You are currently viewing a new version of our website. To view the old version click .
Agriculture
  • Article
  • Open Access

13 April 2023

Effects of a Preparation Containing Amino Acids on Pakchoi Nutrient Absorption, Yield, and Quality When Grown in Saline-Alkali Soil

,
,
,
and
1
State Key Laboratory of Efficient Utilization of Arid and Semi-Arid Arable Land in Northern China (The Institute of Agricultural Resources and Regional Planning), Chinese Academy of Agricultural Sciences, Beijing 100081, China
2
Key Laboratory of Plant Nutrition and Fertilizer, Ministry of Agriculture and Rural Affairs, Beijing 100081, China
*
Author to whom correspondence should be addressed.
This article belongs to the Section Crop Production

Abstract

Saline-alkali stress adversely affects crop growth and nutrient absorption, thereby reducing crop yield and quality. Exogenous amino acids have multiple synergistic effects; however, whether a preparation containing amino acids increases the resistance of pakchoi to saline-alkali soil remains unclear. This study investigated the effects of a patented “preparation” containing amino acids on crop growth, nutrient absorption, and tolerance to saline-alkali stress in pakchoi (Brassica chinensis L.), using a pot culture experiment with three successive plantings. The preparation was made using tail liquor generated during the production of monosodium glutamate. Topdressing with the preparation had little effect on pakchoi growth, yield, quality, or nutrient accumulation, compared with no topdressing treatment. However, the addition of the preparation to water-soluble fertiliser increased crop yield by 11.9–17.6%, with a 15.4% cumulative increase over the three crops. The concentrations of vitamin C, soluble sugar, and soluble protein increased by 10.2–12.4%, 11.9–22.3%, and 3.0–14.3%, respectively. The fertiliser utilisation ratio for the three crops increased by 30.5%, while the nitrate content decreased by 8.5–20.4%. The fresh weight significantly decreased when the dosage of water-soluble fertiliser was reduced to 20%. However, the addition of the preparation to the reduced-dosage water-soluble fertiliser compensated for this reduction, especially in the third crop. Our results show that the preparation improves pakchoi resistance to saline-alkali stress and restores agricultural productivity.

1. Introduction

The maintenance of crop productivity requires suitable soil conditions. Approximately one-fifth of all global cultivated soil is saline-alkali soil [1,2]. Saline-alkali stress hinders crop growth and development and affects the absorption and utilisation of nutrients by crops, consequently reducing the fertiliser utilisation rate, crop yield, and crop quality [3]. Therefore, improving the tolerance of crops to saline-alkali stress remains essential [4]. Application of exogenous substances can be used to enhance the adaptability of common varieties to saline-alkali soil conditions [5,6].
Exogenous amino acids are bioactive substances that can improve the growth, quality, yield, nutrient uptake, and fertiliser utilisation efficiency of crops [7,8,9]. Exogenous amino acids can also improve crop salt tolerance through the antioxidant enzyme system and osmotic regulation and alleviate the inhibitory effects of saline-alkali stress on crop growth and development [10,11]. Amino acids are either used alone as biostimulants, or, more frequently, in combination with water-soluble fertilisers as synergistic substances [12,13]. However, the cost of pure amino acids is relatively high, and their popularity and application in agricultural production remain limited. Therefore, mixed amino acids, usually obtained from plant or animal protein hydrolysates, are used in practical production [13,14,15].
The tail solution of monosodium glutamate (MSG) production is an amino acid-containing raw material. The waste liquid has a high salinity, which can aggravate soil salinity. Therefore, we modified the waste liquid by desalting it and performing low-temperature granulation to obtain a patented preparation (Chinese invention patent number ZL2014 1 0026086.5). This preparation provides a novel resource utilisation technique for MSG tail liquor, in which the various amino acids in the tail liquor are fully utilised and the discharge of MSG tail liquor is decreased, reducing the risk of environmental pollution. Therefore, whether the patented preparation derived from MSG tail liquor achieves the same agronomic effects of alleviating saline-alkali stress as exogenous amino acids derived from plant or animal protein hydrolysates must be determined.
In our previous studies, using hydroponic experiments with pakchoi as the test crop, we confirmed that pakchoi treated with the preparation showed higher resistance to simulated salt stress and alkaline stress, with the treatment promoting seed germination and seedling growth, respectively [16,17]. However, actual saline-alkali stress is more harmful to crops than individually simulated salt and alkali stresses; further, whether the preparation increases the resistance of pakchoi to saline-alkali soil remains unclear.
Pakchoi is not a typical continuous crop; continuous planting of pakchoi in saline-alkali soil significantly decreases the yield of later crops. This is probably owing to continuous cropping disorders, which worsen the saline-alkali soil environment. The research on amino acid application has primarily focused on the influence of application on a single crop; however, continuous cropping is a common planting system in the production of vegetable crops. As vegetables are often planted in multiple crops per year, the amount of fertiliser applied to an area per year is much higher than that applied to grain crops [18]. Adding amino acids to chemical fertilisers can reduce fertiliser application and increase efficiency, while maintaining the yield and quality of each crop remains to be determined.
In this study, we planted three successive crops of pakchoi in saline-alkali soil and investigated the effects of the preparation on the growth, yield, quality, shoot nutrient accumulation, and fertiliser utilisation rate of each crop to: (1) identify the synergy between the preparation and water-soluble fertiliser; (2) determine whether the preparation could achieve a yield-increasing effect equivalent to 20% fertiliser use; and (3) identify the effects of the preparation on saline-alkali resistance of pakchoi in subsequent crops. Our results can provide a foundation for, and novel insights into, the resource utilisation of MSG tail liquor as a treatment for saline-alkali soils.

2. Materials and Methods

2.1. Test Materials

The pot culture experiment was conducted in a greenhouse with an intelligent control system, located in Xinjiang Changji Agricultural Science and Technology Area, Changji, Xinjiang Uygur Autonomous Region, China (44°01′ N, 87°31′ E). The test pots were cylindrical, with an inner diameter of 16 cm and a height of 17 cm. The potting soil was taken from the topsoil of the surrounding farmland, which had remained abandoned for 3 years. The soil texture was sandy loam. The pH value, salt content, and organic content of the soil samples were 8.34, 3.2 g kg−1, and 14.32 g kg−1, respectively; the total nitrogen content was 0.68 g kg−1; and the alkali-hydrolysable nitrogen, Olsen available phosphorus, and NH4OAC available potassium content were 14.90, 13.11, and 139.95 mg kg−1, respectively. Brassica rapa L. (trade name ‘Shanghai Qing’) was used as the test crop, as it is widely grown in China.
The patented preparation contained 47.6% crude protein (w w−1) and 15.4% free amino acids (w w−1), including 11.6% glutamic acid, 1.6% alanine, 0.5% aspartate, 0.5% proline, 0.2% glycine, 0.2% leucine, 0.2% tryptophan, and 0.8% other amino acids. The Na+ content in the preparation was 1.2% at pH 3.9 (solid:water ratio, 1:250).

2.2. Experimental Design

Each pot contained 3.5 kg of dry soil. Approximately 3.5 g of compound fertiliser (base fertiliser, XinJiang Huier Agriculture Group Co., Ltd., Changji City, China) with a N:P2O5:K2O ratio of 15:15:10 was applied to soil of each pot before sowing the first crop. Ten seeds were sown, and four seedlings were fixed 15 days later. The initial topdressing was applied on day 10 post-seeding, while the second was applied on day 20. The planting time of each crop was 45 days, and the interval between each crop was 4 days. The daily management of each treatment was consistent during the experiment, except for the topdressing.
Six topdressing treatments were prepared. The no fertilisation treatment (CK) was used to assess the effect of fertilisation. Treatment with only the preparation (T) was used to test the effect of the preparation itself. The conventional water-soluble fertiliser treatment (F) had an N input of 0.070 g kg−1. The N:P2O5:K2O ratio in the water-soluble fertiliser was 20:10:5. A separate fertiliser treatment (80% F) at 80% of the dosage applied in the F treatment was also prepared. In the FT treatment, the preparation was added to the water-soluble fertiliser at the dosage used in the F treatment. Finally, in the 80% FT treatment, the preparation was added to the water-soluble fertiliser at the 80% dosage. The preparation dosage was identical in all three preparation-containing treatments (10% of the weight of the water-soluble fertiliser used in treatment F). All treatments were arranged in a randomised complete block design with four replicates. The fertiliser used in each treatment was applied twice (Table 1).
Table 1. Nutrient inputs of topdressing treatments.

2.3. Sampling and Analytical Methods

The SPAD values (soil-plant analysis development, SPAD; Minolta SPAD-502, Tokyo, Japan) and leaf area values of the third, fourth, and fifth functional leaves were measured 1 day before harvest and averaged. The dichotomy method was used to measure the fresh and dry weight of each sample at harvest. After weighing, half of the sample was stored in a refrigerator to determine the quality index. The nitrate content was determined using UV spectrophotometry [19], the vitamin C (Vc) content was determined via 2, 6-dichloroindophenol titration [20], the soluble sugar content was determined using anthrone colorimetry [19], and the soluble protein content was determined using Coomassia blue staining [20]. The other half of the sample was heat-treated to a constant weight at 70 °C (after an initial period of 15 min at 105 °C). The sample was then crushed into a powder and packed into bags to measure the dry weight and nutrient content in the shoot. The sample was digested with H2SO4-H2O2. Then, the nitrogen content was determined using the Kjeldahl method [21], the phosphorus content was determined using the vanadate-molybdate yellow colorimetric method, and the potassium content was determined using a flame photometer [21]. The utilisation rate of topdressing fertilisers was calculated as the apparent recovery rate of fertiliser nutrients [21].

2.4. Statistical Analysis

Data were analysed using DPS v. 9.0 (Data Processing System Software, Hangzhou, Zhejiang Province, China) and Microsoft Excel 2016 (Microsoft, Redmond, WA, USA). Data are expressed as the mean (n = 4) ± standard error (SE). The Shapiro-Wilk test was used to assess variable normality among treatments. Means were compared using one-way analysis of variance, followed by Fisher’s least significant difference test. The significance level was set at p < 0.05.

3. Results

3.1. Fresh Yield

The fresh yield of pakchoi showed a decreasing trend with the increasing number of crops grown in the saline-alkali soil (Figure 1). The fresh yield was significantly (p < 0.05) increased by mixing water-soluble fertiliser with the preparation; the fresh yield increased by 17.6, 11.9, and 14.4% in the first, second, and third crops, respectively, under the FT treatment, compared with the F treatment, and by 15.4% in total across the three crops. The fresh weight significantly (p < 0.05) decreased when the dosage of water-soluble fertiliser was reduced by 20% (80% F) compared with the F treatment. The fresh yield increased by 23.1, 14.3, and 14.4%, respectively, under the 80% FT vs. the 80% F treatment. Compared with F, the addition of synergist (80% FT) increased the yield of three crops by −21.7%, −6.3% and 1.8%, respectively; although this decrease was significant in the first crop, the differences observed in the last two crops were not significant. In summary, the addition of the preparation to fertiliser increased the fresh yield and could even replace 20% of the dosage of water-soluble fertiliser used in the latter crops.
Figure 1. Effect of the preparation on pakchoi fresh weight. Values were expressed as means (n = 4) ± SE. Different letters within the same crop indicate significance at the 5% level.

3.2. Photosynthetic Performance

The preparation containing amino acids promoted the growth of pakchoi grown in saline-alkali soil (Table 2). The highest measured values of leaf area and SPAD, were observed in the FT treatment. The leaf area increased by 17.80, 8.95, and 38.1% in the first, second, and third crops, respectively, when treated with T vs. CK. Meanwhile, the SPAD values increased by 6.9, 13.7, and 10.7% in the first, second, and third crops, respectively. The addition of the water-soluble fertiliser promoted growth. The leaf area of the first, second, and third crops increased by 20.39, 3.14, and 1.4%, respectively, in the FT vs. F treatments; the SPAD values increased by 3.88, 3.14, and 5.8%, respectively. A 20% reduction in fertiliser dosage affected the growth of pakchoi, and the leaf area and SPAD value of the three crops showed a downward trend. The leaf area of the first, second, and third crops increased by 33.8, 3.0, and 9.2%, respectively, under the 80% FT vs. F treatment. Meanwhile, the SPAD values of the first, second, and third crops increased by 6.8, 6.7, and 0.6%, respectively, under the 80% FT vs. F treatment. In short, the preparation enhanced pakchoi photosynthesis and extended the leaf size.
Table 2. Effect of the preparation on pakchoi leaf area and SPAD value.

3.3. Shoot Quality

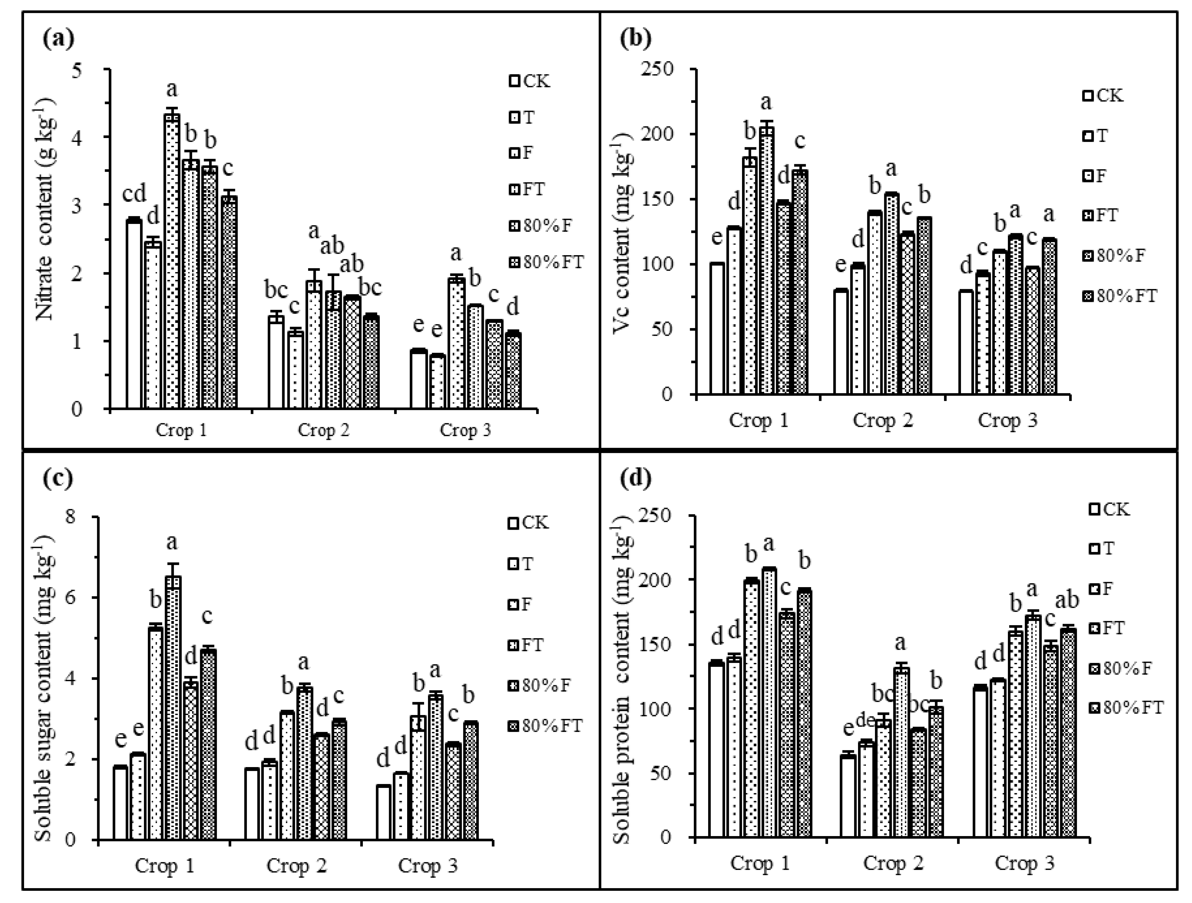
The application of the preparation reduced the nitrate content of the pakchoi (Figure 2a). The nitrate content of the CK, F, and 80% F treatments was lower than that of the T, FT, and 80% FT treatments, respectively. Topdressing with water-soluble fertiliser reduced the nitrate content in pakchoi. Notably, the nitrate content of the 80% FT treatment decreased significantly (p < 0.05) by 12.4, 28.2, and 41.9% in the first, second, and third crops, respectively, compared with that of the F treatment. This indicates that the preparation, applied alone or in combination with water-soluble fertiliser, reduced the nitrate content in pakchoi.
Figure 2. Effect of the preparation on pakchoi quality of nitrate content (a), Vc content (b), soluble content (c), and soluble protein content (d). Values were expressed as means (n = 4) ± SE. Different letters within the same crop indicate significance at the 5% level.
The preparation significantly increased the shoot Vc content in pakchoi (Figure 2b). Compared with that of CK, the shoot Vc content of the successive crops in the T treatment increased by 27.3, 23.3, and 17.7%, respectively; compared with that of F treatment, the shoot Vc content of the FT treatment crops increased by 12.4, 10.3, and 10.2%, respectively. The Vc content increased by 16.9, 10.2, and 22.1%, respectively, in the 80% FT treatment compared with that of the 80% F treatment, reaching the 5% significance level. After fertiliser reduction, the shoot Vc content decreased. The shoot Vc content of each crop in the 80% FT treatment increased by −5.4, −2.6, and 7.7%, respectively, compared with that of F treatment. The difference in the first two crops was not significant, but the difference in the third crop reached a significant level.
The application of the water-soluble fertiliser significantly (p < 0.05) improved the pakchoi quality in terms of soluble sugar and soluble protein (Figure 2c,d). Moreover, the higher the amount of water-soluble fertiliser used, the stronger the effect. The quality of the first crop was relatively better than that of the last two. Compared with CK, application of the preparation alone did not significantly (p > 0.05) improve the soluble sugar or soluble protein content of pakchoi. However, the soluble sugar and soluble protein content of pakchoi significantly (p < 0.05) increased after adding the preparation to water-soluble fertiliser, independent of the crop number. The addition of the preparation to water-soluble fertiliser increased the soluble sugar and soluble protein content of the shoots by 11.9–22.3% and 3.0–14.3%, respectively.
In conclusion, adding the preparation to water-soluble fertiliser could improve the shoot quality and reduce the nitrate content of pakchoi, along with quality improvements in shoot Vc, soluble sugar, and soluble protein. The effect of the preparation applied alone was not as strong as that of the preparation in combination with water-soluble fertiliser.

3.4. Nutrient Accumulation in the Shoot

The nitrogen accumulation in the shoot increased by 15.3, 41.7, and 27.4% in each crop, successively, compared with that of CK (Figure 3). The cumulative increase in the three crops was 26.6%, which was significant (p < 0.05). This indicates that the application of the preparation alone promoted nitrogen accumulation. However, the preparation alone had an insignificant (p > 0.05) effect on the cumulative accumulation of phosphorus and potassium in the three crops (Figure 4 and Figure 5). The nitrogen accumulation increased by 17.6, 11.1, and 3.2% in the shoots of the three pakchoi crops under the FT treatment compared with the F treatment, and the cumulative increase for all three crops was 13.2%; however, only the first crop reached a significance level of 5%. Phosphorous and potassium accumulation showed similar trends between the F and FT treatments. Compared with that in the 80% F treatment, the rate of increase of the 80% FT treatment of the first crop was higher than that of the last two crops (nitrogen, phosphorus, and potassium accumulation).
Figure 3. Effect of the preparation on nitrogen accumulation in the shoots. Values were expressed as means (n = 4) ± SE. Different letters within the same crop indicate significance at the 5% level.
Figure 4. Effect of the preparation on phosphorous accumulation in the shoots. Values were expressed as means (n = 4) ± SE. Different letters within the same crop indicate significance at the 5% level.
Figure 5. Effect of the preparation on potassium accumulation in the shoots. Values were expressed as means (n = 4) ± SE. Different letters within the same crop indicate significance at the 5% level.
The preparation exhibited better nutrient accumulation in the latter crops and replaced 20% of the water-soluble fertiliser contribution, especially in the third crop. Nitrogen accumulation in the shoots from the first, second, and third crops increased by −10.02, −2.00, and 2.19%, respectively, when treated with 80% FT vs. F treatment. Phosphorous accumulation increased by −11.4, −5.1, and 0.1% in the shoots of the first, second, and third crops, respectively, treated with 80% FT vs. F treatment (Figure 4). Potassium accumulation increased by −2.0, 0.5, and 5.2%, respectively, in the shoots of the first, second, and third crops treated with 80% FT vs. F treatment (Figure 5). Therefore, the addition of the preparation to the reduced water-soluble fertiliser compensated for the effect gap of 20% of the water-soluble fertiliser, especially in the third crop.

3.5. Fertiliser Use Efficiency

The fertiliser use efficiency showed a decreasing trend with increasing crop number (Figure 6) and that of the first crop was significantly (p < 0.05) higher than that of the last two crops. The fertiliser use efficiency increased by 43.0, 20.9, and 10.2% for the first, second, and third crops, respectively, in the FT vs. F treatment. That of all three FT crops increased by 30.5% compared with the 80% F treatment. The fertiliser use efficiency of the first, second, and third crops increased by 76.3, 23.0, and 27.4%, respectively, when treated with 80% FT vs. F treatment, and the total fertiliser use efficiency of the three crops increased by 42.2%. It increased by −11.8, 15.4, and 31.5%, respectively, when treated with 80% FT vs. F treatment, and the total of all three crops increased by 4.0%. In short, the fertiliser use efficiency increased after adding the preparation, regardless of the fertilisation dosage.
Figure 6. Effects of the preparation on fertiliser use efficiency. Values were expressed as means (n = 4) ± SE. Different letters within the same crop indicate significance at the 5% level.

4. Discussion

4.1. The Preparation Alleviated the Inhibiting Effect of Saline-Alkali Stress on Pakchoi Nutrient Uptake

We have also previously shown that the addition of the preparation containing amino acids to water-soluble fertilisers promotes superoxide dismutase, peroxidase, and catalase activities, maintains the proline content, and reduces the O2 production rate and malondialdehyde content in pakchoi under simulated saline and alkali stress [16,17]. Application of this preparation alone is not effective because the saline-alkali resistance of the crop is activated, but not enough soil nutrients are available to meet the growth needs of crop in saline-alkali soil. The amino acids in the preparation activated the antioxidant and osmotic regulation systems associated with saline-alkali stress resistance. Amino acids constitute a large group of crop biostimulants [13,14] and are highly likely to be directly absorbed by pakchoi, providing organic nutrients, stimulating growth, regulating metabolism, and promoting the absorption of nitrogen, phosphorus, and potassium, thereby improving yield [7,8,12]. Amino acids are a highly efficient organic nitrogen source for crops [22,23,24]. Saline-alkali stress suppresses root extension and affects the absorption of nutrient elements from the soil by the roots [4,25]. The application of exogenous amino acids stimulates root growth, thereby expanding the area for soil nutrient absorption. Exogenous treatment with amino acids induces immune responses in crops through amino acid metabolism and signalling related to stress resistance [26]. For example, exogenous glutamic acid, as a signalling molecule, can effectively regulate root growth and development by regulating root architecture characteristics to produce “short main roots and more lateral roots” [27]. Amino acids serve as oxidants to remove free radicals from crops and induce the expression of crop response genes under saline and alkali stress [28]. However, several questions regarding exogenous and endogenous amino acid metabolism in crop-soil interactions remain unaddressed [26]; therefore, further investigations are warranted to elucidate the mechanism of individual amino acids and determine their synergistic effects. Moreover, although the preparation showed positive effects similar to those of exogenous amino acids and plant protein hydrolysates, the preparation may contain not only free amino acids, polypeptides, and other bioactive substances, but also other components such as microelements.

4.2. The Preparation Achieved a Yield-Increasing Effect Equivalent to 20% Fertiliser Use in the Latter Crops

The fresh weight of the pakchoi grown in the saline-alkali soil in crops two and three was much lower than that in crop one. This could be partly due to continuous cropping obstacles, including the imbalance of trace elements in the soil, a decrease of beneficial microorganisms, and the deterioration of physical and chemical properties leading to stunted root development and poor nutrient absorption [29,30]. Nonetheless, addition of the preparation to the reduced-dosage water-soluble fertiliser compensated for the yield gap of 20% of the water-soluble fertiliser, especially in the third crop. This indicates that the preparation alleviated, to a certain extent, the continuous cropping effect, and this could be associated with the stimulation of the crop immune response by amino acids [26]. The ability of the preparation to alleviate continuous cropping obstacles requires further investigation in more typical continuous crop types, such as peppers and cucumbers. In the future, soil quality parameters should be studied to justify this judgment.

4.3. The Preparation Reduced the Nitrate Content in the Shoots

Nitrate content is one of the most important indices for determining vegetable quality [20]. The use of chemical fertilisers affects the metabolism of organic compounds in vegetables, which can easily cause the accumulation of nitrate, leading to the deterioration of vegetable quality in the saline-alkali soil. The pakchoi nitrate content was positively correlated with the amount of chemical fertiliser applied, and the amount of chemical fertiliser applied was positively correlated with yield. Therefore, the nitrate content cannot be reduced by solely decreasing the fertiliser. In this study, fertiliser reduction decreased the pakchoi nitrate content and the fresh yield; however, addition of the preparation to the water-soluble fertiliser improved the yield but significantly reduced the nitrate content in the pakchoi. The preparation is an ideal product to overcome the problem of excessive nitrate content in pakchoi. After being absorbed by the roots, amino acids can be rapidly converted into other nitrogen-containing substances, thereby increasing the nitrogen content in crops [31,32]. Single amino acids and complex amino acid-substituted chemical nitrogen may significantly reduce the nitrate content in plants by inhibiting the absorption and utilisation of nitrate by crops [33,34,35]. Evidence suggests that several exogenous amino acids do not directly regulate nitrate transport [22]), and the mechanism underlying the reduction of nitrate content by exogenous amino acids needs further study.

5. Conclusions

Our patented amino acid preparation enhanced the tolerance of pakchoi to saline-alkali stress. The preparation applied alone was not as effective as the preparation applied in combination with water-soluble fertiliser. Adding the preparation to water-soluble fertiliser promoted root nutrient absorption and shoot growth, resulting in larger leaf sizes, enhanced photosynthetic efficiency, higher yields, and improved nutritional value. The content of nitrogen, phosphorus, and potassium in the shoot increased, exhibiting a synergistic effect with the nutrients in the water-soluble fertiliser. The application of the preparation reduced the nitrate content of the pakchoi, along with quality improvements in the shoot Vc, soluble sugar, and soluble protein content. The yield of the second and third crops was worse than that of the first crop when planted on saline-alkali soil. Notably, the preparation exerted its maximum effect on the third crop, replacing 20% of the water-soluble fertiliser contribution. Future studies are warranted to test more field crops and determine the resistance mechanism of the preparation for wider application in saline-alkali soils.

Author Contributions

M.X.: conceptualisation, formal analysis, data curation, writing—original draft preparation, visualisation; L.Y.: validation, writing—review and editing; S.Z.: software, data curation; Y.L.: methodology, supervision, project administration; B.Z.: funding acquisition, supervision. All authors have read and agreed to the published version of the manuscript.

Funding

This work was funded by the National Natural Science Foundation of China (NSFC, Grant No. 32202611) and the China Agriculture Research System (Grant No. CARS-03).

Institutional Review Board Statement

Not applicable.

Data Availability Statement

Not applicable.

Acknowledgments

We are grateful for the test site support from XinJiang Huier Agriculture Group Co., Ltd.

Conflicts of Interest

The authors declare no conflict of interest.

References

  1. Liu, L.; Bai, X.; Jiang, Z. The generic technology identification of saline-alkali land management and improvement based on social network analysis. Clust. Comput. 2018, 22, 13167–13176. [Google Scholar] [CrossRef]
  2. Mukhopadhyay, R.; Sarkar, B.; Jat, H.S.; Sharma, P.C.; Bolan, N.S. Soil salinity under climate change: Challenges for sustainable agriculture and food security. J. Environ. Manag. 2021, 280, 111736. [Google Scholar] [CrossRef] [PubMed]
  3. Bernstein, L. Effects of salinity and sodicity on plant growth. Annu. Rev. Phytopathol. 1975, 13, 295–312. [Google Scholar] [CrossRef]
  4. Ganapati, R.K.; Naveed, S.A.; Zafar, S.; Wang, W.; Xu, J. Saline-alkali tolerance in rice: Physiological response, molecular mechanism, QTL identification and application to breeding. Rice Sci. 2022, 29, 412–434. [Google Scholar] [CrossRef]
  5. Feng, D.; Gao, Q.; Liu, J.; Tang, J.; Hua, Z.; Sun, X. Categories of exogenous substances and their effect on alleviation of plant salt stress. Eur. J. Agron. 2023, 142, 126656. [Google Scholar] [CrossRef]
  6. Miao, Y.; Yang, F.; Wang, Z.; Shao, X.; Geng, Y. Progress of research on the improvement of saline-sodic soil by acidic substances. Chin. J. Eco-Agric. 2022, 31, 373–384. [Google Scholar]
  7. Colla, G.; Nardi, S.; Cardarelli, M.; Ertani, A.; Lucini, L.; Canaguier, R.; Rouphaef, Y. Protein hydrolysates as biostimulants in horticulture. Sci. Hortic. 2015, 196, 28–38. [Google Scholar] [CrossRef]
  8. Halpern, M.; Bar-Tal, A.; Ofek, M.; Minz, D.; Muller, T.; Yermiyahu, U. The use of biostimulants for enhancing nutrient uptake. Adv. Agron. 2015, 2015, 141–174. [Google Scholar]
  9. Xu, M.; Du, L.; Liu, M.; Zhou, J.; Pan, W.; Fu, H.; Zhang, X.; Ma, Q.; Wu, L. Glycine-chelated zinc rather than glycine-mixed zinc has lower foliar phytotoxicity than zinc sulfate and enhances zinc biofortification in waxy corn. Food Chem. 2022, 370, 131031. [Google Scholar] [CrossRef] [PubMed]
  10. Mostafa, G.G. Improving the growth of fennel plant grown under salinity stress using some biostimulants. Am. J. Plant Physiol. 1973, 10, 77–83. [Google Scholar] [CrossRef]
  11. Xuan, D.W.; Shang, J.G.; Mei, F.L.; Lu, S.J. Effects of gamma-aminobutyric acid on salt tolerance of wheat. J. South. Agric. 2017, 48, 1761–1768. [Google Scholar]
  12. Calvo, P.D.; Nelson, L.; Kloepper, J.W. Agricultural uses of plant biostimulants. Plant Soil 2014, 383, 3–41. [Google Scholar] [CrossRef]
  13. Ertani, A.; Schiavon, M.; Muscolo, A.; Nardi, S. Alfalfa plant-derived biostimulant stimulate short-term growth of salt stressed Zea mays L. plants. Plant Soil 2013, 364, 145–158. [Google Scholar] [CrossRef]
  14. Lucini, L.; Rouphael, Y.; Cardarelli, M.; Canaguier, R.; Kumar, P.; Colla, G. The effect of a plant-derived biostimulant on metabolic profiling and crop performance of lettuce grown under saline conditions. Sci. Hortic. 2015, 182, 124–133. [Google Scholar] [CrossRef]
  15. Zhou, W.; Zheng, W.; Wang, W.; Lv, H.; Liang, B.; Li, J. Exogenous pig blood-derived protein hydrolysates as a promising method for alleviation of salt stress in tomato (Solanum lycopersicum L.). Sci. Hortic. 2022, 294, 110779. [Google Scholar] [CrossRef]
  16. Xu, M.; Yuan, L.; Li, W.; Li, Y.; Li, J.; Zhao, B. Effects of a fertilizer synergist containing compound amino acids on seed germination and seedling growth of pakchoi under NaCl stress. J. Plant Nutr. Fertil. 2018, 24, 992–1000. [Google Scholar]
  17. Xu, M.; Yuan, L.; Li, W.; Li, Y.; Zhao, B. Effects of desalinated wastewater containing monosodium glutamate on germination and growth of pakchoi under Na2CO3. J. Plant Nutr. Fertil. 2019, 25, 1022–1031. [Google Scholar]
  18. Waqas, Q.; Longlong, X.; Shan, L.; Li, W.; Yiming, Z.; Klaus, B. Global greenhouse vegetable production systems are hotspots of soil N2O emissions and nitrogen leaching: A meta-analysis. Environ. Pollut. 2021, 272, 116372. [Google Scholar]
  19. Li He Sun, Q.; Zhao, S.; Zhang, W. The Experiment Principle and Technique on Plant Physiology and Biochemistry; Higher Education Press: Beijing, China, 2000; pp. 123–196. [Google Scholar]
  20. Zhao, S.J. Experimental Instruction in Plant Physiology; China Agricultural Science and Technology Press: Beijing, China, 2002. [Google Scholar]
  21. Bao, S. Method of Soil and Agricultural Chemistry Analysis; China Agricultural Press: Beijing, China, 2008; pp. 39–270. [Google Scholar]
  22. Ganeteg, U. Uptake of organic nitrogen by plants. New Phytol. 2009, 182, 31–48. [Google Scholar]
  23. Rasmussen, J.; Kuzyakov, Y. Carbon isotopes as proof for plant uptake of organic nitrogen: Relevance of inorganic carbon uptake. Soil Biol. Biochem. 2009, 41, 1586–1587. [Google Scholar] [CrossRef]
  24. Tegeder, M.; Rentsch, D. Uptake and partitioning of amino acids and peptides. Mol. Plant 2010, 3, 997–1011. [Google Scholar] [CrossRef]
  25. Rao, Y.; Peng, T.; Xue, S. Mechanisms of plant saline-alkaline tolerance. J. Plant Physiol. 2023, 281, 153916. [Google Scholar] [CrossRef]
  26. Moormann, J.; Heinemann, B.; Hildebrandt, T.M. News about amino acid metabolism in plant-microbe interactions. Trends Biochem. Sci. 2022, 47, 839–885. [Google Scholar] [CrossRef]
  27. Walchliu, P.; Liu, L.H.; Remans, T.; Tester, M.; Forde, B.G. Evidence that l-glutamate can act as an exogenous signal to modulate root growth and branching in Arabidopsis thaliana. Plant Cell Physiol. 2006, 47, 1045–1057. [Google Scholar] [CrossRef] [PubMed]
  28. Yan, L.S.; Soon, K.K. Exogenous proline mitigates the detrimental effects of saline and alkaline stresses in Leymus chinensis (Trin.). J. Plant Biotechnol. 2010, 37, 529–538. [Google Scholar]
  29. Chen, P.; Wang, Y.; Liu, Q.; Zhang, Y.; Li, X.; Li, H.; Li, W. Phase changes of continuous cropping obstacles in strawberry (Fragaria × ananassa Duch.) production. Appl. Soil Ecol. 2020, 155, 103026. [Google Scholar] [CrossRef]
  30. Tan, G.; Liu, Y.; Peng, S.; Yin, H.; Meng, D.; Tao, J.; Gu, Y.; Li, J.; Yang, S.; Xiao, N.; et al. Soil potentials to resist continuous cropping obstacle: Three field cases. Environ. Res. 2021, 200, 111319. [Google Scholar] [CrossRef]
  31. Chia, C.K.; Tsui, Y.C.; Hsin, Y.W.; Yan, A.J.; Ming, H.H. Exogenous glutamate rapidly induces the expression of genes involved in metabolism and defense responses in rice roots. BMC Genom. 2017, 18, 186–203. [Google Scholar]
  32. Chia, C.K.; Tsui, Y.C.; Yan, N.J.; Ming, H.H. Glutamine rapidly induces the expression of key transcription factor genes involved in nitrogen and stress responses in rice roots. BMC Genom. 2015, 16, 731. [Google Scholar]
  33. Gunes, A.; Post, W.; Kirkby, E.; Mehmet, A. Influence of partial replacement of nitrate by amino acid nitrogen or urea in the nutrient medium on nitrate accumulation in NFT grown winter lettuce. J. Plant Nutr. 1994, 17, 1929–1938. [Google Scholar] [CrossRef]
  34. Cao, X.; Li, X.; Zhu, L.; Zhang, J.; Yu, S.; Jin, Q.; Wu, L. Effects of different ratios of exogenous glycine, nitrate and ammonium on growth and quality of pakchoi (Brassica chinensis L.). J. Agro-Environ. Sci. 2015, 34, 1846–1852. [Google Scholar]
  35. Lei, Z.; Xue, M.Y.; De, C.G.; Wang, L.; Li, J.; Wei, Z.; Shi, Y. Effects of poly-γ-glutamic acid (γ-PGA) on plant growth and its distribution in a controlled plant-soil system. Sci. Rep. 2017, 7, 6090–6103. [Google Scholar]
Disclaimer/Publisher’s Note: The statements, opinions and data contained in all publications are solely those of the individual author(s) and contributor(s) and not of MDPI and/or the editor(s). MDPI and/or the editor(s) disclaim responsibility for any injury to people or property resulting from any ideas, methods, instructions or products referred to in the content.

Article Metrics

Citations

Article Access Statistics

Multiple requests from the same IP address are counted as one view.