Biotin and Leucine Alone or in Combination Promoted the Synthesis of Odd- and Branched-Chain Fatty Acids in the Rumen In Vitro
Abstract
1. Introduction
2. Materials and Methods
2.1. Preparation of Rumen Fluid and Buffer Solution
2.2. Treatment and Sample Collection
2.3. Measurement of Fatty Acids in the Fermentation Liquid
2.4. Analyses of Ruminal Fermentation Parameters and Activities of Enzymes Involved in the Fatty Acid Synthesis
2.5. Statistical Analysis
3. Results
3.1. Effects of Biotin and Leucine on Fermentation Parameters
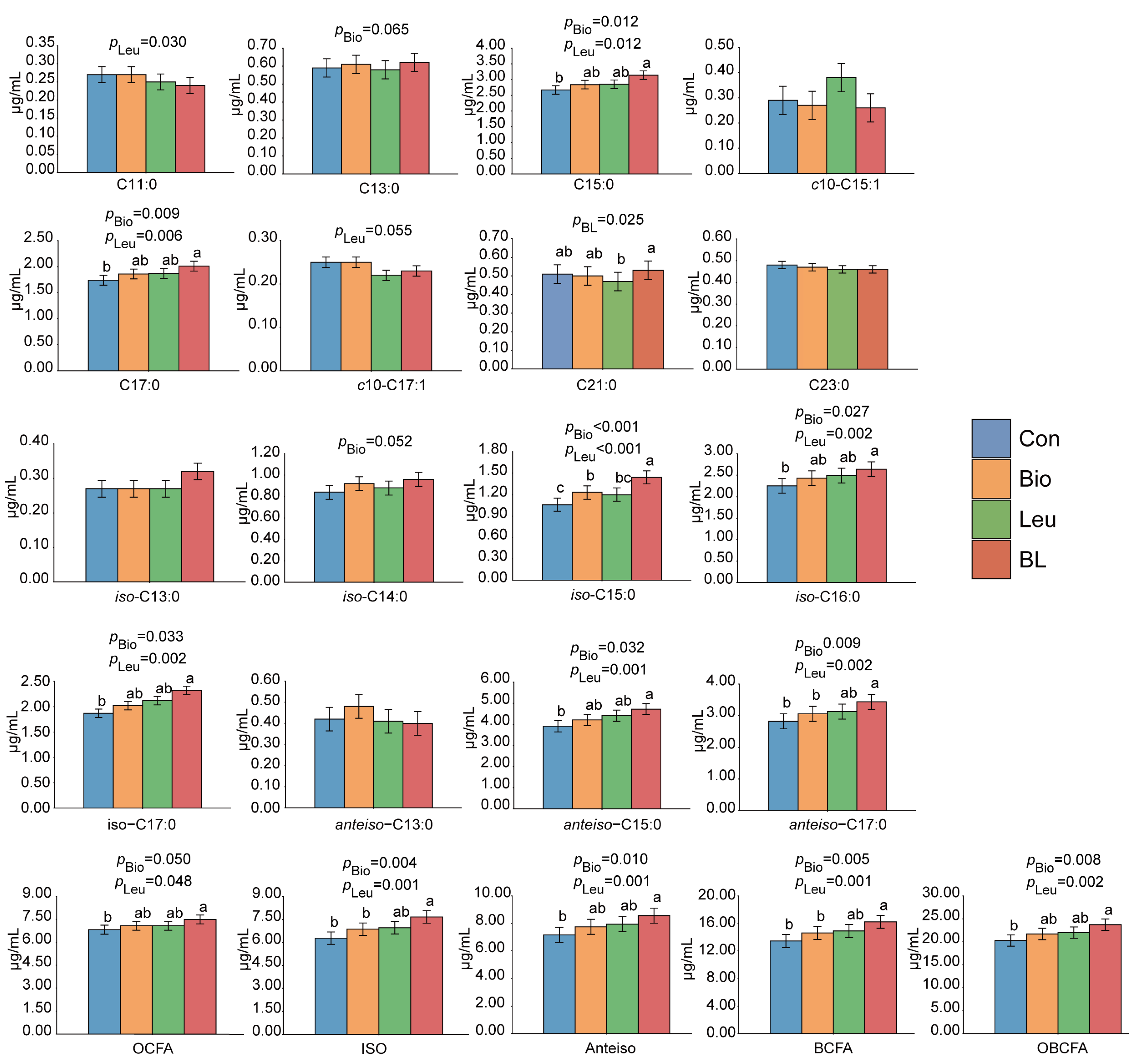
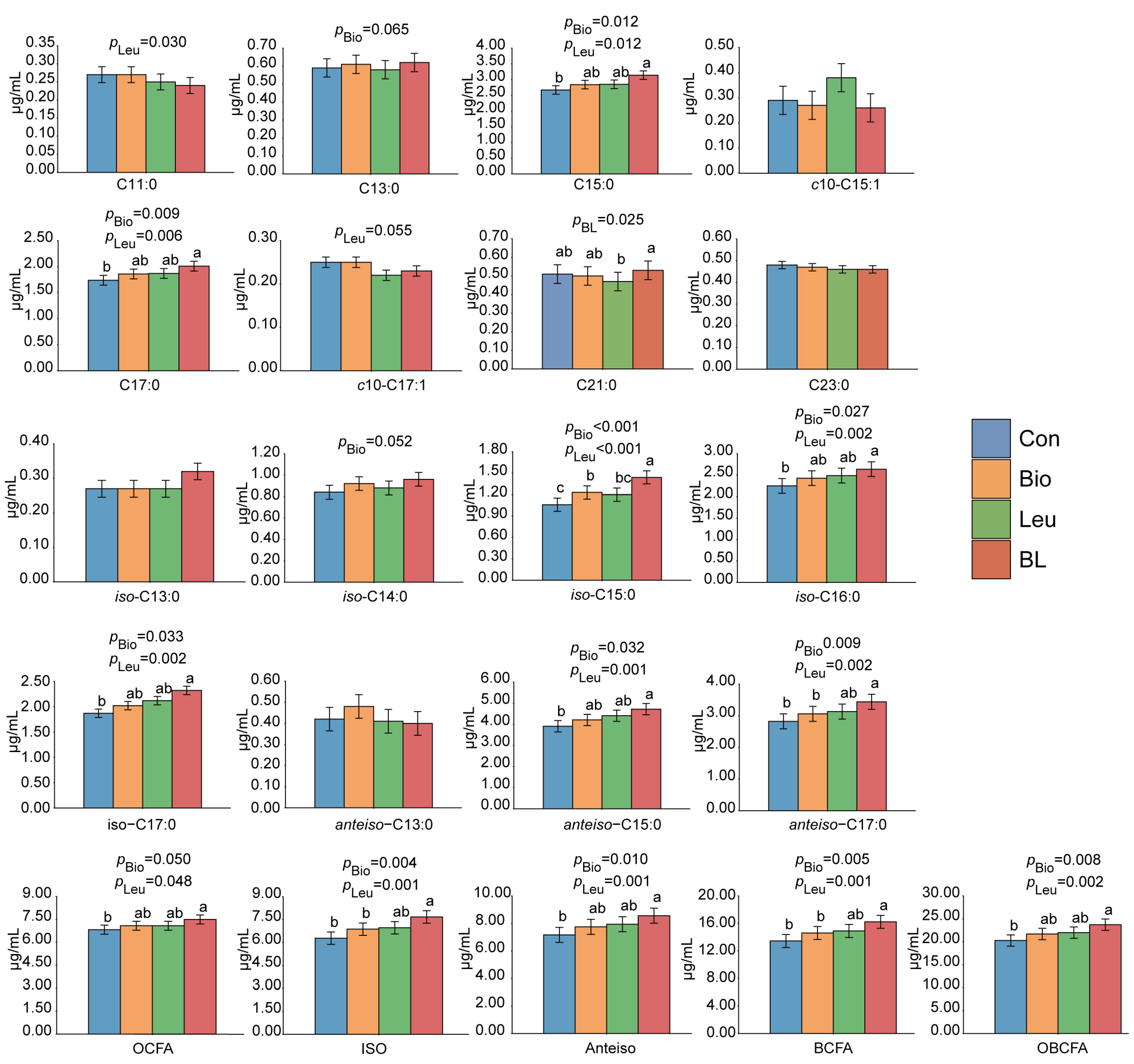
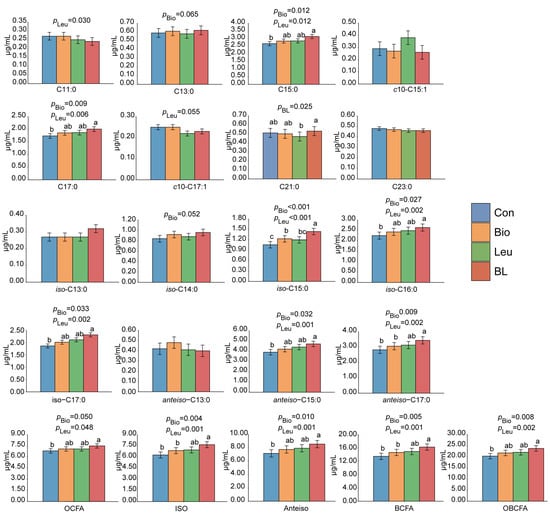
3.2. Supplementation of Biotin and Leucine Alone or in Combination Promoted the Synthesis of Fatty Acids In Vitro
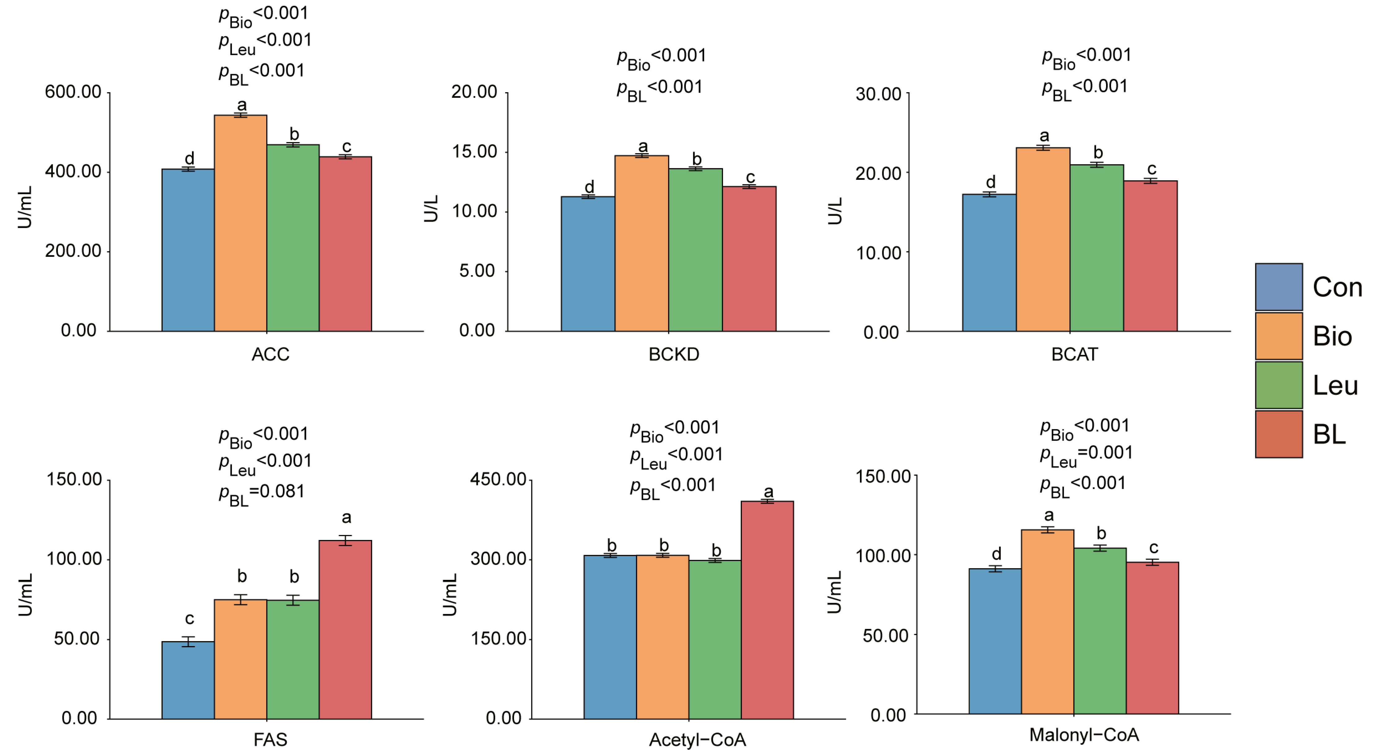
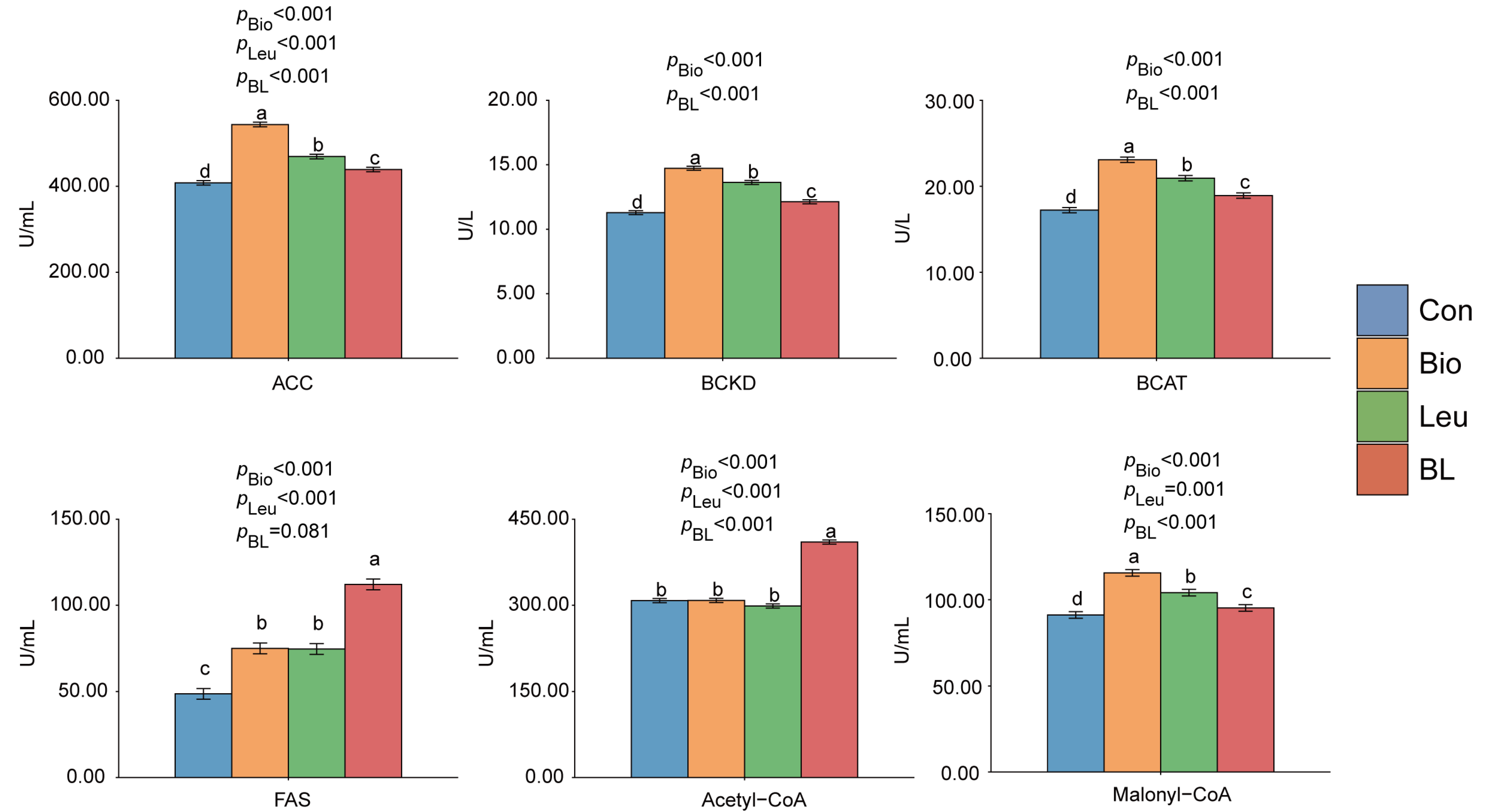
3.3. Effects of Biotin and Leucine Supplementation on Fatty Acid Synthesis-Related Enzymes In Vitro
4. Discussion
5. Conclusions
Author Contributions
Funding
Institutional Review Board Statement
Data Availability Statement
Conflicts of Interest
References
- Vlaeminck, B.; Fievez, V.; Cabrita, A.R.J.; Fonseca, A.J.M.; Dewhurst, R.J. Factors affecting odd- and branched-chain fatty acids in milk: A review. Anim. Feed Sci. Technol. 2006, 131, 389–417. [Google Scholar] [CrossRef]
- Gomez-Cortes, P.; de la Fuente, M.A. Metabolic origin and bioactive properties of odd and branched-chain fatty acids in ruminants’ milk. Rev. Mex. Cienc. Pecu. 2020, 11, 1174–1191. [Google Scholar] [CrossRef]
- Abdoul-Aziz, S.K.A.; Zhang, Y.D.; Wang, J.Q. Milk Odd and Branched Chain Fatty Acids in Dairy Cows: A Review on Dietary Factors and Its Consequences on Human Health. Animals 2021, 11, 3210. [Google Scholar] [CrossRef] [PubMed]
- Taormina, V.M.; Unger, A.L.; Schiksnis, M.R.; Torres-Gonzalez, M.; Kraft, J. Branched-Chain Fatty Acids—An Underexplored Class of Dairy-Derived Fatty Acids. Nutrients 2020, 12, 2875. [Google Scholar] [CrossRef] [PubMed]
- Mika, A.; Stepnowski, P.; Kaska, L.; Proczko, M.; Wisniewski, P.; Sledzinski, M.; Sledzinski, T. A Comprehensive Study of Serum Odd- and Branched-Chain Fatty Acids in Patients with Excess Weight. Obesity 2016, 24, 1669–1676. [Google Scholar] [CrossRef]
- Liu, L.; Xiao, D.F.; Lei, H.Y.; Peng, T.; Li, J.; Cheng, T.Y.; He, J.H. Branched-chain fatty acids lower triglyceride levels in a fatty liver model in vitro. FASEB J. 2017, 31, 969.4. [Google Scholar] [CrossRef]
- Czumaj, A.; Sledzinski, T.; Mika, A. Branched-Chain Fatty Acids Alter the Expression of Genes Responsible for Lipid Synthesis and Inflammation in Human Adipose Cells. Nutrients 2022, 14, 2310. [Google Scholar] [CrossRef]
- Vahmani, P.; Salazar, V.; Rolland, D.C.; Gzyl, K.E.; Dugan, M.E.R. Iso- but Not Anteiso-Branched Chain Fatty Acids Exert Growth-Inhibiting and Apoptosis-Inducing Effects in MCF-7 Cells. J. Agric. Food Chem. 2019, 67, 10042–10047. [Google Scholar] [CrossRef]
- Ran-Ressler, R.R.; Khailova, L.; Arganbright, K.M.; Adkins-Rieck, C.K.; Jouni, Z.E.; Koren, O.; Ley, R.E.; Brenna, J.T.; Dvorak, B. Branched Chain Fatty Acids Reduce the Incidence of Necrotizing Enterocolitis and Alter Gastrointestinal Microbial Ecology in a Neonatal Rat Model. PLoS ONE 2011, 6, e29032. [Google Scholar] [CrossRef]
- Dingess, K.A.; Valentine, C.J.; Ollberding, N.J.; Davidson, B.S.; Woo, J.G.; Summer, S.; Peng, Y.M.M.; Guerrero, M.L.; Ruiz-Palacios, G.M.; Ran-Ressler, R.R.; et al. Branched-chain fatty acid composition of human milk and the impact of maternal diet: The Global Exploration of Human Milk (GEHM) Study. Am. J. Clin. Nutr. 2017, 105, 177–184. [Google Scholar] [CrossRef]
- Ran-Ressler, R.R.; Bae, S.; Lawrence, P.; Wang, D.H.; Brenna, J.T. Branched-chain fatty acid content of foods and estimated intake in the USA. Br. J. Nutr. 2014, 112, 565–572. [Google Scholar] [CrossRef]
- Zhang, L.S.; Liang, S.; Zong, M.H.; Yang, J.G.; Lou, W.Y. Microbial synthesis of functional odd-chain fatty acids: A review. World J. Microbiol. Biotechnol. 2020, 36, 35. [Google Scholar] [CrossRef]
- Kaneda, T. Biosynthesis of Branched Chain Fatty Acids: II. MICROBIAL SYNTHESIS OF BRANCHED LONG CHAIN FATTY ACIDS FROM CERTAIN SHORT CHAIN FATTY ACID SUBSTRATES. J. Biol. Chem. 1963, 238, 1229–1235. [Google Scholar] [CrossRef]
- Kaneda; Toshi. Biosynthesis of branched-chain fatty acids. IV. Factors affecting relative abundance of fatty acids produced by Bacillus subtilis. Can. J. Microbiol. 1966, 12, 501–514. [Google Scholar] [CrossRef]
- Kaneda, T. Fatty acids of the genus Bacillus: An example of branched-chain preference. Bacteriol. Rev. 1977, 41, 391–418. [Google Scholar] [CrossRef]
- Kaneda, T. Iso- and anteiso-fatty acids in bacteria: Biosynthesis, function, and taxonomic significance. Microbiol. Rev. 1991, 55, 288–302. [Google Scholar] [CrossRef]
- Horning, M.G.; Martin, D.B.; Karmen, A.; Vagelos, P.R. Synthesis of branched-chain and odd-numbered fatty acids from malonyl-CoA. Biochem. Biophys. Res. Commun. 1960, 3, 101–106. [Google Scholar] [CrossRef]
- Zhang, Y.; Liu, K.; Hao, X.; Xin, H. The relationships between odd- and branched-chain fatty acids to ruminal fermentation parameters and bacterial populations with different dietary ratios of forage and concentrate. J. Anim. Physiol. Anim. Nutr. 2017, 101, 1103–1114. [Google Scholar] [CrossRef]
- Xin, H.S.; Khan, N.A.; Liu, X.; Jiang, X.; Sun, F.; Zhang, S.Z.; Sun, Y.K.; Zhang, Y.G.; Li, X. Profiles of Odd- and Branched-Chain Fatty Acids and Their Correlations with Rumen Fermentation Parameters, Microbial Protein Synthesis, and Bacterial Populations Based on Pure Carbohydrate Incubation in vitro. Front. Nutr. 2021, 8, 733352. [Google Scholar] [CrossRef]
- Baumann, E.; Chouinard, P.Y.; Lebeuf, Y.; Rico, D.E.; Gervais, R. Effect of lipid supplementation on milk odd- and branched-chain fatty acids in dairy cows. J. Dairy Sci. 2016, 99, 6311–6323. [Google Scholar] [CrossRef]
- Vazirigohar, M.; Dehghan-Banadaky, M.; Rezayazdi, K.; Nejati-Javaremi, A.; Mirzaei-Alamouti, H.; Patra, A.K. Short communication: Effects of diets containing supplemental fats on ruminal fermentation and milk odd- and branched-chain fatty acids in dairy cows. J. Dairy Sci. 2018, 101, 6133–6141. [Google Scholar] [CrossRef] [PubMed]
- Toral, P.G.; Bernard, L.; Belenguer, A.; Rouel, J.; Hervas, G.; Chilliard, Y.; Frutos, P. Comparison of ruminal lipid metabolism in dairy cows and goats fed diets supplemented with starch, plant oil, or fish oil. J. Dairy Sci. 2016, 99, 301–316. [Google Scholar] [CrossRef] [PubMed]
- Moate, P.J.; Williams, S.R.O.; Hannah, M.C.; Eckard, R.J.; Auldist, M.J.; Ribaux, B.E.; Jacobs, J.L.; Wales, W.J. Effects of feeding algal meal high in docosahexaenoic acid on feed intake, milk production, and methane emissions in dairy cows. J. Dairy Sci. 2013, 96, 3177–3188. [Google Scholar] [CrossRef] [PubMed]
- Carreno, D.; Hervas, G.; Toral, P.G.; Castro-Carrera, T.; Frutos, P. Fish oil- induced milk fat depression and associated downregulation of mammary lipogenic genes in dairy ewes. J. Dairy Sci. 2016, 99, 7971–7981. [Google Scholar] [CrossRef] [PubMed]
- Boeckaert, C.; Vlaeminck, B.; Dijkstra, J.; Issa-Zacharia, A.; Van Nespen, T.; Van Straalen, W.; Fievez, V. Effect of Dietary Starch or Micro Algae Supplementation on Rumen Fermentation and Milk Fatty Acid Composition of Dairy Cows. J. Dairy Sci. 2008, 91, 4714–4727. [Google Scholar] [CrossRef]
- Li, S.J.; Cronan, J.E., Jr. The gene encoding the biotin carboxylase subunit of Escherichia coli acetyl-CoA carboxylase. J. Biol. Chem. 1992, 267, 855–863. [Google Scholar] [CrossRef]
- Marini, P.; Li, S.J.; Gardiol, D.; Cronan, J.E.; Demendoza, D. The Genes Encoding the Biotin Carboxyl Carrier Protein and Biotin Carboxylase Subunits of Bacillus-Subtilis Acetyl-Coenzyme-a Carboxylase, the First Enzyme of Fatty-Acid Synthesis. J. Bacteriol. 1995, 177, 7003–7006. [Google Scholar] [CrossRef]
- Roman-Garcia, Y.; Denton, B.L.; Mitchell, K.E.; Lee, C.; Socha, M.T.; Firkins, J.L. Conditions stimulating neutral detergent fiber degradation by dosing branched-chain volatile fatty acids. I: Comparison with branched-chain amino acids and forage source in ruminal batch cultures. J. Dairy Sci. 2021, 104, 6739–6755. [Google Scholar] [CrossRef]
- NRC. Nutrient Requirements of Dairy Cattle, 7th ed.; National Academy of Science: Washington, DC, USA, 2001. [Google Scholar]
- Wang, J. Methonds in Ruminant Nutrition Research; Modern Enducation Press: Beijing, China, 2011. [Google Scholar]
- Leedle, J.A.Z.; Hespell, R.B. Changes of Bacterial Numbers and Carbohydrate Fermenting Groups During In Vitro Rumen Incubations with Feedstuff Materials. J. Dairy Sci. 1984, 67, 808–816. [Google Scholar] [CrossRef]
- Hara, A.; Radin, N.S. Lipid extraction of tissues with a low-toxicity solvent. Anal. Biochem. 1978, 90, 420–426. [Google Scholar] [CrossRef]
- Kramer, J.K.; Fellner, V.; Dugan, M.E.; Sauer, F.D.; Mossoba, M.M.; Yurawecz, M.P. Evaluating acid and base catalysts in the methylation of milk and rumen fatty acids with special emphasis on conjugated dienes and total trans fatty acids. Lipids 1997, 32, 1219–1228. [Google Scholar] [CrossRef]
- Broderick, G.A.; Kang, J.H. Automated Simultaneous Determination of Ammonia and Total Amino Acids in Ruminal Fluid and In Vitro Media1. J. Dairy Sci. 1980, 63, 64–75. [Google Scholar] [CrossRef]
- Nickels, J.; Chatterjee, S.; Mostofian, B.; Stanley, C.; Ohl, M.; Zolnierczuk, P.; Schulz, R.; Myles, D.; Standaert, R.; Cheng, X.L.; et al. Bacillus subtilis lipid extract, A branched-chain fatty acid model membrane. J. Phys. Chem. Lett. 2017, 8, 4214–4217. [Google Scholar] [CrossRef]
- Zhan, T.; Ma, L.; Bu, D. Supplementing biotin alters rumen odd- and branched-chain fatty acids synthesis in vitro. In Proceedings of the Abstracts of the 2022 American Dairy Science Association Annual Meeting, Kansas City, MO, USA, 19–22 June 2022; p. 428. [Google Scholar]
- Volpe, J.J.; Vagelos, P.R. Saturated Fatty Acid Biosynthesis and its Regulation. Annu. Rev. Biochem. 1973, 42, 21–60. [Google Scholar] [CrossRef]
- Li, K.H.; Yu, Y.H.; Bong, H.J.; Zhang, W.B.; Ma, J.C.; Wang, H.H. Biological Functions of iIvC in Branched-Chain Fatty Acid Synthesis and Diffusible Signal Factor Family Production in Xanthomonas campestris. Front. Microbiol. 2017, 8, 2486. [Google Scholar] [CrossRef]
- Beck, H.C. Branched-chain fatty acid biosynthesis in a branched-chain amino acid aminotransferase mutant of Staphylococcus carnosus. FEMS Microbiol. Lett. 2005, 243, 37–44. [Google Scholar] [CrossRef]
- Son, S.M.; Park, S.J.; Lee, H.; Siddiqi, F.; Lee, J.E.; Menzies, F.M.; Rubinsztein, D.C. Leucine Signals to mTORC1 via Its Metabolite Acetyl-Coenzyme A. Cell Metab. 2019, 29, 192–201. [Google Scholar] [CrossRef]
- Paiva, P.; Medina, F.E.; Viegas, M.; Ferreira, P.; Neves, R.P.P.; Sousa, J.P.M.; Ramos, M.J.; Fernandes, P.A. Animal Fatty Acid Synthase: A Chemical Nanofactory. Chem. Rev. 2021, 121, 9502–9553. [Google Scholar] [CrossRef]
- Zhang, R.R.; Mu, H.N.; Li, Z.Y.; Zeng, J.; Zhou, Q.; Li, H.X.; Wang, S.M.; Li, X.H.; Zhao, X.H.; Sun, L.; et al. Oral administration of branched-chain amino acids ameliorates high-fat diet-induced metabolic-associated fatty liver disease via gut microbiota-associated mechanisms. Front. Microbiol. 2022, 13, 920277. [Google Scholar] [CrossRef]



| Ingredients (% DM 1) | Chemical Compositions | ||
|---|---|---|---|
| Alfalfa Hay | 9.57 | NEL 2, Mcal/kg DM | 1.86 |
| Soybean Hull Powder | 3.97 | Crude Protein, % DM | 17.80 |
| Molasses | 1.43 | Neural detergent fiber, % DM | 26.90 |
| Steam Flaked Corn | 15.96 | Acid detergent fiber, % DM | 17.80 |
| Corn Silage | 29.12 | Calcium, % DM | 0.65 |
| Alfalfa Silage | 1.76 | Phosphorus, % DM | 0.36 |
| Ground Corn Grain (Medium) | 11.01 | ||
| Soybean Meal | 13.93 | ||
| Corn Gluten Meal | 2.42 | ||
| Cottonseed | 5.96 | ||
| Fat powder | 1.31 | ||
| Yeast Culture | 0.10 | ||
| Sodium Bicarbonate | 0.66 | ||
| Premix 3 | 2.79 | ||
| Total | 100.00 | ||
| Items | Treatment 1 | SEM 2 | p-Value | |||||
|---|---|---|---|---|---|---|---|---|
| Con | Bio | Leu | BL | Bio | Leu | BL | ||
| DMD 3 % | 67.79 | 68.82 | 68.10 | 68.94 | 0.608 | 0.068 | 0.668 | 0.847 |
| pH | 6.77 | 6.77 | 6.77 | 6.77 | 0.007 | 0.893 | 0.788 | 0.788 |
| Acetate | 39.24 | 39.27 | 39.05 | 40.03 | 0.852 | 0.392 | 0.621 | 0.417 |
| Propionate | 10.50 | 10.57 | 10.58 | 10.80 | 0.186 | 0.383 | 0.370 | 0.635 |
| Isobutyrate | 0.72 b | 0.71 b | 0.75 ab | 0.78 a | 0.026 | 0.434 | 0.001 | 0.151 |
| Butyrate | 7.16 | 7.23 | 7.29 | 7.55 | 0.278 | 0.207 | 0.085 | 0.472 |
| Isovalerate | 1.30 b | 1.31 b | 1.46 a | 1.52 a | 0.078 | 0.166 | <0.001 | 0.301 |
| Valerate | 0.90 ab | 0.83 b | 0.89 ab | 0.94 a | 0.025 | 0.690 | 0.023 | 0.021 |
| Acetate/propionate | 3.74 | 3.71 | 3.69 | 3.71 | 0.027 | 0.726 | 0.100 | 0.278 |
| TVFA 4 | 59.82 | 59.91 | 60.02 | 61.63 | 1.405 | 0.352 | 0.296 | 0.409 |
| TBCVFA 5 | 2.02 b | 2.02 b | 2.21 a | 2.30 a | 0.103 | 0.220 | <0.001 | 0.231 |
| NH3-N 6 mg/dL | 28.07 | 28.17 | 29.59 | 30.40 | 2.152 | 0.521 | 0.011 | 0.618 |
| Items | Treatment 1 | SEM 2 | p-Value | |||||
|---|---|---|---|---|---|---|---|---|
| Con | Bio | Leu | BL | Bio | Leu | BL | ||
| C4:0 | 0.37 | 0.39 | 0.38 | 0.36 | 0.028 | 0.845 | 0.656 | 0.475 |
| C6:0 | 0.52 | 0.53 | 0.47 | 0.46 | 0.044 | 0.874 | 0.067 | 0.666 |
| C8:0 | 0.96 | 1.13 | 1.27 | 1.44 | 0.169 | 0.330 | 0.077 | 0.977 |
| C10:0 | 0.13 | 0.11 | 0.12 | 0.12 | 0.010 | 0.613 | 0.945 | 0.300 |
| C12:0 | 0.83 ab | 0.89 a | 0.80 b | 0.90 a | 0.034 | 0.001 | 0.718 | 0.294 |
| C14:0 | 2.97 | 3.02 | 3.06 | 3.26 | 0.135 | 0.324 | 0.189 | 0.539 |
| c9-C14:1 3 | 2.74 b | 2.94 ab | 2.96 ab | 3.19 a | 0.179 | 0.011 | 0.005 | 0.840 |
| C16:0 | 65.01 b | 69.89 b | 71.66 b | 78.5 a | 3.207 | 0.002 | <0.001 | 0.587 |
| c9-C16:1 | 0.16 | 0.16 | 0.17 | 0.20 | 0.013 | 0.315 | 0.072 | 0.385 |
| C18:0 | 100.01 b | 107.89 ab | 110.02 ab | 119.45 a | 4.878 | 0.007 | 0.001 | 0.803 |
| t9-C18:1 | 10.45 b | 11.14 ab | 11.11 ab | 12.07 a | 0.322 | 0.014 | 0.018 | 0.687 |
| c9-C18:1 | 23.5 b | 24.27 b | 24.84 ab | 27.44 a | 0.963 | 0.024 | 0.003 | 0.207 |
| t9,t12-C18:2 | 0.37 | 0.38 | 0.35 | 0.40 | 0.031 | 0.053 | 0.929 | 0.258 |
| c9,c12-C18:2 | 3.86 b | 4.14 ab | 4.02 ab | 4.36 a | 0.110 | 0.006 | 0.082 | 0.741 |
| c6,c9,c12-C18:3 4 | 0.58 | 0.59 | 0.58 | 0.63 | 0.030 | 0.037 | 0.178 | 0.114 |
| c9,c12,c15-C18:3 | 0.48 b | 0.56 a | 0.55 a | 0.59 a | 0.077 | 0.001 | 0.002 | 0.265 |
| c11-C20:1 | 0.60 | 0.61 | 0.59 | 0.64 | 0.038 | 0.137 | 0.640 | 0.280 |
| c11,c14-C20:2 | 0.55 | 0.51 | 0.49 | 0.51 | 0.024 | 0.843 | 0.240 | 0.244 |
| c8,c11,c14-C20:3 5 | 0.30 b | 0.31 ab | 0.32 ab | 0.34 a | 0.016 | 0.041 | 0.006 | 0.563 |
| c11,c14,c17-C20:3 | 0.50 b | 0.55 ab | 0.51 b | 0.61 a | 0.038 | 0.004 | 0.150 | 0.215 |
| c5,c8,c11,c14-C20:4 6 | 15.10 | 15.92 | 15.94 | 17.87 | 2.709 | 0.098 | 0.092 | 0.497 |
| c13-C22:1 | 0.53 | 0.49 | 0.53 | 0.54 | 0.064 | 0.536 | 0.212 | 0.139 |
| C24:0 | 0.88 | 0.90 | 0.89 | 0.96 | 0.025 | 0.107 | 0.255 | 0.267 |
| c15-C24:1 | 0.47 b | 0.52 ab | 0.50 ab | 0.54 a | 0.066 | 0.001 | 0.058 | 0.823 |
| TFA1 7 | 231.89 b | 247.85 b | 252.13 b | 275.39 a | 10.751 | 0.002 | <0.001 | 0.542 |
| TFA2 8 | 252.15 b | 269.53 b | 274.11 b | 299.12 a | 11.968 | 0.002 | <0.001 | 0.559 |
Disclaimer/Publisher’s Note: The statements, opinions and data contained in all publications are solely those of the individual author(s) and contributor(s) and not of MDPI and/or the editor(s). MDPI and/or the editor(s) disclaim responsibility for any injury to people or property resulting from any ideas, methods, instructions or products referred to in the content. |
© 2023 by the authors. Licensee MDPI, Basel, Switzerland. This article is an open access article distributed under the terms and conditions of the Creative Commons Attribution (CC BY) license (https://creativecommons.org/licenses/by/4.0/).
Share and Cite
Zhan, T.; Guo, X.; Ma, L.; Mao, S.; Bu, D. Biotin and Leucine Alone or in Combination Promoted the Synthesis of Odd- and Branched-Chain Fatty Acids in the Rumen In Vitro. Agriculture 2023, 13, 145. https://doi.org/10.3390/agriculture13010145
Zhan T, Guo X, Ma L, Mao S, Bu D. Biotin and Leucine Alone or in Combination Promoted the Synthesis of Odd- and Branched-Chain Fatty Acids in the Rumen In Vitro. Agriculture. 2023; 13(1):145. https://doi.org/10.3390/agriculture13010145
Chicago/Turabian StyleZhan, Tengfei, Xin Guo, Lu Ma, Shengyong Mao, and Dengpan Bu. 2023. "Biotin and Leucine Alone or in Combination Promoted the Synthesis of Odd- and Branched-Chain Fatty Acids in the Rumen In Vitro" Agriculture 13, no. 1: 145. https://doi.org/10.3390/agriculture13010145
APA StyleZhan, T., Guo, X., Ma, L., Mao, S., & Bu, D. (2023). Biotin and Leucine Alone or in Combination Promoted the Synthesis of Odd- and Branched-Chain Fatty Acids in the Rumen In Vitro. Agriculture, 13(1), 145. https://doi.org/10.3390/agriculture13010145

