|---|---|---|---|---|---|---|
| Air temperature in April | |||||||||
| Mean | 7.9 | 11.2 | 8.8 | 11.5 | 8.9 | 7.9 | 10.7 | 11.6 | 8.6 |
| Min | −0.6 | −4.5 | −3.0 | 0.5 | −4.5 | −6.7 | −1.8 | −2.7 | −1.9 |
| Max | 20.1 | 25.4 | 33.0 | 25.0 | 29.8 | 25.0 | 24.7 | 23.4 | 24.0 |
| Air temperature in May | |||||||||
| Mean | 13.6 | 12.4 | 11.9 | 14.2 | 15.2 | 14.6 | 13.2 | 12.6 | 15.6 |
| Min | 0.0 | −0.4 | 2.1 | −2.9 | 1.5 | 3.5 | −1.1 | −0.1 | 4.0 |
| Max | 26.8 | 23.8 | 24.1 | 29.7 | 31.2 | 27.1 | 30.3 | 24.0 | 29.2 |
| Month | Total Rainfall (mm) | Mean | ||||||||
|---|---|---|---|---|---|---|---|---|---|---|
| 2008 | 2009 | 2010 | 2011 | 2012 | 2013 | 2014 | 2015 | 2016 | ||
| January | 65.3 | 22.4 | 23.5 | 37.5 | 34.2 | 44.8 | 41.1 | 37.1 | 30.4 | 37.4 |
| February | 7.2 | 19.8 | 15.2 | 33.0 | 21.2 | 1.2 | 8.6 | 9.0 | 36.0 | 16.8 |
| March | 36.1 | 54.2 | 42.6 | 27.6 | 7.6 | 10.2 | 48.3 | 45.3 | 50.8 | 35.9 |
| April | 56.2 | 19.6 | 19.0 | 9.2 | 9.8 | 85.2 | 53.6 | 20.5 | 37.6 | 34.5 |
| May | 9.0 | 85.4 | 110.1 | 32.8 | 57.0 | 99.4 | 75.8 | 27.0 | 27.4 | 58.2 |
| June | 15.2 | 160.0 | 13.0 | 56.2 | 127.8 | 46.0 | 39.5 | 77.7 | 132.8 | 74.2 |
| July | 62.0 | 79.4 | 111.4 | 182.4 | 121.8 | 37.6 | 76.8 | 83.5 | 124.6 | 97.7 |
| August | 116.4 | 32.8 | 124.1 | 32.4 | 39.0 | 38.2 | 68.1 | 23.4 | 41.4 | 57.3 |
| September | 27.0 | 52.4 | 72.4 | 27.8 | 24.6 | 81.0 | 46.2 | 22.5 | 13.0 | 40.8 |
| October | 57.2 | 68.4 | 5.3 | 27.4 | 64.4 | 23.8 | 36.3 | 20.9 | 100.8 | 44.9 |
| November | 26.6 | 17.8 | 114.9 | 3.2 | 22.8 | 49.4 | 15.1 | 34.8 | 43.4 | 36.4 |
| December | 33.4 | 16.6 | 46.5 | 53.2 | 46.6 | 20.0 | 53.1 | 25.8 | 46.2 | 37.9 |
| Total | 511.6 | 628.8 | 698.0 | 522.7 | 576.8 | 516.8 | 562.5 | 427.4 | 684.4 | 569.9 |
| Treatment | mg 100 g−1 DW Soil | K/Mg | pH | ||
|---|---|---|---|---|---|
| P | K | Mg | |||
| OR1 | |||||
| C | 8.16 ± 0.82 1 | 14.16 ± 1.65 | 10.54 ± 1.13 | 1.35 ± 0.12 | 6.46 ± 0.10 |
| M | 12.15 ± 0.92 | 20.35 ± 2.93 | 11.60 ± 1.34 | 1.75 ± 0.21 | 6.64 ± 0.12 |
| p Value | |||||
| 0.000 2 | 0.000 | 0.071 | 0.000 | 0.002 | |
| OR2 | |||||
| C | 10.42 ± 1.06 | 11.69 ± 0.77 | 11.61 ± 0.82 | 1.01 ± 0.09 | 6.65 ± 0.07 |
| M | 16.98 ± 2.25 | 19.61 ± 1.61 | 12.88 ± 1.20 | 1.53 ± 0.10 | 6.91 ± 0.07 |
| p Value | |||||
| 0.000 | 0.000 | 0.013 | 0.000 | 0.000 | |
| Treatment | mg 100 g−1 DW Soil | K/Mg | pH | ||
|---|---|---|---|---|---|
| P | K | Mg | |||
| OR1 | |||||
| C | 5.75 ± 0.53 1 | 8.96 ± 2.74 | 8.40 ± 0.90 | 1.06 ± 0.24 | 6.11 ± 0.10 |
| M | 5.58 ± 0.61 | 9.38 ± 2.17 | 9.59 ± 1.09 | 1.02 ± 0.24 | 6.25 ± 0.09 |
| p Value | |||||
| 0.528 2 | 0.708 | 0.016 | 0.714 | 0.004 | |
| OR2 | |||||
| C | 7.63 ± 0.60 | 7.68 ± 1.67 | 9.40 ± 1.07 | 0.81 ± 0.12 | 6.28 ± 0.19 |
| M | 8.20 ± 0.62 | 9.90 ± 1.62 | 10.0 ± 1.31 | 1.00 ± 0.14 | 6.60 ± 0.13 |
| p Value | |||||
| 0.520 | 0.004 | 0.258 | 0.006 | 0.001 | |
| Year | Mulching | Planting Area | |
|---|---|---|---|
| OR1 | OR2 | ||
| 2008 | C | 5.98 ± 1.46 1 | 5.77 ± 0.45 |
| M | 4.86 ± 0.66 | 5.91 ± 1.58 | |
| 2009 | C | 11.76 ± 3.81 | 14.57 ± 4.63 |
| M | 9.06 ± 2.18 | 12.58 ± 3.22 | |
| 2010 | C | 16.75 ± 3.09 | 20.90 ± 4.01 |
| M | 12.88 ± 3.10 | 18.14 ± 4.18 | |
| 2011 | C | 23.36 ± 2.99 | 27.55 ± 5.13 |
| M | 19.31 ± 2.59 | 25.54 ± 6.98 | |
| 2012 | C | 30.97 ± 3.01 | 36.20 ± 9.79 |
| M | 26.73 ± 3.58 | 36.13 ± 8.72 | |
| 2013 | C | 39.72 ± 3.44 | 46.22 ± 15.66 |
| M | 35.38 ± 4.91 | 48.64 ± 11.39 | |
| 2014 | C | 43.95 ± 1.88 | 52.98 ± 12.52 |
| M | 40.10 ± 5.54 | 54.50 ± 11.82 | |
| 2015 | C | 48.44 ± 0.46 | 60.53 ± 9.26 |
| M | 45.13 ± 6.23 | 60.73 ± 12.50 | |
| 2016 | C | 52.83 ± 2.56 | 66.07 ± 9.59 |
| M | 52.29 ± 7.32 | 69.73 ± 19.03 | |
| Treatment | p Value | ||
| Year | 0.000 2 | 0.000 | |
| Mulching | 0.001 | 0.957 | |
| Year × Mulching | 0.969 | 0.999 | |
| Treatment | TCSA | |
|---|---|---|
| OR1 | OR2 | |
| C | 30.42 ± 2.32 1 | 36.75 ± 7.67 |
| M | 27.30 ± 1.04 | 36.88 ± 8.68 |
| p Value | ||
| 0.050 2 | 0.982 | |
| Year | Mulching | Planting Area | |
|---|---|---|---|
| OR1 | OR2 | ||
| 2008 | C | 2.38 ± 0.42 1 | 2.44 ± 0.49 |
| M | 1.78 ± 0.14 | 2.34 ± 0.73 | |
| 2009 | C | 5.78 ± 0.55 | 8.80 ± 0.09 |
| M | 4.10 ± 0.65 | 6.67 ± 0.53 | |
| 2010 | C | 3.82 ± 0.84 | 6.32 ± 0.51 |
| M | 4.99 ± 0.40 | 5.56 ± 0.21 | |
| 2011 | C | 6.61 ± 0.89 | 6.65 ± 0.55 |
| M | 6.44 ± 0.93 | 7.39 ± 0.07 | |
| 2012 | C | 7.61 ± 0.52 | 8.65 ± 0.65 |
| M | 7.42 ± 0.40 | 10.59 ± 1.00 | |
| 2013 | C | 8.75 ± 0.66 | 10.16 ± 0.26 |
| M | 8.65 ± 0.56 | 12.34 ± 0.62 | |
| 2014 | C | 4.23 ± 0.42 | 6.76 ± 0.29 |
| M | 4.73 ± 0.29 | 5.86 ± 1.25 | |
| 2015 | C | 4.49 ± 0.54 | 7.54 ± 0.28 |
| M | 5.03 ± 0.35 | 6.23 ± 0.37 | |
| 2016 | C | 4.29 ± 0.22 | 5.55 ± 0.31 |
| M | 7.16 ± 0.13 | 8.92 ± 0.36 | |
| Treatment | p Value | ||
| Year | 0.000 2 | 0.000 | |
| Mulching | 0.814 | 0.004 | |
| Year × Mulching | 0.000 | 0.000 | |
| Treatment | Increase in the Cross-Sectional Area of the Trunk | |
|---|---|---|
| OR1 | OR2 | |
| C | 5.52 ± 1.94 1 | 6.99 ± 2.16 |
| M | 5.39 ± 2.09 | 7.32 ± 2.87 |
| p Value | ||
| 0.949 2 | 0.577 | |
| Year | Mulching | Yield | Productivity Coefficient | ||
|---|---|---|---|---|---|
| OR1 | OR2 | OR1 | OR2 | ||
| 2008 | C | 0.74 ± 0.29 1 | 1.18 ± 0.21 | 0.13 ± 0.06 | 0.21 ± 0.04 |
| M | 0.71 ± 0.13 | 0.88 ± 0.16 | 0.15 ± 0.03 | 0.15 ± 0.02 | |
| 2009 | C | 3.66 ± 2.14 | 2.38 ± 0.91 | 0.29 ± 0.09 | 0.18 ± 0.09 |
| M | 2.24 ± 0.43 | 2.28 ± 1.28 | 0.25 ± 0.02 | 0.18 ± 0.08 | |
| 2010 | C | 1.90 ± 0.74 | 2.88 ± 1.18 | 0.11 ± 0.03 | 0.13 ± 0.03 |
| M | 1.64 ± 0.74 | 3.28 ± 1.71 | 0.13 ± 0.04 | 0.17 ± 0.07 | |
| 2011 | C | 4.94 ± 1.43 | 3.54 ± 0.58 | 0.21 ± 0.04 | 0.13 ± 0.04 |
| M | 4.00 ± 2.59 | 2.76 ± 1.37 | 0.21 ± 0.15 | 0.12 ± 0.08 | |
| 2012 | C | 14.44 ± 2.44 | 6.00 ± 1.93 | 0.46 ± 0.04 | 0.17 ± 0.04 |
| M | 11.50 ± 0.91 | 7.25 ± 1.44 | 0.43 ± 0.04 | 0.21 ± 0.08 | |
| 2013 | C | 4.81 ± 2.38 | 4.31 ± 1.71 | 0.12 ± 0.05 | 0.10 ± 0.05 |
| M | 5.25 ± 1.15 | 4.25 ± 0.96 | 0.15 ± 0.02 | 0.09 ± 0.03 | |
| 2014 | C | 2.27 ± 0.41 | 5.56 ± 1.80 | 0.05 ± 0.01 | 0.11 ± 0.03 |
| M | 1.35 ± 0.30 | 7.38 ± 2.17 | 0.03 ± 0.01 | 0.13 ± 0.01 | |
| 2015 | C | 17.03 ± 2.79 | 23.34 ± 5.62 | 0.35 ± 0.06 | 0.38 ± 0.04 |
| M | 16.88 ± 2.90 | 29.25 ± 6.62 | 0.38 ± 0.08 | 0.48 ± 0.01 | |
| 2016 | C | 12.80 ± 8.42 | 9.00 ± 1.15 | 0.25 ± 0.17 | 0.14 ± 0.02 |
| M | 11.50 ± 6.81 | 11.50 ± 5.26 | 0.22 ± 0.13 | 0.19 ± 0.11 | |
| Treatment | p Value | ||||
| Year | 0.000 2 | 0.000 | 0.000 | 0.000 | |
| Mulching | 0.242 | 0.069 | 0.868 | 0.130 | |
| Year × Mulching | 0.985 | 0.330 | 0.978 | 0.319 | |
| SS | df | MS | F | p | ||
|---|---|---|---|---|---|---|
| Total yield | ||||||
| OR1 | Mulching | 0.73 | 1 | 0.73 | 0.009 | 0.927 * |
| Residuals | 396.42 | 5 | 79.28 | |||
| OR2 | Mulching | 67.90 | 1 | 67.90 | 0.681 | 0.447 |
| Residuals | 498.59 | 5 | 99.72 | |||
| Productivity coefficient | ||||||
| OR1 | Mulching | 0.00008 | 1 | 0.00008 | 0.09 | 0.775 |
| Residuals | 0.00454 | 5 | 0.00091 | |||
| OR2 | Mulching | 0.00057 | 1 | 0.00057 | 1.46 | 0.281 |
| Residuals | 0.00196 | 5 | 0.00039 | |||
| Total Yield in Years 2008–2016 (kg·tree−1) | ||
| OR1 | OR2 | |
| C | 50.8 ± 3.6 1 n.s. 2 | 71.0 ± 5.0 n.s. |
| M | 51.8 ± 11.4 n.s. | 77.1 ± 11.9 n.s. |
| Mean | 51.3 | 74.1 |
| Productivity coefficient (kg·cm−2) | ||
| OR1 | OR2 | |
| C | 0.165 ± 0.020 n.s. | 0.236 ± 0.012 n.s. |
| M | 0.173 ± 0.035 n.s. | 0.249 ± 0.027 n.s. |
| Mean | 0.169 | 0.242 |
| Year | Mulching | Localization | |
|---|---|---|---|
| OR1 | OR2 | ||
| 2008 | C | 513.10 ± 28.18 1 | 480.58 ± 10.71 |
| M | 432.17 ± 27.73 | 460.44 ± 20.86 | |
| 2009 | C | 528.56 ± 14.01 | 504.00 ± 14.73 |
| M | 542.86 ± 7.53 | 495.02 ± 9.49 | |
| 2010 | C | 440.88 ± 7.97 | 513.40 ± 37.99 |
| M | 446.38 ± 16.13 | 464.72 ± 20.90 | |
| 2011 | C | 494.04 ± 15.92 | 428.58 ± 14.32 |
| M | 495.96 ± 35.61 | 392.01 ± 3.25 | |
| 2012 | C | 629.42 ± 2.92 | 602.68 ± 15.52 |
| M | 603.57 ± 34.99 | 586.45 ± 7.81 | |
| 2013 | C | 559.68 ± 18.29 | 484.26 ± 5.47 |
| M | 565.76 ± 20.01 | 492.16 ± 11.7 | |
| 2014 | C | 556.84 ± 14.89 | 479.89 ± 10.01 |
| M | 532.89 ± 12.90 | 480.43 ± 23.23 | |
| 2015 | C | 584.56 ± 13.10 | 511.17 ± 15.67 |
| M | 581.20 ± 30.00 | 565.38 ± 19.82 | |
| 2016 | C | 571.37 ± 26.59 | 591.24 ± 16.66 |
| M | 602.98 ± 38.34 | 606.02 ± 44.75 | |
| Treatment | p Value | ||
| Year | 0.000 2 | 0.000 | |
| Mulching | 0.127 | 0.208 | |
| Year × Mulching | 0.001 | 0.000 | |
| Treatment | Mass of 100 Fruit (g) | |
|---|---|---|
| OR1 | OR2 | |
| C | 542.05 ± 54.98 1 n.s.2 | 510.64 ± 54.98 n.s. |
| M | 533.75 ± 65.28 n.s. | 504.73 ± 68.29 n.s. |
| Mean | 537.9 | 507.7 |
| Year | Mulching | Localization | |
|---|---|---|---|
| OR1 | OR2 | ||
| 2008 | C | 200.25 ± 15.02 1 | 200.00 ± 13.44 |
| M | 201.50 ± 8.66 | 189.25 ± 13.96 | |
| 2009 | C | 193.50 ± 27.93 | 205.75 ± 22.83 |
| M | 217.50 ± 12.63 | 220.25 ± 20.29 | |
| 2010 | C | 209.38 ± 12.20 | 188.25 ± 8.85 |
| M | 199.13 ± 8.38 | 200.13 ± 7.65 | |
| 2011 | C | 204.36 ± 9.79 | 201.12 ± 5.03 |
| M | 201.01 ± 4.56 | 183.89 ± 8.79 | |
| 2012 | C | 194.11 ± 7.73 | 188.43 ± 3.74 |
| M | 199.25 ± 10.15 | 184.58 ± 3.93 | |
| 2013 | C | 210.21 ± 3.42 | 190.92 ± 5.14 |
| M | 205.34 ± 4.20 | 191.14 ± 6.67 | |
| 2014 | C | 214.63 ± 14.03 | 220.38 ± 9.69 |
| M | 217.50 ± 8.80 | 228.38 ± 9.04 | |
| 2015 | C | 231.88 ± 25.04 | 221.50 ± 30.95 |
| M | 206.25 ± 11.09 | 208.63 ± 26.41 | |
| 2016 | C | 187.50 ± 5.58 | 184.38 ± 8.41 |
| M | 197.00 ± 24.16 | 182.56 ± 10.83 | |
| Treatment | p Value | ||
| Year | 0.006 2 | 0.000 | |
| Mulching | 0.964 | 0.696 | |
| Year × Mulching | 0.067 | 0.304 | |
| Firmness | |
|---|---|
| MOF | –0.47 * |
| ITCSA | –0.69 * |
| PRECV | –0.49 * |
| TSOIL | –0.70 * |
| TMAY | –0.62 * |
| >15 | –0.55 * |
| Year | Mulching | Localization | |
|---|---|---|---|
| OR1 | OR2 | ||
| 2008 | C | 18.22 ± 1.16 1 | 17.31 ± 0.63 |
| M | 17.00 ± 0.62 | 16.64 ± 0.70 | |
| 2009 | C | 12.89 ± 0.69 | 13.53 ± 0.63 |
| M | 13.21 ± 0.45 | 12.78 ± 0.38 | |
| 2010 | C | 17.51 ± 0.58 | 14.60 ± 0.70 |
| M | 17.50 ± 1.03 | 15.50 ± 1.38 | |
| 2011 | C | 16.53 ± 0.95 | 16.35 ± 0.53 |
| M | 16.58 ± 0.05 | 15.98 ± 0.30 | |
| 2012 | C | 13.53 ± 0.39 | 14.08 ± 0.25 |
| M | 13.40 ± 0.34 | 13.98 ± 0.29 | |
| 2013 | C | 15.38 ± 0.67 | 16.15 ± 0.19 |
| M | 14.83 ± 0.97 | 15.83 ± 1.27 | |
| 2014 | C | 13.20 ± 0.50 | 14.20 ± 0.74 |
| M | 14.58 ± 0.51 | 14.73 ± 1.07 | |
| 2015 | C | 13.85 ± 0.93 | 12.53 ± 1.83 |
| M | 13.20 ± 0.66 | 13.38 ± 0.83 | |
| 2016 | C | 14.03 ± 0.57 | 14.20 ± 0.36 |
| M | 13.63 ± 1.21 | 14.03 ± 0.34 | |
| Treatment | p Value | ||
| Year | 0.000 2 | 0.000 | |
| Mulching | 0.451 | 0.944 | |
| Year × Mulching | 0.079 | 0.339 | |
| TSS | |
|---|---|
| MOF | –0.51 * |
| YIELD | –0.49 * |
| TCSA | –0.43 * |
| TMINV | 0.73 * |
| TSOILV | –0.51 * |
| TJUN | –0.62 * |
| NODFH | –0.73 * |
| PJUN | –0.62 * |
| Year | Mulching | Localization | |
|---|---|---|---|
| OR1 | OR2 | ||
| 2008 | C | 2.26 ± 0.08 1 | 2.09 ± 0.01 |
| M | 2.23 ± 0.15 | 1.89 ± 0.08 | |
| 2009 | C | 1.68 ± 0.35 | 1.97 ± 0.12 |
| M | 1.77 ± 0.06 | 1.34 ± 0.19 | |
| 2010 | C | 2.01 ± 0.36 | 1.93 ± 0.09 |
| M | 1.65 ± 0.06 | 1.89 ± 0.06 | |
| 2011 | C | 2.02 ± 0.08 | 1.89 ± 0.10 |
| M | 2.06 ± 0.07 | 1.89 ± 0.09 | |
| 2012 | C | 1.81 ± 0.05 | 1.27 ± 0.06 |
| M | 1.43 ± 0.16 | 1.61 ± 0.03 | |
| 2013 | C | 1.64 ± 0.12 | 1.78 ± 0.12 |
| M | 1.61 ± 0.06 | 1.78 ± 0.14 | |
| 2014 | C | 1.55 ± 0.14 | 1.62 ± 0.08 |
| M | 1.64 ± 0.15 | 1.57 ± 0.13 | |
| 2015 | C | 1.64 ± 0.03 | 1.62 ± 0.19 |
| M | 1.61 ± 0.16 | 1.64 ± 0.19 | |
| 2016 | C | 1.71 ± 0.09 | 1.72 ± 0.12 |
| M | 1.62 ± 0.02 | 1.54 ± 0.09 | |
| Treatment | p Value | ||
| Year | 0.000 2 | 0.000 | |
| Mulching | 0.036 | 0.003 | |
| Year × Mulching | 0.015 | 0.000 | |
| TA | |
|---|---|
| TminV | 0.64 * |
| SOLR | 0.46 * |
| TJUN | 0.39 * |
| NODFH | –0.57 * |
| Treatment | Color Components and Indices | |||||||
|---|---|---|---|---|---|---|---|---|
| L* | a* | b* | C* | h° | COL | CIRG | ||
| OR1 | C | 21.24 ± 2.96 1 | 6.22 ± 1.91 | 3.07 ± 1.10 | 7.10 ± 1.82 | 21.53 ± 8.62 | 84.00 ± 19.31 | 4.65 ± 2.64 |
| M | 21.38 ± 2.73 | 6.37 ± 2.12 | 2.66 ± 1.56 | 7.21 ± 2.00 | 53.20 ± 8.63 | 88.60 ± 12.66 | 4.75 ± 1.68 | |
| p Value | ||||||||
| Year | 0.000 2 | 0.000 | 0.000 | 0.000 | 0.042 | 0.000 | 0.000 | |
| Mulching | 0.276 | 0.614 | 0.001 | 0.731 | 0.034 | 0.076 | 0.613 | |
| Year × Mulching | 0.009 | 0.000 | 0.011 | 0.000 | 0.000 | 0.308 | 0.002 | |
| OR2 | C | 22.86 ± 3.17 | 6.18 ± 1.71 | 2.80 ± 1.15 | 6.96 ± 1.58 | 22.39 ± 13.30 | 80.39 ± 12.93 | 4.35 ± 2.53 |
| M | 23.14 ± 3.43 | 7.06 ± 2.21 | 2.95 ± 1.03 | 7.84 ± 2.08 | 25.93 ± 35.71 | 82.16 ± 1.53 | 4.72 ± 1.44 | |
| p Value | ||||||||
| Year | 0.000 | 0.000 | 0.000 | 0.000 | 0.024 | 0.000 | 0.000 | |
| Mulching | 0.010 | 0.001 | 0.000 | 0.000 | 0.553 | 0.284 | 0.059 | |
| Year × Mulching | 0.059 | 0.910 | 0.045 | 0.762 | 0.611 | 0.248 | 0.000 | |
| Year | Color Components and Indices | ||||||
|---|---|---|---|---|---|---|---|
| L* | a* | b* | C* | h° | COL | CIRG | |
| OR1 | |||||||
| 2008 | 19.8 bc 1 | 8.1 e | 1.8 b | 8.3 c | 9.0 a | 97.5 cd | 2.5 b |
| 2009 | 21.1 d | 6.7 c–e | 2.4 c | 7.2 c | 19.6 ab | 81.1 b | 0.0 a |
| 2010 | 19.0 a | 6.3 cd | 2.9 cd | 6.9 bc | 17.1 ab | 103.9 d | 5.8 d |
| 2011 | 20.8 d | 4.7 ab | 3.1 d | 5.7 ab | 25.6 b | 85.8 bc | 6.0 d |
| 2012 | 20.1 c | 7.6 de | 0.3 a | 7.8 c | 157.0 c | 94.4 cd | 5.8 d |
| 2013 | 23.1 e | 3.6 a | 2.8 cd | 4.7 a | 31.1 b | 79.6 b | 5.6 d |
| 2014 | 19.9 bc | 7.0 c–e | 3.8 e | 8.0 c | 21.6 ab | 88.1 bc | 5.9 d |
| 2015 | 19.5 b | 6.0 bc | 4.1 e | 7.4 c | 26.6 b | 88.8 bc | 6.1 d |
| 2016 | 28.4 f | 6.8 c–e | 4.7 f | 8.4 c | 28.6 b | 57.5 a | 4.7 c |
| OR2 | |||||||
| 2008 | 21.3 d | 9.6 e | 1.8 b | 9.8 g | 7.5 a | 81.4 cd | 0.1 a |
| 2009 | 22.5 e | 8.1 d | 2.4 c | 8.5 ef | 12.5 a | 86.9 de | 4.5 c |
| 2010 | 19.8 b | 6.6 c | 2.9 d | 7.2 cd | 16.4 a | 100.0 f | 5.5 de |
| 2011 | 20.2 c | 4.8 b | 2.8 d | 5.6 b | 23.1 a | 89.4 e | 6.1 e |
| 2012 | 24.2 g | 6.4 c | 1.1 a | 6.8 c | 56.4 b | 77.1 c | 5.1 cd |
| 2013 | 23.2 f | 3.4 a | 2.6 cd | 4.4 a | 30.1 a | 82.3 c–e | 5.4 de |
| 2014 | 19.2 a | 6.3 c | 3.6 e | 7.4 cd | 23.0 a | 86.8 de | 6.2 e |
| 2015 | 28.7 i | 6.4 c | 4.3 f | 7.8 de | 26.1 a | 59.6 a | 4.7 cd |
| 2016 | 27.9 h | 7.9 b | 4.4 f | 9.2 fg | 22.4 a | 68.0 b | 3.1 b |
| Feature | Color Components and Indices | ||||||
|---|---|---|---|---|---|---|---|
| L* | a* | b* | C* | h° | COL | CIRG | |
| YIELD | 0.51 *** | −0.09 | 0.44 ** | 0.06 | 0.33 * | −0.49 *** | 0.25 |
| TCSA | 0.59 *** | −0.27 * | 0.63 *** | −0.08 | 0.61 *** | −0.56 *** | 0.41 ** |
| ITCSA | 0.36 ** | −0.59 *** | −0.04 | −0.56 *** | 0.35 ** | −0.23 | 0.47 *** |
| TMW | 0.22 | −0.60 *** | 0.25 | −0.50 *** | 0.52 *** | −0.20 | 0.62 *** |
| PREC | −0.10 | −0.05 | −0.42 ** | −0.16 | −0.33 * | 0.28 * | 0.08 |
| TSOIL | 0.02 | 0.51 *** | 0.17 | 0.52 *** | −0.20 | −0.11 | −0.50 *** |
| ETW | 0.08 | −0.57 *** | 0.54 *** | −0.43 ** | 0.68 *** | −0.04 | 0.73 *** |
| WB | −0.03 | 0.27 | −0.61 *** | 0.13 | −0.70 *** | 0.14 | −0.13 |
| PAR | −0.76 *** | −0.01 | −0.70 *** | −0.20 | −0.52 *** | 0.67 *** | −0.08 |
| Characteristic | Influence | |
|---|---|---|
| Planting Area | Mulching | |
| Growth (TCSA) | ![]() | ![]() |
| Total Yield | ![]() | ![]() |
| Productivity Coefficient | ![]() | ![]() |
| Mass of fruit | ![]() | ![]() |
| Firmness | ![]() | ![]() |
| Soluble solid content | ![]() | ![]() |
| Titratable Acidity | ![]() | ![]() |
| Color | ||
| L* | ![]() | ![]() |
| a* | ![]() | ![]() |
| b* | ![]() | ![]() |
| C* | ![]() | ![]() |
| h° | ![]() | ![]() |
| COL | ![]() | ![]() |
| CIRG | ![]() | ![]() |
| Mineral content in soil | ||
| Leyer of soil 0–20 cm | ||
| P | ![]() | ![]() |
| K | ![]() | ![]() |
| Mg | ![]() | ![]() |
| K/Mg | ![]() | ![]() |
| pH | ![]() | ![]() |
| Leyer of soil 21–40 cm | ||
| P | ![]() | ![]() |
| K | ![]() | ![]() |
| Mg | ![]() | ![]() |
| K/Mg | ![]() | ![]() |
| pH | ![]() | ![]() |
statistically significant positive or
—statistically significant negative impact of the site where fruit trees did not grow before (OR2) or mulching with a mushroom substrate α = 0.05 (Duncan’s test).
negative impact but not or statistically significant
—positive impact of the site where fruit trees did not grow before (OR2) or mulching with a mushroom substrate statistically insignificant α = 0.05 (Duncan’s test),
—no differences.Disclaimer/Publisher’s Note: The statements, opinions and data contained in all publications are solely those of the individual author(s) and contributor(s) and not of MDPI and/or the editor(s). MDPI and/or the editor(s) disclaim responsibility for any injury to people or property resulting from any ideas, methods, instructions or products referred to in the content. |
© 2023 by the authors. Licensee MDPI, Basel, Switzerland. This article is an open access article distributed under the terms and conditions of the Creative Commons Attribution (CC BY) license (https://creativecommons.org/licenses/by/4.0/).
Share and Cite
Rutkowski, K.; Łysiak, G.P. Influence of Mulching on Replantation Disease in Sour Cherry Orchard. Agriculture 2023, 13, 1587. https://doi.org/10.3390/agriculture13081587
Rutkowski K, Łysiak GP. Influence of Mulching on Replantation Disease in Sour Cherry Orchard. Agriculture. 2023; 13(8):1587. https://doi.org/10.3390/agriculture13081587
Chicago/Turabian StyleRutkowski, Krzysztof, and Grzegorz P. Łysiak. 2023. "Influence of Mulching on Replantation Disease in Sour Cherry Orchard" Agriculture 13, no. 8: 1587. https://doi.org/10.3390/agriculture13081587
APA StyleRutkowski, K., & Łysiak, G. P. (2023). Influence of Mulching on Replantation Disease in Sour Cherry Orchard. Agriculture, 13(8), 1587. https://doi.org/10.3390/agriculture13081587

