Effects of Carrier Materials and Storage Temperatures on the Viability and Stability of Three Biofertilizer Inoculants Obtained from Potato (Solanum tuberosum L.) Rhizosphere
Abstract
:1. Introduction
2. Materials and Methods
2.1. Rhizobacterial Strains
2.2. Characterization of Carrier Materials and Formulation of Biofertilizers
2.3. Laboratory Evaluation of the Viability of the Biofertilizer Formulations
2.4. Statistical Analyses
3. Results and Discussions
3.1. The Physicochemical Characteristics of the Carrier Materials
3.2. Laboratory Evaluation of the Viability and Stability of the Formulated Biofertilizers
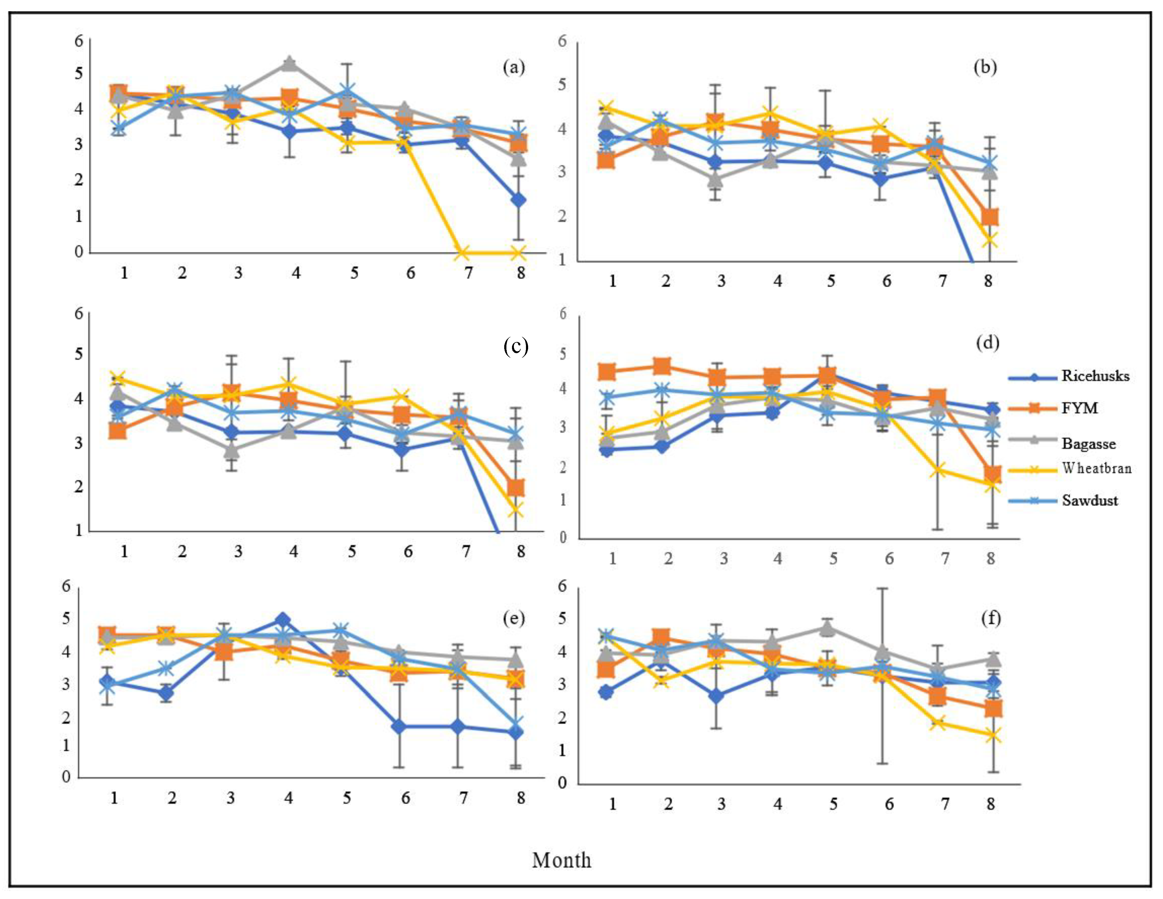
3.2.1. Laboratory Evaluation of the Shelf Life of the Formulated Biofertilizer
3.2.2. Comparative Effects of Storage Temperatures on the Viability of Biofertilizer Formations
3.2.3. Comparative Effects of Carrier Materials on the Viability of Biofertilizer Formations
4. Conclusions
Author Contributions
Funding
Institutional Review Board Statement
Data Availability Statement
Acknowledgments
Conflicts of Interest
References
- Bellarby, J.; Stirling, C.; Vetter, S.H.; Kassie, M.; Kanampiu, F.; Sonder, K.; Smith, P.; Hillier, J. Identifying Secure and Low Carbon Food Production Practices: A Case Study in Kenya and Ethiopia. Agric. Ecosyst. Environ. 2014, 197, 137–146. [Google Scholar] [CrossRef]
- Di Benedetto, N.A.; Corbo, M.R.; Campaniello, D.; Cataldi, M.P.; Bevilacqua, A.; Sinigaglia, M.; Flagella, Z. The Role of Plant Growth Promoting Bacteria in Improving Nitrogen Use Efficiency for Sustainable Crop Production: A Focus on Wheat. AIMS Microbiol. 2017, 3, 413. [Google Scholar] [CrossRef]
- Kumar, A.; Verma, H.; Singh, V.K.; Singh, P.P.; Singh, S.K.; Ansari, W.A.; Yadav, A.; Singh, P.; Pandey, K. Role of Pseudomonas sp. in Sustainable Agriculture and Disease Management. In Agriculturally Important Microbes for Sustainable Agriculture; Meena, V.S., Mishra, P.K., Bisht, J.K., Pattanayak, A., Eds.; Springer: Singapore, 2017; pp. 195–215. [Google Scholar]
- Bender, S.F.; Wagg, C.; van der Heijden, M.G. An Underground Revolution: Biodiversity and Soil Ecological Engineering for Agricultural Sustainability. Trends Ecol. Evol. 2016, 31, 440–452. [Google Scholar] [CrossRef] [PubMed]
- Vessey, J.K. Plant Growth Promoting Rhizobacteria as Biofertilizers. Plant Soil 2003, 255, 571–586. [Google Scholar] [CrossRef]
- Kumar, A.; Patel, J.S.; Meena, V.S. Rhizospheric Microbes for Sustainable Agriculture: An Overview. In Role of Rhizospheric Microbes in Soil; Meena, V., Ed.; Springer Nature: Singapore, 2018; pp. 1–31. [Google Scholar]
- Patel, T.S.; Minocheherhomji, F.P. Plant Growth Promoting Rhizobacteria: Blessing to Agriculture. Int. J. Pure Appl. Biosci. 2018, 6, 481–492. [Google Scholar] [CrossRef]
- Bashan, Y.; de-Bashan, L.E.; Prabhu, S.; Hernandez, J.-P. Advances in Plant Growth-Promoting Bacterial Inoculant Technology: Formulations and Practical Perspectives (1998–2013) (A Marshner Review). Plant Soil 2014, 378, 1–33. [Google Scholar] [CrossRef] [Green Version]
- Tabassum, B.; Khan, A.; Tariq, M.; Ramzan, M.; Khan, M.S.I.; Shahid, N.; Aaliya, K. Bottlenecks in Commercialisation and Future Prospects of PGPR. Appl. Soil Ecol. 2017, 121, 102–117. [Google Scholar] [CrossRef]
- Shaikh, S.; Sayyed, R. Role of Plant Growth-Promoting Rhizobacteria and their Formulation in Biocontrol of Plant Diseases. In Plant Microbes Symbiosis: Applied Facets; Arora, N.K., Ed.; Springer: New Delhi, India, 2015; pp. 337–351. [Google Scholar]
- Sohaib, M.; Zahir, Z.A.; Khan, M.Y.; Ans, M.; Asghar, H.N.; Yasin, S.; Al-Barakah, F.N. Comparative Evaluation of Different Carrier-Based Multi-Strain Bacterial Formulations to Mitigate the Salt Stress in Wheat. Saudi J. Biol. Sci. 2020, 27, 777–787. [Google Scholar] [CrossRef]
- Sudjana, B.; Jingga, A.; Simarmata, T. Enriched Rice Husk Biochar Ameliorant to Increase Crop Productivity on Typic Hapludults. Glob. Adv. Res. J. Agric. Sci. 2017, 6, 108–113. [Google Scholar]
- Seema, K.; Mehta, K.; Singh, N. Studies on the Effect of Plant Growth Promoting Rhizobacteria (PGPR) on Growth, Physiological Parameters, Yield and Fruit Quality of Strawberry Cv. Chandler. J. Pharmacogn. Phytochem. 2018, 7, 383–387. [Google Scholar]
- Elbeltagy, A.; Nishioka, K.; Suzuki, H.; Sato, T.; Sato, Y.-I.; Morisaki, H.; Mitsui, H.; Minamisawa, K. Isolation and Characterization of Endophytic Bacteria from Wild and Traditionally Cultivated Rice Varieties. Soil Sci. Plant Nutr. 2000, 46, 617–629. [Google Scholar] [CrossRef]
- Aravind, R.; Kumar, A.; Eapen, S.; Ramana, K. Endophytic Bacterial Flora in Root and Stem Tissues of Black Pepper (Piper Nigrum L.) Genotype: Isolation, Identification and Evaluation against Phytophthora Capsici. Lett. Appl. Microbiol. 2009, 48, 58–64. [Google Scholar] [CrossRef]
- Aloo, B.N.; Mbega, E.R.; Makumba, B.A.; Hertel, R.; Daniel, R. Molecular Identification and in Vitro Plant Growth-Promoting Activities of Culturable Potato (Solanum Tuberosum L.) Rhizobacteria in Tanzania. Potato Res. 2021, 64, 67–95. [Google Scholar] [CrossRef]
- Arora, N.; Kumar, V.; Maheshwari, D. Constraints, development and future of the inoculants with special reference to rhizobial inoculants. In Innovative Approaches in Microbiology; Maheshwari, D.K., Dubey, R.C., Eds.; Singh and Singh: Dehradun, India, 2001; pp. 241–245. [Google Scholar]
- Joshi, M.; Setty, P.T.K. A Text Book of Irrigation and Water Management; Kalyani Publishers: Ludhiana, India, 2005. [Google Scholar]
- Walkley, A.; Black, I.A. An Examination of the Degtjareff Method for Determining Soil Organic Matter, and a Proposed Modification of the Chromic Acid Titration Method. Soil Sci. 1934, 37, 29–38. [Google Scholar] [CrossRef]
- Bremner, J.M.; Mulvaney, C.S. Nitrogen-total. In Methods of Soil Analysis; Agronomy Monographs; American Society of Agronomy: Madison, WI, USA, 2015; Volume 5, pp. 595–624. [Google Scholar]
- Tran, S.; Simard, R. Mehlich III–Extractable Elements. In Soil Sampling and Methods of Analysis; Carter, M.R., Ed.; CRC Press: Boca Raton, FL, USA, 1993; pp. 43–49. [Google Scholar]
- Jackson, M. Soil Chemical Analysis, 2nd ed.; Prentice Hall of India: New Delhi, India, 1973. [Google Scholar]
- Chaurasia, S.; Gupta, A.D.; Gupta, D. Handbook of Water, Air and Soil Analysis; International Science Congress Association: Chhattisgarh, India, 2014. [Google Scholar]
- Abd El-Fattah, D.A.; Eweda, W.E.; Zayed, M.S.; Hassanein, M.K. Effect of Carrier Materials, Sterilization Method, and Storage Temperature on Survival and Biological Activities of Azotobacter Chroococcum Inoculant. Ann. Agric. Sci. 2013, 58, 111–118. [Google Scholar] [CrossRef] [Green Version]
- Vishwakarma, K.; Kumar, V.; Tripathi, D.K.; Sharma, S. Characterization of Rhizobacterial Isolates from Brassica Juncea for Multitrait Plant Growth Promotion and Their Viability Studies on Carriers. Environ. Sustain. 2018, 1, 253–265. [Google Scholar] [CrossRef]
- Gade, R.M.; Chaithanya, B.H.; Khurade, K.C. A Comparative Study of Different Carriers for Shelflife of Pseudomonas Fluorescens. Bioscan 2014, 9, 287–290. [Google Scholar]
- Arora, N.K.; Ekta, K.; Narain, R.; Maheshwari, D.K. Sawdust as a Superior for Production of Multipurpose Bioinoculant Using Plant Growth Promoting Rhizobium Spp and Pseudomonas Spp Strains and Their Impact on Productivity of Trifolium Repense. Curr. Sci. 2008, 95, 90–94. [Google Scholar]
- Shahzad, S.; Khan, M.Y.; Zahir, Z.A.; Asghar, H.N.; Chaudhary, U.K. Comparative Effectiveness of Different Carriers to Improve the Efficacy of Bacterial Consortium for Enhancing Wheat Production under Salt Affected Field Conditions. Pak. J. Bot. 2017, 49, 1523–1530. [Google Scholar]
- Sahu, P.K.; Brahmaprakash, G.P. Formulations of Biofertilizers—Approaches and Advances. In Microbial Inoculants in Sustainable Agricultural Productivity: Functional Applications; Singh, D.P., Singh, H.B., Prabha, R., Eds.; Springer: New Delhi, India, 2016; Volume 2, pp. 179–198. ISBN 978-81-322-2644-4. [Google Scholar]
- Khavazi, K.; Rejali, F.; Seguin, P.; Miransari, M. Effects of Carrier, Sterilization Method, and Incubation on Survival of Bradyrhizobium Japonicum in Soybean (Glycine Max L.) Inoculants. Enzyme Microb. Tech. 2007, 41, 780–784. [Google Scholar] [CrossRef]
- Mahdi, S.S.; Hassan, G.; Samsoon, S.; Rather, H.; Dar, S.A.; Zehra, B. Biofertilizers in Organic Agriculture. J. Phytol. 2010, 2, 42–54. [Google Scholar]
- Rebah, B.F.; Prevost, D.; Yezza, A.; Tyagi, R.D. Agro-Industrial Waste Material and Wastewater Sludge for Rhizobial Inoculant Production: A Review. Bioresour. Technol. 2007, 98, 3535–3546. [Google Scholar]
- Zayed, M.S. Advances in Formulation Development Technologies. In Microbial Inoculants in Sustainable Agricultural Productivity, Functional Applications; Singh, D.P., Singh, H.B., Prabha, R., Eds.; Springer: New Delhi, India, 2016; pp. 219–237. [Google Scholar]
- Melin, P.; Håkansson, S.; Eberhard, T.H.; Schnürer, J. Survival of the Biocontrol Yeast Pichia Anomala after Long-Term Storage in Liquid Formulations at Different Temperatures, Assessed by Flow Cytometry. J. Appl. Microbiol. 2006, 100, 264–271. [Google Scholar] [CrossRef]
- Pandey, P.; Maheshwari, D.K. Bioformulation of Burkholderia Sp. MSSP with a Multispecies Consortium for Growth Promotion of Cajanus Cajan. Can. J. Microbiol. 2007, 53, 213–222. [Google Scholar] [CrossRef] [PubMed]
- Bahadur, I.; Maurya, B.; Roy, P.; Kumar, A. Potassium-Solubilizing Bacteria (KSB): A Microbial Tool for K-Solubility, Cycling, and Availability to Plants. In Plant Growth Promoting Rhizobacteria for Agricultural Sustainability; Kumar, A., Meena, V., Eds.; Springer: Singapore, 2019; pp. 257–265. [Google Scholar]
- Chandrasekaran, B.; Annadurai, K.; Somasundaram, E. A Text Book of Agronomy; New Age International Publishers: New Delhi, India, 2010. [Google Scholar]
- Itelima, J.U.; Bhang, W.J.; Onyimba, I.A. A Review: Biofertilizer; a Key Player in Enhancing Soil Fertility and Crop Productivity. J. Microbiol. Biotechnol. Rep. 2018, 2, 22–28. [Google Scholar]
- Lobo, C.B.; Juárez Tomás, M.S.; Viruel, E.; Ferrero, M.A.; Lucca, M.E. Development of Low-Cost Formulations of Plant Growth-Promoting Bacteria to Be Used as Inoculants in Beneficial Agricultural Technologies. Microb. Res. 2019, 219, 12–25. [Google Scholar] [CrossRef] [PubMed]
- Malusá, E.; Sas-Paszt, L.; Ciesielska, J. Technologies for Beneficial Microorganisms Inocula Used as Biofertilizers. Sci. World J. 2012, 2012, 491206. [Google Scholar] [CrossRef]
- Phiromtam, M.; Mala, T.; Srinives, P. Effect of Various Carriers and Storage Temperatures on Survival of Azotobacter Vinelandii NDD-CK-1 in Powder Inoculant. Mod. Appl. Sci. 2013, 7, 81–89. [Google Scholar]
- Sandikar, B.M.; Awasthi, R.S. Preparation and Shelf-Life Study of Pseudomonas and Bacillus Bioformulations against Phytopathogenic Pythium and Fusarium Species. Int. J. Plant Prot. 2010, 2, 251–254. [Google Scholar]
- Thirumal, G.; Reddy, R.S.; Triveni, S.; Nagaraju, Y.; Prasannakumar, B. Screening of Native Rhizobia and Pseudomonas Strains for Plant Growth Promoting Activities. Int. J. Curr. Microbiol. App. Sci. 2017, 6, 616–625. [Google Scholar] [CrossRef] [Green Version]
- Nakkreen, S.; Fernando, D.W.G.; Siddiqui, Z.A. Plant growth promoting rhizobacteria formulations and its scope in commercialization for the management of pests and diseases. In Biocontrol and Biofertilization; Siddiqui, Z.A., Ed.; Springer: Dordrecht, Netherlands, 2005; pp. 257–296. [Google Scholar]
- Chakraborty, A.; Hu, C.X. Lending Relationships in Line-of-Credit and Nonline-of-Credit Loans: Evidence from Collateral Use in Small Business. J. Financ. Intermediation 2006, 15, 86–107. [Google Scholar] [CrossRef]
- Vassilev, N.; Vassilev, M.; Lopez, A.; Martos, V.; Reyes, A.; Maksimovic, I.; EichlerLöbermann, B.; Malusá, E. Unexploited Potential of Some Biotechnological Techniques for Biofertilizer Production and Formulation. Appl. Microb. Biotechnol. 2015, 99, 4983–4996. [Google Scholar] [CrossRef]
- Arora, N.K.; Tiwari, S.; Singh, R. Comparative Study of Different Carriers Inoculated with Nodule Forming and Free Living Plant Growth Promoting Bacteria Suitable for Sustainable Agriculture. J. Pharm. Chem. Biol. Sci. 2014, 2, 143–149. [Google Scholar]
- Du Toit, P.J.; Olivier, S.P.; van Biljon, P.L. Sugar Cane Bagasse as a Possible Source of Fermentable Carbohydrates. Characterization of Bagasse with Regard to Monosaccharide, Hemicellulose, and Amino Acid Composition. Biotech. Bioeng. 1984, 26, 1071–1079. [Google Scholar] [CrossRef] [PubMed]
- Arora, N.K.; Maheshwari, D.K.; Khare, E. Plant growth promoting rhizobacteria: Constraints in bioformulation, commercialization and future strategies. In Bacteria and Plant Health; Maheshwari, D.K., Ed.; Springer: Berlin, Germany, 2010; pp. 97–116. [Google Scholar]
- Bharti, N.; Sharma, S.K.; Saini, S.; Verma, A.; Nimonkar, V.; Prakash, O. Microbial Plant Probiotics: Problems in Application and Formulation. In Probiotics and Plant Health; Kumar, V., Kumar, M., Sharma, S., Prasad, R., Eds.; Springer: Singapore, 2017; pp. 317–335. [Google Scholar]
- Ma, Y. Seed Coating with Beneficial Microorganisms for Precision Agriculture. Biotechnol. Adv. 2019, 2019, 107423. [Google Scholar] [CrossRef]
- Kumar, V. Characterization, Bio-Formulation Development and Shelf-Life Studies of Locally Isolated Bio-Fertilizer Strains. Oct. J. Environ. Res. 2014, 2, 32–37. [Google Scholar]



| Carrier Material | BG 1 | FYM 2 | SD 3 | WB 4 | RH 5 | Purpose | |
|---|---|---|---|---|---|---|---|
| Klebsiella grimontii MPUS7 | Set 1 | 20 g | 20 g | 20 g | 20 g | 20 g | 8 °C storage |
| Set 2 | 20 g | 20 g | 20 g | 20 g | 20 g | 25 °C storage | |
| Serratia marcescens NGAS9 | Set 1 | 20 g | 20 g | 20 g | 20 g | 20 g | 8 °C storage |
| Set 2 | 20 g | 20 g | 20 g | 20 g | 20 g | 25 °C storage | |
| Citrobacter freundii LUTT5 | Set 1 | 20 g | 20 g | 20 g | 20 g | 20 g | 8 °C storage |
| Set 2 | 20 g | 20 g | 20 g | 20 g | 20 g | 25 °C storage |
| Sawdust | Wheat Bran | FYM | Bagasse | Rice Husks | Average | p Value | |
|---|---|---|---|---|---|---|---|
| pH | 4.73 ± 0.13 b | 4.63 ± 1.07 b | 8.38 ± 0.24 a | 4.35 ± 0.19 b | 5.37 ± 0.21 b | 5.49 ± 1.59 | 0.000 * |
| EC (uS cm−1) | 0.116 ± 0.027 c | 1.174 ± 0.634 ab | 1.985 ± 0.349 a | 0.194 ± 0.062 c | 0.89 ± 0.026 bc | 0.993 ± 0.853 | 0.000 * |
| WHC (%) | 388 ± 22 b | 155 ± 28 c | 101 ± 7 c | 568 ± 90 a | 62 ± 46 c | 255 ± 203 | 0.000 * |
| MC (%) | 17.1 ± 0.6 a | 10.3 ± 0.5 b | 15.8 ± 1.4 a | 8.6 ± 1.5 b | 8.2 ± 0.3 b | 11.9 ± 3.9 | 0.000 * |
| N (%) | 0.100 ± 0.03 | 0.060 ± 0.04 | 0.130 ± 0.01 | 0.090 ± 0.08 | 0.160 ± 0.01 | 0.110 ± 0.05 | 0.154 |
| OC (%) | 1.84 ± 0.17 | 0.70 ± 0.51 | 1.45 ± 0.14 | 1.07 ± 0.92 | 1.31 ± 0.37 | 1.27 ± 0.58 | 0.154 |
| OM (%) | 3.17 ± 0.28 | 1.20 ± 0.88 | 2.50 ± 0.24 | 1.85 ± 1.58 | 2.25 ± 0.63 | 2.20 ± 1.00 | 0.152 |
| P (mg kg−1) | 248.7 ± 103.7 b | 323.6 ± 109.2 b | 1354.6 ± 68.9 a | 183.3 ± 29.9 b | 270.8 ± 64.4 b | 476.2 ± 462.0 | 0.000 * |
| K (mg kg−1) | 9.26 ± 5.16 | 9.06 ± 1.44 | 11.70 ± 0.96 | 6.24 ± 0.52 | 7.49 ± 0.96 | 8.75 ± 2.99 | 0.225 |
| Zn (mg kg−1) | 221.3 ± 136.5 ab | 203.8 ± 69.33 ab | 442.6 ± 30.99 a | 87.4 ± 33.22 b | 266.1 ± 192.4 ab | 244.2 ± 152.3 | 0.034 * |
| Fe (mg kg-1) | 0.99 ± 0.29 b | 1.24 ± 0.49 b | 3.68 ± 1.62 a | 0.72 ± 0.14 b | 0.84 ± 0.33 b | 1.49 ± 1.32 | 0.005 * |
| Storage Conditions | K. grimontii MPUS7 | S. marcescens NGAS9 | C. freundii LUTT5 | p Value |
|---|---|---|---|---|
| Room Conditions (25 ± 2°C) | ||||
| Wheat Bran | 3.721 ± 1.107 a | 3.055 ± 1.265 a | 3.168 ± 1.267 a | 0.285 |
| Sawdust | 3.626 ± 0.464 a | 3.544 ± 0.414 a | 3.697 ± 0.599 a | 0.702 |
| Farm Yard Manure | 3.548 ± 0.962 a | 3.935 ± 1.077 a | 3.495 ± 0.694 a | 0.372 |
| Rice Husks | 2.921 ± 1.159 a | 3.385 ± 0.670 a | 3.202 ± 0.463 a | 0.302 |
| Bagasse | 3.398 ± 0.418 b | 3.351 ± 0.404 b | 4.094 ± 0.424 a | <0.0001 |
| Refrigerated Conditions (8°C) | ||||
| Wheat Bran | 2.799 ± 1.694 b | 3.806 ± 1.056 a | 3.792 ± 0.515 a | 0.038 |
| Sawdust | 3.934 ± 0.506 a | 3.850 ± 0.478 a | 3.607 ± 1.125 a | 0.482 |
| Farm Yard Manure | 3.977 ± 0.509 a | 3.868 ± 0.512 a | 3.825 ± 0.561 a | 0.702 |
| Rice Husks | 3.401 ± 1.039 a | 2.829 ± 0.826 a | 2.855 ± 1.553 a | 0.351 |
| Bagasse | 4.071 ± 0.755 a | 3.927 ± 0.516 a | 4.187 ± 0.353 a | 0.456 |
Publisher’s Note: MDPI stays neutral with regard to jurisdictional claims in published maps and institutional affiliations. |
© 2022 by the authors. Licensee MDPI, Basel, Switzerland. This article is an open access article distributed under the terms and conditions of the Creative Commons Attribution (CC BY) license (https://creativecommons.org/licenses/by/4.0/).
Share and Cite
Aloo, B.N.; Mbega, E.R.; Makumba, B.A.; Tumuhairwe, J.B. Effects of Carrier Materials and Storage Temperatures on the Viability and Stability of Three Biofertilizer Inoculants Obtained from Potato (Solanum tuberosum L.) Rhizosphere. Agriculture 2022, 12, 140. https://doi.org/10.3390/agriculture12020140
Aloo BN, Mbega ER, Makumba BA, Tumuhairwe JB. Effects of Carrier Materials and Storage Temperatures on the Viability and Stability of Three Biofertilizer Inoculants Obtained from Potato (Solanum tuberosum L.) Rhizosphere. Agriculture. 2022; 12(2):140. https://doi.org/10.3390/agriculture12020140
Chicago/Turabian StyleAloo, Becky Nancy, Ernest Rashid Mbega, Billy Amendi Makumba, and John Baptist Tumuhairwe. 2022. "Effects of Carrier Materials and Storage Temperatures on the Viability and Stability of Three Biofertilizer Inoculants Obtained from Potato (Solanum tuberosum L.) Rhizosphere" Agriculture 12, no. 2: 140. https://doi.org/10.3390/agriculture12020140
APA StyleAloo, B. N., Mbega, E. R., Makumba, B. A., & Tumuhairwe, J. B. (2022). Effects of Carrier Materials and Storage Temperatures on the Viability and Stability of Three Biofertilizer Inoculants Obtained from Potato (Solanum tuberosum L.) Rhizosphere. Agriculture, 12(2), 140. https://doi.org/10.3390/agriculture12020140
