The Development of an LSTM Model to Predict Time Series Missing Data of Air Temperature inside Fattening Pig Houses
Abstract
1. Introduction
2. Materials and Methods
2.1. Experimental Facility (Fattening Pig House)
2.2. Recurrent Neural Network
2.3. Experimental Procedure
2.3.1. Monitoring the Environmental Factors inside the Fattening Pig House
2.3.2. Design of RNN Models for Expecting Missing Data
2.3.3. Validation of Accuracy of Developed Models
2.3.4. Comparative Evaluation of the RNN Model according to the Order of Learning Data and the Length of the Missing Data
3. Results and Discussions
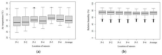
3.1. Analysis of the Internal Environment of the Experimental Pig House
3.2. Validation of the Accuracy of the Developed Models
3.3. A Comparative Evaluation of the RNN Models according to the Order of Learning Data
3.4. A Comparative Evaluation of the RNN Models according to the Length of the Missing Data
4. Conclusions
Author Contributions
Funding
Institutional Review Board Statement
Data Availability Statement
Conflicts of Interest
References
- Ministry of Agriculture Food and Rural Affairs. 2021. Available online: www.mafra.go.kr (accessed on 12 December 2022).
- Korea Labor Institute. Effects of Smart Farm Activation Policy on Employment; KLI: Sejong, Republic of Korea, 2019; p. 55. [Google Scholar]
- Seo, I.-H. Development of Wearable Device for Monitoring Working Environment in Pig House. J. Korean Soc. Agric. Eng. 2020, 62, 71–81. [Google Scholar]
- Jinubala, V.; Lawrance, R. Analysis of Missing Data and Imputation on Agriculture Data With Predictive Mean Matching Method. Int. J. Sci. Appl. Inf. Technol. 2016, 5, 1–4. [Google Scholar]
- Lokupitiya, R.S.; Lokupitiya, E.; Paustian, K. Comparison of missing value imputation methods for crop yield data. Env. Off. J. Int. Env. Soc. 2006, 17, 339–349. [Google Scholar] [CrossRef]
- Zakaria, W.; Salleh, M.Z. Determination of the best single imputation algorithm for missing rainfall data treatment. J. Qual. Meas. Anal. 2016, 12, 79–87. [Google Scholar]
- Staub, B.; Hasler, A.; Noetzli, J.; Delaloye, R. Gap-filling algorithm for ground surface temperature data measured in permafrost and periglacial environments. Permafr. Periglac. Process. 2017, 28, 275–285. [Google Scholar] [CrossRef]
- Rubin, L.H.; Witkiewitz, K.; Andre, J.S.; Reilly, S. Methods for handling missing data in the behavioral neurosciences: Don’t throw the baby rat out with the bath water. J. Undergrad. Neurosci. Educ. 2007, 5, A71. [Google Scholar]
- Ferrari, G.T.; Ozaki, V. Missing data imputation of climate datasets: Implications to modeling extreme drought events. Rev. Bras. Meteorol. 2014, 29, 21–28. [Google Scholar] [CrossRef]
- Afrifa-Yamoah, E.; Mueller, U.A.; Taylor, S.; Fisher, A. Missing data imputation of high-resolution temporal climate time series data. Meteorol. Appl. 2020, 27, e1873. [Google Scholar] [CrossRef]
- Xie, Q.; Ni, J.-Q.; Li, E.; Bao, J.; Zheng, P. Sequential air pollution emission estimation using a hybrid deep learning model and health-related ventilation control in a pig building. J. Clean. Prod. 2022, 371, 133714. [Google Scholar] [CrossRef]
- Wang, Y.; Zheng, W.; Li, B. A modified discrete grey model with improved prediction performance for indoor air temperatures in laying hen houses. Biosyst. Eng. 2022, 223, 138–148. [Google Scholar] [CrossRef]
- Boomgard-Zagrodnik, J.P.; Brown, D.J. Machine learning imputation of missing Mesonet temperature observations. Comput. Electron. Agric. 2022, 192, 106580. [Google Scholar] [CrossRef]
- Hamzah, F.B.; Mohd Hamzah, F.; Mohd Razali, S.F.; Jaafar, O.; Abdul Jamil, N. Imputation methods for recovering streamflow observation: A methodological review. Cogent Environ. Sci. 2020, 6, 1745133. [Google Scholar] [CrossRef]
- Moon, T.; Lee, J.W.; Son, J.E. Accurate Imputation of Greenhouse Environment Data for Data Integrity Utilizing Two-Dimensional Convolutional Neural Networks. Sensors 2021, 21, 2187. [Google Scholar] [CrossRef]
- Song, W.; Gao, C.; Zhao, Y.; Zhao, Y. A time series data filling method based on LSTM—Taking the stem moisture as an example. Sensors 2020, 20, 5045. [Google Scholar] [CrossRef] [PubMed]
- Demmers, T.G.; Cao, Y.; Gauss, S.; Lowe, J.C.; Parsons, D.J.; Wathes, C.M. Neural predictive control of broiler chicken and pig growth. Biosyst. Eng. 2018, 173, 134–142. [Google Scholar] [CrossRef]
- Lee, S.-Y.; Lee, I.-B.; Yeo, U.-H.; Kim, J.-G.; Kim, R.-W. Machine Learning Approach to Predict Air Temperature and Relative Humidity inside Mechanically and Naturally Ventilated Duck Houses: Application of Recurrent Neural Network. Agriculture 2022, 12, 318. [Google Scholar] [CrossRef]
- Li, H.; Cryer, S.; Acharya, L.; Raymond, J. Video and image classification using atomisation spray image patterns and deep learning. Biosyst. Eng. 2020, 200, 13–22. [Google Scholar] [CrossRef]
- Liu, D.; Oczak, M.; Maschat, K.; Baumgartner, J.; Pletzer, B.; He, D.; Norton, T. A computer vision-based method for spatial-temporal action recognition of tail-biting behaviour in group-housed pigs. Biosyst. Eng. 2020, 195, 27–41. [Google Scholar] [CrossRef]
- Moon, T.; Choi, H.Y.; Jung, D.H.; Chang, S.H.; Son, J.E. Prediction of CO2 Concentration via Long Short-Term Memory Using Environmental Factors in Greenhouses. Hortic. Sci. Technol. 2020, 38, 201–209. [Google Scholar]
- Wang, L.; Zhang, T.; Wang, X.; Jin, X.; Xu, J.; Yu, J.; Zhang, H.; Zhao, Z. An approach of improved Multivariate Timing-Random Deep Belief Net modelling for algal bloom prediction. Biosyst. Eng. 2019, 177, 130–138. [Google Scholar] [CrossRef]
- Wu, D.; Wu, Q.; Yin, X.; Jiang, B.; Wang, H.; He, D.; Song, H. Lameness detection of dairy cows based on the YOLOv3 deep learning algorithm and a relative step size characteristic vector. Biosyst. Eng. 2020, 189, 150–163. [Google Scholar] [CrossRef]
- Sherstinsky, A. Fundamentals of recurrent neural network (RNN) and long short-term memory (LSTM) network. Phys. D Nonlinear Phenom. 2020, 404, 132306. [Google Scholar] [CrossRef]
- Pham, V.; Bluche, T.; Kermorvant, C.; Louradour, J. Dropout improves recurrent neural networks for handwriting recognition. In Proceedings of the 2014 14th International Conference on Frontiers in Handwriting Recognition, Hersonissos, Greece, 1–4 September 2014; pp. 285–290. [Google Scholar]
- Khaki, S.; Wang, L.; Archontoulis, S.V. A cnn-rnn framework for crop yield prediction. Front. Plant Sci. 2020, 10, 1750. [Google Scholar] [CrossRef] [PubMed]
- Schmidhuber, J.; Hochreiter, S. Long short-term memory. Neural Comput. 1997, 9, 1735–1780. [Google Scholar]
- Cho, K.; Van Merriënboer, B.; Gulcehre, C.; Bahdanau, D.; Bougares, F.; Schwenk, H.; Bengio, Y. Learning phrase representations using RNN encoder-decoder for statistical machine translation. arXiv 2014, arXiv:1406.1078. [Google Scholar]
- Chung, J.; Gulcehre, C.; Cho, K.; Bengio, Y. Empirical evaluation of gated recurrent neural networks on sequence modeling. arXiv 2014, arXiv:1412.3555. [Google Scholar]
- Moon, T.; Ahn, T.I.; Son, J.E. Forecasting root-zone electrical conductivity of nutrient solutions in closed-loop soilless cultures via a recurrent neural network using environmental and cultivation information. Front. Plant Sci. 2018, 9, 859. [Google Scholar] [CrossRef]
- Borchers, M.; Chang, Y.; Proudfoot, K.; Wadsworth, B.; Stone, A.; Bewley, J. Machine-learning-based calving prediction from activity, lying, and ruminating behaviors in dairy cattle. J. Dairy Sci. 2017, 100, 5664–5674. [Google Scholar] [CrossRef]
- Peng, Y.; Kondo, N.; Fujiura, T.; Suzuki, T.; Yoshioka, H.; Itoyama, E. Classification of multiple cattle behavior patterns using a recurrent neural network with long short-term memory and inertial measurement units. Comput. Electron. Agric. 2019, 157, 247–253. [Google Scholar] [CrossRef]
- Zhao, K.; Jin, X.; Ji, J.; Wang, J.; Ma, H.; Zhu, X. Individual identification of Holstein dairy cows based on detecting and matching feature points in body images. Biosyst. Eng. 2019, 181, 128–139. [Google Scholar] [CrossRef]
- Keceli, A.S.; Catal, C.; Kaya, A.; Tekinerdogan, B. Development of a recurrent neural networks-based calving prediction model using activity and behavioral data. Comput. Electron. Agric. 2020, 170, 105285. [Google Scholar] [CrossRef]
- Peng, Y.; Kondo, N.; Fujiura, T.; Suzuki, T.; Ouma, S.; Yoshioka, H.; Itoyama, E. Dam behavior patterns in Japanese black beef cattle prior to calving: Automated detection using LSTM-RNN. Comput. Electron. Agric. 2020, 169, 105178. [Google Scholar] [CrossRef]
- Milone, D.H.; Galli, J.R.; Cangiano, C.A.; Rufiner, H.L.; Laca, E.A. Automatic recognition of ingestive sounds of cattle based on hidden Markov models. Comput. Electron. Agric. 2012, 87, 51–55. [Google Scholar] [CrossRef]
- NRC. Effect of Environment on Nutrient Requirements of Domestic Animals; National Research Council: Washington, DC, USA, 1981. [Google Scholar]
- St-Pierre, N.; Cobanov, B.; Schnitkey, G. Economic losses from heat stress by US livestock industries. J. Dairy Sci. 2003, 86, E52–E77. [Google Scholar] [CrossRef]
- Srivastava, N.; Mansimov, E.; Salakhudinov, R. Unsupervised learning of video representations using lstms. In Proceedings of the International conference on machine learning, Lille, France, 6–11 July 2015; pp. 843–852. [Google Scholar]
- Sutskever, I.; Vinyals, O.; Le, Q.V. Sequence to sequence learning with neural networks. Adv. Neural Inf. Process. Syst. 2014, 27, 3104–3112. [Google Scholar]
- Vinyals, O.; Bengio, S.; Kudlur, M. Order matters: Sequence to sequence for sets. arXiv 2015, arXiv:1511.06391. [Google Scholar]












| Data Set | Monitoring Period | Days | Number of Data |
|---|---|---|---|
| Sequential data learning | 10 July~19 July | 10 days | 2880 |
| Validation | 20 July~21 July | 2 days | 576 |
| Reverse data learning | 22 July~31 July | 10 days | 2880 |
| Conditions | Conditions | Number of Cases | ||
|---|---|---|---|---|
| Validation of RNN model accuracy | Learning data (independent variables) | Model 1 | Monitored air temperature inside the fattening pig house | 2 |
| Model 2 | Monitored air temperature inside the fattening pig house and periodic parameter | |||
| Dependent variable | Missing data of air temperature | 1 | ||
| Total | - | 2 | ||
| Conditions | Conditions | Number of Cases | |
|---|---|---|---|
| Case study for enhancing the accuracy of the RNN model | Learning data (independent variables) | Monitored air temperature inside the fattening pig house and periodic parameter | 1 |
| Dependent variable | Missing data of air temperature | 1 | |
| Order of learning data | Sequential, reverse, and bidirectional order | 3 | |
| The length of the missing data | 1, 2, 3, 6, 9, 12, 24, 36, and 48 h | 9 | |
| Total | - | 27 | |
| Statistical Indices | Learning without the Periodic Parameter | Learning with the Periodic Parameter |
|---|---|---|
| RMSE (°C) | 1.92 | 1.41 |
| MAPE (%) | 4.70 | 3.55 |
| MAPE (%) | The Length of the Missing Data | ||||||||
|---|---|---|---|---|---|---|---|---|---|
| 1 hr | 2 hr | 3 hr | 6 hr | 9 hr | 12 hr | 24 hr | 36 hr | 48 hr | |
| Sequential model (A) | 2.15 | 2.25 | 2.89 | 2.94 | 2.77 | 2.33 | 2.14 | 2.81 | 3.55 |
| Bidirectional model (B) | 0.24 | 0.77 | 0.43 | 0.93 | 1.06 | 1.12 | 1.48 | 2.60 | 2.64 |
| Increase in accuracy (A-B) | 1.91 | 1.48 | 2.46 | 2.01 | 1.71 | 1.21 | 0.66 | 0.21 | 0.91 |
| Sequential order | The Length of the Missing Data | ||||||||
| 1 hr | 2 hr | 3 hr | 6 hr | 9 hr | 12 hr | 24 hr | 36 hr | 48 hr | |
| RMSE (°C) | 0.63 | 0.67 | 0.84 | 0.85 | 0.82 | 0.73 | 0.86 | 0.87 | 1.41 |
| MAPE (%) | 2.15 | 2.25 | 2.89 | 2.94 | 2.77 | 2.33 | 2.14 | 2.81 | 3.55 |
| Reverse order | Sequence length for the LSTM model | ||||||||
| 1 hr | 2 hr | 3 hr | 6 hr | 9 hr | 12 hr | 24 hr | 36 hr | 48 hr | |
| RMSE (°C) | 0.55 | 0.22 | 0.65 | 0.41 | 0.37 | 0.72 | 1.17 | 1.07 | 0.83 |
| MAPE (%) | 1.88 | 0.72 | 2.21 | 1.27 | 1.13 | 1.93 | 3.11 | 2.59 | 1.85 |
| Bidirectional order | Sequence length for the LSTM model | ||||||||
| 1 hr | 2 hr | 3 hr | 6 hr | 9 hr | 12 hr | 24 hr | 36 hr | 48 hr | |
| RMSE (°C) | 0.08 | 0.25 | 0.14 | 0.30 | 0.35 | 0.36 | 0.51 | 0.87 | 0.99 |
| MAPE (%) | 0.24 | 0.77 | 0.43 | 0.93 | 1.06 | 1.12 | 1.48 | 2.60 | 2.64 |
Disclaimer/Publisher’s Note: The statements, opinions and data contained in all publications are solely those of the individual author(s) and contributor(s) and not of MDPI and/or the editor(s). MDPI and/or the editor(s) disclaim responsibility for any injury to people or property resulting from any ideas, methods, instructions or products referred to in the content. |
© 2023 by the authors. Licensee MDPI, Basel, Switzerland. This article is an open access article distributed under the terms and conditions of the Creative Commons Attribution (CC BY) license (https://creativecommons.org/licenses/by/4.0/).
Share and Cite
Kim, J.-g.; Lee, S.-y.; Lee, I.-b. The Development of an LSTM Model to Predict Time Series Missing Data of Air Temperature inside Fattening Pig Houses. Agriculture 2023, 13, 795. https://doi.org/10.3390/agriculture13040795
Kim J-g, Lee S-y, Lee I-b. The Development of an LSTM Model to Predict Time Series Missing Data of Air Temperature inside Fattening Pig Houses. Agriculture. 2023; 13(4):795. https://doi.org/10.3390/agriculture13040795
Chicago/Turabian StyleKim, Jun-gyu, Sang-yeon Lee, and In-bok Lee. 2023. "The Development of an LSTM Model to Predict Time Series Missing Data of Air Temperature inside Fattening Pig Houses" Agriculture 13, no. 4: 795. https://doi.org/10.3390/agriculture13040795
APA StyleKim, J.-g., Lee, S.-y., & Lee, I.-b. (2023). The Development of an LSTM Model to Predict Time Series Missing Data of Air Temperature inside Fattening Pig Houses. Agriculture, 13(4), 795. https://doi.org/10.3390/agriculture13040795

