Long-Term Effect of a Structured Educational Program on Diabetic Foot on Major Adverse Limb and Cardiovascular Events in People with Type 1 Diabetes
Abstract
1. Introduction
2. Materials and Methods
2.1. Study Design and Population
2.2. Intervention
2.3. Routine Diabetes Management and Follow-Up
2.4. Primary Outcomes
2.5. Covariates
2.6. Physical Examination
2.7. Statistical Analysis
3. Results
3.1. Participant Characteristics
3.2. Structured Diabetic Foot Education Program
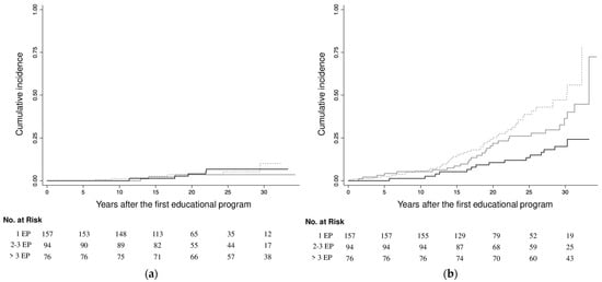
3.3. Events During the Follow-Up
4. Discussion
5. Conclusions
Supplementary Materials
Author Contributions
Funding
Institutional Review Board Statement
Informed Consent Statement
Data Availability Statement
Conflicts of Interest
Abbreviations
| CKD-EPI | Chronic Kidney Disease–Epidemiology Collaboration DFU: diabetic-related foot ulcer |
| DFU | Diabetic kidney disease |
| DKD | Diabetic kidney disease |
| DSMES | Diabetes self-management education and support |
| eGFR | Estimated glomerular filtration rate |
| EPs | Educational programs |
| LOPS | Loss of protective sensation |
| MACE | Major adverse cardiovascular event |
| MALE | Major adverse limb event |
| RCTs | Randomized controlled trials |
| PAD | Peripheral arterial disease |
| STROBE | Strengthening the Reporting of Observational Studies in Epidemiology |
References
- Narres, M.; Kvitkina, T.; Claessen, H.; Droste, S.; Schuster, B.; Morbach, S.; Rümenapf, G.; Van Acker, K.; Icks, A. Incidence of Lower Extremity Amputations in the Diabetic Compared with the Non-Diabetic Population: A Systematic Review. PLoS ONE 2017, 12, e0182081. [Google Scholar] [CrossRef]
- American Diabetes Association Professional Practice Committee; ElSayed, N.A.; McCoy, R.G.; Aleppo, G.; Balapattabi, K.; Beverly, E.A.; Briggs Early, K.; Bruemmer, D.; Callaghan, B.C.; Echouffo-Tcheugui, J.B.; et al. 12. Retinopathy, Neuropathy, and Foot Care: Standards of Care in Diabetes—2025. Diabetes Care 2025, 48, S252–S265. [Google Scholar] [CrossRef]
- Chamberlain, R.C.; Fleetwood, K.; Wild, S.H.; Colhoun, H.M.; Lindsay, R.S.; Petrie, J.R.; McCrimmon, R.J.; Gibb, F.; Philip, S.; Sattar, N.; et al. Foot Ulcer and Risk of Lower Limb Amputation or Death in People With Diabetes: A National Population-Based Retrospective Cohort Study. Diabetes Care 2022, 45, 83–91. [Google Scholar] [CrossRef] [PubMed]
- Schaper, N.C.; van Netten, J.J.; Apelqvist, J.; Bus, S.A.; Fitridge, R.; Game, F.; Monteiro-Soares, M.; Senneville, E. Practical Guidelines on the Prevention and Management of Diabetes-Related Foot Disease (IWGDF 2023 Update). Diabetes Metab. Res. Rev. 2024, 40, e3657. [Google Scholar] [CrossRef] [PubMed]
- Vas, P.R.J.; Maggio, V.; Rizzo, M.; Papanas, N. Diabetic Neuropathy in Adolescents and Young Adults: The Need for Early Detection and Improved Understanding. J. Diabetes Complicat. 2025, 39, 109018. [Google Scholar] [CrossRef]
- Singh, N.; Armstrong, D.G.; Lipsky, B.A. Preventing Foot Ulcers in Patients With Diabetes. JAMA 2005, 293, 217–228. [Google Scholar] [CrossRef]
- Jeffcoate, W.; Boyko, E.J.; Game, F.; Cowled, P.; Senneville, E.; Fitridge, R. Causes, prevention, and management of diabetes-related foot ulcers. Lancet 2024, 12, 472–482. [Google Scholar] [CrossRef]
- Ben Zvi, L.; Maman, D.; Margulis, M.; Berkovich, Y. Predictors of Major Amputation and Mortality in Infected Diabetic Foot Ulcers: A Retrospective Nationwide Inpatient Sample Study. Int. J. Environ. Res. Public. Health 2025, 22, 1387. [Google Scholar] [CrossRef]
- Holman, N.; Yelland, A.C.; Young, B.; Valabhji, J.; Jeffcoate, W.; Game, F. Mortality Rates in People Presenting with a New Diabetes-Related Foot Ulcer: A Cohort Study with Implications for Management. Diabetologia 2024, 67, 2691–2701. [Google Scholar] [CrossRef]
- Holt, R.I.G.; Devries, J.H.; Hess-Fischl, A.; Hirsch, I.B.; Kirkman, M.S.; Klupa, T.; Ludwig, B.; Nørgaard, K.; Pettus, J.; Renard, E.; et al. The Management of Type 1 Diabetes in Adults. A Consensus Report by the American Diabetes Association (ADA) and the European Association for the Study of Diabetes (EASD). Diabetologia 2021, 64, 2609–2652. [Google Scholar] [CrossRef]
- Davis, J.; Fischl, A.H.; Beck, J.; Browning, L.; Carter, A.; Condon, J.E.; Dennison, M.; Francis, T.; Hughes, P.J.; Jaime, S.; et al. 2022 National Standards for Diabetes Self-Management Education and Support. Diabetes Care 2022, 45, 484–494. [Google Scholar] [CrossRef]
- Nkhoma, D.E.; Soko, C.J.; Bowrin, P.; Manga, Y.B.; Greenfield, D.; Househ, M.; Li (Jack), Y.C.; Iqbal, U. Digital Interventions Self-Management Education for Type 1 and 2 Diabetes: A Systematic Review and Meta-Analysis. Comput. Methods Programs Biomed. 2021, 210, 106370. [Google Scholar] [CrossRef]
- Bekele, B.B.; Negash, S.; Bogale, B.; Tesfaye, M.; Getachew, D.; Weldekidan, F.; Balcha, B. Effect of Diabetes Self-Management Education (DSME) on Glycated Hemoglobin (HbA1c) Level among Patients with T2DM: Systematic Review and Meta-Analysis of Randomized Controlled Trials. Diabetes Metab. Syndr. Clin. Res. Rev. 2021, 15, 177–185. [Google Scholar] [CrossRef] [PubMed]
- Alonso-Carril, N.; Rodriguez-Rodríguez, S.; Quirós, C.; Berrocal, B.; Amor, A.J.; Barahona, M.J.; Martínez, D.; Ferré, C.; Perea, V. Could Online Education Replace Face-to-Face Education in Diabetes? A Systematic Review. Diabetes Ther. 2024, 15, 1513–1524. [Google Scholar] [CrossRef] [PubMed]
- Goodall, R.J.; Ellauzi, J.; Tan, M.K.H.; Onida, S.; Davies, A.H.; Shalhoub, J. A Systematic Review of the Impact of Foot Care Education on Self Efficacy and Self Care in Patients with Diabetes. Eur. J. Vasc. Endovasc. Surg. 2020, 60, 282–292. [Google Scholar] [CrossRef]
- He, X.; Li, J.; Wang, B.; Yao, Q.; Li, L.; Song, R.; Shi, X.; Zhang, J. An Diabetes Self-Management Education Reduces Risk of All-Cause Mortality in Type 2 Diabetes Patients: A Systematic Review and Meta-Analysis. Endocrine 2017, 55, 712–731. [Google Scholar] [CrossRef]
- Reaney, M.; Gladwin, T.; Churchill, S. Information about Foot Care Provided to People with Diabetes with or without Their Partners: Impact on Recommended Foot Care Behavior. Appl. Psychol. Health Well Being 2022, 14, 465–482. [Google Scholar] [CrossRef]
- Heng, M.L.; Kwan, Y.H.; Ilya, N.; Ishak, I.A.; Jin, P.H.; Hogan, D.; Carmody, D. A Collaborative Approach in Patient Education for Diabetes Foot and Wound Care: A Pragmatic Randomised Controlled Trial. Int. Wound J. 2020, 17, 1678–1686. [Google Scholar] [CrossRef]
- van Netten, J.J.; Raspovic, A.; Lavery, L.A.; Monteiro-Soares, M.; Paton, J.; Rasmussen, A.; Sacco, I.C.N.; Bus, S.A. Prevention of Foot Ulcers in Persons with Diabetes at Risk of Ulceration: A Systematic Review and Meta-Analysis. Diabetes Metab. Res. Rev. 2024, 40, e3652. [Google Scholar] [CrossRef]
- Akerkar, A.; Rønn, P.F.; Kosjerina, V.; Hansen, C.S.; Hulman, A.; Persson, F.; Rasmussen, A.; Rossing, P.; Ahluwalia, T.S. Cumulative Risk of Diabetic Foot Complications in Risk Groups of Type 1 and Type 2 Diabetes: Real-World Evidence from a 22-Year Follow-up Study. Diabetes Obes. Metab. 2025, 27, 2284–2287. [Google Scholar] [CrossRef]
- Apelqvist, J.; Bakker, K.; van Houtum, W.H.; Nabuurs-Franssen, M.H.; Schaper, N.C. International Consensus and Practical Guidelines on the Management and the Prevention of the Diabetic Foot. Diabetes Metab. Res. Rev. 2000, 16, S84–S92. [Google Scholar] [CrossRef]
- ICD-11. Available online: https://icd.who.int/en (accessed on 12 March 2025).
- Hingorani, A.; Lamuraglia, G.M.; Henke, P.; Meissner, M.H.; Loretz, L.; Zinszer, K.M.; Driver, V.R.; Frykberg, R.; Carman, T.L.; Marston, W.; et al. The Management of Diabetic Foot: A Clinical Practice Guideline by the Society for Vascular Surgery in Collaboration with the American Podiatric Medical Association and the Society for Vascular Medicine. J. Vasc. Surg. 2016, 63, 3S–21S. [Google Scholar] [CrossRef]
- Zhang, P.; Lu, J.; Jing, Y.; Tang, S.; Zhu, D.; Bi, Y. Global Epidemiology of Diabetic Foot Ulceration: A Systematic Review and Meta-Analysis†. Ann. Med. 2017, 49, 106–116. [Google Scholar] [CrossRef]
- Sebastian-Valles, F.; Santiago-Redondo, A.; García-Artacho, E.; Sampedro-Nuñez, M.A.; Navas-Moreno, V.; Arranz Martín, J.A.; Marazuela, M. Impact of Remnant Cholesterol and Triglycerides on Diabetes Foot and Disease in Type 1 Diabetes: A Propensity Score-Matched Case-Control Study. J. Diabetes Complicat. 2025, 39, 109082. [Google Scholar] [CrossRef] [PubMed]
- Nicolucci, A.; Kovacs Burns, K.; Holt, R.I.G.; Comaschi, M.; Hermanns, N.; Ishii, H.; Kokoszka, A.; Pouwer, F.; Skovlund, S.E.; Stuckey, H.; et al. Diabetes Attitudes, Wishes and Needs Second Study (DAWN2TM): Cross-National Benchmarking of Diabetes-Related Psychosocial Outcomes for People with Diabetes. Diabet. Med. 2013, 30, 767–777. [Google Scholar] [CrossRef] [PubMed]
- Lincoln, N.B.; Radford, K.A.; Game, F.L.; Jeffcoate, W.J. Education for Secondary Prevention of Foot Ulcers in People with Diabetes: A Randomised Controlled Trial. Diabetologia 2008, 51, 1954–1961. [Google Scholar] [CrossRef] [PubMed]
- Gershater, M.A.; Pilhammar, E.; Apelqvist, J.; Alm-Roijer, C. Patient Education for the Prevention of Diabetic Foot Ulcers. Int. Diabetes Nurs. 2011, 8, 102–107b. [Google Scholar] [CrossRef]
- Liang, R.; Dai, X.; Zuojie, L.; Zhou, A.; Meijuan, C. Two-Year Foot Care Program for Minority Patients with Type 2 Diabetes Mellitus of Zhuang Tribe in Guangxi, China. Can. J. Diabetes 2012, 36, 15–18. [Google Scholar] [CrossRef]
- Monami, M.; Zannoni, S.; Gaias, M.; Nreu, B.; Marchionni, N.; Mannucci, E. Effects of a Short Educational Program for the Prevention of Foot Ulcers in High-Risk Patients: A Randomized Controlled Trial. Int. J. Endocrinol. 2015, 2015, 615680. [Google Scholar] [CrossRef]
- Liu, J.; Chen, T.; Wang, S.; Liu, H. The Effect of Transitional Care on the Prevention of Diabetic Foot Ulcers in Patients at High Risk for Diabetic Foot. Int. J. Diabetes Dev. Ctries. 2019, 39, 659–666. [Google Scholar] [CrossRef]
- Walsh, J.W.; Hoffstad, O.J.; Sullivan, M.O.; Margolis, D.J. Association of Diabetic Foot Ulcer and Death in a Population-Based Cohort from the United Kingdom. Diabet. Med. 2016, 33, 1493–1498. [Google Scholar] [CrossRef]
- Vadiveloo, T.; Jeffcoate, W.; Donnan, P.T.; Colhoun, H.C.; McGurnaghan, S.; Wild, S.; McCrimmon, R.; Leese, G.P. Amputation-Free Survival in 17,353 People at High Risk for Foot Ulceration in Diabetes: A National Observational Study. Diabetologia 2018, 61, 2590–2597. [Google Scholar] [CrossRef] [PubMed]
- 5. Facilitating Positive Health Behaviors and Well-Being to Improve Health Outcomes: Standards of Care in Diabetes—2025. Diabetes Care 2025, 48, S86–S127. [CrossRef] [PubMed]
- Feodoroff, M.; Harjutsalo, V.; Forsblom, C.; Groop, P.H. Dose-Dependent Effect of Smoking on Risk of Coronary Heart Disease, Heart Failure and Stroke in Individuals with Type 1 Diabetes. Diabetologia 2018, 61, 2580–2589. [Google Scholar] [CrossRef] [PubMed]
- Solà, C.; Viñals, C.; Serés-Noriega, T.; Perea, V.; Esmatjes, E.; Boswell, L.; Pané, A.; Blanco-Carrasco, A.J.; Vinagre, I.; Mesa, A.; et al. Dose-Dependent Association of Cumulative Tobacco Consumption with the Presence of Carotid Atherosclerosis in Individuals with Type 1 Diabetes. Diabetes Res. Clin. Pract. 2024, 214, 111771. [Google Scholar] [CrossRef]
- Wei, Y.; Andersson, T.; Tuomi, T.; Nyström, T.; Carlsson, S. Adult-Onset Type 1 Diabetes: Predictors of Major Cardiovascular Events and Mortality. Eur. Heart J. 2025, 46, 3776–3786. [Google Scholar] [CrossRef]
- Tran-Duy, A.; Knight, J.; Clarke, P.M.; Svensson, A.M.; Eliasson, B.; Palmer, A.J. Development of a Life Expectancy Table for Individuals with Type 1 Diabetes. Diabetologia 2021, 64, 2228–2236. [Google Scholar] [CrossRef]
- Little, R.J.; D’Agostino, R.; Cohen, M.L.; Dickersin, K.; Emerson, S.S.; Farrar, J.T.; Frangakis, C.; Hogan, J.W.; Molenberghs, G.; Murphy, S.A.; et al. The Prevention and Treatment of Missing Data in Clinical Trials. N. Engl. J. Med. 2012, 367, 1355–1360. [Google Scholar] [CrossRef]

| N = 327 | |||
|---|---|---|---|
| Demographic characteristics | Age (years) | 42.5 13.7 | |
| Sex (female) | 164 (50.2) | ||
| Higher education | 30/276 (10.9) | ||
| European descendent | 327 (100) | ||
| Active smoking habit | 91/307 (29.7) | ||
| Diabetes duration (years) | 14 (8–22) | ||
| Comorbidities and cardioprotective drugs | |||
| Hypertension | 48/306 (15.7) | ||
| Dyslipidemia | 59/280 (21.1) | ||
| Use of antiplatelets | 21/288 (7.3) | ||
| Diabetes-related complications | |||
| Retinopathy | 91/233 (39.1) | ||
| DKD | 16/112 (14.3) | ||
| Neuropathy | 39/285 (13.7) | ||
| Myocardial infarction | 10/278 (3.6) | ||
| Stroke | 3/273 (1.1) | ||
| Foot complications history | |||
| Major amputation (above the forefoot) | 0/295 | ||
| Minor amputation (below the forefoot) | 4/295 (1.4) | ||
| Loss of protective sensation | 30/299 (10.0) | ||
| Peripheral artery disease | 50/312 (16.0) | ||
| Physical examination | Body mass index | N | 286 |
| Kg/m2 | 26.0 17.3 | ||
| Systolic blood pressure (mmHg) | 130 19 | ||
| Diastolic blood pressure (mmHg) | 76 13 | ||
| Foot lesions | |||
| Hammertoes | 5/280 (1.7) | ||
| Bunions | 9/299 (3.0) | ||
| Callus | 33/299 (11.0) | ||
| Diabetic foot ulcers | 7/296 (2.4) | ||
| Skin lesions | 31/293 (10.6) | ||
| Nail lesions | 21/292 (7.2) | ||
| Laboratory measures | HbA1c | N | 283 |
| % | 7.9 (6.9–9.1) | ||
| mmol/mol | 62.8 (51.9–76.0) | ||
| Total cholesterol | N | 270 | |
| mg/dL | 187 (165–213) | ||
| Triglycerides | N | 264 | |
| mg/dL | 87 (64–123.5) | ||
| HDL-cholesterol | N | 191 | |
| mg/dL | 51 (42–63) | ||
| LDL-cholesterol | N | 190 | |
| mg/dL | 114.2 (97–139.6) | ||
| Serum creatinine | N | 151 | |
| mg/dL | 0.98 (0.9–1.1) | ||
| eGFR(CKD-EPI) | N | 151 | |
| mL/min/1.73 m2 | 91 (78.9–101) | ||
| 1 EP (n = 157) | 2–3 EP (n = 94) | >3 EP (n = 76) | p | ||
|---|---|---|---|---|---|
| Demographic characteristics | |||||
| Age (years) | 44.9 14.6 | 41.1 13.1 † | 39.3 11.5 † | 0.007 | |
| Sex (female) | 69 (44.2) | 47 (50) | 47 (61.8) | 0.042 | |
| Higher education | 9/116 (7.8) | 11/88 (12.5) | 10/72 (13.9) | 0.354 | |
| Active smoking habit | 46/142 (32.4) | 28/92 (30.4) | 17/73 (23.3) | 0.376 | |
| Diabetes duration (years) | 13 (7–22) | 13.5 (9–24) | 15 (8.5–23) | 0.619 | |
| Comorbidities and cardioprotective treatment | |||||
| Hypertension | 32/141 (22.7) | 10/90 (11.1) | 7/75 (9.3) † | 0.012 | |
| Dyslipidemia | 40/118 (33.9) | 18/88 (20.5) | 1/74 (1.35) †, ‡ | <0.001 | |
| Use of antiplatelets | 15/130 (11.5) | 5/84 (6.0) | 1/74 (1.4) † | 0.023 | |
| Diabetes-related complications | |||||
| Retinopathy | 37/109 (33.9) | 33/74 (44.6) | 21/50 (42.0) | 0.312 | |
| DKD | 5/56 (8.9) | 3/25 (12.0) | 8/31 (25.8) | 0.092 | |
| Neuropathy | 17/134 (12.7) | 13/86 (15.1) | 9/65 (13.9) | 0.876 | |
| Myocardial infarction | 4/133 (3.0) | 3/81 (3.7) | 3/64 (4.7) | 0.786 | |
| Stroke | 2/131 (1.5) | 1/81 (1.2) | 0 | 0.769 | |
| Foot complications history | |||||
| Major amputation (above the forefoot) | 0 | 0 | 0 | - | |
| Minor amputation (below the forefoot) | 2/144 (1.4) | 1/87 (1.2) | 1/64 (1.6) | 0.976 | |
| Loss of protective sensation | 16/147 (12.9) | 7/85 (8.2) | 4/67 (6.0) | 0.236 | |
| Peripheral artery disease | 23/151 (15.2) | 13/90 (14.4) | 14/71 (19.7) | 0.620 | |
| Physical examination | |||||
| Body mass index | N | 122 | 91 | 73 | |
| Kg/m2 | 27.5 26.2 | 25.0 3.8 | 24.8 3.8 | 0.449 | |
| Systolic blood pressure (mmHg) | 129 18 | 130 19 | 132 18 | 0.493 | |
| Diastolic blood pressure (mmHg) | 75 10 | 76 13 | 78 15 | 0.283 | |
| Foot lesions | |||||
| Hammertoes | 2/130 (1.5) | 3/83 (3.6) | 0 | 0.241 | |
| Bunions | 2/145 (1.4) | 5/87 (5.8) | 2/67 (3.0) | 0.169 | |
| Callus | 13/145 (9.0) | 12/87 (13.8) | 8/67 (11.9) | 0.506 | |
| Diabetic foot ulcers | 2/144 (1.4) | 2/87 (2.3) | 3/65 (4.6) | 0.364 | |
| Skin lesions | 9/143 (6.3) | 12/86 (14.0) | 10/64 (15.6) | 0.063 | |
| Nail lesions | 12/142 (8.5) | 3/87 (3.5) | 6/63 (9.5) | 0.262 | |
| Laboratory measures | |||||
| HbA1c | N | 134 | 80 | 69 | 0.057 |
| % | 8.1 (7.3–9.3) | 7.8 (6.6–8.8) | 7.6 (6.5–8.9) | ||
| mmol/mol | 65.0 (56.3–78.1) | 61.7 (48.6–72.1) | 59.6 (47.5–73.8) | ||
| Total cholesterol | N | 123 | 74 | 73 | 0.556 |
| mg/dL | 186 (158–213) | 184 (165–225) | 191 (174–207) | ||
| Triglycerides | N | 120 | 73 | 71 | 0.014 |
| mg/dL | 84.5 (70.5–129.5) | 79 (61–108) | 83 (63–101) † | ||
| Cholesterol-HDL | N | 88 | 50 | 53 | 0.137 |
| mg/dL | 47.5 (40–61) | 55.5 (44–68) | 52 (44–64) | ||
| Cholesterol-LDL | N | 87 | 50 | 53 | 0.582 |
| mg/dL | 114.2 (94.8–135.6) | 115.7 (87.4–148.4) | 112.8 (105–140.2) | ||
| Serum creatinine | N | 71 | 37 | 43 | 0.734 |
| mg/dL | 0.92 (0.9–1.1) | 1 (0.9–1.1) | 1 (0.9–1.1) | ||
| eGFR(CKD-EPI) | N | 71 | 37 | 43 | 0.9201 |
| mL/min/1.73 m2 | 93.2 (77.0–105.3) | 91.9 (80.5–100.7) | 90.0 (82.0–96.7) | ||
| Outcome | EP | n/N (%) | Crude Model HR (95% CI) | Adjusted Model 1 HR (95% CI) | Adjusted Model 2 HR (95% CI) | Adjusted Model 3 HR (95% CI) |
|---|---|---|---|---|---|---|
| First MACE | 1 | 49/157 (31.2) | 1 (reference) | 1 (reference) | 1 (reference) | 1 (reference) |
| 2–3 | 28/94 (29.8) | 0.67 (0.41–1.07) | 1.21 (0.73–2.01) | 1.02 (0.58–1.82) | 1.10 (0.60–2.03) | |
| >3 | 16/76 (21.1) | 0.31 (0.18–0.56) * | 0.56 (0.30–1.03) | 0.48 (0.24–0.99) * | 0.56 (0.27–1.17) | |
| Components of MACE: | ||||||
| Non-fatal stroke | 1 | 4/141 (2.8) | 1 (reference) | 1 (reference) | 1 (reference) | 1 (reference) |
| 2–3 | 3/88 (3.4) | 1.09 (0.24–4.88) | 1.46 (0.31–6.90) | 1.45 (0.17–14.41) | 1.49 (0.17–13.04) | |
| >3 | 2/73 (2.7) | 0.80 (0.14–4.37) | 1.12 (0.19–6.77) | 1.75 (0.17–17.57) | 2.26 (0.20–25.55) | |
| Non-fatal myocardial infarction | 1 | 6/141 (4.3) | 1 (reference) | 1 (reference) | 1 (reference) | 1 (reference) |
| 2–3 | 6/89 (6.7) | 1.31 (0.42–4.09) | 1.55 (0.48–4.96) | 0.83 (0.23–2.87) | 0.75 (0.21–2.62) | |
| >3 | 6/73 (8.2) | 1.27 (0.40–4.03) | 1.56 (0.47–5.21) | 0.88 (0.27–2.97) | 0.84 (0.24–2.85) | |
| Death from any cause | 1 | 44/157 (28.0) | 1 (reference) | 1 (reference) | 1 (reference) | 1 (reference) |
| 2–3 | 24/93 (25.8) | 0.59 (0.36–0.98) * | 1.06 (0.62–1.80) | 0.95 (0.50–1.80) | 1.04 (0.54–2.02) | |
| >3 | 12/76 (15.8) | 0.24 (0.12–0.46) * | 0.45 (0.22–0.89) * | 0.36 (0.16–0.83) * | 0.44 (0.19–1.02) |
Disclaimer/Publisher’s Note: The statements, opinions and data contained in all publications are solely those of the individual author(s) and contributor(s) and not of MDPI and/or the editor(s). MDPI and/or the editor(s) disclaim responsibility for any injury to people or property resulting from any ideas, methods, instructions or products referred to in the content. |
© 2025 by the authors. Licensee MDPI, Basel, Switzerland. This article is an open access article distributed under the terms and conditions of the Creative Commons Attribution (CC BY) license (https://creativecommons.org/licenses/by/4.0/).
Share and Cite
Alonso-Carril, N.; Valverde, M.; Anglada, J.; García-Pascual, L.; Barahona, M.-J.; Rodríguez-Rodríguez, S.; Berrocal, B.; Quirós, C.; Simó-Servat, A.; Puig-Jové, C.; et al. Long-Term Effect of a Structured Educational Program on Diabetic Foot on Major Adverse Limb and Cardiovascular Events in People with Type 1 Diabetes. J. Clin. Med. 2025, 14, 8149. https://doi.org/10.3390/jcm14228149
Alonso-Carril N, Valverde M, Anglada J, García-Pascual L, Barahona M-J, Rodríguez-Rodríguez S, Berrocal B, Quirós C, Simó-Servat A, Puig-Jové C, et al. Long-Term Effect of a Structured Educational Program on Diabetic Foot on Major Adverse Limb and Cardiovascular Events in People with Type 1 Diabetes. Journal of Clinical Medicine. 2025; 14(22):8149. https://doi.org/10.3390/jcm14228149
Chicago/Turabian StyleAlonso-Carril, Núria, Maite Valverde, Jordi Anglada, Luis García-Pascual, Maria-José Barahona, Silvia Rodríguez-Rodríguez, Belén Berrocal, Carmen Quirós, Andreu Simó-Servat, Carlos Puig-Jové, and et al. 2025. "Long-Term Effect of a Structured Educational Program on Diabetic Foot on Major Adverse Limb and Cardiovascular Events in People with Type 1 Diabetes" Journal of Clinical Medicine 14, no. 22: 8149. https://doi.org/10.3390/jcm14228149
APA StyleAlonso-Carril, N., Valverde, M., Anglada, J., García-Pascual, L., Barahona, M.-J., Rodríguez-Rodríguez, S., Berrocal, B., Quirós, C., Simó-Servat, A., Puig-Jové, C., Martínez, D., Ferré, C., Amor, A. J., & Perea, V. (2025). Long-Term Effect of a Structured Educational Program on Diabetic Foot on Major Adverse Limb and Cardiovascular Events in People with Type 1 Diabetes. Journal of Clinical Medicine, 14(22), 8149. https://doi.org/10.3390/jcm14228149

