Is Dexamethasone Helpful in Reducing Perihematoma Edema and for the Outcome of Intracerebral Hemorrhage?
Abstract
1. Introduction
2. Subjects and Methods
2.1. Inclusion Criteria
2.2. Exclusion Criteria
2.3. Clinical Evaluation
2.4. Investigations
2.5. Treatment
2.6. Follow-Up
2.7. Outcomes
2.8. Sample Size Calculation
3. Results
3.1. Comparison of Clinical and CT Scan Parameters Just Before Intervention
3.2. Effect of Dexa on Clinical and CT Scan Parameters
3.3. Primary Outcomes
3.4. Secondary Outcomes
3.5. Adverse Events
4. Discussion
Limitations
5. Conclusions
Supplementary Materials
Author Contributions
Funding
Institutional Review Board Statement
Informed Consent Statement
Data Availability Statement
Acknowledgments
Conflicts of Interest
References
- GBD 2019 Stroke Collaborators. Global, regional, and national burden of stroke and its risk factors, 1990–2019: A systematic analysis for the Global Burden of Disease Study 2019. Lancet Neurol. 2021, 20, 795–820. [Google Scholar] [CrossRef] [PubMed]
- Chen, L.; Xu, M.; Yan, S.; Luo, Z.; Tong, L.; Lou, M. Insufficient cerebral venous drainage predicts early edema in acute intracerebral hemorrhage. Neurology 2019, 93, e1463–e1473. [Google Scholar] [CrossRef]
- Gladstone, D.J.; Aviv, R.I.; Demchuk, A.M.; Hill, M.D.; Thorpe, K.E.; Khoury, J.C.; Sucharew, H.J.; Al-Ajlan, F.; Butcher, K.; Dowlatshahi, D.; et al. SPOTLIGHT and STOP-IT Investigators and Coordinators. Effect of Recombinant Activated Coagulation Factor VII on Hemorrhage Expansion Among Patients with Spot Sign-Positive Acute Intracerebral Hemorrhage: The SPOTLIGHT and STOP-IT Randomized Clinical Trials. JAMA Neurol. 2019, 76, 1493–1501. [Google Scholar] [CrossRef] [PubMed]
- Mayer, S.A.; Brun, N.C.; Begtrup, K.; Broderick, J.; Davis, S.; Diringer, M.N.; Skolnick, B.E.; Steiner, T. Recombinant Activated Factor VII Intracerebral Hemorrhage Trial Investigators. Recombinant activated factor VII for acute intracerebral hemorrhage. N. Engl. J. Med. 2005, 352, 777–785. [Google Scholar] [CrossRef] [PubMed]
- Gebel, J.M., Jr.; Jauch, E.C.; Brott, T.G.; Khoury, J.; Sauerbeck, L.; Salisbury, S.; Spilker, J.; Tomsick, T.A.; Duldner, J.; Broderick, J.P. Natural history of perihematomal edema in patients with hyperacute spontaneous intracerebral hemorrhage. Stroke 2002, 33, 2631–2635. [Google Scholar] [CrossRef]
- Venkatasubramanian, C.; Mlynash, M.; Finley-Caulfield, A.; Eyngorn, I.; Kalimuthu, R.; Snider, R.W.; Wijman, C.A. Natural history of perihematomal edema after intracerebral hemorrhage measured by serial magnetic resonance imaging. Stroke 2011, 42, 73–80. [Google Scholar] [CrossRef]
- Kalita, J.; Kumar, D.; Gupta, S.K.; Pandey, P.C.; Mahajan, R.; Singh, V. Association Between Hematoma Edema Complex and Outcomes of Primary Intracerebral Hemorrhage. Neurocritical Care 2025, 43, 763–774. [Google Scholar] [CrossRef]
- Mendelow, A.D.; Gregson, B.A.; Fernandes, H.M.; Murray, G.D.; Teasdale, G.M.; Hope, D.T.; Karimi, A.; Shaw, M.D.; Barer, D.H.; STICH investigators. Early surgery versus initial conservative treatment in patients with spontaneous supratentorial intracerebral haematomas in the International Surgical Trial in Intracerebral Haemorrhage (STICH): A randomised trial. Lancet 2005, 365, 387–397. [Google Scholar] [CrossRef]
- Mendelow, A.D.; Gregson, B.A.; Rowan, E.N.; Murray, G.D.; Gholkar, A.; Mitchell, P.M.; STICH II Investigators. Early surgery versus initial conservative treatment in patients with spontaneous supratentorial lobar intracerebral haematomas (STICH II): A randomised trial. Lancet 2013, 382, 397–408. [Google Scholar] [CrossRef]
- Arthur, A.S.; Jahromi, B.S.; Saphier, P.S.; Nickele, C.M.; Ryan, R.W.; Vajkoczy, P.; Schirmer, C.M.; Kellner, C.P.; Matouk, C.C.; Arias, E.J.; et al. Minimally Invasive Surgery vs Medical Management Alone for Intracerebral Hemorrhage: The MIND Randomized Clinical Trial. JAMA Neurol. 2025, 82, 1113–1121. [Google Scholar] [CrossRef]
- Xi, G.; Keep, R.F.; Hoff, J.T. Mechanisms of brain injury after intracerebral haemorrhage. Lancet Neurol. 2006, 5, 53–63. [Google Scholar] [CrossRef]
- Fouda, A.Y.; Newsome, A.S.; Spellicy, S.; Waller, J.L.; Zhi, W.; Hess, D.C.; Ergul, A.; Edwards, D.J.; Fagan, S.C.; Switzer, J.A. Minocycline in Acute Cerebral Hemorrhage: An Early Phase Randomized Trial. Stroke 2017, 48, 2885–2887. [Google Scholar] [CrossRef] [PubMed]
- Lee, S.H.; Park, H.K.; Ryu, W.S.; Lee, J.S.; Bae, H.J.; Han, M.K.; Lee, Y.S.; Kwon, H.M.; Kim, C.K.; Park, E.S.; et al. Effects of celecoxib on hematoma and edema volumes in primary intracerebral hemorrhage: A multicenter randomized controlled trial. Eur. J. Neurol. 2013, 20, 1161–1169. [Google Scholar] [CrossRef]
- Kalita, J.; Ranjan, P.; Misra, U.K. Current status of osmotherapy in intracerebral hemorrhage. Neurol. India 2003, 51, 104–109. [Google Scholar] [PubMed]
- Misra, U.K.; Kalita, J.; Ranjan, P.; Mandal, S.K. Mannitol in intracerebral hemorrhage: A randomized controlled study. J. Neurol. Sci. 2005, 234, 41–45. [Google Scholar] [CrossRef]
- Misra, U.K.; Kalita, J.; Vajpayee, A.; Phadke, R.V.; Hadique, A.; Savlani, V. Effect of single mannitol bolus in intracerebral hemorrhage. Eur. J. Neurol. 2007, 14, 1118–1123. [Google Scholar] [CrossRef]
- Yang, J.T.; Lee, T.H.; Lee, I.N.; Chung, C.Y.; Kuo, C.H.; Weng, H.H. Dexamethasone inhibits ICAM-1 and MMP-9 expression and reduces brain edema in intracerebral hemorrhagic rats. Acta Neurochir. 2011, 153, 2197–2203. [Google Scholar] [CrossRef]
- Feigin, V.L.; Anderson, N.; Rinkel, G.J.; Algra, A.; van Gijn, J.; Bennett, D.A. Corticosteroids for aneurysmal subarachnoid haemorrhage and primary intracerebral haemorrhage. Cochrane Database Syst. Rev. 2005, 3, CD004583. [Google Scholar] [CrossRef]
- Kalita, J.; Kumar, D.; Gutti, N.B.; Gupta, S.K.; Mishra, A.; Singh, V. A Comparative Study of Metoprolol and Amlodipine on Mortality, Disability and Complication in Acute Stroke. J. Neurosci. Neurol. Disord. 2025, 9, 39–45. [Google Scholar] [CrossRef]
- Rangel-Frausto, M.S.; Pittet, D.; Costigan, M.; Hwang, T.; Davis, C.S.; Wenzel, R.P. The natural history of the systemic inflammatory response syndrome (SIRS): A prospective study. JAMA 1995, 273, 117–123. [Google Scholar] [CrossRef] [PubMed]
- Zazulia, A.R.; Diringer, M.N.; Derdeyn, C.P.; Powers, W.J. Progression of mass effect after intracerebral hemorrhage. Stroke 1999, 30, 1167–1173. [Google Scholar] [CrossRef] [PubMed]
- Gebel, J.M., Jr.; Jauch, E.C.; Brott, T.G.; Khoury, J.; Sauerbeck, L.; Salisbury, S.; Spilker, J.; Tomsick, T.A.; Duldner, J.; Broderick, J.P. Relative edema volume is a predictor of outcome in patients with hyperacute spontaneous intracerebral hemorrhage. Stroke 2002, 33, 2636–2641. [Google Scholar] [CrossRef]
- Lu, Y.; Mao, B.; Tang, J.; Shi, S.; Wang, M.; Wan, S. Impact of dexamethasone therapy on mortality in critically ill patients with non-traumatic intracerebral hemorrhage: A propensity score-matched cohort study. Sci. Rep. 2025, 15, 25993. [Google Scholar] [CrossRef]
- Staykov, D.; Wagner, I.; Volbers, B.; Hauer, E.M.; Doerfler, A.; Schwab, S.; Bardutzky, J. Natural course of perihemorrhagic edema after intracerebral hemorrhage. Stroke 2011, 42, 2625–2629. [Google Scholar] [CrossRef]
- Arima, H.; Wang, J.G.; Huang, Y.; Heeley, E.; Skulina, C.; Parsons, M.W.; Peng, B.; Li, Q.; Su, S.; Tao, Q.L.; et al. Significance of perihematomal edema in acute intracerebral hemorrhage: The INTERACT trial. Neurology 2009, 73, 1963–1968. [Google Scholar] [CrossRef]
- Misra, U.K.; Kalita, J. Motor evoked potential changes in ischaemic stroke depend on stroke location. J. Neurol. Sci. 1995, 134, 67–72. [Google Scholar] [CrossRef]
- Wintzer, S.; Heckmann, J.G.; Huttner, H.B.; Schwab, S. Dexamethasone in Patients with Spontaneous Intracerebral Hemorrhage: An Updated Meta-Analysis. Cerebrovasc. Dis. 2020, 49, 495–502. [Google Scholar] [CrossRef]
- Wang, Y.; Huang, L.; Li, J.; Duan, J.; Pan, X.; Menon, B.K.; Anderson, C.S.; Liu, M.; Wu, S. Efficacy and safety of corticosteroids for stroke and traumatic brain injury: A systematic review and meta-analysis. Syst. Rev. 2025, 14, 54. [Google Scholar] [CrossRef] [PubMed]
- Dietrich, J.; Rao, K.; Pastorino, S.; Kesari, S. Corticosteroids in brain cancer patients: Benefits and pitfalls. Expert Rev. Clin. Pharmacol. 2011, 4, 233–242. [Google Scholar] [CrossRef] [PubMed]
- Kostaras, X.; Cusano, F.; Kline, G.A.; Roa, W.; Easaw, J. Use of dexamethasone in patients with high-grade glioma: A clinical practice guideline. Curr. Oncol. 2014, 21, e493–e503. [Google Scholar] [CrossRef]
- Gomis, P.; Graftieaux, J.P.; Sercombe, R.; Hettler, D.; Scherpereel, B.; Rousseaux, P. Randomized, double-blind, placebo-controlled, pilot trial of high-dose methylprednisolone in aneurysmal subarachnoid hemorrhage. J. Neurosurg. 2010, 112, 681–688. [Google Scholar] [CrossRef] [PubMed]
- Gupta, M.; Verma, R.; Parihar, A.; Garg, R.K.; Singh, M.K.; Malhotra, H.S. Perihematomal edema as predictor of outcome in spontaneous intracerebral hemorrhage. J. Neurosci. Rural Pract. 2014, 5, 48–54. [Google Scholar] [CrossRef]
- Murthy, S.B.; Urday, S.; Beslow, L.A.; Dawson, J.; Lees, K.; Kimberly, W.T.; Iadecola, C.; Kamel, H.; Hanley, D.F.; Sheth, K.N.; et al. Rate of perihaematomal oedema expansion is associated with poor clinical outcomes in intracerebral haemorrhage. J. Neurol. Neurosurg. Psychiatry 2016, 87, 1169–1173. [Google Scholar] [CrossRef] [PubMed]
- Chen, H.; Sun, D. The role of Na-K-Cl co-transporter in cerebral ischemia. Neurol. Res. 2005, 27, 280–286. [Google Scholar] [CrossRef]
- Krishnan, K.; Campos, P.B.; Nguyen, T.N.; Tan, C.W.; Chan, S.L.; Appleton, J.P.; Law, Z.; Hollingworth, M.; Kirkman, M.A.; England, T.J.; et al. Cerebral edema in intracerebral hemorrhage: Pathogenesis, natural history, and potential treatments from translation to clinical trials. Front. Stroke 2023, 2, 1256664. [Google Scholar] [CrossRef]
- Keep, R.F.; Hua, Y.; Xi, G. Intracerebral haemorrhage: Mechanisms of injury and therapeutic targets. Lancet Neurol. 2012, 11, 720–731. [Google Scholar] [CrossRef]
- Aksay Koyuncu, B.; Gür Özmen, S.; Tavukçu Özkan, S.; Altindağ, E.; Tolun, R.; Krespi, Y. Steroid-Responsive Late Symptomatic Perihematomal Edema in Intracerebral Hemorrhage. Noro Psikiyatr. Ars 2015, 52, 423–424. [Google Scholar] [CrossRef]
- Westendorp, W.F.; Nederkoorn, P.J.; Vermeij, J.D.; Dijkgraaf, M.G.; van de Beek, D. Post-stroke infection: A systematic review and meta-analysis. BMC Neurol. 2011, 11, 110. [Google Scholar] [CrossRef]
- Poungvarin, N.; Bhoopat, W.; Viriyavejakul, A.; Rodprasert, P.; Buranasiri, P.; Sukondhabhant, S.; Hensley, M.J.; Strom, B.L. Effects of dexamethasone in primary supratentorial intracerebral hemorrhage. N. Engl. J. Med. 1987, 316, 1229–1233. [Google Scholar] [CrossRef]
- Zompola, C.; Palaiodimou, L.; Voumvourakis, K.; Stefanis, L.; Katsanos, A.H.; Sandset, E.C.; Boviatsis, E.; Tsivgoulis, G. Blood Pressure Variability in Acute Stroke: A Narrative Review. J. Clin. Med. 2024, 13, 1981. [Google Scholar] [CrossRef] [PubMed] [PubMed Central]



| Baseline Parameters | Total (n = 64) Median (Q1–Q3) | Dexa [n = 31 (48.4%)] Median (Q1–Q3) | Non-Dexa [n = 33 (51.6%)] Median (Q1–Q3) | p-Value | |
|---|---|---|---|---|---|
| Clinical and CT scan findings | |||||
| Age (years) | 55.0 (48.0–65.0) | 57.0 (50.0–72.0) | 54.0 (46.0–61.0) | 0.11 | |
| Gender (Male) * | 39 (60.9%) | 23 (74.2%) | 16 (48.5%) | 0.04 | |
| Risk factors * | HTN | 52 (81.2%) | 23 (74.2%) | 29 (87.9%) | 0.21 |
| DM | 16 (25.0%) | 7 (22.6%) | 9 (27.3%) | 0.77 | |
| Smoking | 19 (29.7%) | 9 (29.0%) | 10 (30.3%) | 1.0 | |
| Hyperlipidemia | 16 (25.0%) | 7 (22.6%) | 9 (27.3%) | 0.77 | |
| Seizure | 12 (18.8%) | 4 (12.9%) | 8 (24.2%) | 0.34 | |
| Sedentary lifestyle | 27 (42.2%) | 15 (48.4%) | 12 (36.4%) | 0.45 | |
| ICH size * | Small (<30 mL) | 31 (48.4%) | 8 (25.8%) | 23 (69.7%) | 0.001 |
| Medium (30–50 mL) | 16 (25.0%) | 9 (29.0%) | 7 (21.2%) | ||
| Large (>50 mL) | 17 (26.6%) | 14 (45.2%) | 3 (9.1%) | ||
| ICH location * | Lobar | 12 (18.8%) | 7 (22.6%) | 5 (15.2%) | 0.20 |
| Deep | 52 (81.2%) | 24 (77.4%) | 28 (84.8%) | ||
| NIHSS score | 18.0 (14.5–25.5) | 21.0 (17.0–25.0) | 18.0 (13.0–26.0) | 0.18 | |
| GCS score | 11 (9.5–13.5) | 11.0 (9.0–13.0) | 11.0 (10.0 –14.0) | 0.28 | |
| LDL (mg/dL) | 102.0 (75.5–127.0) | 112 (80.0–128.0) | 88.0 (69.0–125.0) | 0.20 | |
| Serum creatinine (mg/dL) | 1.11 (0.95–1.40) | 1.11 (0.98–1.38) | 1.11 (0.92–1.50) | 0.89 | |
| Serum sodium (mmol/L) | 138.0 (133.0–141.0) | 139.0 (136.0–144.0) | 137.0 (132.0–141.0) | 0.11 | |
| SIRS | 2.0 (2.0–3.0) | 3.0 (2.0–3.0) | 2.0 (2.0–3.0) | 0.15 | |
| ICH volume (mL) | 30.0 (22.0–51.5) | 46.0 (29.0–66.0) | 23.0 (20.0–30.0) | <0.001 | |
| MLS (mm) | 5.5 (3.0–10.0) | 7.0 (5.0–13.0) | 4.0 (3.0–7.0) | 0.001 | |
| Absolute PHE (mL) | 3.8 (2.0–6.5) | 6.0 (3.0–8.0) | 3.0 (2.0–4.0) | 0.001 | |
| Mannitol * | 42 (65.6%) | 23 (74.2%) | 19 (57.6%) | 0.19 | |
| Metoprolol * | 34 (53.1%) | 16 (51.6%) | 18 (54.5%) | 1.00 | |
| Amlodipine * | 30 (46.9%) | 15 (48.4%) | 15 (45.5%) | 1.00 | |
| Mechanical ventilation * | 15 (23.4%) | 10 (32.3%) | 5 (15.2%) | 0.14 | |
| Duration of hospital stay | 17.0 (11.5–23.0) | 21.0 (10.0–26.0) | 15.0 (12.0–22.0) | 0.17 | |
| Parameters (4–7 Days) | Dexa [n = 31 (48.4%)] Median (Q1–Q3) | Non-Dexa [n = 33 (51.6%)] Median (Q1–Q3) | p-Value |
|---|---|---|---|
| Clinical findings | |||
| NIHSS score | 18.0 (15.0–25.0) | 14.0 (12.0–20.0) | 0.07 |
| GCS score | 12.0 (9.0–14.0) | 12.0 (11.0–14.0) | 0.14 |
| Serum sodium (mmol/L) | 138.0 (131.0–144.0) | 134.0 (129.0–137.0) | 0.047 |
| Serum creatinine (mg/dL) | 0.98 (0.87–1.15) | 1.0 (0.78–1.6) | 0.77 |
| SIRS | 2.0 (1.0–2.0) | 1.0 (1.0–2.0) | 0.32 |
| CT-scan finding | |||
| ICH volume (mL) | 48.0 (32.0–72.0) | 22.0 (18.0–35.0) | <0.001 |
| HEC volume (mL) | 60.0 (38.0–85.0) | 28.0 (22.0–42.0) | <0.001 |
| PHE volume (mL) | 8.0 (5.0–12.0) | 5.0 (4.0–7.0) | 0.003 |
| MLS (mm) | 6.0 (5.0–12.0) | 2.0 (0.0–5.0) | <0.001 |
| Parameters | Dexa [n = 31 (48.4%)] Median (Q1–Q3) | p-Value | Non-Dexa [n = 33 (51.6%)] Median (Q1–Q3) | p-Value | ||
|---|---|---|---|---|---|---|
| Days 4–7 | Days 15 | Days 4–7 | Days 15 | |||
| Clinical findings | ||||||
| NIHSS score | 18.0 (15.0–25.0) | 14.0 (11.0–18.0) | <0.001 | 14.0 (12.0–20.0) | 12.0 (9.0–16.0) | <0.001 |
| GCS score | 12.0 (9.0–14.0) | 13.0 (12.0–14.0) | 0.001 | 12.0 (11.0–14.0) | 13.0 (12.0–15.0) | 0.007 |
| Serum Sodium (mmol/L) | 138.0 (131.0–144.0) | 135.5 (131.0–139.5) | 0.64 | 134.0 (129.0–137.0) | 134.0 (132.0–139.0) | 0.24 |
| CT findings | ||||||
| ICH vol (mL) | 48.0 (32.0–72.0) | 40.0 (22.5–52.0) | <0.001 | 22.0 (18.0–35.0) | 18.0 (15.0–30.0) | <0.001 |
| HEC vol (mL) | 60.0 (38.0–85.0) | 47.0 (25.5–69.5) | <0.001 | 28.0 (22.0–42.0) | 21.5 (18.0–37.5) | <0.001 |
| PHE vol (mL) | 8.0 (5.0–12.0) | 4.0 (4.0–10.0) | 0.03 | 5.0 (4.0–7.0) | 4.0 (3.0–5.5) | 0.07 |
| MLS (mm) | 6.0 (5.0–12.0) | 4.0 (0.0–8.0) | <0.001 | 2.0 (0.0–5.0) | 0.0 (0.0–2.0) | 0.002 |
| Parameters | Dexa [n = 31 (48.4%)] Median (Q1–Q3) | Non-Dexa [n = 33 (51.6%)] Median (Q1–Q3) | p-Value |
|---|---|---|---|
| CT findings (days 7–15) | |||
| ICH volume (mL) | 4.0 (3.0–7.0) | 4.0 (3.0–5.0) | 0.29 |
| HEC volume (mL) | 7.0 (5.0–10.0) | 5.0 (3.0–7.0) | 0.046 |
| PHE volume (mL) | 2.0 (0.0–4.0) | 1.0 (−0.5–3.0) | 0.26 |
| MLS volume (mL) | 4.0 (1.0–5.0) | 0.0 (0.0–2.0) | 0.001 |
| Clinical findings (days 7–15) | |||
| NIHSS score | 2.0 (1.0–4.0) | 2.0 (1.0–4.0) | 0.96 |
| GCS score | 0.0 (−1.0–0.0) | 0.0 (−1.0–0.0) | 0.65 |
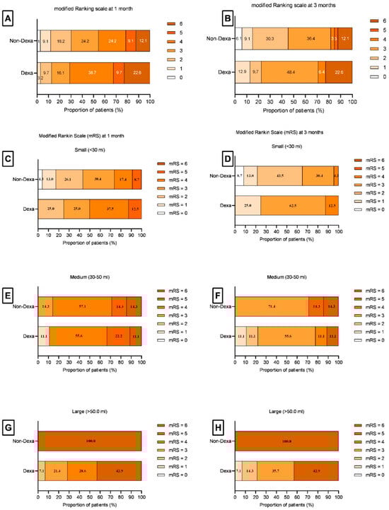
| Outcome | Total (n = 64) | Dexa [n = 31 (48.4%)] | Non-Dexa [n = 33 (51.6%)] | p-Value | |
|---|---|---|---|---|---|
| At 1 month | |||||
| Survived | 53 (82.8%) | 24 (45.3%) | 29 (54.7%) | 0.33 | |
| Death | 11 (17.2%) | 7 (63.6%) | 4 (36.4%) | ||
| ICH size * | |||||
| Small (<30 mL) | Survived | 31 (48.4%) | (8) 25.8% | (23) 74.2% | 1.0 |
| Death | 0 (0.0%) | (0) 0.0% | (0) 0.0% | ||
| Medium (30–50 mL) | Survived | 14 (21.9%) | 8 (57.1%) | 6 (42.9%) | 0.67 |
| Death | 2 (3.1%) | 1 (50.0%) | 1 (50.0%) | ||
| Large (>50 mL) | Survived | 8 (12.5%) | 8 (100.0%) | 0 (0.0%) | <0.001 |
| Death | 9 (14.1%) | 6 (66.7%) | 3 (33.3%) | ||
| At 3 months | |||||
| Good | 22 (34.4%) | 7 (31.8%) | 15 (68.2%) | 0.07 | |
| Poor | 42 (65.6) | 24 (57.1%) | 18 (42.9%) | ||
| ICH size * | |||||
| Small (<30 mL) | Good | 17 (26.5%) | 2 (11.8%) | 15 (88.2%) | <0.001 |
| Poor | 14 (21.9%) | 6 (42.9%) | 8 (57.1%) | ||
| Medium (30–50 mL) | Good | 2 (3.1%) | 2 (100.0%) | 0 (0.0%) | <0.001 |
| Poor | 14 (21.9%) | 7 (50.0%) | 7 (50.0%) | ||
| Large (>50 mL) | Good | 3 (4.7%) | 3 (100.0%) | 0 (0.0%) | <0.001 |
| Poor | 14 (21.9%) | 11 (78.6%) | 3 (21.4%) | ||
| Parameters | Dexa [n = 31 (48.4%)] Median (Q1–Q3) | Non-Dexa [n = 33 (51.6%)] Median (Q1–Q3) | p-Value |
|---|---|---|---|
| Hyperglycemia * | 3 (9.6%) | 2 (6.1%) | 0.67 |
| Hypertension * | 7 (22.6%) | 3 (9.1%) | 0.18 |
| Infection * | 14 (45.2%) | 8 (24.2%) | 0.11 |
| Highest random blood sugar (mg/dL) | 198.0 (146.0–259.0) | 151.0 (136.0–172.0) | 0.04 |
| Highest SBP | 164.0 (152.0–177.0) | 163.0 (150.0–170.0) | 0.90 |
| Highest DBP | 120.0 (110.0–130.0) | 120.0 (110.0–130.0) | 0.30 |
| Variability in SBP | 47.0 (36.0–60.0) | 42.0 (37.0–59.0) | 0.41 |
| Variability in DBP | 28.0 (20.0–44.0) | 27.0 (20.0–30.0) | 0.66 |
Disclaimer/Publisher’s Note: The statements, opinions and data contained in all publications are solely those of the individual author(s) and contributor(s) and not of MDPI and/or the editor(s). MDPI and/or the editor(s) disclaim responsibility for any injury to people or property resulting from any ideas, methods, instructions or products referred to in the content. |
© 2026 by the authors. Licensee MDPI, Basel, Switzerland. This article is an open access article distributed under the terms and conditions of the Creative Commons Attribution (CC BY) license.
Share and Cite
Kalita, J.; Gupta, S.K.; Kumar, D.; Nizami, F.M.; Pandey, P.C.; Mahajan, R.; Singh, V. Is Dexamethasone Helpful in Reducing Perihematoma Edema and for the Outcome of Intracerebral Hemorrhage? J. Clin. Med. 2026, 15, 352. https://doi.org/10.3390/jcm15010352
Kalita J, Gupta SK, Kumar D, Nizami FM, Pandey PC, Mahajan R, Singh V. Is Dexamethasone Helpful in Reducing Perihematoma Edema and for the Outcome of Intracerebral Hemorrhage? Journal of Clinical Medicine. 2026; 15(1):352. https://doi.org/10.3390/jcm15010352
Chicago/Turabian StyleKalita, Jayantee, Sandeep Kumar Gupta, Dhiraj Kumar, Firoz M. Nizami, Prakash C. Pandey, Roopali Mahajan, and Vivek Singh. 2026. "Is Dexamethasone Helpful in Reducing Perihematoma Edema and for the Outcome of Intracerebral Hemorrhage?" Journal of Clinical Medicine 15, no. 1: 352. https://doi.org/10.3390/jcm15010352
APA StyleKalita, J., Gupta, S. K., Kumar, D., Nizami, F. M., Pandey, P. C., Mahajan, R., & Singh, V. (2026). Is Dexamethasone Helpful in Reducing Perihematoma Edema and for the Outcome of Intracerebral Hemorrhage? Journal of Clinical Medicine, 15(1), 352. https://doi.org/10.3390/jcm15010352

