An Effective Pyramid Neural Network Based on Graph-Related Attentions Structure for Fine-Grained Disease and Pest Identification in Intelligent Agriculture
Abstract
1. Introduction
2. Related Work
2.1. Shallow-Structure Statistical Identification Methods
2.2. Coarse-Grained Deep Learning Identification Technology
2.3. Fine-Grained Identification Technology via Graphic Structure Network
3. Fine-Grained Image Recognition via GPA-Net Model
3.1. Backbone Network Based on CSP Structure
3.2. Cross-Stage Trilinear Attention Fine-Grained Feature Learning Module (CTA)
3.3. Multilevel Pyramid Feature Module (MPF)
- (1)
- Spatial pyramid attention module
- (2)
- Channel pyramid attention module
3.4. Graph Pyramid Embedding (GPE)
- (1)
- Multilevel graphic pyramid embedding
- (2)
- Multilevel Graph Attention
3.5. Loss Function
4. Experimental Results and Analysis
4.1. Datasets and Implementation Settings
4.2. Experimental Results
4.3. Ablation Experiment Analysis
5. Conclusions
Author Contributions
Funding
Institutional Review Board Statement
Informed Consent Statement
Data Availability Statement
Conflicts of Interest
References
- Kong, J.; Wang, H.; Yang, C.; Jin, X.; Zuo, M.; Zhang, X. Fine-grained pests & diseases recognition via Spatial Feature-enhanced attention architecture with high-order pooling representation for precision agriculture practice. Agriculture 2022, 2022, 1592804. [Google Scholar]
- Zheng, Y.-Y.; Kong, J.-L.; Jin, X.-B.; Wang, X.-Y.; Su, T.-L.; Zuo, M. CropDeep: The Crop Vision Dataset for Deep-Learning-Based Classification and Detection in Precision Agriculture. Sensors 2019, 19, 1058. [Google Scholar] [CrossRef] [PubMed]
- Jin, X.-B.; Wang, Z.-Y.; Kong, J.-L.; Bai, Y.-T.; Su, T.-L.; Ma, H.-J.; Chakrabarti, P. Deep Spatio-Temporal Graph Network with Self-Optimization for Air Quality Prediction. Entropy 2023, 25, 247. [Google Scholar] [CrossRef] [PubMed]
- Jin, X.-B.; Wang, Z.-Y.; Gong, W.-T.; Kong, J.-L.; Bai, Y.-T.; Su, T.-L.; Ma, H.-J.; Chakrabarti, P. Variational Bayesian Network with Information Interpretability Filtering for Air Quality Forecasting. Mathematics 2023, 11, 837. [Google Scholar] [CrossRef]
- Lu, J.; Tan, L.; Jiang, H. Review on Convolutional Neural Network (CNN) Applied to Plant Leaf Disease Classification. Agriculture 2021, 11, 707. [Google Scholar] [CrossRef]
- Kong, J.; Yang, C.; Wang, J.; Wang, X.; Zuo, M.; Jin, X.; Lin, S. Deep-stacking network approach by multisource data mining for hazardous risk identification in IoT-based intelligent food management systems. Comput. Intell. Neurosci. 2021, 2021, 1194565. [Google Scholar] [CrossRef]
- Jin, X.-B.; Gong, W.-T.; Kong, J.-L.; Bai, Y.-T.; Su, T.-L. A Variational Bayesian Deep Network with Data Self-Screening Layer for Massive Time-Series Data Forecasting. Entropy 2022, 24, 335. [Google Scholar] [CrossRef]
- Mishra, P.; Polder, G.; Vilfan, N. Close range spectral imaging for disease detection in plants using autonomous platforms: A review on recent studies. Curr. Robot. Rep. 2020, 1, 43–48. [Google Scholar] [CrossRef]
- Cai, W.; Liu, B.; Wei, Z.; Li, M.; Kan, J. TARDB-Net: Triple-attention guided residual dense and BiLSTM networks for hyperspectral image classification. Multimed. Tools Appl. 2021, 80, 11291–11312. [Google Scholar] [CrossRef]
- Cai, W.; Wei, Z. Remote Sensing Image Classification Based on a Cross-Attention Mechanism and Graph Convolution. IEEE Geosci. Remote Sens. Lett. 2020, 19, 1–5. [Google Scholar] [CrossRef]
- Kong, J.; Yang, C.; Xiao, Y.; Lin, S.; Ma, K.; Zhu, Q. A Graph-related high-order neural network architecture via feature aggregation enhancement for identify application of diseases and pests. Comput. Intell. Neurosci. 2022, 2022, 4391491. [Google Scholar] [CrossRef] [PubMed]
- Jin, X.-B.; Zheng, W.-Z.; Kong, J.-L.; Wang, X.-Y.; Zuo, M.; Zhang, Q.-C.; Lin, S. Deep-learning temporal predictor via bidirectional self-attentive encoder–decoder framework for IOT-based environmental sensing in intelligent greenhouse. Agriculture 2021, 11, 802. [Google Scholar] [CrossRef]
- Jin, X.-B.; Gong, W.-T.; Kong, J.-L.; Bai, Y.-T.; Su, T.-L. PFVAE: A Planar Flow-Based Variational Auto-Encoder Prediction Model for Time Series Data. Mathematics 2022, 10, 610. [Google Scholar] [CrossRef]
- Voulodimos, A.; Doulamis, N.; Doulamis, A.; Protopapadakis, E. Deep learning for computer vision: A brief review. Comput. Intell. Neurosci. 2018, 2018, 7068349. [Google Scholar] [CrossRef]
- Jin, X.; Zhang, J.; Kong, J.; Su, T.; Bai, Y. A Reversible Automatic Selection Normalization (RASN) Deep Network for Predicting in the Smart Agriculture System. Agronomy 2022, 12, 591. [Google Scholar] [CrossRef]
- Dawei, W.; Limiao, D.; Jiangong, N.; Jiyue, G.; Hongfei, Z.; Zhongzhi, H. Recognition Pest by Image-Based Transfer Learning. J. Sci. Food Agric. 2019, 99, 4524–4531. [Google Scholar] [CrossRef]
- Kong, J.; Wang, H.; Wang, X.; Jin, X.; Fang, X.; Lin, S. Multi-stream hybrid architecture based on cross-level fusion strategy for fine-grained crop species recognition in precision agriculture. Comput. Electron. Agric. 2021, 185, 106134. [Google Scholar] [CrossRef]
- Kong, J.; Wang, H.; Yang, C.; Jin, X.; Zuo, M.; Zhang, X. A Spatial Feature-Enhanced Attention Neural Network with High-Order Pooling Representation for Application in Pest and Disease Recognition. Agriculture 2022, 12, 500. [Google Scholar] [CrossRef]
- Kute, R.S.; Vyas, V.; Anuse, A. Component-Based Face Recognition under Transfer Learning for Forensic Applications. Inf. Sci. 2019, 476, 176–191. [Google Scholar] [CrossRef]
- Liao, W.X.; He, P.; Hao, J.; Wang, X.Y.; Yang, R.L.; An, D.; Cui, L.G. Automatic Identification of Breast Ultrasound Image Based on Supervised Block-Based Region Segmentation Algorithm and Features Combination Migration Deep Learning Model. IEEE J. Biomed. Health Inform. 2022, 24, 984–993. [Google Scholar] [CrossRef]
- Anagnostis, A.; Asiminari, G.; Papageorgiou, E.; Bochtis, D. A Convolutional Neural Networks Based Method for Anthracnose Infected Walnut Tree Leaves Identification. Appl. Sci. 2022, 10, 469. [Google Scholar] [CrossRef]
- Anagnostis, A.; Tagarakis, A.C.; Asiminari, G.; Papageorgiou, E.; Kateris, D.; Moshou, D.; Bochtis, D. A deep learning approach for anthracnose infected trees classification in walnut orchards. Comput. Electron. Agric. 2021, 182, 105998. [Google Scholar] [CrossRef]
- Ji, R.; Wen, L.; Zhang, L.; Du, D.; Wu, Y.; Zhao, C.; Liu, X.; Huang, F. Attention Convolutional Binary Neural Tree for Fine-Grained Visual Categorization. In Proceedings of the 2020 Computer Vision and Pattern Recognition (CVPR), Seattle, WA, USA, 13–19 June 2020; pp. 10468–10477. [Google Scholar]
- XWu, X.; Zhan, C.; Lai, Y.-K.; Cheng, M.-M.; Yang, J. Ip102: A Large-Scale Benchmark Dataset for Insect Pest Recognition. In Proceedings of the 2019 Computer Vision and Pattern Recognition (CVPR), Long Beach, CA, USA, 16–20 June 2019; IEEE: Piscataway, NJ, USA, 2019; pp. 8787–8796. [Google Scholar]
- Islam, M.; Anh, D.; Wahid, K.; Bhowmik, P. Detection of potato diseases using image segmentation and multiclass support vector machine. In Proceedings of the 2017 IEEE 30th Canadian Conference on Electrical and Computer Engineering (CCECE), Windsor, ON, Canada, 30 April–3 May 2017; pp. 1–4. [Google Scholar]
- Mwebaze, E.; Gebru, T.; Frome, A.; Nsumba, S.; Tusubira, J. iCassava 2019 fine-grained visual categorization challenge. arXiv 2019, arXiv:1908.02900. [Google Scholar]
- Qin, F.; Liu, D.; Sun, B.; Ruan, L.; Ma, Z.; Wang, H. Identification of alfalfa leaf diseases using image recognition technology. PLoS ONE 2016, 11, e0168274. [Google Scholar] [CrossRef] [PubMed]
- Kumar, S.; Sharma, B.; Sharma, V.K.; Sharma, H.; Bansal, J.C. Plant leaf disease identification using exponential spider monkey optimization. Sustain. Comput. Informatics Syst. 2018, 28, 100283. [Google Scholar] [CrossRef]
- Vetal, S.; Khule, R.S. Tomato Plant Disease Detection using Image Processing. IJARCCE 2017, 6, 293–297. [Google Scholar] [CrossRef]
- Turkoglu, M.; Yanikoğlu, B.; Hanbay, D. PlantDiseaseNet: Convolutional neural network ensemble for plant disease and pest detection. Signal Image Video Process. 2023, 16, 301–309. [Google Scholar] [CrossRef]
- Krizhevsky, A.; Sutskever, I.; Hinton, G.E. ImageNet Classification with Deep Convolutional Neural Networks. Adv. Neural Inf. Process. Syst. 2012, 25, 1097–1105. [Google Scholar] [CrossRef]
- Simonyan, K.; Zisserman, A. Very Deep Convolutional Networks for Large-Scale Image Recognition. Int. Conf. Learn. Represent 2015, 5048–5057. [Google Scholar] [CrossRef]
- He, K.; Zhang, X.; Ren, S.; Sun, J. Deep residual learning for image recognition. In Proceedings of the IEEE Conference on Computer Vision and Pattern Recognition, Las Vegas, NV, USA, 26 June–1 July 2016; pp. 770–778. [Google Scholar]
- Szegedy, C.; Vanhoucke, V.; Ioffe, S.; Shlens, J.; Wojna, Z. Rethinking the Inception Architecture for Computer Vision. In Proceedings of the IEEE Conference on Computer Vision and Pattern Recognition, Las Vegas, NV, USA, 26 June–1 July 2016; pp. 2818–2826. [Google Scholar]
- Chen, J.-W.; Lin, W.-J.; Cheng, H.-J.; Hung, C.-L.; Lin, C.-Y.; Chen, S.-P. A smartphone-based application for scale pest detection using multiple-object detection methods. Electronics 2021, 10, 372. [Google Scholar] [CrossRef]
- Thenmozhi, K.; Reddy, U.S. Crop pest classification based on deep convolutional neural network and transfer learning. Comput. Electron. Agric. 2019, 164, 104906. [Google Scholar] [CrossRef]
- Li, Y.; Wang, H.; Dang, L.M.; Sadeghi-Niaraki, A.; Moon, H. Crop pest recognition in natural scenes using convolutional neural networks. Comput. Electron. Agric. 2020, 169, 105174. [Google Scholar] [CrossRef]
- Liu, Y.; Zhang, X.; Gao, Y.; Qu, T.; Shi, Y. Improved CNN Method for Crop Pest Identification Based on Transfer Learning. Comput. Intell. Neurosci. 2022, 2022, 9709648. [Google Scholar] [CrossRef] [PubMed]
- Park, Y.-H.; Choi, S.H.; Kwon, Y.-J.; Kwon, S.-W.; Kang, Y.J.; Jun, T.-H. Detection of Soybean Insect Pest and a Forecasting Platform Using Deep Learning with Unmanned Ground Vehicles. Agronomy 2023, 13, 477. [Google Scholar] [CrossRef]
- Chen, J.; Chen, J.; Zhang, D.; Sun, Y.; Nanehkaran, Y.A. Using deep transfer learning for image-based plant disease identification. Comput. Electron. Agric. 2020, 173, 105393. [Google Scholar] [CrossRef]
- Zhang, S.; Zhang, S.; Zhang, C.; Wang, X.; Shi, Y. Cucumber leaf disease identification with global pooling dilated convolutional neural network. Comput. Electron. Agric. 2019, 162, 422–430. [Google Scholar] [CrossRef]
- Zhang, W.; Huang, H.; Sun, Y.; Wu, X. AgriPest-YOLO: A rapid light-trap agricultural pest detection method based on deep learning. Front. Plant Sci. 2022, 2022, 1079384. [Google Scholar] [CrossRef]
- Zhou, M.; Bai, Y.; Zhang, W.; Zhao, T.; Mei, T. Look-into-object: Self-supervised structure modeling for object recognition. In Proceedings of the Proceedings of the IEEE/CVF Conference on Computer Vision and Pattern Recognition, Seattle, WA, USA, 13–19 June 2020; pp. 11774–11783. [Google Scholar]
- Ding, Y.; Ma, Z.; Wen, S.; Xie, J.; Chang, D.; Si, Z.; Wu, M.; Ling, H. AP-CNN: Weakly supervised attention pyramid convolutional neural network for fine-grained visual classification. IEEE Trans. Image Process. 2021, 30, 2826–2836. [Google Scholar] [CrossRef]
- Song, J.; Yang, R. Feature Boosting, Suppression, and Diversification for Fine-Grained Visual Classification. arXiv 2021, arXiv:2103.02782. [Google Scholar]
- Ye, Y.; Huang, Q.; Rong, Y.; Yu, X.; Liang, W.; Chen, Y.; Xiong, S. Field detection of small pests through stochastic gradient descent with genetic algorithm. Comput. Electron. Agric. 2023, 206, 107694. [Google Scholar] [CrossRef]
- Yang, B.; Pan, H.; Yu, J.; Han, K.; Wang, Y. Classification of Medical Images with Synergic Graph Convolutional Networks. In Proceedings of the 2019 IEEE 35th International Conference on Data Engineering Workshops (ICDEW), Macao, China, 8–12 April 2019; pp. 253–258. [Google Scholar]
- Ruiz, L.; Gama, F.; Ribeiro, A. Gated Graph Recurrent Neural Networks. IEEE Trans. Signal Process. 2020, 68, 6303–6318. [Google Scholar] [CrossRef]
- Zhang, T.; Liu, B.; Niu, D.; Lai, K.; Xu, Y. Multiresolution Graph Attention Networks for Relevance Matching. In Proceedings of the 27th ACM International Conference on Information and Knowledge Management, Beijing, China, 3–7 November 2019; pp. 933–942. [Google Scholar]
- Wang, Z.; Wang, S.; Li, H.; Dou, Z.; Li, J. Graph-Propagation Based Correlation Learning for Weakly Supervised Fine-Grained Image Classification. In Proceedings of the AAAI Conference on Artificial Intelligence, New York, NY, USA, 7–12 February 2020; Volume 34, pp. 12289–12296. [Google Scholar]
- Zhao, Y.; Yan, K.; Huang, F.; Li, J. Graph-based high-order relation discovery for fine-grained recognition. In Proceedings of the IEEE/CVF Conference on Computer Vision and Pattern Recognition, Nashville, TN, USA, 19–25 June 2021; pp. 15079–15088. [Google Scholar]
- Wang, X.; Zhu, M.; Bo, D.; Cui, P.; Shi, C.; Pei, J. Am-gcn: Adaptive multi-channel graph convolutional networks. In Proceedings of the 26th ACM SIGKDD International Conference on Knowledge Discovery & Data Mining, Virtual Event, CA, USA, 6–10 July 2020; pp. 1243–1253. [Google Scholar]
- Wang, X.; Liu, H.; Shi, C.; Yang, C. Be Confident! Towards Trustworthy Graph Neural Networks via Confidence Calibration. Adv. Neural Inf. Process. Syst. 2021, 34, 23768–23779. [Google Scholar]
- Wang, C.Y.; Liao, H.Y.M.; Wu, Y.H.; Chen, P.Y.; Hsieh, J.W.; Yeh, I.H. Cspnet: A New Backbone That Can Enhance Learning Capability of Cnn. In Proceedings of the IEEE/CVF Conference on Computer Vision and Pattern Recognition Workshops, Seattle, WA, USA, 13–19 June 2020; pp. 390–391. [Google Scholar]
- Huang, G.; Liu, Z.; Van Der Maaten, L.; Weinberger, K.Q. Densely connected convolutional networks. In Proceedings of the IEEE Conference on Computer Vision and Pattern Recognition, Honolulu, Hawaii, 21–26 July 2017; pp. 4700–4708. [Google Scholar]
- Hu, J.; Shen, L.; Sun, G. Squeeze-and-excitation networks. In Proceedings of the IEEE Conference on Computer Vision and Pattern Recognition, Salt Lake, UT, USA, 18–22 June 2018; pp. 7132–7141. [Google Scholar]
- Zhuang, P.; Wang, Y.; Qiao, Y. Learning Attentive Pairwise Interaction for Fine-Grained Classification. In Proceedings of the AAAI Conference on Artificial Intelligence, New York, NY, USA, 7–12 February 2020; Volume 34, pp. 13130–13137. [Google Scholar]
- Kong, J.-L.; Fan, X.-M.; Jin, X.-B.; Su, T.-L.; Bai, Y.-T.; Ma, H.-J.; Zuo, M. BMAE-Net: A Data-Driven Weather Prediction Network for Smart Agriculture. Agronomy 2023, 13, 625. [Google Scholar] [CrossRef]
- Cai, W.; Gao, M.; Jiang, Y.; Gu, X.; Ning, X.; Qian, P.; Ni, T. Hierarchical Domain Adaptation Projective Dictionary Pair Learning Model for EEG Classification in IoMT Systems. IEEE Trans. Comput. Soc. Syst. 2022, 1–9. [Google Scholar] [CrossRef]










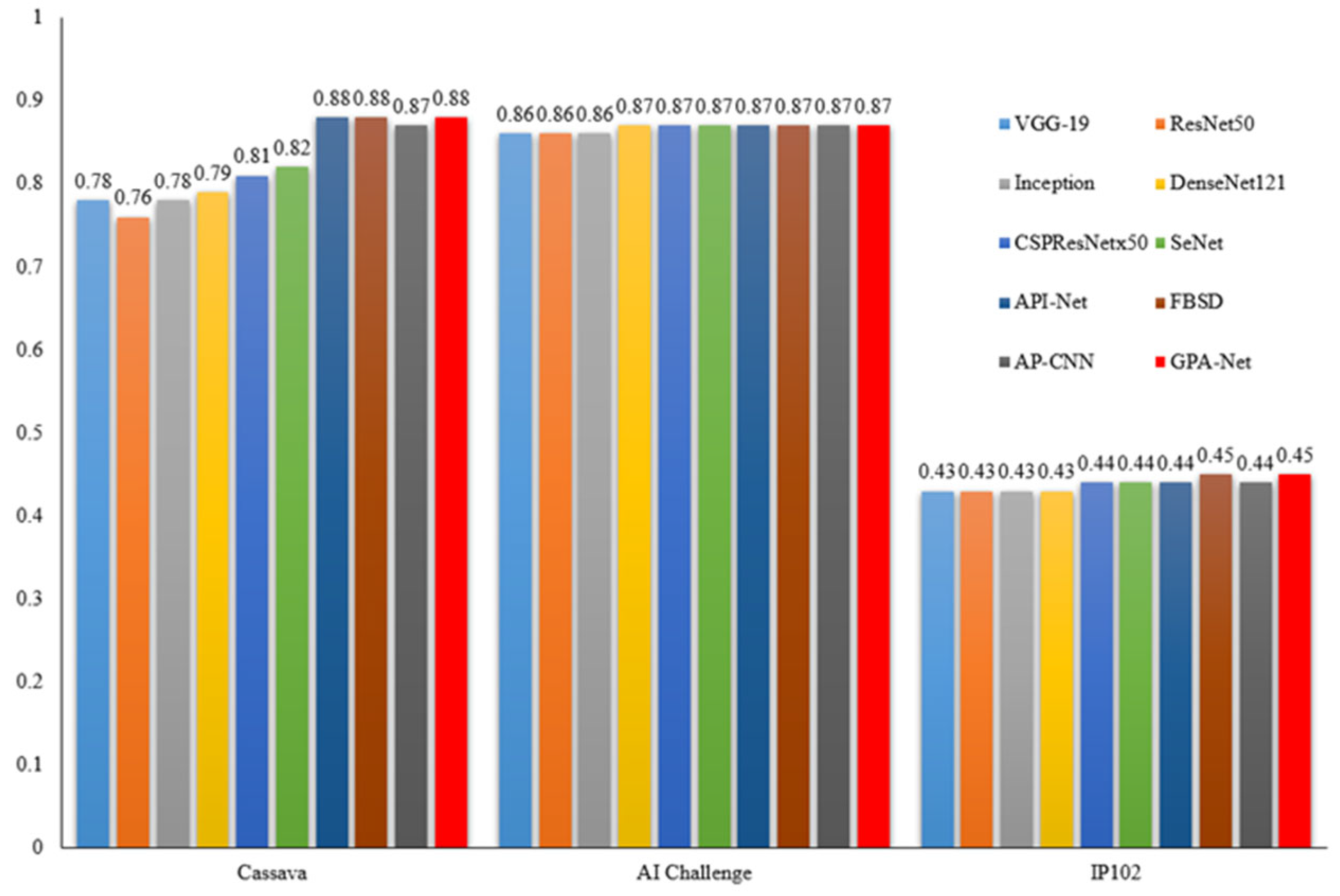
| Model Classification | Method | Accuracy (%) | Precision (%) | Recall (%) | F1 | Parameter Amount (M) |
|---|---|---|---|---|---|---|
| Coarse-grained | VGG-19 [32] | 88.0 | 79.0 | 77.8 | 0.78 | 544.3 |
| ResNet-50 [33] | 89.7 | 77.0 | 74.5 | 0.76 | 98.4 | |
| Inception [34] | 88.5 | 79.3 | 78.2 | 0.78 | 80.1 | |
| DenseNet121 [55] | 89.1 | 79.6 | 78.4 | 0.79 | 88.1 | |
| CSPResNetx50 [54] | 92.3 | 80.1 | 80.1 | 0.81 | 87.9 | |
| SeNet [56] | 94.5 | 84.3 | 80.2 | 0.82 | 90.2 | |
| Fine-grained | API-Net [57] | 98.5 | 88.3 | 86.6 | 0.88 | 143.6 |
| FBSD [45] | 98.4 | 88.4 | 87.2 | 0.88 | 164.7 | |
| AP-CNN [44] | 98.6 | 87.2 | 86.5 | 0.87 | 103.2 | |
| GPA-Net | 99.0 | 88.6 | 87.4 | 0.88 | 91.3 |
| Model Classification | Method | Accuracy (%) | Precision (%) | Recall (%) | F1 | Parameter Amount (M) |
|---|---|---|---|---|---|---|
| Coarse-grained | VGG-19 [32] | 94.1 | 86.2 | 85.7 | 0.78 | 543.6 |
| ResNet-50 [33] | 94.5 | 86.4 | 85.8 | 0.76 | 96.1 | |
| Inception [34] | 95.0 | 86.9 | 86.0 | 0.78 | 72.3 | |
| DenseNet121 [55] | 95.3 | 86.8 | 86.3 | 0.79 | 90.1 | |
| CSPResNetx50 [54] | 95.6 | 86.9 | 86.3 | 0.81 | 110.4 | |
| SeNet [56] | 95.8 | 86.9 | 86.2 | 0.82 | 112.3 | |
| Fine-grained | API-Net [57] | 95.9 | 87.0 | 86.1 | 0.87 | 157.5 |
| FBSD [45] | 96.2 | 87.1 | 86.3 | 0.87 | 178.3 | |
| AP-CNN [44] | 96.4 | 87.3 | 86.4 | 0.87 | 135.6 | |
| GPA-Net | 97.0 | 87.5 | 86.9 | 0.87 | 98.6 |
| Model Classification | Method | Accuracy (%) | Precision (%) | Recall (%) | F1 | Parameter Amount (M) |
|---|---|---|---|---|---|---|
| Coarse-grained | VGG-19 [32] | 54.1 | 43.1 | 42.0 | 0.43 | 548.1 |
| ResNet-50 [33] | 54.7 | 43.4 | 42.1 | 0.43 | 99.4 | |
| Inception [34] | 55.3 | 43.4 | 42.3 | 0.43 | 96.9 | |
| DenseNet121 [55] | 55.4 | 43.6 | 42.4 | 0.43 | 91.4 | |
| CSPResNetx50 [54] | 55.6 | 43.9 | 42.4 | 0.44 | 114.9 | |
| SeNet [56] | 54.3 | 45.1 | 42.6 | 0.44 | 114.3 | |
| Fine-grained | API-Net [57] | 56.9 | 45.4 | 42.9 | 0.44 | 160.7 |
| FBSD [45] | 54.8 | 45.6 | 43.3 | 0.45 | 180.2 | |
| AP-CNN [44] | 56.4 | 45.4 | 43.1 | 0.44 | 139.4 | |
| GPA-Net | 56.9 | 45.9 | 43.8 | 0.45 | 97.3 |
| Method | Cassava Leaves | AI Challenger | IP102 |
|---|---|---|---|
| CSP | 92.3 | 95.6 | 55.6 |
| CSP + CTA | 95.5 | 96.1 | 56.5 |
| CSP + MPF | 96.9 | 96.0 | 56.2 |
| CSP + CTA + MPF | 97.8 | 96.6 | 57.5 |
| CSP + CTA + MPF + GPE | 99.0 | 97.0 | 56.9 |
Disclaimer/Publisher’s Note: The statements, opinions and data contained in all publications are solely those of the individual author(s) and contributor(s) and not of MDPI and/or the editor(s). MDPI and/or the editor(s) disclaim responsibility for any injury to people or property resulting from any ideas, methods, instructions or products referred to in the content. |
© 2023 by the authors. Licensee MDPI, Basel, Switzerland. This article is an open access article distributed under the terms and conditions of the Creative Commons Attribution (CC BY) license (https://creativecommons.org/licenses/by/4.0/).
Share and Cite
Lin, S.; Xiu, Y.; Kong, J.; Yang, C.; Zhao, C. An Effective Pyramid Neural Network Based on Graph-Related Attentions Structure for Fine-Grained Disease and Pest Identification in Intelligent Agriculture. Agriculture 2023, 13, 567. https://doi.org/10.3390/agriculture13030567
Lin S, Xiu Y, Kong J, Yang C, Zhao C. An Effective Pyramid Neural Network Based on Graph-Related Attentions Structure for Fine-Grained Disease and Pest Identification in Intelligent Agriculture. Agriculture. 2023; 13(3):567. https://doi.org/10.3390/agriculture13030567
Chicago/Turabian StyleLin, Sen, Yucheng Xiu, Jianlei Kong, Chengcai Yang, and Chunjiang Zhao. 2023. "An Effective Pyramid Neural Network Based on Graph-Related Attentions Structure for Fine-Grained Disease and Pest Identification in Intelligent Agriculture" Agriculture 13, no. 3: 567. https://doi.org/10.3390/agriculture13030567
APA StyleLin, S., Xiu, Y., Kong, J., Yang, C., & Zhao, C. (2023). An Effective Pyramid Neural Network Based on Graph-Related Attentions Structure for Fine-Grained Disease and Pest Identification in Intelligent Agriculture. Agriculture, 13(3), 567. https://doi.org/10.3390/agriculture13030567

