Polyps’ Extension and Recurrence in Different Endotypes of Chronic Rhinosinusitis: A Series of 449 Consecutive Patients
Abstract
1. Introduction
2. Materials and Methods
2.1. Histopathological Investigations
2.2. Laboratory Investigations
2.3. Statistical Analysis
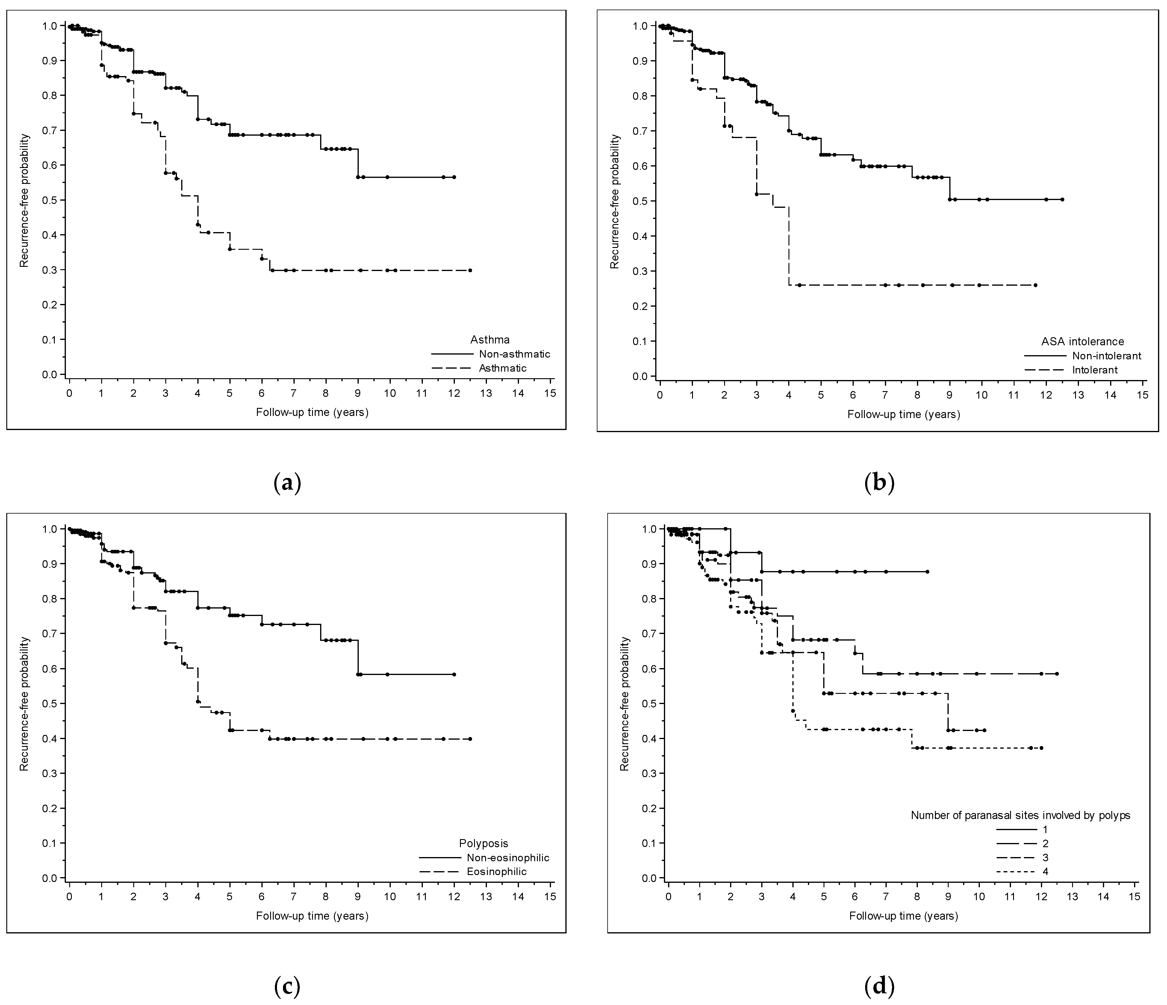
3. Results
4. Discussion
4.1. Nasal Polyps’ Extension
4.2. Nasal Polyps’ Recurrence
4.3. Strengths and Weaknesses
5. Conclusions
Author Contributions
Funding
Institutional Review Board Statement
Informed Consent Statement
Data Availability Statement
Acknowledgments
Conflicts of Interest
References
- Fokkens, W.J.; Lund, V.J.; Hopkins, C.; Hellings, P.W.; Kern, R.; Reitsma, S.; Toppila-Salmi, S.; Bernal-Sprekelsen, M.; Mullol, J.; Alobid, I.; et al. European position paper on rhinosinusitis and nasal polyps 2020. Rhinology 2020, 58, 1–464. [Google Scholar] [CrossRef]
- Berger, G.; Kattan, A.; Bernheim, J.; Ophir, D. Polypoid Mucosa with Eosinophilia and Glandular Hyperplasia in Chronic Sinusitis: A Histopathological and Immunohistochemical Study. Laryngoscope 2002, 112, 738–745. [Google Scholar] [CrossRef] [PubMed]
- La Mantia, I.; Grigaliute, E.; Ragusa, M.; Cocuzza, S.; Radulesco, T.; Saibene, A.M.; Calvo-Henriquez, C.; Fakhry, N.; Michel, J.; Maniaci, A. Effectiveness and rapidity on olfatory fuction recovery in CRS patients treated with Dupilumab: A real life prospective controlled study. Eur. Arch. Oto-Rhino-Laryngol. 2024, 281, 219–226. [Google Scholar] [CrossRef]
- Bauer, A.M.; Turner, J.H. Personalized Medicine in Chronic Rhinosinusitis: Phenotypes, endotypes, and biomarkers. Immunol. Allergy Clin. N. Am. 2020, 40, 281–293. [Google Scholar] [CrossRef] [PubMed]
- Cho, D.-Y.; Hunter, R.C.; Ramakrishnan, V.R. The Microbiome and Chronic Rhinosinusitis. Immunol. Allergy Clin. N. Am. 2020, 40, 251–263. [Google Scholar] [CrossRef]
- Meltzer, E.O.; Hamilos, D.L. Rhinosinusitis Diagnosis and Management for the Clinician: A Synopsis of Recent Consensus Guidelines. Mayo Clin. Proc. 2011, 86, 427–443. [Google Scholar] [CrossRef]
- Brescia, G.; Alessandrini, L.; Parrino, D.; Franz, L.; Barion, U.; Marioni, G. Emerging Contribution of Histopathology to Our Understanding of Chronic Rhinosinusitis Endotypes: Tissue Eosinophil Count and Aggregates. Am. J. Rhinol. Allergy 2020, 34, 122–126. [Google Scholar] [CrossRef] [PubMed]
- Brescia, G.; Alessandrini, L.; Giacomelli, L.; Parrino, D.; Zanotti, C.; Tealdo, G.; Franz, L.; Carraro, V.; Barion, U.; Marioni, G. A classification of chronic rhinosinusitis with nasal polyps based on structured histopathology. Histopathology 2020, 76, 296–307. [Google Scholar] [CrossRef] [PubMed]
- DeConde, A.S.; Smith, T.L. Classification of Chronic Rhinosinusitis—Working Toward Personalized Diagnosis. Otolaryngol. Clin. N. Am. 2017, 50, 1–12. [Google Scholar] [CrossRef]
- Dennis, S.K.; Lam, K.; Luong, A. A Review of Classification Schemes for Chronic Rhinosinusitis with Nasal Polyposis Endotypes. Laryngoscope Investig. Otolaryngol. 2016, 1, 130–134. [Google Scholar] [CrossRef]
- Tomassen, P.; Vandeplas, G.; Van Zele, T.; Cardell, L.-O.; Arebro, J.; Olze, H.; Förster-Ruhrmann, U.; Kowalski, M.L.; Olszewska-Ziąber, A.; Holtappels, G.; et al. Inflammatory endotypes of chronic rhinosinusitis based on cluster analysis of biomarkers. J. Allergy Clin. Immunol. 2016, 137, 1449–1456.e4. [Google Scholar] [CrossRef]
- Armengot, M.; Garín, L.; Carda, C. Eosinophil degranulation patterns in nasal polyposis: An ultrastructural study. Am. J. Rhinol. Allergy 2009, 23, 466–470. [Google Scholar] [CrossRef]
- Gevaert, P.; Han, J.K.; Smith, S.G.; Sousa, A.R.; Howarth, P.H.; Yancey, S.W.; Chan, R.; Bachert, C. The roles of eosinophils and interleukin-5 in the pathophysiology of chronic rhinosinusitis with nasal polyps. Int. Forum Allergy Rhinol. 2022, 12, 1413–1423. [Google Scholar] [CrossRef]
- Lee, K.; Tai, J.; Lee, S.H.; Kim, T.H. Advances in the Knowledge of the Underlying Airway Remodeling Mechanisms in Chronic Rhinosinusitis Based on the Endotypes: A Review. Int. J. Mol. Sci. 2021, 22, 910. [Google Scholar] [CrossRef] [PubMed]
- Zhang, F.; Xu, Z.; He, X.; Sun, Y.; Zhao, C.; Zhang, J. Increased B Cell-Activating Factor Expression Is Associated with Postoperative Recurrence of Chronic Rhinosinusitis with Nasal Polyps. Mediat. Inflamm. 2022, 2022, 7338692. [Google Scholar] [CrossRef] [PubMed]
- Massoth, L.; Anderson, C.; McKinney, K.A. Asthma and Chronic Rhinosinusitis: Diagnosis and Medical Management. Med. Sci. 2019, 7, 53. [Google Scholar] [CrossRef] [PubMed]
- Laidlaw, T.M.; Mullol, J.; Woessner, K.M.; Amin, N.; Mannent, L.P. Chronic Rhinosinusitis with Nasal Polyps and Asthma. J. Allergy Clin. Immunol. Pract. 2020, 9, 1133–1141. [Google Scholar] [CrossRef] [PubMed]
- Brescia, G.; Fabbris, C.; Calvanese, L.; Bandolin, L.; Pedruzzi, B.; Fiasca, V.M.D.P.; Marciani, S.; Mularoni, F.; Pallotti, F.D.E.; Negrisolo, M.; et al. Blood Basophils Relevance in Chronic Rhinosinusitis with Aspirin-Exacerbated Respiratory Disease. Diagnostics 2023, 13, 1920. [Google Scholar] [CrossRef] [PubMed]
- Fadda, G.L.; Galizia, A.; Galizia, G.; Castelnuovo, P.; Bignami, M.; Cavallo, G. Multiparametric Analysis of Factors Associated with Eosinophilic Chronic Rhinosinusitis with Nasal Polyps. Ear Nose Throat J. 2022, 101, NP256–NP262. [Google Scholar] [CrossRef] [PubMed]
- Ardehali, M.M.; Amali, A.; Bakhshaee, M.; Madani, Z.; Amiri, M. The comparison of histopathological characteristics of polyps in asthmatic and nonasthmatic patients. Otolaryngol. Head Neck Surg. 2009, 140, 748–751. [Google Scholar] [CrossRef]
- Mormile, M.; Mormile, I.; Fuschillo, S.; Rossi, F.W.; Lamagna, L.; Ambrosino, P.; de Paulis, A.; Maniscalco, M. Eosinophilic Airway Diseases: From Pathophysiological Mechanisms to Clinical Practice. Int. J. Mol. Sci. 2023, 24, 7254. [Google Scholar] [CrossRef]
- Brescia, G.; Contro, G.; Giacomelli, L.; Barion, U.; Frigo, A.C.; Marioni, G. Blood Eosinophilic and Basophilic Trends in Recurring and Non-Recurring Eosinophilic Rhinosinusitis with Nasal Polyps. Am. J. Rhinol. Allergy 2021, 35, 296–301. [Google Scholar] [CrossRef]
- Brescia, G.; Barion, U.; Zanotti, C.; Giacomelli, L.; Martini, A.; Marioni, G. The prognostic role of serum eosinophil and basophil levels in sinonasal polyposis. Int. Forum Allergy Rhinol. 2017, 7, 261–267. [Google Scholar] [CrossRef]
- Zuo, K.; Guo, J.; Chen, F.; Xu, R.; Xu, G.; Shi, J.; Li, H. Clinical characteristics and surrogate markers of eosinophilic chronic rhinosinusitis in Southern China. Eur. Arch. Oto-Rhino-Laryngol. 2014, 271, 2461–2468. [Google Scholar] [CrossRef] [PubMed]
- Daramola, O.O.; Chandra, R.K. Chronic rhinosinusitis and endoscopic sinus surgery. World J. Otorhinolaryngol. Head Neck Surg. 2018, 4, 29–32. [Google Scholar] [CrossRef] [PubMed]
- Andrews, A.E.; Bryson, J.M.; Rowe-Jones, J.M. Site of origin of nasal polyps: Relevance to pathogenesis and management. Rhinology 2005, 43, 180–184. [Google Scholar]
- Horak, F.; Doberer, D.; Eber, E.; Horak, E.; Pohl, W.; Riedler, J.; Szépfalusi, Z.; Wantke, F.; Zacharasiewicz, A.; Studnicka, M. Diagnosis and management of asthma—Statement on the 2015 GINA Guidelines. Wien. Klin. Wochenschr. 2016, 128, 541–554. [Google Scholar] [CrossRef] [PubMed]
- Gevaert, P.; Gevaert, P.; De Craemer, J.; De Craemer, J.; Bachert, C.; Bachert, C.; Blauwblomme, M.; Blauwblomme, M.; Chaker, A.; Chaker, A.; et al. European Academy of Allergy and Clinical Immunology position paper on endoscopic scoring of nasal polyposis. Allergy 2023, 78, 912–922. [Google Scholar] [CrossRef]
- Brescia, G.; Contro, G.; Ruaro, A.; Frigo, A.C.; Barion, U.; Marioni, G. Preoperative Sinonasal Computed Tomography Score in Chronic Rhinosinusitis with Nasal Polyps. Tomography 2022, 8, 77–88. [Google Scholar] [CrossRef]
- Sudiro, M.; Kuntara, A.; Waldi, D. Correlation of Lund-Mackay Score on Computed Tomography Scan and Nasoendoscopic Score in Chronic Rhinosinusitis. Acta Inform. Med. 2023, 31, 53–56. [Google Scholar] [CrossRef]
- Canevari, F.R.; Giorli, A.; Monti, G.; Biagini, C.; Bagnasco, D.; Cavaliere, C.; Pipolo, C.; De Corso, E.; Gelardi, M.; Gramellini, G.; et al. Diagnostic therapeutic assistance pathway (PDTA) of type 2 chronic rhinosinusitis. Front. Allergy 2023, 4, 1237131. [Google Scholar] [CrossRef]
- Hopkins, C.; Browne, J.P.; Slack, R.; Lund, V.; Brown, P. The Lund-Mackay staging system for chronic rhinosinusitis: How is it used and what does it predict? Otolaryngol. Head Neck Surg. 2007, 137, 555–561. [Google Scholar] [CrossRef]
- Pearlman, A.N.; Chandra, R.K.; Chang, D.; Conley, D.B.; Tripathi-Peters, A.; Grammer, L.C.; Schleimer, R.T.; Kern, R.C. Relationships between Severity of Chronic Rhinosinusitis and Nasal Polyposis, Asthma, and Atopy. Am. J. Rhinol. Allergy 2009, 23, 145–148. [Google Scholar] [CrossRef]
- Robinson, J.L.; Griest, S.; James, K.E.; Smith, T.L. Impact of Aspirin Intolerance on Outcomes of Sinus Surgery. Laryngoscope 2007, 117, 825–830. [Google Scholar] [CrossRef]
- Stevens, W.W.; Schleimer, R.P. Aspirin-Exacerbated Respiratory Disease as an Endotype of Chronic Rhinosinusitis. Immunol. Allergy Clin. N. Am. 2016, 36, 669–680. [Google Scholar] [CrossRef]
- Ryser, F.S.; Yalamanoglu, A.; Valaperti, A.; Brühlmann, C.; Mauthe, T.; Traidl, S.; Soyka, M.B.; Steiner, U.C. Dupilumab-induced eosinophilia in patients with diffuse type 2 chronic rhinosinusitis. Allergy 2023, 78, 2712–2723. [Google Scholar] [CrossRef]
- Szczeklik, A.; Niżankowska, E.; Duplaga, M.; on behalf of the Aiane Investigators. Natural history of aspirin-induced asthma. European network on aspirin-induced asthma. Eur. Respir. J. 2000, 16, 432–436. [Google Scholar] [CrossRef] [PubMed]
- Guo, C.-L.; Lu, R.-Y.; Wang, C.-S.; Zhao, J.-F.; Pan, L.; Liu, H.-C.; Liao, B.; Liu, Z. Identification of Inflammatory Endotypes by Clinical Characteristics and Nasal Secretion Biomarkers in Chronic Rhinosinusitis with Nasal Polyps. Int. Arch. Allergy Immunol. 2023, 184, 955–965. [Google Scholar] [CrossRef] [PubMed]
- Tajudeen, B.A.; Ganti, A.; Kuhar, H.N.; Mahdavinia, M.; Heilingoetter, A.; Gattuso, P.; Ghai, R.; Batra, P.S. The presence of eosinophil aggregates correlates with increased postoperative prednisone requirement. Laryngoscope 2019, 129, 794–799. [Google Scholar] [CrossRef] [PubMed]
- Gokani, S.A.; Espehana, A.; Pratas, A.C.; Luke, L.; Sharma, E.; Mattock, J.; Gavrilovic, J.; Clark, A.; Wileman, T.; Philpott, C.M. Systematic Review of Protein Biomarkers in Adult Patients with Chronic Rhinosinusitis. Am. J. Rhinol. Allergy 2023, 37, 705–729. [Google Scholar] [CrossRef] [PubMed]
- White, A.A.; Woessner, K.; Simon, R. Aspirin-exacerbated respiratory disease: Update on medical management. World J. Otorhinolaryngol. Head Neck Surg. 2020, 6, 241–247. [Google Scholar] [CrossRef] [PubMed]
- Snidvongs, K.; Lam, M.; Sacks, R.; Earls, P.; Kalish, L.; Phillips, P.S.; Pratt, E.; Harvey, R.J. Structured histopathology profiling of chronic rhinosinusitis in routine practice. Int. Forum Allergy Rhinol. 2012, 2, 376–385. [Google Scholar] [CrossRef] [PubMed]
- Brescia, G.; Alessandrini, L.; Zanotti, C.; Parrino, D.; Tealdo, G.; Torsello, M.; Zybine, V.; Giacomelli, L.; Barion, U.; Marioni, G. Histopathological and hematological changes in recurrent nasal polyposis. Int. Forum Allergy Rhinol. 2019, 9, 813–820. [Google Scholar] [CrossRef] [PubMed]
- Turner, J.H.; Li, P.; Chandra, R.K. Mucus T helper 2 biomarkers predict chronic rhinosinusitis disease severity and prior surgical intervention. Int. Forum Allergy Rhinol. 2018, 8, 1175–1183. [Google Scholar] [CrossRef] [PubMed]
- Siracusa, M.C.; Kim, B.S.; Spergel, J.M.; Artis, D. Basophils and allergic inflammation. J. Allergy Clin. Immunol. 2013, 132, 789–801. [Google Scholar] [CrossRef] [PubMed]
- Du, K.; Zheng, M.; Zhao, Y.; Jiao, C.; Xu, W.; Hao, Y.; Wang, Y.; Zhao, J.; Wang, X.; Zhang, L. A Nomogram Combing Peripheral Parameters for Estimation of CRSwNP Recurrence. Am. J. Rhinol. Allergy 2021, 35, 578–586. [Google Scholar] [CrossRef]
- Brescia, G.; Sfriso, P.; Marioni, G. Role of blood inflammatory cells in chronic rhinosinusitis with nasal polyps. Acta Oto-Laryngol. 2019, 139, 48–51. [Google Scholar] [CrossRef]
- La Mantia, I.; Ragusa, M.; Grigaliute, E.; Cocuzza, S.; Radulesco, T.; Calvo-Henriquez, C.; Saibene, A.M.; Riela, P.M.; Lechien, J.R.; Fakhry, N.; et al. Sensibility, specificity, and accuracy of the Sinonasal Outcome Test 8 (SNOT-8) in patients with chronic rhinosinusitis (CRS): A cross-sectional cohort study. Eur. Arch. Oto-Rhino-Laryngol. 2023, 280, 3259–3264. [Google Scholar] [CrossRef]
- Tokunaga, T.; Sakashita, M.; Haruna, T.; Asaka, D.; Takeno, S.; Ikeda, H.; Nakayama, T.; Seki, N.; Ito, S.; Murata, J.; et al. Novel scoring system and algorithm for classifying chronic rhinosinusitis: The JESREC Study. Allergy 2015, 70, 995–1003. [Google Scholar] [CrossRef]

| (a) | |||||||
|---|---|---|---|---|---|---|---|
| Group | Total (N = 449) | p Value | |||||
| 1 (N = 61) | 2 (N = 148) | 3 (N = 123) | 4 (N = 117) | ||||
| Age | |||||||
| Mean (SD) | 47.9 (16.3) | 50.3 (14.2) | 50.7 (13.8) | 51.4 (14.6) | 50.4 (14.5) | 0.4905 | |
| Median (range) | 49.0 (16.0–84.0) | 49.5 (18.0–83.0) | 52.0 (14.0–79.0) | 52.0 (17.0–84.0) | 51.0 (14.0–84.0) | ||
| Sex | |||||||
| Female | 24 (39.3) | 52 (35.1) | 43 (35.0) | 40 (34.2) | 159 (35.4) | 0.9178 | |
| Male | 37 (60.7) | 96 (64.9) | 80 (65.0) | 77 (65.8) | 290 (64.6) | ||
| Allergy | |||||||
| Not present | 42 (68.9) | 88 (59.5) | 84 (68.3) | 72 (61.5) | 286 (63.7) | 0.3604 | |
| Present | 19 (31.1) | 60 (40.5) | 39 (31.7) | 45 (38.5) | 163 (36.3) | ||
| Asthma | |||||||
| Not present | 48 (78.7) | 120 (81.1) | 88 (71.5) | 68 (58.1) | 324 (72.2) | 0.0003 | |
| Present | 13 (21.3) | 28 (18.9) | 35 (28.5) | 49 (41.9) | 125 (27.8) | ||
| ASA intolerance | |||||||
| Not present | 58 (95.1) | 137 (92.6) | 111 (90.2) | 94 (80.3) | 400 (89.1) | 0.0037 | |
| Present | 3 (4.9) | 11 (7.4) | 12 (9.8) | 23 (19.7) | 49 (10.9) | ||
| Blood eosinophilic cell count [cell 109/L] | |||||||
| Mean (SD) | 0.21 (0.15) | 0.28 (0.20) | 0.34 (0.26) | 0.50 (0.76) | 0.34 (0.44) | <0.0001 | |
| Median (range) | 0.18 (0.01–0.61) | 0.22 (0.00–1.10) | 0.28 (0.00–1.71) | 0.35 (0.01–7.00) | 0.26 (0.00–7.00) | ||
| Blood eosinophilic cell percentage | |||||||
| Mean (SD) | 3.17 (2.35) | 4.20 (3.26) | 4.96 (3.59) | 6.36 (5.76) | 4.83 (4.18) | <0.0001 | |
| Median (range) | 2.50 (0.10–10.40) | 3.30 (0.00–23.80) | 4.30 (0.00–22.40) | 5.10 (0.10–49.00) | 3.90 (0.00–49.00) | ||
| Blood basophilic cell count [cell 109/L] | |||||||
| Mean (SD) | 0.030 (0.019) | 0.031 (0.017) | 0.036 (0.020) | 0.039 (0.040) | 0.034 (0.026) | 0.0634 | |
| Median (range) | 0.030 (0.000–0.120) | 0.030 (0.010–0.130) | 0.030 (0.010–0.100) | 0.030 (0.010–0.410) | 0.030 (0.000–0.410) | ||
| Blood basophilic cell percentage | |||||||
| Mean (SD) | 0.48 (0.30) | 0.46 (0.25) | 0.53 (0.30) | 0.56 (0.42) | 0.51 (0.32) | 0.0721 | |
| Median (range) | 0.40 (0.00–1.60) | 0.40 (0.10–1.50) | 0.50 (0.10–1.50) | 0.50 (0.10–3.50) | 0.50 (0.00–3.50) | ||
| Polyps’ histology | |||||||
| Non-eosinophilic | 50 (82.0) | 90 (60.8) | 61 (49.6) | 41 (35.0) | 242 (53.9) | <0.0001 | |
| Eosinophilic | 11 (18.0) | 58 (39.2) | 62 (50.4) | 76 (65.0) | 207 (46.1) | ||
| (b) | |||||||
| Difference (95% CI) | |||||||
| 2 vs. 1 | 3 vs. 1 | 4 vs. 1 | 3 vs. 2 | 4 vs. 2 | 4 vs. 3 | ||
| Age (years) (mean) | 2.4 (−2.0; 6.7) | 2.7 (−1.7; 7.2) | 3.5 (−1.0; 8.0) | 0.4 (−3.1; 3.8) | 1.1 (−2.4; 4.7) | 0.8 (−2.9; 4.5) | |
| Female sex (%) | 4.2 (−10.3; 18.7) | 4.4 (−10.5; 19.3) | 5.2 (−9.8; 20.1) | 0.2 (−11.2; 11.6) | 1.0 (−10.6; 12.5) | 0.8 (−11.3; 12.8) | |
| Allergy (%) | 9.4 (−4.7; 23.5) | 0.6 (−13.7; 14.8) | 7.3 (−7.3; 21.9) | −8.8 (−20.2; 2.6) | −2.1 (−13.9; 9.8) | 6.8 (−5.3; 18.8) | |
| Asthma (%) | −2.4 (−14.5; 9.7) | 7.1 (−5.9; 20.2) | 20.6 (7.0; 34.2) | 9.5 (−0.6; 19.7) | 23.0 (12.0; 33.9) | 13.4 (1.5; 25.4) | |
| ASA intolerance (%) | 2.5 (−4.4; 9.4) | 4.8 (−2.7; 12.4) | 14.7 (5.7; 23.8) | 2.3 (−4.4; 9.1) | 12.2 (3.9; 20.6) | 9.9 (1.0; 18.8) | |
| Eosinophilic cell count [cell 109/L] (median) | 0.05 (0.01; 0.10) | 0.10 (0.05; 0.16) | 0.16 (0.10; 0.22) | 0.05 (0.01; 0.09) | 0.10 (0.06; 0.15) | 0.06 (0; 0.11) | |
| Eosinophilic cell percentage (median) | 0.80 (0.10; 1.40) | 1.50 (0.60; 2.30) | 2.30 (1.50; 3.20) | 0.70 (0; 1.30) | 1.50 (0.80; 2.20) | 0.80 (0.10; 1.60) | |
| Basophilic cell count [cell 109/L] (median) | 0 (0; 0.01) | 0 (0; 0.01) | 0 (0; 0.01) | 0 (0; 0.01) | 0 (0; 0.01) | 0 (0; 0) | |
| Basophilic cell percentage (median) | 0 (−0.10; 0.10) | 0.10 (0; 0.10) | 0.10 (0; 0.10) | 0.10 (0; 0.10) | 0.10 (0; 0.10) | 0 (−0.10; 0.10) | |
| Eosinophilic polyp histology (%) | 21.2 (33.6; 8.7) | 32.4 (19.3; 45.5) | 46.9 (34.0; 59.9) | 11.2 (−0.6; 23.1) | 25.8 (14.1; 37.5) | 14.6 (2.2; 26.9) | |
| Recurrence | Univariate Cox Regression | Multivariate Cox Regression | |||||
|---|---|---|---|---|---|---|---|
| No (N = 336) | Yes (N = 106) | p Value | HR (95 CI) | p Value | HR (95 CI) | ||
| Age | |||||||
| Mean (SD) | 50.71 (14.85) | 49.08 (13.24) | 0.1803 | 0.991 (0.978–1.004) | |||
| Median (range) | 52.00 (14.00–84.00) | 47.00 (24.00–83.00) | |||||
| Sex | |||||||
| Female | 121 (36.0) | 36 (34.0) | 0.5691 | 1 | |||
| Male | 215 (64.0) | 70 (66.0) | 1.124 (0.752–1.680) | ||||
| Allergy | |||||||
| Not present | 222 (66.1) | 61 (57.5) | 0.0810 | 1 | |||
| Present | 114 (33.9) | 45 (42.5) | 1.409 (0.959–2.072) | ||||
| Asthma | |||||||
| Not present | 264 (78.6) | 55 (51.9) | <0.0001 | 1 | 0.0001 | 2.180 (1.468–0.238) | |
| Present | 72 (21.4) | 51 (48.1) | 2.552 (1.743–3.738) | ||||
| ASA intolerance | |||||||
| Not present | 312 (92.9) | 81 (76.4) | <0.0001 | 1 | |||
| Present | 24 (7.1) | 25 (23.6) | 2.460 (1.569–3.856) | ||||
| Groups | |||||||
| 1 | 56 (16.7) | 5 (4.7) | 0.0073 | 1 | |||
| 2 | 114 (33.9) | 31 (29.2) | 2.395 (0.931–6.161) | ||||
| 3 | 89 (26.5) | 31 (29.2) | 3.071 (1.192–7.908) | ||||
| 4 | 77 (22.9) | 39 (36.8) | 4.215 (1.658–0.713) | ||||
| Blood eosinophilic cell count [cell 109/L] | |||||||
| N (N missing) | 335 (1) | 106 (0) | 0.1136 | 1.258 (0.947–1.671) | |||
| Mean (SD) | 0.33 (0.47) | 0.40 (0.34) | |||||
| Median (range) | 0.23 (0.00–7.00) | 0.32 (0.00–2.72) | |||||
| Blood eosinophilic cell percentage | |||||||
| N (N missing) | 335 (1) | 106 (0) | 0.0002 | 1.054 (1.025–1.083) | |||
| Mean (SD) | 4.42 (3.32) | 6.23 (6.02) | |||||
| Median (range) | 3.70 (0.00–22.40) | 5.15 (0.00–49.00) | |||||
| Blood basophilic cell count [cell 109/L] | |||||||
| N (N missing) | 335 (1) | 106 (0) | 0.0007 | 1.108 (1.044–1.176) | |||
| Mean (SD) | 0.033 (0.027) | 0.038 (0.023) | |||||
| Median (range) | 0.030 (0.000–0.410) | 0.030 (0.010–0.130) | |||||
| Blood basophilic cell percentage | |||||||
| N (N missing) | 335 (1) | 106 (0) | 0.0020 | 2.323 (1.361–3.962) | 0.0118 | 2.003 (1.167–0.439) | |
| Mean (SD) | 0.49 (0.31) | 0.58 (0.36) | |||||
| Median (range) | 0.40 (0.00–3.50) | 0.50 (0.10–1.90) | |||||
| Polyps’ histology | |||||||
| Non-eosinophilic | 201 (59.8) | 37 (34.9) | 0.0001 | 1 | 0.0104 | 1.729 (1.138–0.627) | |
| Eosinophilic | 135 (40.2) | 69 (65.1) | 2.207 (1.480–3.292) | ||||
Disclaimer/Publisher’s Note: The statements, opinions and data contained in all publications are solely those of the individual author(s) and contributor(s) and not of MDPI and/or the editor(s). MDPI and/or the editor(s) disclaim responsibility for any injury to people or property resulting from any ideas, methods, instructions or products referred to in the content. |
© 2024 by the authors. Licensee MDPI, Basel, Switzerland. This article is an open access article distributed under the terms and conditions of the Creative Commons Attribution (CC BY) license (https://creativecommons.org/licenses/by/4.0/).
Share and Cite
Calvanese, L.; Fabbris, C.; Brescia, G.; Di Pasquale Fiasca, V.M.; Deretti, A.; Finozzi, F.; Franz, L.; Frigo, A.C.; Marioni, G. Polyps’ Extension and Recurrence in Different Endotypes of Chronic Rhinosinusitis: A Series of 449 Consecutive Patients. J. Clin. Med. 2024, 13, 1125. https://doi.org/10.3390/jcm13041125
Calvanese L, Fabbris C, Brescia G, Di Pasquale Fiasca VM, Deretti A, Finozzi F, Franz L, Frigo AC, Marioni G. Polyps’ Extension and Recurrence in Different Endotypes of Chronic Rhinosinusitis: A Series of 449 Consecutive Patients. Journal of Clinical Medicine. 2024; 13(4):1125. https://doi.org/10.3390/jcm13041125
Chicago/Turabian StyleCalvanese, Leonardo, Cristoforo Fabbris, Giuseppe Brescia, Valerio Maria Di Pasquale Fiasca, Alessandra Deretti, Francesco Finozzi, Leonardo Franz, Anna Chiara Frigo, and Gino Marioni. 2024. "Polyps’ Extension and Recurrence in Different Endotypes of Chronic Rhinosinusitis: A Series of 449 Consecutive Patients" Journal of Clinical Medicine 13, no. 4: 1125. https://doi.org/10.3390/jcm13041125
APA StyleCalvanese, L., Fabbris, C., Brescia, G., Di Pasquale Fiasca, V. M., Deretti, A., Finozzi, F., Franz, L., Frigo, A. C., & Marioni, G. (2024). Polyps’ Extension and Recurrence in Different Endotypes of Chronic Rhinosinusitis: A Series of 449 Consecutive Patients. Journal of Clinical Medicine, 13(4), 1125. https://doi.org/10.3390/jcm13041125

