Individual and Interactive Effects of Nitrogen and Phosphorus on Drought Stress Response and Recovery in Maize Seedlings
Abstract
1. Introduction
2. Materials and Methods
2.1. Plant Materials, Growing Conditions and Stress Treatments
2.2. Germination Assay
2.3. Measurement of Plant Growth Parameters
2.4. Measurement of Stress Response Parameters
2.4.1. Leaf Relative Water Content (LRWC)
2.4.2. Chlorophyll Content
2.4.3. Lipid Peroxidation
2.4.4. Osmolyte Accumulation
2.4.5. Anthocyanin Content
2.5. Enzyme Activities
2.5.1. Ascorbate Peroxidase (APX)
2.5.2. Catalase (CAT)
2.5.3. Glutathione Reductase (GR)
2.6. Gas Exchange Measurements
2.7. Microarray Data Analysis
2.8. Statistical Analysis
3. Results
3.1. Drought Stress Affects Seed Germination
3.2. Effect of Nitrogen and Phosphorus Pre-Supplementation on Growth of Drought-Stressed Seedlings
3.2.1. Shoot Length
3.2.2. Root Length
3.2.3. Stem Width
3.2.4. Leaf Area
3.3. Effect of Nitrogen and Phosphorus Pre-Supplementation on the Relative Water Content of Drought-Stressed Seedlings
3.4. Effect of Nitrogen and Phosphorus Pre-Supplementation on the Physiological and Biochemical Properties of Drought-Stressed Seedlings
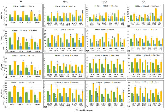
3.4.1. Chlorophyll Content
3.4.2. Lipid Peroxidation
3.4.3. Proline Accumulation
3.4.4. Anthocyanin Content
3.4.5. Gas Exchange Parameters
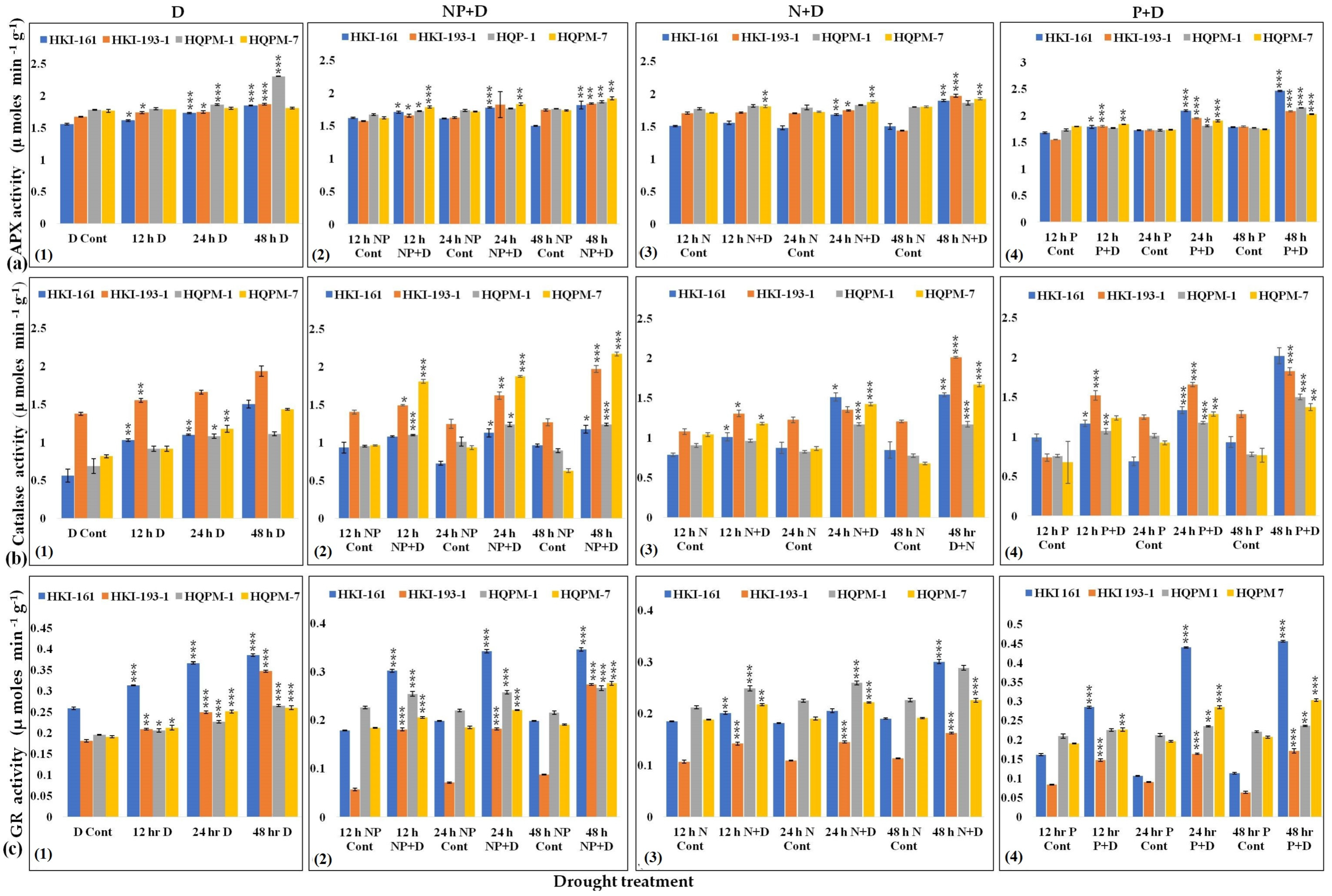
3.4.6. Antioxidant Enzyme Activities
3.5. Drought Recovery
3.6. Differential Expression of Drought Responsive Genes in Maize
3.7. GO and KEGG Pathway Analysis of Drought Responsive Transcripts
4. Discussion
5. Conclusions
Supplementary Materials
Author Contributions
Funding
Institutional Review Board Statement
Data Availability Statement
Conflicts of Interest
References
- Foley, J.A.; Ramankutty, N.; Brauman, K.A.; Cassidy, E.S.; Gerber, J.S.; Johnston, M.; Mueller, N.D.; Connell, C.O.; Ray, D.K.; West, P.C.; et al. Solutions for a cultivated planet. Nature 2011, 478, 337–342. [Google Scholar] [CrossRef] [PubMed]
- Roberts, D.P.; Mattoo, A.K. Sustainable Agriculture-Enhancing environmental benefits, food nutritional quality and building crop resilience to abiotic and biotic stresses. Agriculture 2018, 8, 8. [Google Scholar] [CrossRef]
- Raza, A.; Razzaq, A.; Mehmood, S.S.; Zou, X.; Zhang, X.; Lv, Y.; Xu, J. Impact of climate change on crops adaptation and strategies to tackle its outcome: A review. Plants 2019, 8, 34. [Google Scholar] [CrossRef]
- Waraich, E.A.; Ahmad, R.; Ashraf, S.M.Y.; Ehsanullah. Role of mineral nutrition in alleviation of drought stress in plants. Aust. J. Crop Sci. 2011, 5, 764–777. [Google Scholar]
- Rane, J.; Singh, A.K.; Pradhan, A.; Kumar, K.; Boraiah, K.M.; Pradhan, A.; Meena, K.K.; Vara Prasad, P.V. The adaptation and tolerance of major cereals and legumes to important abiotic stresses. Int. J. Mol. Sci. 2021, 22, 12970. [Google Scholar] [CrossRef]
- Fahad, S.; Bajwa, A.A.; Nazir, U.; Anjum, S.A.; Farooq, A.; Zohaib, A.; Sadia, S.; Nasim, W.; Adkins, S.; Saud, S.; et al. Crop production under drought and heat stress: Plant responses and management options. Front. Plant Sci. 2017, 8, 1147. [Google Scholar] [CrossRef]
- Osakabe, Y.; Osakabe, K.; Shinozaki, K.; Tran, L.S.P. Response of plants to water stress. Front. Plant Sci. 2014, 5, 86. [Google Scholar] [CrossRef]
- Naing, A.H.; Kim, C.K. Abiotic stress-induced anthocyanins in plants: Their role in tolerance to abiotic stresses. Physiol. Plant. 2021, 172, 1711–1723. [Google Scholar] [CrossRef] [PubMed]
- Studer, C.; Hu, Y.; Schmidhalter, U. Evaluation of the differential osmotic adjustments between roots and leaves of maize seedlings with single or combined NPK-nutrient supply. Funct. Plant Biol. 2007, 34, 228–236. [Google Scholar] [CrossRef] [PubMed]
- Hu, Y.; Burucs, Z.; von Tucher, S.; Schmidhalter, U. Short-term effects of drought and salinity on mineral nutrient distribution along growing leaves of maize seedlings. Environ. Exp. Bot. 2007, 60, 268–275. [Google Scholar] [CrossRef]
- Jaramillo, R.E.; Nord, E.A.; Chimungu, J.G.; Brown, K.M.; Lynch, J.P. Root cortical burden influences drought tolerance in maize. Ann. Bot. 2013, 112, 429–437. [Google Scholar] [CrossRef]
- Jain, M.; Kataria, S.; Hirve, M.; Prajapati, R. Water Deficit Stress Effects and Responses in Maize. In Plant Abiotic Stress Tolerance; Hasanuzzaman, M., Hakeem, K., Nahar, K., Alharby, H., Eds.; Springer: Cham, Switzerland, 2019. [Google Scholar] [CrossRef]
- He, M.; Dijkstra, F.A. Drought effect on plant nitrogen and phosphorus: A meta-analysis. New Phytol. 2014, 204, 924–931. [Google Scholar] [CrossRef] [PubMed]
- Law-Ogbomo, K.E.; Law-Ogbomo, J.E. The Performance of Zea mays as Influenced by NPK fertilizer Application. Not. Sci. Biol. 2009, 1, 59–62. [Google Scholar] [CrossRef]
- Dai, X.; Ouyang, Z.; Li, Y.; Wang, H. Variation in yield gap induced by nitrogen, phosphorus and potassium fertilizer in North China plain. PLoS ONE 2013, 8, 82147. [Google Scholar] [CrossRef] [PubMed]
- Mengel, K. Responses of various crop species and cultivars to fertilizer application. Plant Soil 1983, 72, 305–319. [Google Scholar] [CrossRef]
- Saud, S.; Fahad, S.; Yajun, C.; Ihsan, M.Z.; Hammad, H.M.; Nasim, W.; Amanullah, Jr.; Arif, M.; Hesham, A. Effects of nitrogen supply on water stress and recovery mechanisms in Kentucky bluegrass plants. Front. Plant Sci. 2017, 8, 983. [Google Scholar] [CrossRef] [PubMed]
- Bennett, J.M.; Mutti, L.S.M.; Rao, P.S.C.; Jones, J.W. Interactive effects of nitrogen and water stresses on biomass accumulation, nitrogen uptake, and seed yield of maize. Field Crops Res. 1989, 19, 297–311. [Google Scholar] [CrossRef]
- Tariq, A.; Pan, K.; Olatunji, O.A.; Graciano, C.; Li, Z.; Sun, F.; Sun, X.; Song, D.; Chen, W.; Zhang, A.; et al. Phosphorous application improves drought tolerance of Phoebe zhennan. Front. Plant Sci. 2017, 8, 1561. [Google Scholar] [CrossRef]
- Tariq, A.; Pan, K.; Olatunji, Q.A.; Graciano, C.; Li, Z.; Sun, F.; Zhang, L.; Wu, X.; Chen, W.; Song, D.; et al. Phosphorous fertilization alleviates drought effects on Alnus cremastogyne by regulating its antioxidant and osmotic potential. Sci. Rep. 2018, 8, 5644. [Google Scholar] [CrossRef]
- Sedri, M.H.; Roohi, E.; Niazian, M.; Niedbała, G. Interactive effects of nitrogen and potassium fertilizers on quantitative-qualitative traits and drought tolerance indices of rainfed wheat cultivar. Agronomy 2021, 12, 30. [Google Scholar] [CrossRef]
- Studer, C.; Hu, Y.; Schmidhalter, U. Interactive effects of N-, P- and K-nutrition and drought stress on the development of maize seedlings. Agriculture 2017, 7, 90. [Google Scholar] [CrossRef]
- Forde, B.G. The role of Long-distance signalling in plant responses to nitrate and other nutrients. J. Exp. Bot. 2002, 53, 39–43. [Google Scholar] [CrossRef][Green Version]
- Barberon, M.; Geldner, N. Radial transport of nutrients: The plant root as a polarized epithelium1. Plant Physiol. 2014, 166, 528–537. [Google Scholar] [CrossRef] [PubMed]
- Song, Y.; Li, J.; Liu, M.; Meng, Z.; Liu, K.; Sui, N. Nitrogen increases drought tolerance in maize seedlings. Funct. Plant Biol. 2019, 46, 350–359. [Google Scholar] [CrossRef] [PubMed]
- Kumar, S.; Sanan-Mishra, N. A rapid method for stably transforming rice seeds. Methods Mol. Biol. 2021, 2238, 63–68. [Google Scholar] [CrossRef] [PubMed]
- Saıdou, A.; Balogoun, I.; Ahoton, E.L.; Igue, A.M.; Youl, S.; Ezui, G.; Mando, A. Fertilizer recommendations for maize production in the south-Sudan and Sudano-Guinean zones of Benin. Nutr. Cycl. Agroecosystems 2018, 110, 361–373. [Google Scholar] [CrossRef]
- Awasthi, P.; Karki, H.; Vibhuti, V.; Bargali, K.; Bargali, S.S. Germination and seedling growth of pulse crop (Vigna Spp.) as affected by soil salt stress. Curr. Agric. Res. J. 2016, 4, 159–170. [Google Scholar] [CrossRef]
- He, J.; Reddy, G.V.P.; Liu, M.; Shi, P. A general formula for calculating surface area of the similarly shaped leaves: Evidence from six Magnoliaceae species. Glob. Ecol. Conserv. 2020, 23, e01129. [Google Scholar] [CrossRef]
- Barrs, H.D.; Weatherley, P.E. A re-examination of the relative turgidity technique for estimating water deficits in leaves. Aust. J. Biol. Sci. 1962, 15, 413–428. [Google Scholar] [CrossRef]
- Arnon, D. Copper Enzymes in isolated chloroplasts. Polyphenoloxidase in Beta vulgaris. Plant Physiol. 1949, 24, 1–15. [Google Scholar] [CrossRef]
- Heath, R.L.; Packer, L. Photoperoxidation in isolated chloroplasts. Arch. Biochem. Biophys. 1968, 125, 189–198. [Google Scholar] [CrossRef]
- Bates, L.S.; Waldren, R.P.; Teare, I.D. Rapid determination of free proline for water-stress studies. Plant Soil 1973, 39, 205–207. [Google Scholar] [CrossRef]
- Kim, J.; Yi, H.; Choi, G.; Shin, B.; Song, P.; Choi, G. Functional characterization of PIF3 in phytochrome-mediated light signal transduction. Plant Cell 2003, 15, 2399–2407. [Google Scholar] [CrossRef] [PubMed]
- Nakano, Y.; Asada, K. Hydrogen peroxide is scavenged by ascorbate-specific peroxidase in spinach chloroplasts. Plant Cell Physiol. 1981, 22, 867–880. [Google Scholar]
- Aebi, H. Catalase in-vitro. Methods Enzymol. 1984, 105, 121–126. [Google Scholar] [CrossRef] [PubMed]
- Smith, I.K.; Vierheller, T.L.; Thorne, C.A. Properties and functions of glutathione reductase in plants. Physiol. Plant 1989, 77, 449–456. [Google Scholar] [CrossRef]
- Chien, C.H.; Chow, C.N.; Wu, N.Y.; Chiang-Hsieh, Y.F.; Hou, P.F.; Chang, W.C. EXPath: A database of comparative expression analysis inferring metabolic pathways for plants. BMC Genom. 2015, 16, S6. [Google Scholar] [CrossRef]
- Arora, N.K. Impact of climate change on agriculture production and its sustainable solutions. Environ. Sustain. 2019, 2, 95–96. [Google Scholar] [CrossRef]
- Benevenuto, R.F.; Agapito-Tenfen, S.Z.; Vilperte, V.; Wikmark, O.G.; Van Rensburg, P.J.; Nodari, R.O. Molecular responses of genetically modified maize to abiotic stresses as determined through proteomic and metabolomic analyses. PLoS ONE 2017, 12, e0173069. [Google Scholar] [CrossRef]
- Gelaw, T.A.; Sanan-Mishra, N. Non-coding RNAs in response to drought stress. Int. J. Mol. Sci. 2021, 22, 12519. [Google Scholar] [CrossRef]
- Abid, M.; Ali, S.; Qi, L.K.; Zahoor, R.; Tian, Z.; Jiang, D.; Snider, J.L.; Dai, T. Physiological and biochemical changes during drought and recovery periods at tillering and jointing stages in wheat (Triticum aestivum L.). Sci. Rep. 2018, 8, 4615. [Google Scholar] [CrossRef]
- Lawlor, D.W. Carbon and nitrogen assimilation in relation to yield: Mechanisms are the key to understanding production systems. J. Exp. Bot. 2002, 53, 773–787. [Google Scholar] [CrossRef]
- Vos, J.; Van Der Putten, P.E.L.; Birch, C.J. Effect of nitrogen supply on leaf appearance, leaf growth, leaf nitrogen economy and photosynthetic capacity in maize (Zea mays L.). Field Crops Res. 2005, 931, 64–73. [Google Scholar] [CrossRef]
- Sun, J.; Ye, M.; Peng, S.; Li, Y. Nitrogen can improve the rapid response of photosynthesis to changing irradiance in rice (Oryza sativa L.) plants. Sci. Rep. 2016, 6, 31305. [Google Scholar] [CrossRef] [PubMed]
- Thuynsma, R.; Kleinert, A.; Kossmann, J.; Valentine, A.J.; Hills, P.N. The effects of limiting phosphate on photosynthesis and growth of Lotus japonicus. S. Afr. J. Bot. 2016, 104, 244–248. [Google Scholar] [CrossRef]
- Carstensen, A.; Herdean, A.; Schmidt, S.B.; Sharma, A.; Spetea, C.; Pribil, M.; Husted, S. The impacts of phosphorus deficiency on the photosynthetic electron transport chain. Plant Physiol. 2018, 177, 271–284. [Google Scholar] [CrossRef] [PubMed]
- Wang, L.; Zheng, J.; You, J.; Li, J.; Qian, C.; Leng, S.; Yang, G.; Zuo, Q. Effects of phosphorus supply on the leaf photosynthesis, and biomass and phosphorus accumulation and partitioning of canola (Brassica napus L.) in saline environment. Agronomy 2021, 11, 1918. [Google Scholar] [CrossRef]
- Li, H.; Li, X.; Zhang, D.; Liu, H.; Guan, K. Effects of drought stress on the seed germination and early seedling growth of the endemic desert plant Eremosparton songoricum (Fabaceae). Excli J. 2013, 12, 89–101. [Google Scholar]
- Hajabbasi, M.A.; Schumacher, T.E. Phosphorus effects on root growth and development in two maize genotypes. Plant Soil 1994, 158, 39–46. [Google Scholar] [CrossRef]
- Kim, H.J.; Li, X. Effects of phosphorus on shoot and root growth, partitioning, and phosphorus utilization efficiency in Lantana. Hort. Science 2016, 51, 1001–1009. [Google Scholar] [CrossRef]
- Wen, Z.; Shen, J.; Blackwell, M.; Li, H.; Zhao, B.; Yuan, H. Combined applications of nitrogen and phosphorus fertilizers with manure increase maize yield and nutrient uptake via stimulating root growth in a long-term experiment. Pedosphere 2016, 26, 62–73. [Google Scholar] [CrossRef]
- Hakeem, K.R.; Chandna, R.; Ahmad, A.; Iqbal, M. Physiological and molecular analysis of applied nitrogen in rice genotypes. Rice Sci. 2012, 19, 213–222. [Google Scholar] [CrossRef]
- Razaq, M.; Zhang, P.; Shen, H.L.; Salahuddin. Influence of nitrogen and phosphorous on the growth and root morphology of Acer mono. PLoS ONE 2017, 12, e0171321. [Google Scholar] [CrossRef] [PubMed]
- Krouk, G.; Kiba, T. Nitrogen and phosphorus interactions in plants: From agronomic to physiological and molecular insights. Curr. Opin. Plant Biol. 2020, 57, 104–109. [Google Scholar] [CrossRef]
- Hatfield, J.L.; Dold, C. Water-Use Efficiency: Advances and challenges in a changing climate. Front. Plant Sci. 2019, 10, 103. [Google Scholar] [CrossRef]
- Jiang, J.; Wang, Y.P.; Yang, Y.; Yu, M.; Wang, C.; Yan, J. Interactive effects of nitrogen and phosphorus additions on plant growth vary with ecosystem type. Plant Soil 2019, 440, 523–537. [Google Scholar] [CrossRef]
- Comas, L.H.; Becker, S.R.; Cruz, V.M.V.; Byrne, P.F.; Dierig, D.A. Root traits contributing to plant productivity under drought. Front. Plant Sci. 2013, 4, 442. [Google Scholar] [CrossRef]
- Fang, Y.; Du, Y.; Wang, J.; Wu, A.; Qiao, S.; Xu, B.; Zhang, S.; Siddique, K.H.M.; Chen, Y. Moderate drought stress affected root growth and grain yield in old, modern and newly released cultivars of winter wheat. Front. Plant Sci. 2017, 8, 672. [Google Scholar] [CrossRef]
- Kim, Y.; Chung, Y.S.; Lee, E.; Tripathi, P.; Heo, S.; Kim, K.H. Root response to drought stress in rice (Oryza sativa L.). Int. J. Mol. Sci. 2020, 21, 1513. [Google Scholar] [CrossRef]
- Cai, Q.; Ji, C.; Yan, Z.; Jiang, X.; Fang, J. Anatomical responses of leaf and stem of Arabidopsis thaliana to nitrogen and phosphorus addition. J. Plant Res. 2017, 130, 1035–1045. [Google Scholar] [CrossRef]
- Khan, A.; Sun, J.; Zarif, N.; Khan, K.; Jamil, M.A.; Yang, L.; Clothier, B.; Rewald, B. Effects of increased N deposition on leaf functional traits of four contrasting tree species in northeast China. Plants 2020, 9, 1231. [Google Scholar] [CrossRef] [PubMed]
- de Ávila Silva, L.; Omena-Garcia, R.P.; Condori-Apfata, J.A.; Costa, P.M.A.; Silva, N.M.; DaMatta, F.M.; Zsögön, A.; Araújo, W.L.; de Toledo Picoli, E.A.; Sulpice, R.; et al. Specific leaf area is modulated by nitrogen via changes in primary metabolism and parenchymal thickness in pepper. Planta 2021, 53, 16. [Google Scholar] [CrossRef] [PubMed]
- Shi, B.; Wang, Y.; Meng, B.; Zhong, S.; Sun, W. Effects of nitrogen addition on the drought susceptibility of the Leymus chinensis meadow ecosystem vary with drought duration. Front. Plant Sci. 2018, 9, 254. [Google Scholar] [CrossRef]
- Li, S.; Zhou, L.; Addo-Danso, S.D.; Guochang Ding, G.; Sun, M.; Wu, S.; Lin, S. Nitrogen supply enhances the physiological resistance of Chinese fir plantlets under polyethylene glycol (PEG)-induced drought stress. Sci. Rep. 2020, 10, 7509. [Google Scholar] [CrossRef] [PubMed]
- Kübert, A.; Götz, M.; Kuester, E.; Piayda, A.; Werner, C.; Rothfuss, Y.; Dubbert, M. nitrogen loading enhances stress impact of drought on a semi-natural temperate grassland. Front. Plant Sci. 2019, 10, 1051. [Google Scholar] [CrossRef]
- Jin, J.; Wang, G.; Liu, X.; Pan, X.; Herbert, S.J.; Tang, C. Interaction between phosphorus nutrition and drought on grain yield, and assimilation of phosphorus and nitrogen in two soybean cultivars differing in protein concentration in grains. J. Plant Nutr. 2006, 29, 1433–1449. [Google Scholar] [CrossRef]
- Costa França, M.G.; Pham Thi, A.T.; Pimentel, C.; Pereyra Rossiello, R.O.; Zuily-Fodil, Y.; Laffray, D. Differences in growth and water relations among Phaseolus vulgaris cultivars in response to induced drought stress. Environ. Exp. Bot. 2000, 43, 227–237. [Google Scholar] [CrossRef]
- Lee, B.R.; Jin, Y.L.; Avice, J.C.; Cliquet, J.B.; Ourry, A.; Kim, T.H. Increased proline loading to phloem and its effects on nitrogen uptake and assimilation in water-stressed white clover (Trifolium repens). New Phytol. 2009, 182, 654–663. [Google Scholar] [CrossRef]
- Devi M., J.; Reddy, V. Cotton genotypic variability for transpiration decrease with progressive soil drying. Agronomy 2020, 10, 1290. [Google Scholar] [CrossRef]
- Reddy, A.R.; Chaitanya, K.V.; Vivekanandan, M. Drought-induced responses of photosynthesis and antioxidant metabolism in higher plants. J. Plant Physiol. 2004, 161, 1189–1202. [Google Scholar] [CrossRef]
- Mafakheri, A.; Siosemardeh, A.; Bahramnejad, B.; Struik, P.C.; Sohrabi, E. Effect of drought stress on yield, proline and chlorophyll contents in three chickpea cultivars. Aust. J. Crop Sci. 2010, 4, 580–585. [Google Scholar]
- Peng, J.; Feng, Y.; Wang, X.; Li, J.; Xu, G.; Phonenasay, S.; Luo, Q.; Han, Z.; Lu, W. Effects of nitrogen application rate on the photosynthetic pigment, leaf fluorescence characteristics, and yield of indica hybrid rice and their interrelations. Sci Rep. 2021, 11, 7485. [Google Scholar] [CrossRef]
- Zangani, E.; Afsahi, K.; Shekari, F.; Mac Sweeney, E.; Mastinu, A. Nitrogen and phosphorus addition to soil improves seed yield, foliar stomatal conductance, and the photosynthetic response of rapeseed (Brassica napus L.). Agriculture 2021, 11, 483. [Google Scholar] [CrossRef]
- Sharma, P.; Jha, A.B.; Dubey, R.S.; Pessarakli, M. Reactive oxygen species, oxidative damage, and antioxidative defense mechanism in plants under stressful conditions. J. Bot. 2012, 2012, 217037. [Google Scholar] [CrossRef]
- Roy, R.; Mostofa, M.G.; Wang, J.; Sikdar, A.; Sarker, T. Improvement of growth performance of Amorpha fruticosa under contrasting regime of water and fertilizer in coal-contaminated spoils using response surface methodology. BMC Plant Biol. 2020, 20, 181. [Google Scholar] [CrossRef] [PubMed]
- Hayat, S.; Hayat, Q.; Alyemeni, M.N.; Wani, A.S.; Pichtel, J.; Ahmad, A. Role of proline under changing environments: A review. Plant Signal. Behav. 2012, 7, 1456–1466. [Google Scholar] [CrossRef]
- Reddy, P.S.; Jogeswar, G.; Rasineni, G.K.; Maheswari, M.; Reddy, A.R.; Varshney, R.K.; Kavi Kishor, P.B. Proline over-accumulation alleviates salt stress and protects photosynthetic and antioxidant enzyme activities in transgenic sorghum [Sorghum bicolor (L.) Moench]. Plant Physiol. Biochem. 2015, 94, 104–113. [Google Scholar] [CrossRef]
- Chun, S.C.; Paramasivan, M.; Chandrasekaran, M. Proline accumulation influenced by osmotic stress in arbuscular mycorrhizal symbiotic plants. Front. Microbiol. 2018, 9, 2525. [Google Scholar] [CrossRef]
- Arteaga, S.; Yabor, L.; Díez, M.J.; Prohens, J.; Boscaiu, M.; Vicente, O. The use of proline in screening for tolerance to drought and salinity in common bean (Phaseolus vulgaris L.) genotypes. Agronomy 2020, 10, 817. [Google Scholar] [CrossRef]
- Blum, A.; Ebercon, A. Genotypic responses in sorghum to drought stress. III. Free proline accumulation and drought resistance. Crop Sci. 1976, 16, 428–431. [Google Scholar] [CrossRef]
- Nayyar, H.; Walia, D.P. Water stress induced proline accumulation in contrasting wheat genotypes as affected by calcium and abscisic acid. Biol. Plant. 2003, 46, 275–279. [Google Scholar] [CrossRef]
- Azcón, R.; Gómez, M.; Tobar, R. Physiological and nutritional responses by Lactuca sativa L. to nitrogen sources and mycorrhizal fungi under drought conditions. Biol. Fertil. Soils 1996, 22, 156–161. [Google Scholar] [CrossRef]
- Liu, C.; Wang, Y.; Pan, K.; Jin, Y.; Li, W.; Zhang, L. Effects of phosphorus application on photosynthetic carbon and nitrogen metabolism, water use efficiency and growth of dwarf bamboo (Fargesia rufa) subjected to water deficit. Plant Physiol. Biochem. 2015, 96, 20–28. [Google Scholar] [CrossRef]
- Dixon, R.A.; Paiva, N.L. Stress-induced phenylpropanoid metabolism. Plant Cell 1995, 7, 1085–1097. [Google Scholar] [CrossRef]
- André, C.M.; Schafleitner, R.; Legay, S.; Lefèvre, I.; Aliaga, C.A.A.; Nomberto, G.; Hoffmann, L.; Hausman, J.F.; Larondelle, Y.; Evers, D. Gene expression changes related to the production of phenolic compounds in potato tubers grown under drought stress. Phytochem. 2009, 70, 1107–1116. [Google Scholar] [CrossRef]
- Yamuangmorn, S.; Dell, B.; Rerkasem, B.; Prom-U-Thai, C. Applying nitrogen fertilizer increased anthocyanin in vegetative shoots but not in grain of purple rice genotypes. J. Sci. Food Agric. 2018, 98, 4527–4532. [Google Scholar] [CrossRef] [PubMed]
- Cirillo, V.; D’Amelia, V.; Esposito, M.; Amitrano, C.; Carillo, P.; Carputo, D.; Maggio, A. Anthocyanins are key regulators of drought stress tolerance in tobacco. Biology 2021, 10, 139. [Google Scholar] [CrossRef]
- Altangerel, N.; Ariunbold, G.; Gorman, C. In-vivo diagnostics of early abiotic plant stress response via Raman spectroscopy. Proc. Natl. Acad. Sci. USA. 2017, 114, 3393–3396. [Google Scholar] [CrossRef]
- Naing, A.H.; Kim, C.K. Roles of R2R3-MYB transcription factors in transcriptional regulation of anthocyanin biosynthesis in horticultural plants. Plant Mol. Biol. 2018, 98, 1–18. [Google Scholar] [CrossRef]
- Paixão, J.S.; Da Silva, J.R.; Ruas, K.F.; Rodrigues, W.P.; Filho, J.A.M.; Bernado, W.P.; Abreu, D.P.; Ferreira, L.S.; Gonzalez, J.C.; Griffin, K.L.; et al. Photosynthetic capacity, leaf respiration and growth in two papaya (Carica papaya) genotypes with different leaf chlorophyll concentrations. AoB Plants 2019, 11, plz013. [Google Scholar] [CrossRef]
- Yin, C.Y.; Berninger, F.; Li, C.Y. Photosynthetic responses of Populus przewalski subjected to drought stress. Photosynthetica 2006, 44, 62–68. [Google Scholar] [CrossRef]
- Pearman, I.; Thomas, S.M.; Thorne, G.N. Effect of nitrogen fertilizer on photosynthesis of several varieties of winter wheat. Ann. Bot. 1979, 43, 613–621. [Google Scholar] [CrossRef]
- Fathi, A.; Tari, D.B. Effect of drought stress and its mechanism in Plants. Int. J. Life Sci. 2016, 10, 1–6. [Google Scholar] [CrossRef]
- Sobejano-Paz, V.; Mikkelsen, T.N.; Baum, A.; Mo, X.; Liu, S.; Köppl, C.J.; Johnson, M.S.; Gulyas, L.; García, M. Hyperspectral and thermal sensing of stomatal conductance, transpiration, and photosynthesis for soybean and maize under drought. Remote Sens. 2020, 12, 3182. [Google Scholar] [CrossRef]
- Chen, Y.; Liu, L.; Guo, Q.; Zhu, Z.; Zhang, L. Effects of different water management options and fertilizer supply on photosynthesis, fluorescence parameters and water use efficiency of Prunella vulgaris seedlings. Biol. Res. 2016, 49, 12. [Google Scholar] [CrossRef] [PubMed]
- Singh, B.N.; Lal, K.N.; Lal, M.B. The influence of artificial fertilizers upon the photosynthetic efficiency of Andropogon sorghum. Proc. Indian Acad. Sci. Sect. B 1939, 9, 151–168. [Google Scholar] [CrossRef]
- Song, X.; Zhou, G.; Ma, B.-L.; Wu, W.; Ahmad, I.; Zhu, G.; Yan, W.; Jiao, X. Nitrogen application improved photosynthetic productivity, chlorophyll fluorescence, yield and yield components of two oat genotypes under saline conditions. Agronomy 2019, 9, 115. [Google Scholar] [CrossRef]
- Jin, X.; Yang, G.; Tan, C.; Zhao, C. Effects of nitrogen stress on the photosynthetic CO2 assimilation, chlorophyll fluorescence, and sugar-nitrogen ratio in corn. Sci. Rep. 2015, 5, 9311. [Google Scholar] [CrossRef]
- Wang, Y.; Zhang, Y.J.; Han, J.M.; Li, C.H.; Wang, R.J.; Zhang, Y.L.; Jia, X. Improve plant photosynthesis by a new slow-release carbon dioxide gas fertilizer. ACS Omega 2019, 4, 10354–10361. [Google Scholar] [CrossRef]
- Jeanguenin, L.; Mir, A.P.; Chaumont, F. Uptake, Loss and Control, 2nd ed.; Elsevier: Amsterdam, The Netherlands, 2016; Volume 1. [Google Scholar]
- Kapoor, D.; Bhardwaj, S.; Landi, M.; Sharma, A.; Ramakrishnan, M.; Sharma, A. The impact of drought in plant metabolism: How to exploit tolerance mechanisms to increase crop production. Appl. Sci. 2020, 10, 5692. [Google Scholar] [CrossRef]
- Brodribb, T. Dynamics of changing intercellular CO2 concentration (ci) during drought and determination of minimum functional Ci. Plant Physiol. 1996, 111, 179–185. [Google Scholar] [CrossRef] [PubMed]
- Li, Y.; Li, H.; Li, Y.; Zhang, S. Improving water-use efficiency by decreasing stomatal conductance and transpiration rate to maintain higher ear photosynthetic rate in drought-resistant wheat. Crop J. 2017, 5, 231–239. [Google Scholar] [CrossRef]
- Kusumi, K.; Hirotsuka, S.; Kumamaru, T.; Iba, K. Increased leaf photosynthesis caused by elevated stomatal conductance in a rice mutant deficient in SLAC1, a guard cell anion channel protein. J. Exp. Bot. 2012, 63, 5635–5644. [Google Scholar] [CrossRef] [PubMed]
- Marchin, R.M.; Backes, D.; Ossola, A.; Leishman, M.R.; Tjoelker, M.G.; Ellsworth, D.S. Extreme heat increases stomatal conductance and drought-induced mortality risk in vulnerable plant species. Glob. Chang. Biol. 2022, 28, 1133–1146. [Google Scholar] [CrossRef]
- Bunce, J.A. Leaf transpiration efficiency of some drought-resistant maize lines. Crop Sci. 2010, 50, 1409–1413. [Google Scholar] [CrossRef]
- Liu, X.; Zhang, H.; Wang, J.; Wu, X.; Ma, S.; Xu, Z.; Zhou, T.; Xu, N.; Tang, X.; An, B. Increased CO2 concentrations increasing water use efficiency and improvement PSII function of mulberry seedling leaves under drought stress. J. Plant Interact. 2019, 14, 213–223. [Google Scholar] [CrossRef]
- Zong, Y.Z.; Wang, W.F.; Xue, Q.W.; Shangguan, Z.P. Interactive effects of elevated CO2 and drought on photosynthetic capacity and PSII performance in maize. Photosynthetica 2014, 52, 63–70. [Google Scholar] [CrossRef]
- Zhou, R.; Yu, X.; Wen, J.; Jensen, N.B.; Dos Santos, T.M.; Wu, Z.; Rosenqvist, E.; Ottosen, C.O. Interactive effects of elevated CO2 concentration and combined heat and drought stress on tomato photosynthesis. BMC Plant Biol. 2020, 20, 260. [Google Scholar] [CrossRef]
- Salehi-Lisar, S.Y.; Bakhshayeshan-Agdam, H. Drought Stress in Plants: Causes, Consequences, and Tolerance. In Drought Stress Tolerance in Plants; Hossain, M., Wani, S., Bhattacharjee, S., Burritt, D., Tran, L.S., Eds.; Springer: Cham, Switzerland, 2016; p. 1. [Google Scholar] [CrossRef]
- Plett, D.C.; Ranathunge, K.; Melino, V.J.; Kuya, N.; Uga, Y.; Kronzucker, H.J. The intersection of nitrogen nutrition and water use in plants: New paths toward improved crop productivity. J. Exp. Bot. 2020, 71, 4452–4468. [Google Scholar] [CrossRef]
- Li, C.; Jackson, P.; Lu, X.; Xu, C.; Cai, Q.; Basnayake, J.; Lakshmanan, P.; Ghannoum, O.; Fan, Y. Genotypic variation in transpiration efficiency due to differences in photosynthetic capacity among sugarcane-related clones. J. Exp. Bot. 2017, 68, 2377–2385. [Google Scholar] [CrossRef]
- Naz, S.; Shen, Q.; Wa Lwalaba, J.L.; Zhang, G. Genotypic difference in the responses to nitrogen fertilizer form in tibetan wild and cultivated barley. Plants 2021, 10, 595. [Google Scholar] [CrossRef]
- Sharma, P.; Dubey, R.S. Drought induces oxidative stress and enhances the activities of antioxidant enzymes in growing rice seedlings. Plant Growth Regul. 2005, 46, 209–221. [Google Scholar] [CrossRef]
- Luna, C.M.; Pastori, G.M.; Driscoll, S.; Groten, K.; Bernard, S.; Foyer, C.H. Drought controls on H2O2 accumulation, catalase (CAT) activity and CAT gene expression in wheat. J. Expt. Bot. 2005, 56, 417–423. [Google Scholar] [CrossRef] [PubMed]
- Devi, R.; Kaur, N.; Gupta, A.K. Potential of antioxidant enzymes in depicting drought tolerance of wheat (Triticum aestivum L.). Indian J. Biochem. Biophys. 2012, 49, 257–265. [Google Scholar] [PubMed]
- Sarker, U.; Oba, S. Catalase, superoxide dismutase and ascorbate-glutathione cycle enzymes confer drought tolerance of Amaranthus tricolor. Sci. Rep. 2018, 8, 16496. [Google Scholar] [CrossRef]
- Kim, S.Y.; Lim, J.H.; Park, M.R.; Kim, Y.J.; Park, T.I.; Seo, Y.W.; Choi, K.G.; Yun, S.J. Enhanced antioxidant enzymes are associated with reduced hydrogen peroxide in barley roots under saline stress. J. Biochem. Mol. Biol. 2005, 38, 218–224. [Google Scholar] [CrossRef]
- Ighodaro, O.M.; Akinloye, O.A. First line defence antioxidants-superoxide dismutase (SOD), catalase (CAT) and glutathione peroxidase (GPX): Their fundamental role in the entire antioxidant defence grid. Alex. J. Med. 2018, 54, 287–293. [Google Scholar] [CrossRef]
- Gomes, M.P.; Kitamura, R.S.A.; Marques, R.Z.; Barbato, M.L.; Zámocký, M. The Role of H2O2-scavenging enzymes (ascorbate peroxidase and catalase) in the tolerance of Lemna minor to antibiotics: Implications for phytoremediation. Antioxidants 2022, 11, 151. [Google Scholar] [CrossRef]
- Das, K.; Roychoudhury, A. Reactive oxygen species (ROS) and response of antioxidants as ROS-scavengers during environmental stress in plants. Front. Environ. Sci. 2014, 2, 53. [Google Scholar] [CrossRef]
- Sharma, I.; Ahmad, P. Catalase: A Versatile Antioxidant in Plants; Elsevier Inc.: Amsterdam, The Netherlands, 2014. [Google Scholar]
- Sofo, A.; Scopa, A.; Nuzzaci, M.; Vitti, A. Ascorbate peroxidase and catalase activities and their genetic regulation in plants subjected to drought and salinity stresses. Int. J. Mol. Sci. 2015, 16, 13561–13578. [Google Scholar] [CrossRef]
- Locato, V.; Cimini, S.; De Gara, L. Glutathione as a key player in plant abiotic stress responses and tolerance. In Glutathione in Plant Growth, Development and Stress Tolerance; Mostofa, M.G., Diaz-Vivancos, P., Burritt, D.J., Fujita, M., Hossain, M.A., Tran, L.S.P., Eds.; Springer: Berlin/Heidelberg, Germany, 2017; pp. 127–145. [Google Scholar] [CrossRef]
- Couto, N.; Wood, J.; Barber, J. The role of glutathione reductase and related enzymes on cellular redox homoeostasis network. Free Radic. Biol. Med. 2016, 95, 27–42. [Google Scholar] [CrossRef]
- Harshavardhan, V.T.; Wu, T.-M.; Hong, C.-Y. Glutathione Reductase and Abiotic Stress Tolerance in Plants. In Glutathione in Plant Growth, Development, and Stress Tolerance; Hossain, M.A., Mostofa, M.G., Diaz-Vivancos, P., Burritt, D.J., Fujita, M., Tran, L.-S.P., Eds.; Springer International Publishing: Cham, Switzerland, 2017; pp. 265–286. [Google Scholar] [CrossRef]
- Basu, S.; Ramegowda, V.; Kumar, A.; Pereira, A. Plant adaptation to drought stress. F1000Research 2016, 30, F1000. [Google Scholar] [CrossRef] [PubMed]
- Shavrukov, Y.; Kurishbayev, A.; Jatayev, S.; Shvidchenko, V.; Zotova, L.; Koekemoer, F.; de Groot, S.; Soole, K.; Langridge, P. Early flowering as a drought escape mechanism in plants: How can it aid wheat production? Front. Plant. Sci. 2017, 17, 1950. [Google Scholar] [CrossRef] [PubMed]
- Maurel, C.; Boursiac, Y.; Luu, D.T.; Santoni, V.; Shahzad, Z.; Verdoucq, L. Aquaporins in plants. Physiol. Rev. 2015, 95, 1321–1358. [Google Scholar] [CrossRef]
- Zargar, S.M.; Nagar, P.; Deshmukh, R.; Nazir, M.; Wani, A.A.; Masoodi, K.Z.; Agrawal, G.K.; Rakwal, R. Aquaporins as potential drought tolerance inducing proteins: Towards instigating stress tolerance. J. Proteomics 2017, 169, 233–238. [Google Scholar] [CrossRef]
- Shekoofa, A.; Sinclair, T.R. Aquaporin activity to improve crop drought tolerance. Cells 2018, 7, 123. [Google Scholar] [CrossRef] [PubMed]
- Goyal, K.; Walton, L.J.; Tunnacliffe, A. LEA proteins prevent protein aggregation due to water stress. Biochem. J. 2005, 388, 151–157. [Google Scholar] [CrossRef] [PubMed]
- Hundertmark, M.; Hincha, D.K. LEA (Late Embryogenesis Abundant) proteins and their encoding genes in Arabidopsis thaliana. BMC Genom. 2008, 9, 118. [Google Scholar] [CrossRef] [PubMed]
- Vandeleur, R.K.; Mayo, G.; Shelden, M.C.; Gilliham, M.; Kaiser, B.N.; Tyerman, S.D. The role of plasma membrane intrinsic protein aquaporins in water transport through roots: Diurnal and drought stress responses reveal different strategies between isohydric and anisohydric cultivars of grapevine. Plant Physiol. 2009, 149, 445–460. [Google Scholar] [CrossRef]
- Battaglia, M.; Covarrubias, A.A. Late Embryogenesis Abundant (LEA) proteins in legumes. Front. Plant Sci. 2013, 4, 190. [Google Scholar] [CrossRef]
- Fukuyama, K. Structure and function of plant-type ferredoxins. Photosynth. Res. 2004, 81, 289–301. [Google Scholar] [CrossRef] [PubMed]
- Hanke, G.; Mulo, P. Plant type ferredoxins and ferredoxin-dependent metabolism. Plant Cell Environ. 2013, 36, 1071–1084. [Google Scholar] [CrossRef] [PubMed]
- Ma, H.L.; Xua, X.H.; Zhao, X.Y.; Liu, H.J.; Chen, H. Impacts of drought stress on soluble carbohydrates and respiratory enzymes in fruit body of Auricularia auricula. Biotechnol. Biotechnol. Equip. 2015, 29, 10–14. [Google Scholar] [CrossRef] [PubMed]
- Khodakovskaya, M.; Sword, C.; Wu, Q.; Perera, I.Y.; Boss, W.F.; Brown, C.S.; Sederoff, W.H. Increasing inositol (1,4,5)-trisphosphate metabolism affects drought tolerance, carbohydrate metabolism and phosphate-sensitive biomass increases in tomato. Plant Biotechnol. J. 2010, 8, 170–183. [Google Scholar] [CrossRef] [PubMed]
- Jiang, M.; Liu, Y.; Li, R.; Li, S.; Tan, Y.; Huang, J.; Shu, Q. An inositol 1,3,4,5,6-pentakisphosphate 2-kinase 1 mutant with a 33-nt deletion showed enhanced tolerance to salt and drought stress in rice. Plants 2021, 10, 23. [Google Scholar] [CrossRef]
- Wang, Q.; Liu, P.; Jing, H.; Zhou, X.F.; Zhao, B.; Li, Y.; Jin, J.B. JMJ27-mediated histone H3K9 demethylation positively regulates drought-stress responses in Arabidopsis. New Phytol. 2021, 232, 221–236. [Google Scholar] [CrossRef] [PubMed]
- Song, T.; Zhang, Q.; Wang, H.; Han, J.; Xu, Z.; Yan, S.; Zhu, Z. OsJMJ703, a rice histone demethylase gene, plays key roles in plant development and responds to drought stress. Plant Physiol. Biochem. 2018, 132, 183–188. [Google Scholar] [CrossRef]
- Zhang, L.; Lei, D.; Deng, X.; Li, F.; Ji, H.; Yang, S. Cytosolic glyceraldehyde-3-phosphate dehydrogenase 2/5/6 increase drought tolerance via stomatal movement and reactive oxygen species scavenging in wheat. Plant Cell Environ. 2020, 43, 836–853. [Google Scholar] [CrossRef]
- Li, C.L.; Wang, M.; Wu, X.M.; Chen, D.H.; Lv, H.J.; Shen, J.L.; Qiao, Z.; Zhang, W. THI1, a Thiamine Thiazole Synthase, interacts with Ca2+-Dependent protein kinase CPK33 and modulates the S-Type anion channels and stomatal closure in Arabidopsis. Plant Physiol. 2016, 170, 1090–1104. [Google Scholar] [CrossRef]
- Sun, Y.; Mu, C.; Chen, Y.; Kong, X.; Xu, Y.; Zheng, H.; Zhang, H.; Wang, Q.; Xue, Y.; Li, Z.; et al. Comparative transcript profiling of maize inbreds in response to long-term phosphorus deficiency stress. Plant Physiol. Biochem. 2016, 109, 467–481. [Google Scholar] [CrossRef]
- Zhai, H.; Wang, F.; Si, Z.; Huo, J.; Xing, L.; An, Y.; He, S.; Liu, Q. A myo-inositol-1-phosphate synthase gene, IbMIPS1, enhances salt and drought tolerance and stem nematode resistance in transgenic sweet potato. Plant Biotechnol. J. 2016, 14, 592–602. [Google Scholar] [CrossRef] [PubMed]
- Sharma, N.; Chaudhary, C.; Khurana, P. Wheat Myo-inositol phosphate synthase influences plant growth and stress responses via ethylene mediated signaling. Sci. Rep. 2020, 10, 10766. [Google Scholar] [CrossRef] [PubMed]











| HKI-161 | HKI-193-1 | HQPM-1 | HQPM-7 | |||||||||||||
|---|---|---|---|---|---|---|---|---|---|---|---|---|---|---|---|---|
| PR | SC | CI | TR | PR | SC | CI | TR | PR | SC | CI | TR | PR | SC | CI | TR | |
| D-C | 5.43 ± 0.31 | 0.07 ± 0.001 | 248.40 ± 8.58 | 2.47 ± 0.02 | 12.03 ± 0.36 | 0.10 ± 0.009 | 197.54 ± 12.31 | 1.86 ± 0.14 | 6.30 ± 0.16 | 0.05 ± 0.0 | 172.84 ± 5.12 | 1.74 ± 0.002 | 6.36 ± 0.26 | 0.05 ± 0.003 | 156.40 ± 5.32 | 1.70 ± 0.08 |
| 12 h D | 5.08 ± 0.09 | 0.03 ± 0.002 | 131.89 ± 14.77 | 1.15 ± 0.08 | 6.66 ± 0.46 | 0.04 ± 0.002 | 135.44 ± 9.77 | 0.80 ± 0.02 | 3.32 ± 0.14 | 0.02 ± 0.0 | 168.78 ± 9.18 | 0.90 ± 0.003 | 3.5 ± 0.13 | 0.03 ± 0.0 | 163.66 ± 6.04 | 0.97 ± 0.0 |
| 24 h D | 2.93 ± 0.09 | 0.02 ± 0.001 | 164.65 ± 5.82 | 0.81 ± 0.03 | 5.36 ± 0.35 | 0.05 ± 0.002 | 211.66 ± 9.3 | 0.94 ± 0.03 | 2.37 ± 0.37 | 0.02 ± 0.0 | 223.62 ± 25.11 | 0.89 ± 0.016 | 1.8 ± 0.15 | 0.01 ± 0.0 | 195.04 ± 11.98 | 0.57 ± 0.01 |
| 48 h D | 4.21 ± 0.22 | 0.01 ± 0.004 | 361.79 ± 172.53 | 0.54 ± 0.09 | 5.29 ± 0.09 | 0.06 ± 0.005 | 230.71 ± 14.84 | 1.14 ± 0.09 | 1.08 ± 0.11 | 0.02 ± 0.0 | 299.06 ± 8.91 | 0.78 ± 0.008 | 1.23 ± 0.26 | 0.03 ± 0.002 | 441.53 ± 23.13 | 1.04 ± 0.05 |
| 12 h NP-C | 9.15 ± 0.5 | 0.05 ± 0.004 | 106.45 ± 16.96 | 1.9 ± 0.12 | 8.98 ± 0.52 | 0.08 ± 0.004 | 207.02 ± 2.62 | 1.91 ± 0.09 | 6.85 ± 0.05 | 0.07 ± 0.0 | 225.68 ± 1.32 | 2.55 ± 0.002 | 6.4 ± 0.06 | 0.04 ± 0.0 | 143.75 ± 3.57 | 1.59 ± 0.00.0. |
| 12 h NP + D | 8.72 ± 0.67 | 0.05 ± 0.004 | 109.44 ± 13.01 | 1.88 ± 0.16 | 9.10 ± 0.34 | 0.08 ± 0.005 | 201.78 ± 6.44 | 2.02 ± 0.11 | 7.25 ± 0.25 | 0.06 ± 0.0 | 180.34 ± 7.48 | 2.08 ± 0.005 | 0.65 ± 0.06 | 0.01 ± 0.0 | 296.68 ± 8.12 | 0.47 ± 0.01 |
| 24 h NP-Cont. | 5.98 ± 1.77 | 0.05 ± 0.004 | 197.48 ± 43.81 | 1.70 ± 0.13 | 6.68 ± 0.26 | 0.06 ± 0.001 | 213.89 ± 5.51 | 1.66 ± 0.02 | 6.93 ± 0.06 | 0.14 ± 0.001 | 300.37 ± 0.88 | 4.97 ± 0.028 | 5.18 ± 0.20 | 0.03 ± 0.001 | 92.09 ± 6.85 | 1.07 ± 0.04 |
| 24 h NP + D | 1.22 ± 0.27 | 0.007 ± 0.001 | 427.71 ± 119.6 | 0.27 ± 0.03 | 2.68 ± 0.24 | 0.03 ± 0.001 | 246.05 ± 9.58 | 0.87 ± 0.02 | 3.75 ± 0.09 | 0.03 ± 0.0 | 203.53 ± 05.75 | 1.22 ± 0.013 | 3.46 ± 0.67 | 0.02 ± 0.002 | 125.04 ± 18.13 | 0.77 ± 0.09 |
| 48 h NP-C | 8.87 ± 0.96 | 0.03 ± 0.004 | 435.62 ± 205.07 | 0.96 ± 0.14 | 8.02 ± 0.45 | 0.06 ± 0.003 | 159.39 ± 15.25 | 1.67 ± 0.09 | 7.29 ± 0.08 | 0.14 ± 0.001 | 299.23 ± 1.16 | 4.37 ± 0.016 | 5.37 ± 0.17 | 0.04 ± 0.002 | 168.88 ± 5.31 | 1.56 ± 0.07 |
| 48 h NP + D | 1.36 ± 0.27 | 0.02 ± 0.008 | 374.72 ± 44.93 | 0.91 ± 0.3 | 3.18 ± 0.5 | 0.02 ± 0.001 | 102.89 ± 29.46 | 0.49 ± 0.03 | 1.89 ± 0.28 | 0.03 ± 0.0 | 278.03 ± 14.01 | 1.06 ± 0.009 | 1.98 ± 0.04 | 0.02 ± 0.0 | 187.06 ± 3.75 | 0.63 ± 0.0 |
| 12 h N-C | 7.09 ± 1.29 | 0.08 ± 0.014 | 225.48 ± 4.39 | 2.62 ± 0.42 | 8.46 ± 0.55 | 0.05 ± 0.005 | 126.94 ± 5.14 | 1.52 ± 0.12 | 6.63 ± 0.07 | 0.07 ± 0.0 | 240.23 ± 1.43 | 2.74 ± 0.006 | 6.46 ± 0.63 | 0.04 ± 0.006 | 142.36 ± 11.83 | 1.73 ± 0.22 |
| 12 h N + D | 3.07 ± 0.2 | 0.02 ± 0.001 | 138.50 ± 12.79 | 0.79 ± 0.03 | 3.51 ± 0.42 | 0.02 ± 0.002 | 78.69 ± 14.67 | 0.50 ± 0.04 | 4.19 ± 0.22 | 0.04 ± 0.0 | 212.7 ± 8.18 | 1.44 ± 0.008 | 1.46 ± 0.09 | 0.02 ± 0.001 | 259.39 ± 3.96 | 0.76 ± 0.03 |
| 24 h N-C | 9.97 ± 1.57 | 0.10 ± 0.019 | 194.35 ± 13.33 | 3.94 ± 0.72 | 8.53 ± 0.42 | 0.06 ± 0.006 | 143.87 ± 20.27 | 1.642 ± 0.15 | 6.71 ± 0.11 | 0.1 ± 0.0 | 271.92 ± 1.55 | 3.27 ± 0.011 | 6.19 ± 1.14 | 0.04 ± 0.004 | 148.99 ± 19.85 | 1.51 ± 0.14 |
| 24 h N + D | 5.13 ± 0.48 | 0.05 ± 0.007 | 207.27 ± 14.6 | 2.17 ± 0.29 | 4.53 ± 0.34 | 0.02 ± 0.001 | 60.79 ± 10.29 | 0.60 ± 0.02 | 4.24 ± 0.34 | 0.04 ± 0.0 | 206.33 ± 13.19 | 1.41 ± 0.009 | 0.22 ± 0.04 | 0.02 ± 0.0 | 365.50 ± 6.82 | 0.71 ± 0.0 |
| 48 h N-C | 4.01 ± 0.53 | 0.03 ± 0.003 | 197.77 ± 10.79 | 1.45 ± 0.13 | 6.90 ± 0.27 | 0.03 ± 0.001 | 66.47 ± 8.5 | 0.89 ± 0.03 | 5.62 ± 0.16 | 0.11 ± 0.0 | 295.29 ± 2.44 | 3.92 ± 0.006 | 1.37 ± 0.05 | 0.02 ± 0.0 | 273.74 ± 4.24 | 0.80 ± 0.0 |
| 48 h N + D | 0.56 ± 0.09 | 0.008 ± 0.001 | 276.98 ± 14.44 | 0.26 ± 0.02 | 3.98 ± 0.27 | 0.02 ± 0.003 | 189.09 ± 50.65 | 0.45 ± 0.09 | 4.37 ± 0.08 | 0.03 ± 0.0 | 179.9 ± 4.61 | 1.27 ± 0.009 | 1.23 ± 0.11 | 0.02 ± 0.0 | 251.26 ± 12.06 | 0.60 ± 0.01 |
| 12 h P-C | 5.74 ± 0.27 | 0.06 ± 0.002 | 222.36 ± 5.35 | 1.80 ± 0.06 | 7.06 ± 0.21 | 0.05 ± 0.001 | 177.30 ± 5.28 | 1.58 ± 0.02 | 7.33 ± 0.11 | 0.06 ± 0.0 | 186.89 ± 3.32 | 2.20 ± 0.005 | 6.93 ± 0.05 | 0.05 ± 0.0 | 141.79 ± 1.86 | 1.77 ± 0.0 |
| 12 h P + D | 1.91 ± 0.4 | 0.03 ± 0.003 | 455.83 ± 59.29 | 1.01 ± 0.1 | 4.45 ± 0.57 | 0.03 ± 0.002 | 120.27 ± 22.9 | 0.82 ± 0.07 | 5.81 ± 0.1 | 0.09 ± 0.0 | 274.71 ± 1.91 | 3.22 ± 0.002 | 0.82 ± 0.10 | 0.01 ± 0.00 | 283.92 ± 11.22 | 0.53 ± 0.0 |
| 24 h P-C | 5.60 ± 0.08 | 0.06 ± 0.001 | 225.62 ± 2.43 | 2.16 ± 0.04 | 5.94 ± 0.17 | 0.04 ± 0.001 | 152.97 ± 2.71 | 1.34 ± 0.03 | 4.29 ± 0.06 | 0.03 ± 0.0 | 180.08 ± 2.98 | 1.24 ± 0.002 | 3.7 ± 0.12 | 0.04 ± 0.0 | 230.49 ± 5.62 | 1.50 ± 0.0 |
| 24 h P + D | 6.61 ± 0.2 | 0 | 42.29 ± 10.48 | 1.19 ± 0.07 | 2.25 ± 0.56 | 0.06 ± 0.003 | 348.87 ± 30.85 | 1.97 ± 0.09 | 4.69 ± 0.66 | 0.06 ± 0.006 | 252.46 ± 7.54 | 2.03 ± 0.194 | 3.77 ± 0.16 | 0.02 ± 0.0 | 122.83 ± 8.15 | 0.87 ± 0.01 |
| 48 h P-C | 6.40 ± 0.39 | 0.05 ± 0.005 | 177.87 ± 5.88 | 1.97 ± 0.18 | 5.87 ± 0.19 | 0.04 ± 0.002 | 140.60 ± 5.33 | 1.45 ± 0.07 | 4.86 ± 0.23 | 0.06 ± 0.002 | 246.006 ± 2.21 | 2.06 ± 0.084 | 3.48 ± 0.05 | 0.03 ± 0.0 | 173.56 ± 4.38 | 1.0. ± 0.0 |
| 48 h P + D | 1.47 ± 0.07 | 0.02 ± 0.002 | 378.49 ± 44.68 | 0.84 ± 0.08 | 3.04 ± 0.81 | 0.02 ± 0.004 | 223.71 ± 47.84 | 0.90 ± 0.13 | 2.78 ± 0.44 | 0.03 ± 0.003 | 252.18 ± 13.62 | 1.18 ± 0.120 | 3.18 ± 0.17 | 0.04 ± 0.0 | 255.87 ± 6.59 | 1.51 ± 0.0 |
Disclaimer/Publisher’s Note: The statements, opinions and data contained in all publications are solely those of the individual author(s) and contributor(s) and not of MDPI and/or the editor(s). MDPI and/or the editor(s) disclaim responsibility for any injury to people or property resulting from any ideas, methods, instructions or products referred to in the content. |
© 2023 by the authors. Licensee MDPI, Basel, Switzerland. This article is an open access article distributed under the terms and conditions of the Creative Commons Attribution (CC BY) license (https://creativecommons.org/licenses/by/4.0/).
Share and Cite
Gelaw, T.A.; Goswami, K.; Sanan-Mishra, N. Individual and Interactive Effects of Nitrogen and Phosphorus on Drought Stress Response and Recovery in Maize Seedlings. Agriculture 2023, 13, 654. https://doi.org/10.3390/agriculture13030654
Gelaw TA, Goswami K, Sanan-Mishra N. Individual and Interactive Effects of Nitrogen and Phosphorus on Drought Stress Response and Recovery in Maize Seedlings. Agriculture. 2023; 13(3):654. https://doi.org/10.3390/agriculture13030654
Chicago/Turabian StyleGelaw, Temesgen Assefa, Kavita Goswami, and Neeti Sanan-Mishra. 2023. "Individual and Interactive Effects of Nitrogen and Phosphorus on Drought Stress Response and Recovery in Maize Seedlings" Agriculture 13, no. 3: 654. https://doi.org/10.3390/agriculture13030654
APA StyleGelaw, T. A., Goswami, K., & Sanan-Mishra, N. (2023). Individual and Interactive Effects of Nitrogen and Phosphorus on Drought Stress Response and Recovery in Maize Seedlings. Agriculture, 13(3), 654. https://doi.org/10.3390/agriculture13030654

