You are currently viewing a new version of our website. To view the old version click .
Agriculture
  • Article
  • Open Access

14 December 2022

Fall Straw Incorporation with Plastic Film Cover Increases Corn Yield and Water Use Efficiency under a Semi-Arid Climate

,
,
,
,
,
,
and
1
Institute of Applied Ecology, Chinese Academy of Sciences, Shenyang 110016, China
2
Engineering Research Center for Dryland and Water-Efficient Farming of Liaoning Province, Tillage and Cultivation Research Institute, Liaoning Academy of Agricultural Sciences, Shenyang 110161, China
3
Academy of Agriculture Planning and Engineering, Mara, Beijing 100081, China
4
Department of Agriculture & Environmental Sciences & Cooperative Research, Lincoln University of Missouri, Jefferson City, MO 65102, USA
This article belongs to the Special Issue Agronomic Management of Crops in Arid and Semi-arid Environments

Abstract

Corn straw incorporation in soil has been regarded as an environment-friendly approach for straw utilization. However, straw incorporation has been a challenge under a cold and dry climate due to slow decomposition. This field study was to use a novel approach to incorporate corn straw into the soil during the fall season with a plastic film cover in an effort to enhance the straw degradation, soil water use efficiency, and corn growth and yield. Two-year field experiments were conducted in northeast China to investigate the effects of four treatments on soil properties and corn growth: (1) straw incorporation with film cover, (2) straw incorporation only, (3) film cover only, and (4) control. Soils and corn plants were collected during the growing season and analyzed for soil temperature and moisture, straw degradation, corn biomass, grain yield, and water use efficiency. Results indicated that straw incorporation with film cover increased grain yield by 53% as compared to straw incorporation only and by 102% to control. The straw decomposition under film cover was 20% faster, significantly higher than that of the straw incorporation treatment. In all cases, soil water content before planting, corn water uptake, and corn water use efficiency under straw incorporation with film cover were significantly higher than straw incorporation and control. Surface film cover resulted in 10-day earlier corn tasseling in compared to treatments without film cover. This field study demonstrated that straw incorporation with film cover would enhance straw degradation in soil, improve soil properties, and increase corn yield and water use efficiency, which could be potentially used as a sustainable soil management practice in northeast China.

1. Introduction

Corn (Zea mays L.) is one of the most important crops in China. It was estimated that 31% of corn grains were produced in northeast China. This also led to the massive production of corn straws. According to statistics, the production of corn straw in northeast China reached 98 million tons in 2015 []. As a common agricultural practice, most corn stalks produced are burned in the field. However, the burning of crop residues emits harmful substances, including particulate matter (PM), volatile organic compounds, greenhouse gases, and other toxins, into the atmosphere, which contributes to air pollution and threatening human health []. In an effort to reduce air pollution and protect human health, the Chinese government has officially banned direct straw burning, which was implemented in April 2014 []. Therefore, there is an urgent need to develop environment-friend and low-costly techniques for straw utilization [].
Five common utilizations for crop residues included the uses as energy, fertilizer, feed, industrial raw material, and base material []. Among such utilizations, many technologies have been developed for corn straws, such as direct combustion for power generation [], briquette fuel processing [], production of biochar [], syngas, butanol and pulp [], biomass films [], rigid polyurethane composite foams [], and special animal feed. However, straw returning into the soil remains the most common straw utilization practice in China. It was estimated that 32% of the total straws produced were returned to soil annually [], and this number has been increasing recently.
Returning straws to soil has been considered a sustainable, low-cost practice that enhances carbon sequestration, increases soil organic matter, and improves soil health. The degradation of straws in the soil is a microbial-driven biochemical process that requires certain temperatures, moisture, and other environmental conditions. However, in northeast China, the practice of straw return to soil has become a challenge due to the cold and dry winter, which limits microbial activity in soil and straw degradation processes. It is, therefore, critical to develop effective practices that overcome the constraints on straw decomposition under the cold and dry climate in northeast China to promote corn straw incorporation and utilization in the region.
Plastic film cover on the soil surface was confirmed as an effective practice in northeast China that reduced soil water evaporation and increased soil water content and temperature during earlier spring, consequently promoting corn growth, water use efficiency, and grain yield. Jin et al. (2018) [] used an in situ 13C-tracing technique and confirmed that plastic film cover enhanced the decomposition of corn straw in soil. The ridge-furrow with polyethylene film cover and straw incorporation in loess soils showed improved soil organic carbon stocks, water storage, grain yields, and higher water use efficiency compared to the ridge-furrow with film cover only. The ridge–furrow plastic film cover combined with straw ditch burying was reported to improve soil hydrothermal conditions, accelerate straw decomposition, and enhance crop growth and yields in the loess, relatively dry region of northwestern China [].
Despite various benefits of plastic film cover with straw incorporation during the growing season, the effects of fall film cover with straw incorporation on straw decomposition, soil properties, corn yield, and water use efficiency were little elucidated and still largely unknown. We hypothesized that the straw incorporation combined with film cover in fall would improve soil water availability and temperature during winter and spring, consequently promoting straw degradation, improving soil health, and increasing corn water use efficiency and grain yield, specifically under the semi-arid climate of northeast China. The objectives of this field study were to (i) investigate the impacts of fall straw incorporation with film cover on soil properties and straw degradation and (ii) quantify corn growth, grain yield, and water use efficiency in northeast China.

2. Materials and Methods

2.1. Site Description

Field plots were located at the National Agricultural Experimental Station in Fuxin, Liaoning Province, northeast China (121.70° N, 42.11° E, 213 m altitude) (Figure 1). The climate of the site is classified as cold, dry winter and hot summer in the Köppen–Geiger classification, with an annual mean temperature of 8.2 °C, annual rainfall amount of 504.9 mm (429 mm in April–September growing season), potential annual evaporation of 1050 mm, and annual frost-free days of 175. Soil was a calcic cinnamon silt loam (brown podzolic soil, 60.6% sand, 20.5% silt, 18.9% clay), with a bulk density averaged at 1.55 g cm−3, organic matter of 11.6 g kg−1, total nitrogen (N), phosphorus (P), potassium (K) of 0.64, 0.66, and 2.46 g kg−1, and available N, P, and K of 72.6, 136, and 62.2 mg kg−1 (20 cm topsoil).
Figure 1. Location of the experimental site (red pentacle).
Weather data during the experimental period (October 2015–September 2017) were measured with an automatic weather station (WS-STD1, Delta-T, Cambridge, UK) near the site (Figure 2). The precipitation during the fallow season (October to May) was 118.7 mm in 2015–2016 and 53.1 mm in 2016–2017. The precipitation during the growing season (May to September) was 441 mm in 2016 and 300 mm in 2017. The pan evaporation during the fallow season was similar for two years at an average of 530 mm.
Figure 2. Daily precipitation and air temperature near the experimental site during the period of 2015–2016 (A) and 2016–2017 (B).

2.2. Experimental Design

Field experiments were conducted from October 2015 to September 2017 for two crop-growing seasons. The experimental plots were 50-m2 size (10 by 5 m) arranged as a randomized complete block design with four treatments and three replicates per treatment. Four treatments included: (1) fall plastic film cover following corn harvest (AM), (2) fall corn straw incorporation (20 cm topsoil) followed by film cover after harvest (AMS), (3) fall corn straw incorporation following harvest without film cover (S), and (4) control without corn straw and film cover (N). Each plot was separated by brick walls (10-cm high above soil surface) to eliminate the surface runoff across plots.
In fall season (October), after corn harvest, the plots were plowed at 30-cm depth by a tractor, and rows were prepared at spacing of 50 cm apart. Corn straws were chopped into 3–5 cm long pieces and incorporated into soil at 10–30 cm depth manually at a rate of 9000 kg ha−1. Fertilizers were applied in AM and AMS plots before film cover in fall and in S and N plots in spring before corn planting at the rate of 522 kg ha−1 of ureophil (46% N), 1250 kg ha−1 of superphosphate (12% P2O5) and 147 kg ha−1 of potassium sulfate (51% K2O). Herbicide (acetochlor) was applied in AM and AMS plots before film cover in fall and in S and N plots in spring before corn planting. The locally-produced white polyethylene plastic film (100 cm wide, 0.01 mm thick) was used to cover the two rows, and 10-cm film at each side was buried into soil, with a soil coverage ratio of 80%. In spring season (early May), corns (Zhengdan 958) were sowed at 33-cm intervals in the rows, with a planting density of 6 plants m−2. Plots were irrigated at 60 mm water after corn planting in spring of 2017 only due to the spring drought, but no additional irrigation was provided during other experimental periods. Other field management practices were the same as local farmers. Each year, corn grains and biomass were harvested in late September, and the film covers from previous year were removed.

2.3. Sampling and Measurement

2.3.1. Soil Water Content and Temperature

Soil water contents were measured at 3–5 week intervals during the growing season. A 1-m long, 5-cm diameter soil core was collected using a soil auger from the center of each plot between two rows (2016: 6 May, 28 June, 27 July, 17 August, 28 September; 2017: 2 May, 18 June, 17 July, 15 August, 28 September) and cut into 10-cm increments. The samples were oven-dried at 105 °C for 48 h and weighed for measurement of soil gravimetric water content. Soil volumetric water content was calculated by multiplying the gravimetric water content with soil bulk density measured. Soil water storage in the root zone was calculated by adding soil water contents over 1-m depth.
Soil temperature was measured hourly and recorded by the sensors of Decagon-5TM (Decagon, EC-TM, Pullman, WA, USA) during the period from 1 October 2015 to 28 September 2017. The sensors were placed at 5 cm soil depth between two rows at the center of each plot.

2.3.2. Straw Decomposition

The corn straw decomposition in soil was measured using the nylon mesh bag method. In AMS and S treatment plots, 120 nylon mesh bags (15 cm long and wide, 1 mm bore diameter) containing 30 g air-dried corn straw each were buried in non-planting rows on 1 October in 2015 and 2017, respectively. Three bags were collected monthly from each plot during the growing season. The straws in each bag were rinsed with water and oven-dried at 70 °C to constant weight and determined for straw decomposition rate.

2.3.3. Yield and Dry Matter

Corn grain yield was measured at harvest on 28 September of 2016 and 2017 in the 6-m2 sampling area (3 by 2 m) at the center of each plot. The grains of collected 10 corn plants were air-dried to 14% water content and measured for ear density (ear m−2, ear per plant × plant density), kernels per ear, and 1000-kernel weight.
Corn above-ground dry matter in each plot was determined by randomly harvesting 3 plants in a 2-m2 sampling area during the growing season (2016: 2 June, 28 June, 27 July, 17 August; 2017: 24 May, 18 June, 17 July, 15 August) and a 6-m2 area at harvest (28 September in 2016 and 2017). Each sampling area was at least 1 m apart from previous sampling areas to avoid the gap effects. The plant samples were separated into stems, leaves, and grains and oven-dried at 80 °C for 48 h to constant weight and weighed. Harvest index (HI) was calculated as grain yield divided by total dry matter.

2.4. Data Analysis and Statistics

Water use (WU, mm) during the growing season and the fallow period, including evaporation from bare soil and transpiration by crop, was calculated using a simplified soil water balance equation as listed in Equation (1) because water deep percolation and capillary rise are often limited in semi-arid region and were ignored in water balance calculation due to low rainfall and deep water table []
WU = P + ΔSW
where P (mm) was rainfall amounts and ΔSW the change of soil water storage within the 100 cm root zone between planting and harvest.
Water use efficiency (WUE, g m−2 mm−1) was calculated as grain yield or biomass divided by total water use during the growing season, as shown in Equation (2):
WUE = Y/WU
where Y (g m−2) was grain yield or dry matter and WU (mm) the water use in growing season.
Straw decomposition rate was calculated as Equation (3):
Straw decomposition rate (%) = (M0 − Mt) × 100%/M0
where M0 was the initial dry straw added (g); Mt the dry straw remaining at time t (d).
Analysis of variance (ANOVA) was performed on yield, dry matter, harvest index, temperature, WU and WUE using SPSS 18.0 (IBM, Chicago, IL, USA). Least significant differences were used to separate treatment means and treatment–year interactions at the 5% significance level.

3. Results

3.1. Grain Yield

The average two-year grain yield in AMS was 11.3 t ha−1, 53% higher than that in S and 102% higher than in N, but not significantly different with AM (p < 0.05; Table 1). The interactions between year and treatment were not significant. The number of kernels per ear in AMS and AM was similar but 36% higher than in S and 87% higher than in N. The greater kernels per ear in AMS and AM were attributed to longer ears and larger ear diameters (Table 1). The two-year average of 1000-kernel weight in AMS was 8% higher than in S and 12% higher than in N but not significantly different with AM (p < 0.05; Table 1). The ear density (number of ears per unit area) was slightly greater in N and S than in AMS and AM.Ear density was significantly affected by the interaction of year and treatment (p = 0.035), which may be attributed to weather differences in the two years. This suggested that treatment effects were affected by weather conditions. The wet or warm climate could mitigate the effects caused by film cover. The treatment effects on kernels per ear and kernel weight did not interact across the year.
Table 1. Corn grain yield and yield components among treatments in 2016 and 2017.

3.2. Dry Matter and Harvest Index

Dry matters in AMS and AM were significantly higher than in S and N for both years (p < 0.05), There was no significant difference between AMS and AM. The dry matter during the later growing season (after tasseling) was significantly higher in S than in N (Figure 3). The harvest index was not significantly different among treatments (Table 1).
Figure 3. Dynamics of above-ground dry matter of corn in the treatments of straw incorporation combined with fall film mulch (AMS), fall film cover only (AM), straw incorporation only (S), and control (no film and no straw added, N) in 2016 (A) and 2017 (B).

3.3. Soil Temperature

The average soil temperature at 5-cm depth in AMS was 2.5 °C higher than in S and 2.4 °C higher than in N during the winter season, and 4.1 °C higher than in S and 3.6 °C higher than in N at the planting time, while there was no significant difference between AMS and AM. During the early growing season (emergence to six full leaves), soil temperature at a 5-cm depth showed no difference between AM and AMS, but both film treatments (AMS and AM) had an average of 2.8 °C higher soil temperature than S and 2.5 higher than N (Figure 4). After 55 to 61 days, there was no significant difference in soil temperature among treatments for both years.
Figure 4. Comparison of soil temperature at 5-cm depth among treatments in 2015–2016 (A) and 2016–2017 (B).

3.4. Daily Water Use and Water Availability

The average of daily water use (DWU) in AMS was 0.14 mm d−1 lower than in S and 0.25 mm d−1 lower than in N, but not significantly different from AM during the fallow season (Table 2), which resulted in significantly higher soil water content in AMS and AM in the 0–100 soil at the early growing season, as compared to S and N (Figure 5A,D). During the early growing stage (planting to V6), the average of DWU in AMS was 1 mm d−1 lower than S and 1.35 mm d−1 lower than N but not significantly different from AM (Table 2). At the tasseling stage, the soil water content in AMS and AM was greater than those in N and S (Figure 5B,E), while at the harvest, there was no significant difference (p > 0.05) among treatments for both years (Figure 5C,F). The grain-filling period of maize was significantly influenced by year and treatment interactions(p = 0.036). The treatment effects were inconsistent across years due to the presence of treatment–years interactions, which affected the correct estimation of water requirements during the filling period. The differences between treatments causing years are related to the differences in annual rainfall. Results showed that soil water under film cover treatments provided a greater water availability or supply during the tasseling and harvest period. During the grain filling stage (R3 to harvest), the average of DWU in AMS was 1.08 mm d−1 higher than in S and 1.26 mm d−1 higher than in N but showed no significant difference with AM (Table 2), which supported higher kernel weights measured in AMS and AM (Table 1).
Table 2. Daily water use (mm d−1) at the fallow and corn growing seasons among treatments in 2015–2016 and 2016–2017 periods.
Figure 5. Distribution of averaged soil moisture content (n = 4) within 100 cm soil profile among treatments at various corn growth stages in 2016 (AC) and 2017 (DF).

3.5. Water Uptake and Use Efficiency

The water uptake in AMS and AM were 409 mm and 404 mm, respectively, during the growing season, which was slightly higher than 390 mm in S and 358 mm in N. The water use during the winter period (primarily evaporative loss) was 78 mm in AMS and 81 mm in AM, which was significantly lower than 109 mm in S and 133 mm in N (p < 0.05; Table 3).
Table 3. Total water use (WU) and water use efficiency for grain yield (WUEY) and above-ground dry matter (WUEB) among four treatments during 2015–2016 and 2016–2017 periods.
Grain WUE (WUEY) of AMS was 46% higher than of S and 79% higher than of N but showed no significant difference with AM across the two seasons. Biomass WUE (WUEB) in AMS was 48% higher than in S and 70% higher than in N but did not significantly differ with AM across the two seasons (Table 3). The interactions between treatment and year for both WUEY and WUEB were not significantly different (Table 3). However, for WU during the growing season, the interaction by treatment and year was significant (p = 0.01), with significantly higher water requirements in 2015/2016 than in 2016/2017 (Figure 2). Water consumption throughout the growing season was significantly different in both years with abundant and low rainfall, but in 2016/2017, with less rainfall, This difference was more pronounced in the years.

3.6. Straw Decomposition Rate

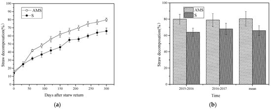
In general, the decomposition rate of corn straw in the AMS treatment averaged 80% (Figure 6a), which was 20% higher than that in the S treatment. There was no significant difference measured between the two years (Figure 6b).
Figure 6. (a) Decomposition rate of corn straw in treatments of AMS and S during two growth seasons. (b) Average straw decomposition across each growing season. Points represent average straw decomposition and bars as standard error (n = 4).

4. Discussion

Plastic film cover was reported to improve soil water availability and soil temperature [,]. Previous studies showed that corn grain yield could be increased by plastic film cover during winter and early spring seasons in the arid or semi-arid region of China [,,], while the advantage of straw returning to the field was only recognized for the improvement of soil moisture and temperature []. In this field study, straw incorporation combined with plastic film cover in winter not only improved soil water availability and soil temperature but significantly increased corn yield compared with straw incorporation only and no-film control, especially in the context of 1000-kernel weight []. Higher soil temperature and soil moisture content in early spring would promote corn growth and enhance dry matter accumulation by increasing kernel number per ear and improving corn transpiration and grain filling, consequently increasing the 1000-kernel weight and grain yield [,]. Even though this two-year experiment showed that straw incorporation combined with plastic film cover in winter had the same treatment effect on corn yield as plastic film cover, it is believed that straw incorporation combined with plastic film cover would have a greater long-term benefit to corn yield than plastic film cover or straw incorporation alone, because of enhanced straw decomposition and improved soil properties and health [,,].
Plastic film cover was an effective practice for increasing topsoil temperature and soil water content in winter and early spring [,], which resulted from high net radiation gain and the greenhouse effect. In this study, both AMS and AM treatments showed increased soil temperature at a 5-cm depth during the winter and early spring seasons, which would promote seed germination and seedling establishment, especially in a cool spring. In addition, straw incorporation practice could benefit from and be promoted by plastic film cover in northern China because it was found that the straw decomposition rate under plastic film was higher than that without plastic film, which was attributed to increased soil temperature and improved soil moisture condition.
The treatments of both AMS on corn yield or yield components were more effective in the relatively dry year of 2017 than in the normal year of 2016, suggesting that film cover treatment would help mitigate the adverse impacts of cold and dry climate on corn growth.
Corn water use between film cover and bare soil was dependent on not only total water consumption but also a relative portion of transpiration and evaporation. In this study, both AMS treatments reduced soil water loss through surface evaporation during the winter season, which contributed not only to good soil moisture conditions for corn emergence and seedling establishment but also to higher transpiration for grain filling. Data indicated that limited soil moisture for straw decomposition could be alleviated by plastic film cover in winter [,].
A scenario of future climate change indicated an increased variability of precipitation and temperature pattern in northern China. An increase in the frequency and severity of droughts and the extreme temperature has already been documented in various locations in northeast China []. Such climate change would further aggravate drought []. This climate change will cause a serious challenge for sustainable agriculture and straw incorporation practice. Straw incorporation combined with fall plastic film cover could be useful to mitigate climate risks by retaining soil water, alleviating cold stress, and enhancing the efficiency of straw returning practice to soil [,]. Plastic film cover has also been shown effective in reducing greenhouse gas emissions, and plastic film cover with straw incorporation was recommended as an effective approach to mitigate greenhouse effects and increase soil carbon sequestration. In addition, long-term use of plastic film cover could lead to deterioration of soil health, while straw incorporation practice combined with film cover could improve soil properties or soil health and mitigate healthy soil degradation []. Therefore, the implementation of straw incorporation combined with fall film cover could be an environmental-sound, cost-effective strategy for straw utilization and sustainable agriculture production [,] in the northeastern region of China.
The effectiveness of fall film cover after straw incorporation has been confirmed to reduce soil water evaporative losses and increase water availability for plant growth [,,]. Thus straw incorporation combined with film cover in fall could be a useful practice that may sustain corn production and alleviate regional environmental issues caused by crop residues []. In the long run, such practice would also provide a valuable tool for solving the issue of soil health and fertility decline caused by continuous plastic film cover practice [,].
When crops are harvested, the old plastic film needs to be removed to prevent the accumulation in soil, which may damage soil quality, water infiltration, and root penetration, consequently affecting crop growth and yield. The removed plastic film must be disposed of properly. However, in current practice, plastic film residues are often left in the field or burned by farmers, causing potential environmental pollution. A biodegradable film that can be degraded gradually by radiation and/or soil microorganisms may be a promising alternative to retain the advantages and overcome shortcomings of conventional plastic films [,]. Therefore, straw incorporation practice that is combined with biodegradable film cover is urgently needed in the northeastern region of China.

5. Conclusions

Results of this study showed that fall straw incorporation combined with plastic film cover resulted in higher corn biomass, grain yield, and water use efficiency through reduced soil water evaporative loss during the winter season and increased soil water content and availability in the early growing season. The grain yield of the straw incorporation combined with plastic film cover increased by 53% and water use efficiency by 45% as compared with only straw incorporation, and 102% and 79%, respectively, in comparison to without the cover. In addition, film cover would increase soil temperature by an average of 4.1 °C in early spring and enhance the decomposition of straw incorporated into the soil. Corn grain yield tended to be slightly higher in 2017 than in 2016, which may be attributed to yearly weather variability. With a continued, long-term straw return to soil practice, a higher corn yield is expected because of carbon sequestration and improved soil health. Therefore, the implementation of straw incorporation practice with fall film cover would be highly recommended as an environmental-sound practice for sustaining soil health and crop production in northern China.

Author Contributions

Conceptualization and methodology by Z.S., G.Y. and Y.Z.; experimentation, data collection and analysis, and original draft preparation by Z.Z. and N.L.; resources by W.B.; manuscript review and editing by J.Y.; visualization by L.F. All authors have read and agreed to the published version of the manuscript.

Funding

This research was funded by the National Key Research and Development Program, grant number (2022YFD1500605); the Shenyang Young and Middle-aged Scientific and Technological Innovation Talents Support Program, grant number (RC200282); the Strategic Priority Research Program of the Chinese Academy of Sciences, grant number (XDA28090200); Major Science and Technology Project of Liaoning Provincial Science and Technology Department—Research and Demonstration of Key Technologies for Sand Control in Northwest Liaoning. The Liaoning Province “Top Ranking” Key Science and Technology Project, grant number (2021JH1/10400039); the Subject Construction Project of Liaoning Academy of Agricultural Sciences, grant number (2022DD062010); the Basic Scientific Research Funds of Liaoning Academy of Agricultural Sciences, grant number (2021HQ1907); the Observing and Monitoring Basic and Long-term Scientific and Technological Work in Agriculture, grant number (NAES034AE02); the Science and Technology Innovation Leading Talents Project of Xingliao Talents Plan, grant number (XLYC2002051); the Xingliao Talents Plan High-level Innovation and Entrepreneurship Team, grant number (XLYC1908013); Climate Smart Agriculture—Straw Returning and Soil Health Promotion Project in North China Plain and Northeast China, grant number (SR-2021-9); the Foundation Project of President of Liaoning Academy of Agricultural Sciences, grant number (2022MS0402); and the Liaoning Province Doctoral Start-up Fund, grant number (2022-BS-052).

Conflicts of Interest

The authors declare no conflict of interest.

References

  1. Wang, X.E.; Li, K.; Song, J.; Duan, H.; Wang, S. Integrated assessment of straw utilization for energy production from views of regional energy, environmental and socioeconomic benefits. J. Clean. Prod. 2018, 190, 787–798. [Google Scholar] [CrossRef]
  2. Xia, F.; Liu, H.; Lu, J.; Lv, Y.; Zhai, S.; An, Q.; Cheng, Y.; Wang, H. An integrated biorefinery process to produce butanol and pulp from corn straw. Ind. Crops Prod. 2019, 140, 111648. [Google Scholar] [CrossRef]
  3. Li, J.; Zhang, X.; Zhang, J.; Mi, Q.; Jia, F.; Wu, J.; Yu, J.; Zhang, J. Direct and complete utilization of agricultural straw to fabricate all-biomass films with high-strength, high-haze and UV-shielding properties. Carbohydr. Polym. 2019, 223, 115057. [Google Scholar] [CrossRef] [PubMed]
  4. Liu, E.K.; He, W.Q.; Yan, C.R. ‘White revolution’ to ‘white pollution’—Agricultural plastic film mulch in China. Environ. Res. Lett. 2014, 9, 091001. [Google Scholar] [CrossRef]
  5. An, T.; Schaeffer, S.; Li, S.; Fu, S.; Pei, J.; Li, H.; Zhuang, J.; Radosevich, M.; Wang, J. Carbon fluxes from plants to soil and dynamics of microbial immobilization under plastic film mulching and fertilizer application using 13C pulse-labeling. Soil Biol. Biochem. 2015, 80, 53–61. [Google Scholar] [CrossRef]
  6. Hong, J.; Ren, L.; Hong, J.; Xu, C. Environmental impact assessment of corn straw utilization in China. J. Clean. Prod. 2016, 112, 1700–1708. [Google Scholar] [CrossRef]
  7. Chen, Y.; Liu, T.; Tian, X.; Wang, X.; Chen, H.; Li, M.; Wang, S.; Wang, Z. Improving Winter Wheat Grain Yield and Water Use Efficiency through Fertilization and Mulch in the Loess Plateau. Agron. J. 2015, 107, 2059–2068. [Google Scholar] [CrossRef]
  8. Moiwo, J.P.; Tao, F. Contributions of precipitation, irrigation and soil water to evapotranspiration in (semi)-arid regions. Int. J. Climatol. 2015, 35, 1079–1089. [Google Scholar] [CrossRef]
  9. Xiukang, W.; Zhanbin, L.; Yingying, X. Effects of mulching and nitrogen on soil temperature, water content, nitrate-N content and maize yield in the Loess Plateau of China. Agric. Water Manag. 2015, 161, 53–64. [Google Scholar] [CrossRef]
  10. Wang, Y.P.; Li, X.G.; Fu, T.; Wang, L.; Turner, N.C.; Siddique, K.H.M.; Li, F.-M. Multi-site assessment of the effects of plastic-film mulch on the soil organic carbon balance in semiarid areas of China. Agric. For. Meteorol. 2016, 228–229, 42–51. [Google Scholar] [CrossRef]
  11. Angus, J.F.; Herwaarden, A.F. Increasing Water Use and Water Use Efficiency in Dryland Wheat. Agron. J. 2001, 93, 290–298. [Google Scholar] [CrossRef]
  12. Jin, X.; An, T.; Gall, A.R.; Li, S.; Filley, T.; Wang, J. Enhanced conversion of newly-added maize straw to soil microbial biomass C under plastic film mulching and organic manure management. Geoderma 2018, 313, 154–162. [Google Scholar] [CrossRef]
  13. Li, Y.; Song, D.; Dang, P.; Wei, L.; Qin, X.; Siddique, K.H.M. Combined ditch buried straw return technology in a ridge–furrow plastic film mulch system: Implications for crop yield and soil organic matter dynamics. Soil Tillage Res. 2020, 199, 104596. [Google Scholar] [CrossRef]
  14. Scarascia-Mugnozza, G.; Schettini, E.; Vox, G. Effects of Solar Radiation on the Radiometric Properties of Biodegradable Films for Agricultural Applications. Biosyst. Eng. 2004, 87, 479–487. [Google Scholar] [CrossRef]
  15. Wang, T.; Li, Y.; Zhi, D.; Lin, Y.; He, K.; Liu, B.; Mao, H. Assessment of combustion and emission behavior of corn straw biochar briquette fuels under different temperatures. J. Environ. Manag. 2019, 250, 109399. [Google Scholar] [CrossRef] [PubMed]
  16. Mu, C.T.; Ding, N.; Hao, X.Y.; Zhao, Y.B.; Wang, P.J.; Zhao, J.X.; Ren, Y.S.; Zhang, C.X.; Zhang, W.J.; Xiang, B.W.; et al. Effects of different proportion of buckwheat straw and corn straw on performance, rumen fermentation and rumen microbiota composition of fattening lambs. Small Rumin. Res. 2019, 181, 21–28. [Google Scholar] [CrossRef]
  17. Cai, A.; Liang, G.; Zhang, X.; Zhang, W.; Li, L.; Rui, Y.; Xu, M.; Luo, Y. Long-term straw decomposition in agro-ecosystems described by a unified three-exponentiation equation with thermal time. Sci. Total Environ. 2018, 636, 699–708. [Google Scholar] [CrossRef]
  18. Yu, X.; He, X.; Zheng, H.; Guo, R.; Ren, Z.; Zhang, D.; Lin, J. Spatial and temporal analysis of drought risk during the crop-growing season over northeast China. Nat. Hazards 2013, 71, 275–289. [Google Scholar] [CrossRef]
  19. Chen, J.; Li, C.; Ristovski, Z.; Milic, A.; Gu, Y.; Islam, M.S.; Wang, S.; Hao, J.; Zhang, H.; He, C.; et al. A review of biomass burning: Emissions and impacts on air quality, health and climate in China. Sci. Total Environ. 2017, 579, 1000–1034. [Google Scholar] [CrossRef]
  20. Xu, X.; Ge, Q.; Zheng, J.; Dai, E.; Zhang, X.; He, S.; Liu, G. Agricultural drought risk analysis based on three main crops in prefecture-level cities in the monsoon region of east China. Nat. Hazards 2013, 66, 1257–1272. [Google Scholar] [CrossRef]
  21. Briassoulis, D. Mechanical behaviour of biodegradable agricultural films under real field conditions. Polym. Degrad. Stab. 2006, 91, 1256–1272. [Google Scholar] [CrossRef]
  22. Song, X.; Li, L.; Fu, G.; Li, J.; Zhang, A.; Liu, W.; Zhang, K. Spatial–temporal variations of spring drought based on spring-composite index values for the Songnen Plain, Northeast China. Theor. Appl. Climatol. 2013, 116, 371–384. [Google Scholar] [CrossRef]
  23. Zhang, S.; Deng, M.; Shan, M.; Zhou, C.; Liu, W.; Xu, X.; Yang, X. Energy and environmental impact assessment of straw return and substitution of straw briquettes for heating coal in rural China. Energy Policy 2019, 128, 654–664. [Google Scholar] [CrossRef]
  24. Li, H.; Dai, M.; Dai, S.; Dong, X. Current status and environment impact of direct straw return in China’s cropland—A review. Ecotoxicol. Environ. Saf. 2018, 159, 293–300. [Google Scholar] [CrossRef]
  25. Tian, Y.; Su, D.; Li, F.; Li, X. Effect of rainwater harvesting with ridge and furrow on yield of potato in semiarid areas. Field Crops Res. 2003, 84, 385–391. [Google Scholar] [CrossRef]
  26. Han, J.; Jia, Z.; Wu, W.; Li, C.; Han, Q.; Zhang, J. Modeling impacts of film mulching on rainfed crop yield in Northern China with DNDC. Field Crops Res. 2014, 155, 202–212. [Google Scholar] [CrossRef]
  27. Chen, Q.; Liu, Z.; Zhou, J.; Xu, X.; Zhu, Y. Long-term straw mulching with nitrogen fertilization increases nutrient and microbial determinants of soil quality in a maize–wheat rotation on China’s Loess Plateau. Sci. Total Environ. 2021, 775, 145930. [Google Scholar] [CrossRef]
  28. Liu, X.E.; Li, X.G.; Hai, L.; Wang, Y.P.; Li, F.M. How efficient is film fully-mulched ridge–furrow cropping to conserve rainfall in soil at a rainfed site? Field Crops Res. 2014, 169, 107–115. [Google Scholar] [CrossRef]
  29. Li, X.; Zhou, W.; Chen, Y.D. Assessment of Regional Drought Trend and Risk over China: A Drought Climate Division Perspective. J. Clim. 2015, 28, 7025–7037. [Google Scholar] [CrossRef]
  30. Qu, C.; Li, B.; Wu, H.; Giesy, J.P. Controlling air pollution from straw burning in China calls for efficient recycling. Environ. Sci. Technol. 2012, 46, 7934–7936. [Google Scholar] [CrossRef]
  31. Steenwerth, K.; Belina, K.M. Cover crops enhance soil organic matter, carbon dynamics and microbiological function in a vineyard agroecosystem. Appl. Soil Ecol. 2008, 40, 359–369. [Google Scholar] [CrossRef]
  32. Dong, Q.G.; Yang, Y.; Yu, K.; Feng, H. Effects of straw mulching and plastic film mulching on improving soil organic carbon and nitrogen fractions, crop yield and water use efficiency in the Loess Plateau, China. Agric. Water Manag. 2018, 201, 133–143. [Google Scholar] [CrossRef]
  33. Wang, H.; Guo, Q.; Li, X.; Li, X.; Yu, Z.; Li, X.; Yang, T.; Su, Z.; Zhang, H.; Zhang, C. Effects of long-term no-tillage with different straw mulching frequencies on soil microbial community and the abundances of two soil-borne pathogens. Appl. Soil Ecol. 2020, 148, 103488. [Google Scholar] [CrossRef]
  34. Qiu, Y.; Lv, W.; Wang, X.; Xie, Z.; Wang, Y. Long-term effects of gravel mulching and straw mulching on soil physicochemical properties and bacterial and fungal community composition in the Loess Plateau of China. Eur. J. Soil Biol. 2020, 98, 103188. [Google Scholar] [CrossRef]
  35. Bei, S.; Li, X.; Kuyper, T.W.; Chadwick, D.R.; Zhang, J. Nitrogen availability mediates the priming effect of soil organic matter by preferentially altering the straw carbon-assimilating microbial community. Sci. Total Environ. 2022, 815, 152882. [Google Scholar] [CrossRef] [PubMed]
Publisher’s Note: MDPI stays neutral with regard to jurisdictional claims in published maps and institutional affiliations.

Article Metrics

Citations

Article Access Statistics

Multiple requests from the same IP address are counted as one view.