Increased Soil Aggregate Stability by Altering Contents and Chemical Composition of Organic Carbon Fractions via Seven Years of Manure Addition in Mollisols
Abstract
1. Introduction
2. Materials and Methods
2.1. Experimental Platform
2.2. Soil Sampling
2.3. Procedure of Soil Aggregate Classification
2.4. Measurements of Soil Chemicals and Physical Properties
2.5. Data Calculation
2.6. Fourier Transform Infrared Spectroscopy Analysis
2.7. Statistical Analysis
3. Results
3.1. The Contents of SOC and Labile OC Fractions in Bulk Mollisols
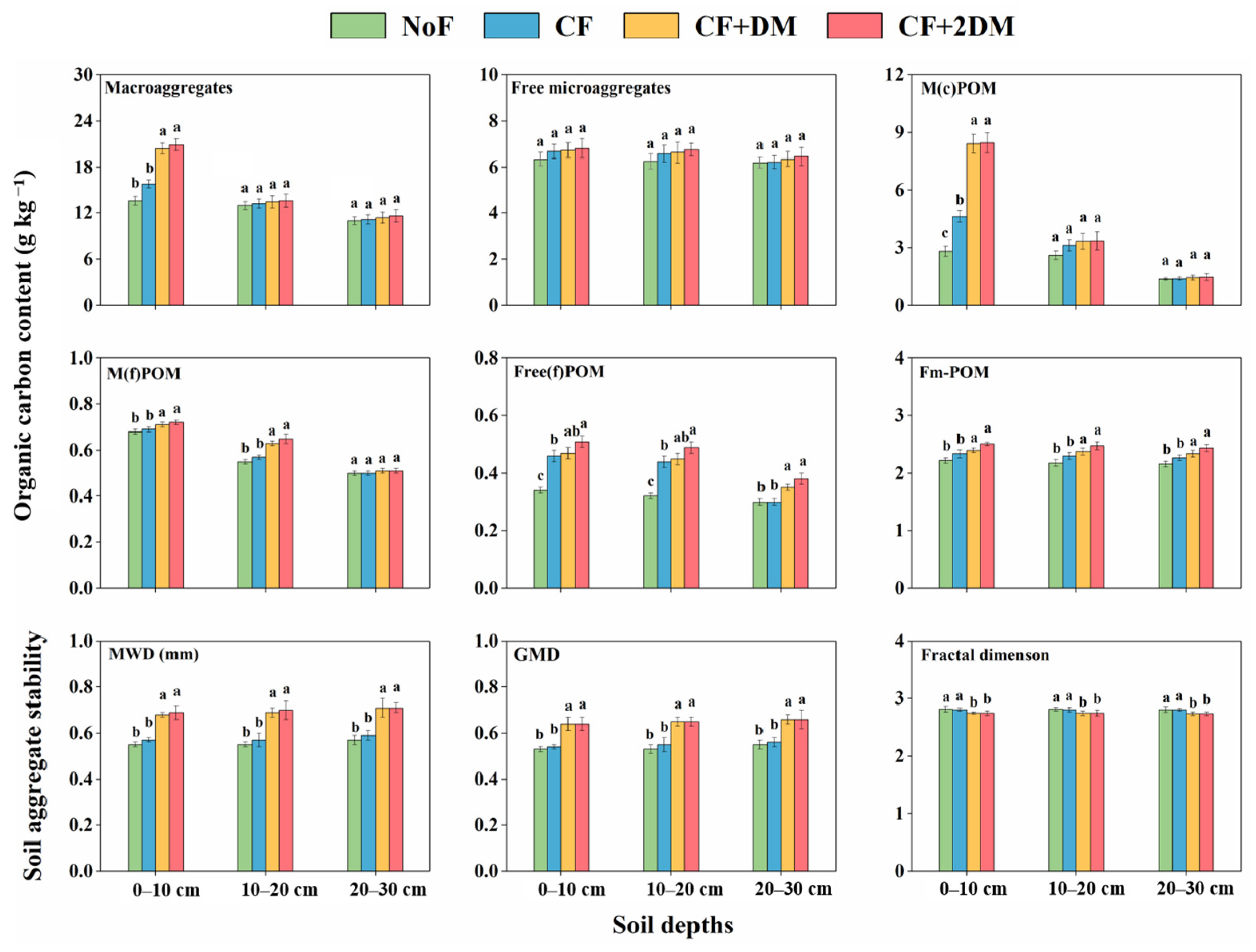
3.2. The Contents of OC Fractions within Soil Aggregates and Soil Aggregate Stability
3.3. Size Distribution within Soil Aggregates
3.4. Chemical Composition in Various OC Fractions on Account of FTIR Spectroscopy
3.5. Crop Yield
3.6. PCA and Correlation Analysis
4. Discussion
4.1. Fertilization Practices Related to Variation in the Contents of SOC and Labile OC Fractions
4.2. Responses of Fertilization on OC Fractions within Soil Aggregates and Aggregate Stability
4.3. Fertilization Practices Induced Differences in Infrared Spectroscopy
4.4. Selection of Appropriate Fertilization Management
5. Conclusions
Supplementary Materials
Author Contributions
Funding
Institutional Review Board Statement
Data Availability Statement
Conflicts of Interest
References
- Lehmann, J.; Kleber, M. The contentious nature of soil organic matter. Nature 2015, 528, 60–68. [Google Scholar] [CrossRef] [PubMed]
- Zhou, M.; Liu, C.; Wang, J.; Meng, Q.; Yuan, Y.; Ma, X.; Liu, X.; Zhu, Y.; Ding, G.; Zhang, J.; et al. Soil aggregate stability and storage of soil organic carbon respond to cropping systems on Black Soils of Northeast China. Sci. Rep. 2020, 10, 265. [Google Scholar] [CrossRef]
- Zhou, M.; Xiao, Y.; Li, Y.; Zhang, X.; Wang, G.; Jin, J.; Ding, G.; Liu, X.B. Soil quality index evaluation model in responses to six-year fertilization practices in Mollisols. Arch. Agron. Soil Sci. 2020, 68, 180–194. [Google Scholar] [CrossRef]
- Wang, Y.; Gao, F.; Wang, L.; Guo, T.; Qi, L.; Zeng, H.; Liang, Y.; Zhang, K.; Jia, Z.; Zhang, R. Crop yield and soil organic carbon under ridge-furrow cultivation in China: A meta-analysis. Land Degrad. Dev. 2021, 32, 2978–2991. [Google Scholar] [CrossRef]
- Somasundaram, J.; Reeves, S.; Wang, W.J.; Heenan, M.; Dalal, R. Impact of 47 years of no tillage and stubble retention on soil aggregation and carbon distribution in a Vertisol. Land Degrad. Dev. 2017, 28, 1589–1602. [Google Scholar] [CrossRef]
- Cooper, J.M.; Burton, D.; Daniell, T.J.; Griffiffiffiths, B.S.; Zebarth, B.J. Carbon mineralization kinetics and soil biological characteristics as influenced by manure addition in soil incubated at a range of temperatures. Eur. J. Soil Biol. 2011, 47, 392–399. [Google Scholar] [CrossRef]
- Chai, Y.; Zeng, X.E.S.; Che, Z.; Bai, L.; Su, S.; Wang, Y. The stability mechanism for organic carbon of aggregate fractions in the irrigated desert soil based on the long-term fertilizer experiment of China. Catena 2019, 173, 312–320. [Google Scholar] [CrossRef]
- Xiao, L.; Sun, Q.; Yuan, H.; Lian, B. A practical soil management to improve soil quality by applying mineral organic fertilizer. Acta Geochim. 2017, 36, 198–204. [Google Scholar] [CrossRef]
- Singh, M.; Sarkar, B.; Hussain, S.; Ok, Y.S.; Bolan, N.S.; Churchman, G.J. Correction to: Influence of physico-chemical properties of soil clay fractions on the retention of dissolved organic carbon. Environ. Geochem. Health 2018, 40, 563. [Google Scholar] [CrossRef]
- Dormaar, J.F.; Lindwall, C.W.; Kozub, G.C. Effectiveness of manure and commercial fertilizer in restoring productivity of an artificially eroded dark brown chernozemic soil under dryland conditions. Can. J. Soil. Sci. 1988, 68, 669–679. [Google Scholar] [CrossRef]
- Li, T.; Zhang, Y.; Bei, S.; Li, X.; Reinsch, S.; Zhang, H.; Zhang, J. Contrasting impacts of manure and inorganic fertilizer applications for nine years on soil organic carbon and its labile fractions in bulk soil and soil aggregates. Catena 2020, 194, 104739. [Google Scholar] [CrossRef]
- Fan, J.; Ding, W.; Xiang, J.; Qin, S.; Zhang, J.; Ziadi, N. Carbon sequestration in an intensively cultivated sandy loam soil in the North China Plain as affected by compost and inorganic fertilizer application. Geoderma 2014, 230–231, 22–28. [Google Scholar] [CrossRef]
- Sun, L.; Xiao, L.; Xiao, B.; Wang, W.; Pan, C.; Wang, F.; Lian, B. Differences in the gene expressive quantities of carbonic anhydrase and cysteine synthase in the weathering of potassium-bearing minerals by Aspergillus niger. Sci. China Earth Sci. 2013, 56, 2135–2140. [Google Scholar] [CrossRef]
- Liu, X.; Zhang, Y.; Han, W.; Tang, A.; Shen, J.; Cui, Z.; Vitousek, P.; Erisman, J.W.; Goulding, K.; Christie, P. Enhanced nitrogen deposition over China. Nature 2013, 494, 459. [Google Scholar] [CrossRef]
- Luan, H.; Gao, W.; Huang, S.; Tang, J.; Li, M.; Zhang, H.; Chen, X. Partial substitution of chemical fertilizer with organic amendments affects soil organic carbon composition and stability in a greenhouse vegetable production system. Soil Tillage Res. 2019, 191, 185–196. [Google Scholar] [CrossRef]
- Lehmann, J.; Hansel, C.M.; Kaiser, C.; Kleber, M.; Maher, K.; Manzoni, S.; Nunan, N.; Reichstein, M.; Schime, J.P.; Torn, M.S.; et al. Persistence of soil organic carbon caused by functional complexity. Nat. Geosci. 2020, 13, 529–534. [Google Scholar] [CrossRef]
- Wang, H.; Xu, J.; Liu, X.; Zhang, D.; Li, L.; Li, W.; Sheng, L. Effects of long-term application of organic fertilizer on improving organic matter content and retarding acidity in red soil from China. Soil Tillage Res. 2019, 195, 104382. [Google Scholar] [CrossRef]
- Li, J.; Li, F.; Li, W.; Chen, S.; Abbott, L.K.; Knops, J.M.H. Nitrogen additions promote decomposition of soil organic carbon in a Tibetan alpine meadow. Soil Sci. Soc. Am. J. 2018, 82, 614. [Google Scholar] [CrossRef]
- Jílková, V.; Jandová, K.; Cajthaml, T.; Devetter, M.; Kukla, J.; Starý, J.; Vacířová, A. Organic matter decomposition and carbon content in soil fractions as affected by a gradient of labile carbon input to a temperate forest soil. Biol. Fertil. Soils 2020, 56, 411–421. [Google Scholar] [CrossRef]
- Imran, A. Integration of peach (Prunus persica L.) remnants in combination with beneficial microbes and phosphorus differ phosphorus use efficiency, agronomic efficiency and partial factor productivity in soybean Vs maize crops. J. Plant Nutr. 2022. [Google Scholar] [CrossRef]
- Jastrow, J.D.; Amonette, J.E.; Bailey, V.L. Mechanisms controlling soil carbon turnover and their potential application for enhancing carbon sequestration. Clim. Change 2007, 80, 5–23. [Google Scholar] [CrossRef]
- Dou, X.; Cheng, X.; He, P.; Zhu, P.; Zhou, W.; Wang, L. Dynamics of physically separated soil organic carbon pools assessed from δ13C changes under 25 years of cropping systems. Soil Tillage Res. 2017, 174, 6–13. [Google Scholar] [CrossRef]
- Wang, J.; Wang, K.; Wang, X.; Ai, Y.; Zhang, Y.; Yu, J. Carbon sequestration and yields with long-term use of inorganic fertilizers and organic manure in a six-crop rotation system. Nutr. Cycl. Agroecosyst. 2018, 111, 87–98. [Google Scholar] [CrossRef]
- Guan, S.; An, N.; Zong, N.; He, Y.; Shi, P.; Zhang, J.; He, N. Climate warming impacts on soil organic carbon fractions and aggregate stability in a Tibetan alpine meadow. Soil Biol. Biochem. 2018, 116, 224–236. [Google Scholar] [CrossRef]
- Abiven, S.; Menasseri, S.; Chenu, C. The effects of organic inputs over time on soil aggregate stability—a literature analysis. Soil Biol. Biochem. 2009, 41, 1–12. [Google Scholar] [CrossRef]
- Xie, J.; Hou, M.; Zhou, Y.; Wang, R.; Zhang, S.; Yang, X.; Sun, B. Carbon sequestration and mineralization of aggregate-associated carbon in an intensively cultivated Anthrosol in north China as affected by long term fertilization. Geoderma 2017, 296, 1–9. [Google Scholar] [CrossRef]
- Liu, X.; Burras, C.L.; Kravchenko, Y.S.; Duran, A.; Huffman, T.; Morras, H.; Studdert, G.; Zhang, X.; Cruse, R.M.; Yuan, X. Overview of Mollisols in the world: Distribution, land use and management. Can. J. Soil Sci. 2012, 92, 383–402. [Google Scholar] [CrossRef]
- Li, Y.; Xie, Z.; Yu, Z.; Wang, Y.; Liu, C.; Wang, G.; Wu, J.; Jin, J.; Liu, X. Impact of surface soil manuring on particulate carbon fractions in relevant to nutrient stoichiometry in a Mollisol profile. Soil Tillage Res. 2020, 207, 104859. [Google Scholar] [CrossRef]
- Li, Y.; Xie, Z.; Zhou, M.; Liu, C.; Yu, Z.; Wu, J.; Jin, J.; Chen, Y.; Zhang, X.; Liu, X. Soybean yield and quality relative to Mollisols fertility with 7-yr consecutive manure application under maize-soybean rotation. Land. Degrad. Dev. 2021, 32, 4740–4754. [Google Scholar] [CrossRef]
- Soil Survey Staff. In Keys to Soil Taxonomy. United States Department of Agriculture Natural Resources Conservation Service, 11th ed.; U.S. Government Printing Office: Washington, DC, USA, 2010.
- Zhou, M.; Wang, C.; Xie, Z.; Li, Y.; Zhang, X.; Wang, G.; Jin, J.; Ding, G.; Liu, X. Humic substances and distribution in Mollisols affected by six-year organic amendments. Agron. J. 2020, 6, 4723–4740. [Google Scholar] [CrossRef]
- Sui, Y.; Jin, J.; Liu, X.; Zhang, X.; Li, Y.; Zhou, K.; Wang, G.; Di, G.; Herbert, S.J. Soil carbon sequestration and crop yield in response to application of chemical fertilizer combined with cattle manure to an artificially eroded Phaeozem. Arch. Agron. Soil Sci. 2017, 63, 1510–1522. [Google Scholar] [CrossRef]
- Bernabé, G.A.; Almeida, S.; Ribeiro, C.A.; Crespi, M.S. Evaluation of organic molecules originated during composting process. J. Therm. Anal. Calorim. 2011, 106, 773–778. [Google Scholar] [CrossRef]
- Zhou, M.; Xiao, Y.; Zhang, X.; Xiao, L.; Ding, G.; Cruse, R.M.; Liu, X. Fifteen years of conservation tillage increases soil aggregate stability by altering the contents and chemical composition of organic carbon fractions in Mollisols. Land Degrad. Dev. 2022, 33, 2932–2944. [Google Scholar] [CrossRef]
- Xing, B.; Liu, X.; Liu, J.; Han, X. Physical and chemical characteristics of a typical Mollisols in China. Commun. Soil Sci. Plant Anal. 2004, 35, 1829–1838. [Google Scholar] [CrossRef]
- Blair, G.; Lefroy, R.D.B.; Lisle, L. Soil carbon fractions based on their degree of oxidation, and the development of a carbon management index for agricultural systems. Aust. J. Agric. Res. 1995, 46, 1459–1466. [Google Scholar] [CrossRef]
- Brookes, P.C.; Landman, A.; Pruden, G.; Jenkinson, D. Chloroform fumigation and the release of soil nitrogen: A rapid direct extraction method to measure microbial biomass nitrogen in soil. Soil Biol. Biochem. 1985, 17, 837–842. [Google Scholar] [CrossRef]
- Bavel, C.H.M.V. Mean weight-diameter of soil aggregates as a statistical index of aggregation. Soil Sci. Soc. Am. J. 1950, 14, 20–23. [Google Scholar] [CrossRef]
- Kemper, W.D.; Chepil, W.S. Aggregate stability and size distributions. In Methods of Soil Analysis. Part 1. Physical and Mineralogical Properties, Including Statistics of Measurement and Sampling; American Society of Agronomy: Madison, WI, USA, 1965; pp. 499–510. [Google Scholar]
- Yang, P.L.; Luo, Y.P.; Shi, Y.C. Characterized soil fractal characteristics by weight distribution of particle size. Chin. Sci. Bull. 1993, 38, 1896–1899. [Google Scholar]
- Bhattacharyya, R.; Prakash, V.; Kundu, S.; Srivastva, A.K.; Gupta, H.S.; Mitra, S. Long term effects of fertilization on carbon and nitrogen sequestration and aggregate associated carbon and nitrogen in the Indian sub-Himalayas. Nutr. Cycl. Agroecosyst. 2010, 86, 1–16. [Google Scholar] [CrossRef]
- Zhang, D.; Yao, P.; Zhao, N.; Cao, W.; Zhang, S.; Li, Y.; Huang, D.; Zhai, B.; Wang, Z.; Gao, Y. Building up the soil carbon pool via the cultivation of green manure crops in the Loess Plateau of China. Geoderma 2019, 337, 425–433. [Google Scholar] [CrossRef]
- Li, M.; He, X.; Tang, J.; Li, X.; Zhao, R.; Tao, Y.; Wang, C.; Qiu, Z. Influence of moisture content on chicken manure stabilization during microbial agent-enhanced composting. Chemosphere 2021, 264, 128549. [Google Scholar] [CrossRef] [PubMed]
- Liang, Q.; Chen, H.; Gong, Y.; Fan, M.; Yang, H.; Lal, R.; Kuzyakov, Y. Effects of 15 years of manure and inorganic fertilizers on soil organic carbon fractions in a wheat-maize system in the North China Plain. Nutr. Cycl. Agroecosyst. 2012, 92, 21–33. [Google Scholar] [CrossRef]
- Charles, A.; Rochette, P.; Whalen, J.K.; Angers, D.A.; Chantigny, M.H.; Bertrand, N. Global nitrous oxide emission factors from agricultural soils after addition of organic amendments: A meta-analysis. Agric. Ecosyst. Environ. 2017, 236, 88–98. [Google Scholar] [CrossRef]
- Imran, A.; Abdel, R.A. Carbon assimilation and dry matter partitioning in soybean ameliorates with the integration of nano-black carbon, along with beneficial microbes and phosphorus fertilization. J. Plant Nutr. 2022, 45, 1799–1812. [Google Scholar] [CrossRef]
- Yin, Y.; Liang, C.; Pei, Z. Effect of greenhouse soil management on soil aggregation and organic matter in northeast China. Catena 2015, 133, 412–419. [Google Scholar] [CrossRef]
- Watteau, F.; Villemin, G.; Bartoli, F.; Schwartz, C.; Morel, J.L. 0–20 μm aggregate typology based on the nature of aggregative organic materials in a cultivated silty topsoil. Soil Biol. Biochem. 2012, 46, 103–114. [Google Scholar] [CrossRef]
- Cheng, X.; Luo, Y.; Xu, X.; Sherry, R.; Zhang, Q. Soil organic matter dynamics in a North America tallgrass prairie after 9 yr of experimental warming. Biogeosciences 2011, 8, 1487–1498. [Google Scholar] [CrossRef]
- Six, J.; Bossuyt, H.; Degryze, S.; Denef, K. A history of research on the link between (micro) aggregates, soil biota, and soil organic matter dynamics. Soil Tillage Res. 2004, 79, 7–31. [Google Scholar] [CrossRef]
- John, B.; Yamashita, T.; Ludwig, B.; Flessa, H. Storage of organic carbon in aggregate and density fractions of silty soils under different types of land use. Geoderma 2005, 128, 63–79. [Google Scholar] [CrossRef]
- Smith, A.P.; Marín-Spiotta, E.; de Graaff, M.A.; Balser, T.C. Microbial community structure varies across soil organic matter aggregate pools during tropical land cover change. Soil Biol. Biochem. 2014, 77, 292–303. [Google Scholar] [CrossRef]
- Nie, M.; Pendall, E.; Bell, C.; Wallenstein, M.D. Soil aggregate size distribution mediates microbial climate change feedbacks. Soil Biol. Biochem. 2014, 68, 357–365. [Google Scholar] [CrossRef]
- Zhong, X.; Li, J.; Li, X.; Ye, Y.; Liu, S.; Hallett, P.D.; Ogden, M.R.; Naveed, M. Physical protection by soil aggregates stabilizes soil organic carbon under simulated N deposition in a subtropical forest of China. Geoderma 2017, 285, 323–332. [Google Scholar] [CrossRef]
- Li, N.; Long, J.; Han, X.; Yuan, Y.; Sheng, M. Molecular characterization of soil organic carbon in water-stable aggregate fractions during the early pedogenesis from parent material of Mollisols. J. Soils Sediments 2020, 20, 1869–1880. [Google Scholar] [CrossRef]
- Conant, R.T.; Ryan, M.G.; Ågren, G.I.; Birge, H.E.; Davidson, E.A.; Eliasson, P.E.; Evans, S.E.; Frey, S.D.; Giardina, C.P.; Hopkins, F.M.; et al. Temperature and soil organic matter decomposition rates: Synthesis of current knowledge and a way forward. Glob. Change Biol. 2011, 17, 3392–3404. [Google Scholar] [CrossRef]
- Kamran, M.; Huang, L.; Nie, J.; Geng, M.; Lu, Y.; Liao, Y.; Zhou, F.; Xu, Y. Effect of reduced mineral fertilization (NPK) combined with green manure on aggregate stability and soil organic carbon fractions in a fluvo-aquic paddy soil. Soil Tillage Res. 2021, 211, 105005. [Google Scholar] [CrossRef]
- Yang, Y.; Li, T.; Wang, Y.Q.; Cheng, H.; Chang, S.X.; Liang, C.; An, S. Negative effects of multiple global change factors on soil microbial diversity. Soil Biol. Biochem. 2021, 156, 108229. [Google Scholar] [CrossRef]
- Gosling, P.; Parsons, N.; Bending, G.D. What are the primary factors controlling the light fraction and particulate soil organic matter content of agricultural soils? Biol. Fertil. Soils 2013, 49, 1001–1014. [Google Scholar] [CrossRef]
- Bhogal, A.; Nicholson, F.A.; Chambers, B.J. Organic carbon additions: Effects on soil bio-physical and physico-chemical properties. Eur. J. Soil Sci. 2009, 60, 276–286. [Google Scholar] [CrossRef]
- Yague, M.R.; Domingo-Olive, F.; Bosch-Serra, A.D.; Poch, R.M.; Boixadera, J. Dairy cattle manure effects on soil quality: Porosity, earthworms, aggregates and soil organic carbon fractions. Land Degrad. Dev. 2016, 27, 1753–1762. [Google Scholar] [CrossRef]
- Tripathi, R.; Nayak, A.K.; Bhattacharyya, P.; Shukla, A.K.; Shahid, M.; Raja, R.; Panda, B.B.; Mohanty, S.; Kumar, A.; Thilagan, V.K. Soil aggregation and distribution of carbon and nitrogen in different fractions after 41 years long-term fertilizer experiment in tropical rice-rice system. Geoderma 2014, 213, 280–286. [Google Scholar] [CrossRef]
- Mikha, M.M.; Hergert, G.W.; Benjamin, J.G.; Jabro, J.D.; Nielsen, R.A. Long-term manure impacts on soil aggregates and aggregate-associated carbon and nitrogen. Soil Sci. Soc. Am. J. 2015, 79, 626–636. [Google Scholar] [CrossRef]
- Angst, G.; Mueller, K.E.; Kögel-Knabner, I.; Freeman, K.H.; Mueller, C.W. Aggregation controls the stability of lignin and lipids in clay-sized particulate and mineral associated organic matter. Biogeochemistry 2017, 132, 307–324. [Google Scholar] [CrossRef]
- Yang, Y.; Dou, Y.X.; Wang, B.R.; Wang, Y.Q.; Liang, C.; An, S.S.; Soromotin, A.; Kuzyakov, Y. Increasing contribution of microbial residues to soil organic carbon in grassland restoration chronosequence. Soil Biol. Biochem. 2022, 170, 108688. [Google Scholar] [CrossRef]
- Bradford, M.A. Thermal adaptation of decomposer communities in warming soils. Front. Microbiol. 2013, 4, 333. [Google Scholar] [CrossRef] [PubMed]
- Liu, W.; Zhang, Y.; Jiang, S.; Murray, P.; Liao, L.; Li, X.; Zhang, J. Spatiotemporal differences in the arbuscular mycorrhizal fungi communities in soil and roots in response to long-term organic compost inputs in an intensive agricultural cropping system on the North China Plain. J. Soils Sediments 2019, 19, 2520–2533. [Google Scholar] [CrossRef]
- Steffens, M.; Kolbl, A.; Schörk, E.; Gschrey, B.; Kögel-Knabner, I. Distribution of soil organic matter between fractions and aggregate size classes in grazed semiarid steppe soil profiles. Plant Soil 2011, 338, 63–81. [Google Scholar] [CrossRef]









| Abbreviations | Full Names |
|---|---|
| SOC | soil organic carbon |
| EOC | easily oxidizable organic carbon |
| DOC | dissolved organic carbon |
| MBC | microbial organic carbon |
| M | macroaggregates |
| Fm | free microaggregates |
| nA-MOM | non-aggregated silt + clay fractions |
| mM | microaggregates within macroaggregates |
| POM | particulate organic matter |
| M(c)POM | coarse POM within macroaggregates |
| M(f)POM | fine POM within mM |
| mM-POM | POM from heavy fraction within mM |
| Free(f)POM | fine POM within free microaaggregates |
| Fm-POM | POM from heavy fraction within free microaggregates |
| M-MOM | silt + clay fractions within macroaggregates |
| mM-MOM | silt + clay fractions from heavy fraction within mM |
| Fm-MOM | silt + clay fractions from heavy fraction within free microaggregates |
| MWD | mean weight diameter |
| GMD | geometric mean diameter |
| D | fractal dimension |
Disclaimer/Publisher’s Note: The statements, opinions and data contained in all publications are solely those of the individual author(s) and contributor(s) and not of MDPI and/or the editor(s). MDPI and/or the editor(s) disclaim responsibility for any injury to people or property resulting from any ideas, methods, instructions or products referred to in the content. |
© 2022 by the authors. Licensee MDPI, Basel, Switzerland. This article is an open access article distributed under the terms and conditions of the Creative Commons Attribution (CC BY) license (https://creativecommons.org/licenses/by/4.0/).
Share and Cite
Zhou, M.; Xiao, Y.; Xiao, L.; Li, Y.; Zhang, X.; Cruse, R.M.; Liu, X. Increased Soil Aggregate Stability by Altering Contents and Chemical Composition of Organic Carbon Fractions via Seven Years of Manure Addition in Mollisols. Agriculture 2023, 13, 88. https://doi.org/10.3390/agriculture13010088
Zhou M, Xiao Y, Xiao L, Li Y, Zhang X, Cruse RM, Liu X. Increased Soil Aggregate Stability by Altering Contents and Chemical Composition of Organic Carbon Fractions via Seven Years of Manure Addition in Mollisols. Agriculture. 2023; 13(1):88. https://doi.org/10.3390/agriculture13010088
Chicago/Turabian StyleZhou, Meng, Yang Xiao, Leilei Xiao, Yansheng Li, Xingyi Zhang, Richard M. Cruse, and Xiaobing Liu. 2023. "Increased Soil Aggregate Stability by Altering Contents and Chemical Composition of Organic Carbon Fractions via Seven Years of Manure Addition in Mollisols" Agriculture 13, no. 1: 88. https://doi.org/10.3390/agriculture13010088
APA StyleZhou, M., Xiao, Y., Xiao, L., Li, Y., Zhang, X., Cruse, R. M., & Liu, X. (2023). Increased Soil Aggregate Stability by Altering Contents and Chemical Composition of Organic Carbon Fractions via Seven Years of Manure Addition in Mollisols. Agriculture, 13(1), 88. https://doi.org/10.3390/agriculture13010088

