Relationship between Kidney Stone Disease and Arterial Stiffness in a Taiwanese Population
Abstract
1. Introduction
2. Subjects and Methods
2.1. Study Population
2.2. Data Collection
2.3. Ultrasound Imaging and KSD Diagnosis
2.4. baPWV and Arterial Stiffness
2.5. Statistical Analysis
3. Results
3.1. The Comparisons of Clinical Characteristics between Subjects with and without Increased Arterial Stiffness
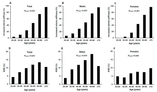
3.2. The Prevalence of Increased Arterial Stiffness and KSD by Age Group
3.3. The Risk of Increased Arterial Stiffness in Relation to KSD and Other Clinical Variables
4. Discussion
Author Contributions
Funding
Conflicts of Interest
References
- Mattace-Raso, F.U.; van der Cammen, T.J.; Hofman, A.; van Popele, N.M.; Bos, M.L.; Schalekamp, M.A.; Asmar, R.; Reneman, R.S.; Hoeks, A.P.; Breteler, M.M.; et al. Arterial stiffness and risk of coronary heart disease and stroke: The rotterdam study. Circulation 2006, 113, 657–663. [Google Scholar] [CrossRef] [PubMed]
- Miyano, I.; Nishinaga, M.; Takata, J.; Shimizu, Y.; Okumiya, K.; Matsubayashi, K.; Ozawa, T.; Sugiura, T.; Yasuda, N.; Doi, Y. Association between brachial-ankle pulse wave velocity and 3-year mortality in community-dwelling older adults. Hypertens. Res. 2010, 33, 678–682. [Google Scholar] [CrossRef] [PubMed]
- Sheng, C.S.; Li, Y.; Li, L.H.; Huang, Q.F.; Zeng, W.F.; Kang, Y.Y.; Zhang, L.; Liu, M.; Wei, F.F.; Li, G.L.; et al. Brachial-ankle pulse wave velocity as a predictor of mortality in elderly Chinese. Hypertension 2014, 64, 1124–1130. [Google Scholar] [CrossRef] [PubMed]
- Ohkuma, T.; Ninomiya, T.; Tomiyama, H.; Kario, K.; Hoshide, S.; Kita, Y.; Inoguchi, T.; Maeda, Y.; Kohara, K.; Tabara, Y.; et al. Brachial-ankle pulse wave velocity and the risk prediction of cardiovascular disease: An individual participant data meta-analysis. Hypertension 2017, 69, 1045–1052. [Google Scholar] [CrossRef]
- Munakata, M. Brachial-ankle pulse wave velocity in the measurement of arterial stiffness: Recent evidence and clinical applications. Curr. Hypertens. Rev. 2014, 10, 49–57. [Google Scholar] [CrossRef]
- Lopes-Vicente, W.R.P.; Rodrigues, S.; Cepeda, F.X.; Jordao, C.P.; Costa-Hong, V.; Dutra-Marques, A.C.B.; Carvalho, J.C.; Alves, M.; Bortolotto, L.A.; Trombetta, I.C. Arterial stiffness and its association with clustering of metabolic syndrome risk factors. Diabetol. Metab. Syndr. 2017, 9, 87. [Google Scholar] [CrossRef]
- Taylor, E.N.; Stampfer, M.J.; Curhan, G.C. Obesity, weight gain, and the risk of kidney stones. J. Am. Med. Assoc. 2005, 293, 455–462. [Google Scholar] [CrossRef]
- Lieske, J.C.; de la Vega, L.S.P.; Gettman, M.T.; Slezak, J.M.; Bergstralh, E.J.; Melton, J.; Leibson, C.L. Diabetes mellitus and the risk of urinary tract stones: A population-based case-control study. Am. J. Kidney Dis. 2006, 48, 897–904. [Google Scholar] [CrossRef]
- Domingos, F.; Serra, A. Nephrolithiasis is associated with an increased prevalence of cardiovascular disease. Nephrol. Dial. Transplant. 2011, 26, 864–868. [Google Scholar] [CrossRef]
- Rendina, D.; De Filippo, G.; D’Elia, L.; Strazzullo, P. Metabolic syndrome and nephrolithiasis: A systematic review and meta-analysis of the scientific evidence. J. Nephrol. 2014, 27, 371–376. [Google Scholar] [CrossRef]
- Kittanamongkolchai, W.; Mara, K.C.; Mehta, R.A.; Vaughan, L.E.; Denic, A.; Knoedler, J.J.; Enders, F.T.; Lieske, J.C.; Rule, A.D. Risk of hypertension among first-time symptomatic kidney stone formers. Clin. J. Am. Soc. Nephrol. 2017, 12, 476–482. [Google Scholar] [CrossRef] [PubMed]
- Gambaro, G.; Croppi, E.; Bushinsky, D.; Jaeger, P.; Cupisti, A.; Ticinesi, A.; Mazzaferro, S.; D’Addessi, A.; Ferraro, P.M. The risk of chronic kidney disease associated with urolithiasis and its urological treatments: A review. J. Urol. 2017, 198, 268–273. [Google Scholar] [CrossRef] [PubMed]
- Fabris, A.; Ferraro, P.; Comellato, G.; Caletti, C.; Fantin, F.; Zaza, G.; Zamboni, M.; Lupo, A.; Gambaro, G. The relationship between calcium kidney stones, arterial stiffness and bone density: Unraveling the stone-bone-vessel liaison. J. Nephrol. 2015, 28, 549–555. [Google Scholar] [CrossRef] [PubMed]
- Fan, X.; Kalim, S.; Ye, W.; Zhao, S.; Ma, J.; Nigwekar, S.U.; Chan, K.E.; Cui, J.; Cai, J.; Wang, L.; et al. Urinary stone disease and cardiovascular disease risk in a rural Chinese population. Kidney Int. Rep. 2017, 2, 1042–1049. [Google Scholar] [CrossRef]
- Lieske, J.C.; Rule, A.D.; Krambeck, A.E.; Williams, J.C.; Bergstralh, E.J.; Mehta, R.A.; Moyer, T.P. Stone composition as a function of age and sex. Clin. J. Am. Soc. Nephrol. 2014, 9, 2141–2146. [Google Scholar] [CrossRef]
- Kim, J.Y.; Park, J.B.; Kim, D.S.; Kim, K.S.; Jeong, J.W.; Park, J.C.; Oh, B.H.; Chung, N.; KAAS Investigators. Gender difference in arterial stiffness in a multicenter cross-sectional study: The Korean Arterial Aging Study (KAAS). Pulse (Basel) 2014, 2, 11–17. [Google Scholar] [CrossRef]
- Levey, A.S.; Bosch, J.P.; Lewis, J.B.; Greene, T.; Rogers, N.; Roth, D.; MDRDS Group. A more accurate method to estimate glomerular filtration rate from serum creatinine: A new prediction equation. Ann. Intern. Med. 1999, 130, 461–470. [Google Scholar] [CrossRef]
- Kanno, T.; Kubota, M.; Sakamoto, H.; Nishiyama, R.; Okada, T.; Higashi, Y.; Yamada, H. The efficacy of ultrasonography for the detection of renal stone. Urology 2014, 84, 285–288. [Google Scholar] [CrossRef]
- Wu, I.H.; Sun, Z.J.; Lu, F.H.; Yang, Y.C.; Chou, C.Y.; Chang, C.J.; Wu, J.S. Restrictive spirometry pattern is associated with increased arterial stiffness in men and women. Chest 2017, 152, 394–401. [Google Scholar] [CrossRef]
- Ato, D. Pitfalls in the ankle-brachial index and brachial-ankle pulse wave velocity. Vasc. Health Risk Manag. 2018, 14, 41–62. [Google Scholar] [CrossRef]
- Tsao, K.C.; Wu, T.L.; Chang, P.Y.; Sun, C.F.; Wu, L.L.; Wu, J.T. Multiple risk markers for atherogenesis associated with chronic inflammation are detectable in patients with renal stones. J. Clin. Lab. Anal. 2007, 21, 426–431. [Google Scholar] [CrossRef] [PubMed]
- Jain, S.; Khera, R.; Corrales-Medina, V.F.; Townsend, R.R.; Chirinos, J.A. Inflammation and arterial stiffness in humans. Atherosclerosis 2014, 237, 381–390. [Google Scholar] [CrossRef] [PubMed]
- Yiu, A.J.; Callaghan, D.; Sultana, R.; Bandyopadhyay, B.C. Vascular calcification and stone disease: A new look towards the mechanism. J. Cardiovasc. Dev. Dis. 2015, 2, 141–164. [Google Scholar] [CrossRef] [PubMed]
- Mackey, R.H.; Venkitachalam, L.; Sutton-Tyrrell, K. Calcifications, Arterial Stiffness and Atherosclerosis. Adv. Cardiol. 2007, 44, 234–244. [Google Scholar]
- Wang, M.Y.; Jiang, L.Q.; Monticone, R.E.; Lakatta, E.G. Proinflammation: The key to arterial aging. Trends Endocrinol. Metab. 2014, 25, 72–79. [Google Scholar] [CrossRef]
- Tesauro, M.; Mauriello, A.; Rovella, V.; Annicchiarico-Petruzzelli, M.; Cardillo, C.; Melino, G.; Di Daniele, N. Arterial ageing: From endothelial dysfunction to vascular calcification. J. Intern. Med. 2017, 281, 471–482. [Google Scholar] [CrossRef]
- Wei, J.; Xu, H.M.; Davies, J.L.; Hemmings, G.P. Increase of plasma il-6 concentration with age in healthy-subjects. Life Sci. 1992, 51, 1953–1956. [Google Scholar] [CrossRef]
- Ferrucci, L.; Corsi, A.; Lauretani, F.; Bandinelli, S.; Bartali, B.; Taub, D.D.; Guralnik, J.M.; Longo, D.L. The origins of age-related proinflammatory state. Blood 2005, 105, 2294–2299. [Google Scholar] [CrossRef]
- Wyczalkowska-Tomasik, A.; Czarkowska-Paczek, B.; Zielenkiewicz, M.; Paczek, L. Inflammatory markers change with age, but do not fall beyond reported normal ranges. Arch. Immunol. Ther. Exp. (Warsz) 2016, 64, 249–254. [Google Scholar] [CrossRef]
- Elliott, R.J.; McGrath, L.T. Calcification of the human thoracic aorta during aging. Calcif. Tissue Int. 1994, 54, 268–273. [Google Scholar] [CrossRef]
- Blumenthal, H.T.; Lansing, A.I.; Wheeler, P.A. Calcification of the media of the human aorta and its relation to intimal arteriosclerosis, ageing and disease. Am. J. Pathol. 1944, 20, 665–687. [Google Scholar] [PubMed]
- Allison, M.A.; Criqui, M.H.; Wright, C.M. Patterns and risk factors for systemic calcified atherosclerosis. Arterioscler. Thromb. Vasc. Biol. 2004, 24, 331–336. [Google Scholar] [CrossRef] [PubMed]
- Choi, H.Y.; Kim, S.H.; Choi, A.R.; Kim, S.G.; Kim, H.; Lee, J.E.; Kim, H.J.; Park, H.C. Hyperuricemia and risk of increased arterial stiffness in healthy women based on health screening in Korean population. PLoS ONE 2017, 12, e0180406. [Google Scholar] [CrossRef] [PubMed]
- Rao, G.N.; Corson, M.A.; Berk, B.C. Uric acid stimulates vascular smooth muscle cell proliferation by increasing platelet-derived growth factor a-chain expression. J. Biol. Chem. 1991, 266, 8604–8608. [Google Scholar]
- Khosla, U.M.; Zharikov, S.; Finch, J.L.; Nakagawa, T.; Roncal, C.; Mu, W.; Krotova, K.; Block, E.R.; Prabhakar, S.; Johnson, R.J. Hyperuricemia induces endothelial dysfunction. Kidney Int. 2005, 67, 1739–1742. [Google Scholar] [CrossRef]
- Heo, S.H.; Lee, S.H. High levels of serum uric acid are associated with silent brain infarction. J. Neurol. Sci. 2010, 297, 6–10. [Google Scholar] [CrossRef]
- Cipolli, J.A.A.; Ferreira-Sae, M.C.; Martins, R.P.; Pio-Magalhaes, J.A.; Bellinazzi, V.R.; Matos-Souza, J.R.; Nadruz, W. Relationship between serum uric acid and internal carotid resistive index in hypertensive women: A cross-sectional study. BMC Cardiovasc. Disord. 2012, 12, 52. [Google Scholar] [CrossRef]
- Madero, M.; Wassel, C.L.; Peralta, C.A.; Najjar, S.S.; Sutton-Tyrrell, K.; Fried, L.F.; de Boer, I.H.; Shlipak, M.G.; Newman, A.B.; Hausman, D.; et al. Markers of mineral metabolism are not associated with aortic pulse wave velocity in community-living elderly persons: The health aging and body composition study. Am. J. Hypertens. 2011, 24, 755–761. [Google Scholar] [CrossRef][Green Version]
- Deng, X.R.; Zhang, Y.F.; Wang, T.G.; Xu, B.H.; Sun, J.C.; Zhao, L.B.; Xu, M.; Chen, Y.H.; Wang, W.Q.; Bi, Y.F.; et al. Serum calcium level is associated with brachial-ankle pulse wave velocity in middle-aged and elderly Chinese. Biomed. Environ. Sci. 2014, 27, 594–600. [Google Scholar]
- Kimura, K.; Tomiyama, H.; Matsumoto, C.; Odaira, M.; Shiina, K.; Nagata, M.; Yamashina, A. Longitudinal changes of the serum calcium levels and accelerated progression of arterial stiffness with age. Atherosclerosis 2015, 243, 486–492. [Google Scholar] [CrossRef]
- Cecelja, M.; Chowienczyk, P. Dissociation of aortic pulse wave velocity with risk factors for cardiovascular disease other than hypertension a systematic review. Hypertension 2009, 54, 1328–1336. [Google Scholar] [CrossRef] [PubMed]
- Amar, J.; Ruidavets, J.B.; Chamontin, B.; Drouet, L.; Ferrieres, J. Arterial stiffness and cardiovascular risk factors in a population-based study. J. Hypertens. 2001, 19, 381–387. [Google Scholar] [CrossRef] [PubMed]
- Mule, G.; Nardi, E.; Geraci, G.; Schillaci, M.K.; Cottone, S. The relationships between lipid ratios and arterial stiffness. J. Clin. Hypertens. 2017, 19, 777–779. [Google Scholar] [CrossRef] [PubMed]
- Tamma, G.; Goswami, N.; Reichmuth, J.; De Santo, N.G.; Valenti, G. Aquaporins, Vasopressin, and Aging: Current Perspectives. Endocrinology 2015, 156, 777–788. [Google Scholar] [CrossRef] [PubMed]
- Procino, G.; Mastrofrancesco, L.; Tamma, G.; Lasorsa, D.R.; Ranieri, M.; Stringini, G.; Emma, F.; Svelto, M.; Valenti, G. Calcium-sensing receptor and aquaporin 2 interplay in hypercalciuria-associated renal concentrating defect in humans. An in vivo and in vitro study. PLoS ONE 2012, 7, e33145. [Google Scholar] [CrossRef]
- Higashi, Y.; Yoshizumi, M. Exercise and endothelial function: Role of endothelium-derived nitric oxide and oxidative stress in healthy subjects and hypertensive patients. Pharmacol. Ther. 2004, 102, 87–96. [Google Scholar] [CrossRef]
- Gielen, S.; Schuler, G.; Adams, V. Cardiovascular effects of exercise training: Molecular mechanisms. Circulation 2010, 122, 1221–1238. [Google Scholar] [CrossRef]
- Ashor, A.W.; Lara, J.; Siervo, M.; Celis-Morales, C.; Mathers, J.C. Effects of exercise modalities on arterial stiffness and wave reflection: A systematic review and meta-analysis of randomized controlled trials. PLoS ONE 2014, 9, e110034. [Google Scholar] [CrossRef]
- Emerenziani, G.P.; Guidetti, L.; Gallotta, M.C.; Franciosi, E.; Buzzachera, C.F.; Baldari, C. Exercise intensity and gender difference of 3 different salsa dancing conditions. Int. J. Sports Med. 2013, 34, 330–335. [Google Scholar] [CrossRef]
- Stewart, K.J.; Bacher, A.C.; Turner, K.L.; Fleg, J.L.; Hees, P.S.; Shapiro, E.P.; Tayback, M.; Ouyang, P. Effect of exercise on blood pressure in older persons: A randomized controlled trial. Arch. Intern. Med. 2005, 165, 756–762. [Google Scholar] [CrossRef]
- Cortez-Cooper, M.Y.; Anton, M.M.; Devan, A.E.; Neidre, D.B.; Cook, J.N.; Tanaka, H. The effects of strength training on central arterial compliance in middle-aged and older adults. Eur. J. Cardiovasc. Prev. Rehabil. 2008, 15, 149–155. [Google Scholar] [CrossRef] [PubMed]
- Kohjimoto, Y.; Sasaki, Y.; Iguchi, M.; Matsumura, N.; Inagaki, T.; Hara, I. Association of metabolic syndrome traits and severity of kidney stones: Results from a nationwide survey on urolithiasis in Japan. Am. J. Kidney Dis. 2013, 61, 923–929. [Google Scholar] [CrossRef] [PubMed]
- Yilmaz, K. Characteristics of presentation and metabolic risk factors in relation to extent of involvement in infants with nephrolithiasis. Eurasian J. Med. Investig. EJMI 2020, 4, 78–85. [Google Scholar] [CrossRef]

| Increased Arterial Stiffness | |||
|---|---|---|---|
| No (n = 4414) | Yes (n = 2280) | p Value | |
| Age, years | 43.1 ± 1.0 | 56.1 ± 10.9 | <0.001 |
| Male gender | 2546 (57.7) | 1454 (63.8) | <0.001 |
| BMI, kg/m2 | 23.8 ± 3.5 | 24.9 ± 3.4 | <0.001 |
| SBP, mmHg | 112.7 ± 11.8 | 132.2 ± 16.0 | <0.001 |
| DBP, mmHg | 66.9 ± 9.3 | 79.0 ± 10.4 | <0.001 |
| FPG, mg/dL | 87.2 ± 15.1 | 94.1 ± 22.6 | <0.001 |
| 2-h PG, mg/dL | 109.1 ± 42.3 | 135.9 ± 59.3 | <0.001 |
| HbA1c, % | 5.6 ± 0.6 | 5.9 ± 0.8 | <0.001 |
| Total cholesterol, mg/dL | 193.5 ± 35.9 | 204.9 ± 37.8 | <0.001 |
| Triglyceride, mg/dL | 119.1 ± 82.2 | 142.1 ± 95.1 | <0.001 |
| HDL-C, mg/dL | 52.3 ± 14.4 | 50.1 ± 14.1 | <0.001 |
| Total cholesterol/HDL-C | 4.0 ± 1.2 | 4.4 ± 1.3 | <0.001 |
| Creatinine, mg/dL | 0.8 ± 0.2 | 0.9 ± 0.4 | <0.001 |
| eGFR, mL/min/1.73 m2 | 96.9 ± 17.3 | 89.8 ± 18.8 | <0.001 |
| Uric acid, mg/dL | 5.7 ± 1.5 | 6.1 ± 1.5 | <0.001 |
| Calcium, mg/dL | 9.2 ± 0.3 | 9.3 ± 0.4 | <0.001 |
| CRP ≥ 75th percentile | 948 (21.5) | 716 (31.4) | <0.001 |
| Hypertension | 215 (4.9) | 912 (40.0) | <0.001 |
| Diabetes | 167 (3.8) | 320 (14.0) | <0.001 |
| KSD | 353 (8.0) | 307 (13.5) | <0.001 |
| Smoking | 0.04 | ||
| Non | 3741 (84.8) | 1885 (82.7) | |
| Ex | 264 (6.0) | 171 (7.5) | |
| Current | 409 (9.3) | 224 (9.8) | |
| Alcohol consumption | 0.68 | ||
| Non | 3817 (86.5) | 1956 (85.8) | |
| Ex | 113 (2.6) | 65 (2.9) | |
| Current | 484 (11.0) | 259 (11.4) | |
| Regular exercise | 340 (7.7) | 161 (7.1) | 0.35 |
| KSD | |||
|---|---|---|---|
| No (n = 6034) | Yes (n = 660) | p Value | |
| Age, years | 47.2 ± 12.0 | 50.4 ± 11.1 | <0.001 |
| Male gender | 3517 (58.3) | 483 (73.2) | <0.001 |
| BMI, kg/m2 | 24.1 ± 3.5 | 24.6 ± 3.1 | 0.001 |
| SBP, mmHg | 118.9 ± 16.2 | 123.8 ± 16.3 | <0.001 |
| DBP, mmHg | 70.6 ± 11.2 | 74.9 ± 11.4 | <0.001 |
| FPG, mg/dL | 89.3 ± 18.1 | 91.6 ± 20.2 | 0.003 |
| 2-h PG, mg/dL | 117.6 ± 49.9 | 123.7 ± 54.7 | 0.003 |
| HbA1c, % | 5.67 ± 0.7 | 5.74 ± 0.7 | 0.006 |
| Total cholesterol, mg/dL | 197.1 ± 37.2 | 200.6 ± 34.1 | <0.001 |
| Triglyceride, mg/dL | 125.8 ± 86.3 | 137.5 ± 97.7 | <0.001 |
| HDL-C, mg/dL | 51.7 ± 14.4 | 49.5 ± 13.6 | <0.001 |
| Total cholesterol/HDL-C | 4.1 ± 1.3 | 4.3 ± 1.2 | <0.001 |
| Creatinine, mg/dL | 0.86 ± 0.29 | 0.90 ± 0.19 | 0.002 |
| eGFR, mL/min/1.73 m2 | 94.7 ± 18.2 | 92.4 ± 18.0 | 0.002 |
| Uric acid, mg/dL | 5.8 ± 1.5 | 6.1 ± 1.6 | <0.001 |
| Calcium, mg/dL | 9.2 ± 0.4 | 9.2 ± 0.4 | 0.813 |
| CRP ≥ 75th percentile | 1484 (24.6) | 180 (27.3) | 0.131 |
| Hypertension | 979 (16.2) | 148 (22.4) | <0.001 |
| Diabetes | 422 (7.0) | 65 (9.8) | 0.007 |
| Increased arterial stiffness | 1973 (32.7) | 307 (46.5) | <0.001 |
| Smoking | 0.01 | ||
| Non | 5085 (84.3) | 541 (82.0) | |
| Ex | 374 (6.2) | 61 (9.2) | |
| Current | 575 (9.5) | 58 (8.8) | |
| Alcohol consumption | 0.218 | ||
| Non | 5214 (86.4) | 1956 (84.7) | |
| Ex | 154 (2.6) | 65 (3.6) | |
| Current | 666 (11.0) | 259 (11.7) | |
| Regular exercise | 448 (7.4) | 53 (8.0) | 0.574 |
| Total (n = 6694) | Males (n = 4000) | Females (n = 2694) | |
|---|---|---|---|
| OR (95% CI) | OR (95% CI) | OR (95% CI) | |
| Age, years | 1.122 (1.114–1.131) c | 1.110 (1.099–1.120) c | 1.143 (1.127–1.159) c |
| Male gender | 1.145 (0.966–1.358) | - | - |
| BMI, kg/m2 | 1.006 (0.984–1.029) | 0.992 (0.964–1.022) | 1.014 (0.977–1.052) |
| Total cholesterol/HDL-C | 1.069 (0.999–1.144) | 1.045 (0.966–1.130) | 1.134 (0.995–1.292) |
| Triglyceride, mg/dL | 1.001 (1.000–1.002) b | 1.001 (1.000–1.002) a | 1.136 (0.993–1.301) |
| eGFR, mL/min/1.73 m2 | 1.004 (1.000–1.008) a | 1.005 (0.999–1.010) | 1.003 (0.996–1.009) |
| Uric acid, mg/dL | 1.079 (1.018–1.144) a | 1.035 (0.969–1.105) | 1.164 (1.038–1.307) a |
| Calcium, mg/dL | 1.491 (1.231–1.806) c | 1.463 (1.147–1.868) b | 1.288 (0.933–1.779) |
| CRP ≥ 75th percentile | 1.178 (1.009–1.374) a | 1.126 (0.936–1.354) | 1.265 (0.954–1.678) |
| Hypertension, yes vs. no | 7.936 (6.595–9.549) c | 7.308 (5.902–9.049) c | 10.621 (7.230–15.601) c |
| Diabetes, yes vs. no | 1.546 (1.211–1.973) c | 1.698 (1.260–2.289) b | 1.161 (0.756–1.783) |
| KSD, yes vs. no | 1.344 (1.095–1.649) b | 1.306 (1.035–1.649) a | 1.585 (1.038–2.419) a |
| Smoking | |||
| Ex vs. non | 0.991 (0.747–1.316) | 1.032 (0.779–1.368) | 0.232 (0.027–1.965) |
| Current vs. non | 1.498 (1.176–1.907) b | 1.441 (1.126–1.844) b | 1.459 (0.548–3.886) |
| Alcohol consumption | |||
| Ex vs. non | 0.652 (0.427–0.995) a | 0.705 (0.458–1.086) | 0.754 (0.174–3.261) |
| Current vs. non | 0.847 (0.673–1.065) | 0.898 (0.710–1.137) | 0.590 (0.250–1.391) |
| Regular exercise, yes vs. no | 0.705 (0.552–0.899) b | 0.605 (0.454–0.807) b | 1.084 (0.690–1.705) |
| Males (n = 4000) | Females (n = 2694) | |||
|---|---|---|---|---|
| <50 y/o (n = 2367) | ≧50 y/o (n = 1633) | <50 y/o (n = 1506) | ≧50 y/o (n = 1188) | |
| OR (95% CI) | OR (95% CI) | OR (95% CI) | OR (95% CI) | |
| Age, year | 1.100 (1.078–1.122) c | 1.156 (1.129–1.184) c | 1.180 (1.130–1.231) c | 1.148 (1.119–1.178) c |
| BMI, kg/m2 | 1.018 (0.980–1.057) | 0.963 (0.920–1.008) | 1.024 (0.959–1.093) | 1.003 (0.960–1.049) |
| Total cholesterol/HDL-C | 1.002 (0.896–1.119) | 1.133 (1.007–1.274) a | 1.191 (0.915–1.551) | 1.099 (0.938–1.287) |
| Triglyceride, mg/dL | 1.001 (1.000–1.003) a | 1.002 (1.000–1.003) a | 1.002 (0.998–1.006) | 1.001 (0.999–1.003) |
| eGFR, mL/min/1.73 m2 | 1.000 (0.993–1.008) | 1.009 (1.000–1.018) a | 1.011 (0.999–1.023) | 1.000 (0.992–1.008) |
| Uric acid, mg/dL | 1.020 (0.929–1.120) | 1.059 (0.955–1.173) | 1.205 (0.973–1.492) | 1.168 (1.018–1.341) a |
| Calcium, mg/dL | 1.541 (1.097–2.164) a | 1.384 (0.964–1.988) | 1.314 (0.705–2.447) | 1.361 (0.923–2.007) |
| CRP ≥ 75th percentile | 1.006 (0.777–1.301) | 1.247 (0.945–1.645) | 1.483 (0.893–2.462) | 1.233 (0.879–1.728) |
| Hypertension, yes vs. no | 7.802 (5.819–10.461) c | 7.146 (5.225–9.773) c | 25.526 (12.032–54.152) c | 7.360 (4.776–11.343) c |
| Diabetes, yes vs. no | 0.853 (0.505–1.440) | 2.730 (1.811–4.114) c | 2.394 (0.925–6.199) | 1.009 (0.635–1.603) |
| KSD, yes vs. no | 1.106 (0.777–1.574) | 1.546 (1.111–2.151) a | 1.059 (0.496–2.259) | 1.783 (1.042–3.054) a |
| Smoking | ||||
| Ex vs. non | 0.886 (0.593–1.322) | 1.209 (0.796–1.838) | 0.000 (0.000–0.000) | 0.410 (0.035–4.840) |
| Current vs. non | 1.295 (0.940–1.784) | 1.622 (1.082–2.432) a | 2.333 (0.704–7.724) | 0.913 (0.174–4.801) |
| Alcohol consumption | ||||
| Ex vs. non | 0.697 (0.352–1.381) | 0.710 (0.394–1.280) | 0.000 (0.000–0.000) | 1.078 (0.215–5.404) |
| Current vs. non | 1.138 (0.829–1.563) | 0.741 (0.519–1.057) | 0.275 (0.056–1.340) | 0.827 (0.280–2.440) |
| Regular exercise, yes vs. no | 0.471 (0.294–0.752) b | 0.760 (0.517–1.116) | 0.733 (0.316–1.698) | 1.297 (0.737–2.283) |
© 2020 by the authors. Licensee MDPI, Basel, Switzerland. This article is an open access article distributed under the terms and conditions of the Creative Commons Attribution (CC BY) license (http://creativecommons.org/licenses/by/4.0/).
Share and Cite
Sun, Z.-J.; Hsiao, H.-J.; Cheng, H.-J.; Chou, C.-Y.; Lu, F.-H.; Yang, Y.-C.; Wu, J.-S.; Chang, C.-J. Relationship between Kidney Stone Disease and Arterial Stiffness in a Taiwanese Population. J. Clin. Med. 2020, 9, 1693. https://doi.org/10.3390/jcm9061693
Sun Z-J, Hsiao H-J, Cheng H-J, Chou C-Y, Lu F-H, Yang Y-C, Wu J-S, Chang C-J. Relationship between Kidney Stone Disease and Arterial Stiffness in a Taiwanese Population. Journal of Clinical Medicine. 2020; 9(6):1693. https://doi.org/10.3390/jcm9061693
Chicago/Turabian StyleSun, Zih-Jie, Hsuan-Jung Hsiao, Hsiang-Ju Cheng, Chieh-Ying Chou, Feng-Hwa Lu, Yi-Ching Yang, Jin-Shang Wu, and Chih-Jen Chang. 2020. "Relationship between Kidney Stone Disease and Arterial Stiffness in a Taiwanese Population" Journal of Clinical Medicine 9, no. 6: 1693. https://doi.org/10.3390/jcm9061693
APA StyleSun, Z.-J., Hsiao, H.-J., Cheng, H.-J., Chou, C.-Y., Lu, F.-H., Yang, Y.-C., Wu, J.-S., & Chang, C.-J. (2020). Relationship between Kidney Stone Disease and Arterial Stiffness in a Taiwanese Population. Journal of Clinical Medicine, 9(6), 1693. https://doi.org/10.3390/jcm9061693

