Medroxyprogesterone Reverses Tolerable Dose Metformin-Induced Inhibition of Invasion via Matrix Metallopeptidase-9 and Transforming Growth Factor-β1 in KLE Endometrial Cancer Cells
Abstract
1. Introduction
2. Experimental Section
2.1. Cell Cultures
2.2. Dose Setup of Metformin and MPA Treatments
2.3. Cell Counting and Cell Survival Analysis
2.4. Western Blot
2.5. Cell Invasion Assay and ELISA
2.6. Statistical Analysis
3. Results
3.1. Cell Growth and Growth Inhibition by Tolerable Doses of Metformin and MPA in Endometrial Cancer Cell Lines
3.2. Changes in Expression Levels of PR and p-AMPKα by a Tolerable Dose of Metformin and MPA in Endometrial Cancer Cell Lines
3.3. Inhibition and Disinhibition of Cell Invasion by a Tolerable Dose of Metformin With or Without MPA in Endometrial Cancer Cell Lines
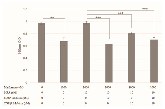
3.4. MPA Reverses Tolerable Dose Metformin-Induced Inhibition of Invasion via MMP-9 and TGF-β1 in KLE Endometrial Cancer Cells
4. Discussion
Author Contributions
Funding
Acknowledgments
Conflicts of Interest
References
- Siegel, R.L.; Miller, K.D.; Jemal, A. Cancer statistics, 2018. CA Cancer J. Clin. 2018, 68, 7–30. [Google Scholar] [CrossRef] [PubMed]
- Singh, M.; Zaino, R.J.; Filiaci, V.J.; Leslie, K.K. Relationship of estrogen and progesterone receptors to clinical outcome in metastatic endometrial carcinoma: A Gynecologic Oncology Group Study. Gynecol. Oncol. 2007, 106, 325–333. [Google Scholar] [CrossRef] [PubMed]
- Ushijima, K.; Yahata, H.; Yoshikawa, H.; Konishi, I.; Yasugi, T.; Saito, T.; Nakanishi, T.; Sasaki, H.; Saji, F.; Iwasaka, T.; et al. Multicenter phase II study of fertility-sparing treatment with medroxyprogesterone acetate for endometrial carcinoma and atypical hyperplasia in young women. J. Clin. Oncol. 2007, 25, 2798–2803. [Google Scholar] [CrossRef] [PubMed]
- Kobayashi, Y.; Banno, K.; Kunitomi, H.; Tominaga, E.; Aoki, D. Current state and outlook for drug repositioning anticipated in the field of ovarian cancer. J. Gynecol. Oncol. 2019, 30, e10. [Google Scholar] [CrossRef] [PubMed]
- Perez-Lopez, F.R.; Pasupuleti, V.; Gianuzzi, X.; Palma-Ardiles, G.; Hernandez-Fernandez, W.; Hernandez, A.V. Systematic review and meta-analysis of the effect of metformin treatment on overall mortality rates in women with endometrial cancer and type 2 diabetes mellitus. Maturitas 2017, 101, 6–11. [Google Scholar] [CrossRef]
- Laskov, I.; Drudi, L.; Beauchamp, M.C.; Yasmeen, A.; Ferenczy, A.; Pollak, M.; Gotlieb, W.H. Anti-diabetic doses of metformin decrease proliferation markers in tumors of patients with endometrial cancer. Gynecol. Oncol. 2014, 134, 607–614. [Google Scholar] [CrossRef]
- Nevadunsky, N.S.; Van Arsdale, A.; Strickler, H.D.; Moadel, A.; Kaur, G.; Frimer, M.; Conroy, E.; Goldberg, G.L.; Einstein, M.H. Metformin use and endometrial cancer survival. Gynecol. Onco.l 2014, 132, 236–240. [Google Scholar] [CrossRef]
- He, L.; Wondisford, F.E. Metformin action: Concentrations matter. Cell Metab. 2015, 21, 159–162. [Google Scholar] [CrossRef] [PubMed]
- Kajbaf, F.; De Broe, M.E.; Lalau, J.D. Therapeutic Concentrations of Metformin: A Systematic Review. Clin. Pharmacokinet. 2016, 55, 439–459. [Google Scholar] [CrossRef]
- Guy, M.S.; Qamar, L.; Behbakht, K.; Post, M.D.; Sheeder, J.; Sartorius, C.A.; Spillman, M.A. Progestin treatment decreases CD133+ cancer stem cell populations in endometrial cancer. Gynecol. Oncol. 2016, 140, 518–526. [Google Scholar] [CrossRef]
- Bokhari, A.A.; Lee, L.R.; Raboteau, D.; Hamilton, C.A.; Maxwell, G.L.; Rodriguez, G.C.; Syed, V. Progesterone inhibits endometrial cancer invasiveness by inhibiting the TGFbeta pathway. Cancer Prev. Res. 2014, 7, 1045–1055. [Google Scholar] [CrossRef] [PubMed]
- Zhang, Z.; Dong, L.; Sui, L.; Yang, Y.; Liu, X.; Yu, Y.; Zhu, Y.; Feng, Y. Metformin reverses progestin resistance in endometrial cancer cells by downregulating GloI expression. Int. J. Gynecol. Cancer. 2011, 21, 213–221. [Google Scholar] [CrossRef]
- Zhou, X.; Wang, Z.; Zhao, Y.; Podratz, K.; Jiang, S. Characterization of sixteen endometrial cancer cell lines. In Proceedings of the AACR Annual Meeting, Los Angeles, CA, USA, 14–18 April 2007. [Google Scholar]
- Hong, Y.; Rohatagi, S.; Habtemariam, B.; Walker, J.R.; Schwartz, S.L.; Mager, D.E. Population exposure-response modeling of metformin in patients with type 2 diabetes mellitus. J. Clin. Pharmacol. 2008, 48, 696–707. [Google Scholar] [CrossRef] [PubMed]
- Cao, C.; Zhou, J.Y.; Xie, S.W.; Guo, X.J.; Li, G.T.; Gong, Y.J.; Yang, W.J.; Li, Z.; Zhong, R.H.; Shao, H.H.; et al. Metformin Enhances Nomegestrol Acetate Suppressing Growth of Endometrial Cancer Cells and May Correlate to Downregulating mTOR Activity In Vitro and In Vivo. Int. J. Mol. Sci. 2019, 20, 3308. [Google Scholar] [CrossRef] [PubMed]
- Schneider, C.A.; Rasband, W.S.; Eliceiri, K.W. NIH Image to ImageJ: 25 years of image analysis. Nat. Methods 2012, 9, 671–675. [Google Scholar] [CrossRef]
- Asghar, M.Y.; Kemppainen, K.; Lassila, T.; Tornquist, K. Sphingosine 1-phosphate attenuates MMP2 and MMP9 in human anaplastic thyroid cancer C643 cells: Importance of S1P2. PLoS ONE 2018, 13, e0196992. [Google Scholar] [CrossRef]
- Halder, S.K.; Beauchamp, R.D.; Datta, P.K. A specific inhibitor of TGF-beta receptor kinase, SB-431542, as a potent antitumor agent for human cancers. Neoplasia 2005, 7, 509–521. [Google Scholar] [CrossRef]
- Tan, B.K.; Adya, R.; Chen, J.; Lehnert, H.; Sant Cassia, L.J.; Randeva, H.S. Metformin treatment exerts antiinvasive and antimetastatic effects in human endometrial carcinoma cells. J. Clin. Endocrinol. Metab. 2011, 96, 808–816. [Google Scholar] [CrossRef]
- Xie, Y.; Wang, Y.L.; Yu, L.; Hu, Q.; Ji, L.; Zhang, Y.; Liao, Q.P. Metformin promotes progesterone receptor expression via inhibition of mammalian target of rapamycin (mTOR) in endometrial cancer cells. J. Steroid Biochem. Mol. Biol. 2011, 126, 113–120. [Google Scholar] [CrossRef]
- Zhuo, Z.; Wang, A.; Yu, H. Metformin targeting autophagy overcomes progesterone resistance in endometrial carcinoma. Arch. Gynecol. Obstet. 2016, 294, 1055–1061. [Google Scholar] [CrossRef]
- Mitsuhashi, A.; Habu, Y.; Kobayashi, T.; Kawarai, Y.; Ishikawa, H.; Usui, H.; Shozu, M. Long-term outcomes of progestin plus metformin as a fertility-sparing treatment for atypical endometrial hyperplasia and endometrial cancer patients. J. Gynecol. Oncol. 2019, 30, e90. [Google Scholar] [CrossRef]
- Sivalingam, V.N. The Role of Metformin in Obesity-Driven Endometrial Cancer. Available online: https://www.research.manchester.ac.uk/portal/en/theses/the-role-of-metformin-in-obesitydriven-endometrial-cancer(5a4418b9-5dab-4e6a-be05-9180996073c1).html (accessed on 3 November 2020).
- Sivalingam, V.N.; Myers, J.; Nicholas, S.; Balen, A.H.; Crosbie, E.J. Metformin in reproductive health, pregnancy and gynaecological cancer: Established and emerging indications. Hum. Reprod. Update 2014, 20, 853–868. [Google Scholar] [CrossRef]
- Kitson, S.J.; Maskell, Z.; Sivalingam, V.N.; Allen, J.L.; Ali, S.; Burns, S.; Gilmour, K.; Latheef, R.; Slade, R.J.; Pemberton, P.W.; et al. PRE-surgical Metformin In Uterine Malignancy (PREMIUM): A Multi-Center, Randomized Double-Blind, Placebo-Controlled Phase III Trial. Clin. Cancer Res. 2019, 25, 2424–2432. [Google Scholar] [CrossRef]
- Liu, Z.; Qi, S.; Zhao, X.; Li, M.; Ding, S.; Lu, J.; Zhang, H. Metformin inhibits 17beta-estradiol-induced epithelial-to-mesenchymal transition via betaKlotho-related ERK1/2 signaling and AMPKalpha signaling in endometrial adenocarcinoma cells. Oncotarget 2016, 7, 21315–21331. [Google Scholar] [CrossRef]
- Sarfstein, R.; Friedman, Y.; Attias-Geva, Z.; Fishman, A.; Bruchim, I.; Werner, H. Metformin downregulates the insulin/IGF-I signaling pathway and inhibits different uterine serous carcinoma (USC) cells proliferation and migration in p53-dependent or -independent manners. PLoS ONE 2013, 8, e61537. [Google Scholar] [CrossRef]
- de Barros Machado, A.; Dos Reis, V.; Weber, S.; Jauckus, J.; Brum, I.S.; von Eye Corleta, H.; Strowitzki, T.; Capp, E.; Germeyer, A. Proliferation and metastatic potential of endometrial cancer cells in response to metformin treatment in a high versus normal glucose environment. Oncol. Lett. 2016, 12, 3626–3632. [Google Scholar] [CrossRef] [PubMed]
- Quintanilla, M.; Castillo, G.d.; Kocic, J.; Santibáñez, J.F. TGF-β and MMPs: A complex regulatory loop involved in tumor progression. In Matrix Metalloproteinases: Biology, Functions and Clinical Implications; Oshiro, N., Miyagi, E., Eds.; Nova Science: Runcorn, UK, 2012; pp. 1–38. [Google Scholar]
- Chang, C.C.; Ling, X.H.; Hsu, H.F.; Wu, J.M.; Wang, C.P.; Yang, J.F.; Fang, L.W.; Houng, J.Y. Siegesbeckia orientalis Extract Inhibits TGFbeta1-Induced Migration and Invasion of Endometrial Cancer Cells. Molecules 2016, 21, 1021. [Google Scholar] [CrossRef]
- Liu, C.; Li, Y.; Hu, S.; Chen, Y.; Gao, L.; Liu, D.; Guo, H.; Yang, Y. Clinical significance of matrix metalloproteinase-2 in endometrial cancer: A systematic review and meta-analysis. Medicine 2018, 97, e10994. [Google Scholar] [CrossRef]
- Muinelo-Romay, L.; Colas, E.; Barbazan, J.; Alonso-Alconada, L.; Alonso-Nocelo, M.; Bouso, M.; Curiel, T.; Cueva, J.; Anido, U.; Forteza, J.; et al. High-risk endometrial carcinoma profiling identifies TGF-beta1 as a key factor in the initiation of tumor invasion. Mol. Cancer Ther. 2011, 10, 1357–1366. [Google Scholar] [CrossRef]
- Bokhari, A.A.; Baker, T.M.; Dorjbal, B.; Waheed, S.; Zahn, C.M.; Hamilton, C.A.; Maxwell, G.L.; Syed, V. Nestin suppression attenuates invasive potential of endometrial cancer cells by downregulating TGF-beta signaling pathway. Oncotarget 2016, 7, 69733–69748. [Google Scholar] [CrossRef]
- Nakamura, K.; Kodama, J.; Hongo, A.; Hiramatsu, Y. Role of emmprin in endometrial cancer. BMC Cancer 2012, 12, 191. [Google Scholar] [CrossRef]
- Samarnthai, N.; Hall, K.; Yeh, I.T. Molecular profiling of endometrial malignancies. Obstet. Gynecol. Int. 2010, 2010, 162363. [Google Scholar] [CrossRef]
- Wen, Y.; Tan, X.; Wu, X.; Wu, Q.; Qin, Y.; Liang, M.; Ran, G.; Gu, H.; Xie, R. Golgi phosphoprotein 3 (GOLPH3) promotes endometrial carcinoma cell invasion and migration by regulating the epithelial-mesenchymal transition. Cancer Biomark 2019, 26, 21–30. [Google Scholar] [CrossRef]






Publisher’s Note: MDPI stays neutral with regard to jurisdictional claims in published maps and institutional affiliations. |
© 2020 by the authors. Licensee MDPI, Basel, Switzerland. This article is an open access article distributed under the terms and conditions of the Creative Commons Attribution (CC BY) license (http://creativecommons.org/licenses/by/4.0/).
Share and Cite
Suh, D.H.; Lee, S.; Park, H.-S.; Park, N.H. Medroxyprogesterone Reverses Tolerable Dose Metformin-Induced Inhibition of Invasion via Matrix Metallopeptidase-9 and Transforming Growth Factor-β1 in KLE Endometrial Cancer Cells. J. Clin. Med. 2020, 9, 3585. https://doi.org/10.3390/jcm9113585
Suh DH, Lee S, Park H-S, Park NH. Medroxyprogesterone Reverses Tolerable Dose Metformin-Induced Inhibition of Invasion via Matrix Metallopeptidase-9 and Transforming Growth Factor-β1 in KLE Endometrial Cancer Cells. Journal of Clinical Medicine. 2020; 9(11):3585. https://doi.org/10.3390/jcm9113585
Chicago/Turabian StyleSuh, Dong Hoon, Sunray Lee, Hyun-Sook Park, and Noh Hyun Park. 2020. "Medroxyprogesterone Reverses Tolerable Dose Metformin-Induced Inhibition of Invasion via Matrix Metallopeptidase-9 and Transforming Growth Factor-β1 in KLE Endometrial Cancer Cells" Journal of Clinical Medicine 9, no. 11: 3585. https://doi.org/10.3390/jcm9113585
APA StyleSuh, D. H., Lee, S., Park, H.-S., & Park, N. H. (2020). Medroxyprogesterone Reverses Tolerable Dose Metformin-Induced Inhibition of Invasion via Matrix Metallopeptidase-9 and Transforming Growth Factor-β1 in KLE Endometrial Cancer Cells. Journal of Clinical Medicine, 9(11), 3585. https://doi.org/10.3390/jcm9113585
