Risk Factors for the Development of Olecranon Bursitis—A Large-Scale Population-Based Study
Abstract
1. Introduction
2. Methods
Statistical Methods
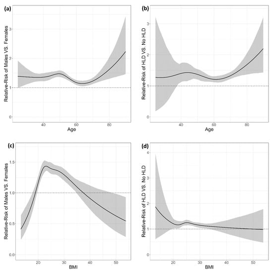
3. Results
4. Discussion
5. Conclusions
Supplementary Materials
Author Contributions
Funding
Institutional Review Board Statement
Informed Consent Statement
Data Availability Statement
Conflicts of Interest
References
- Kim, J.Y.; Chung, S.W.; Kim, J.H.; Jung, J.H.; Sung, G.Y.; Oh, K.S.; Lee, J.S. A Randomized Trial Among Compression Plus Nonsteroidal Antiinflammatory Drugs, Aspiration, and Aspiration with Steroid Injection for Nonseptic Olecranon Bursitis. Clin. Orthop. Relat. Res.® 2016, 474, 776–783. [Google Scholar] [CrossRef] [PubMed][Green Version]
- Reilly, D.; Kamineni, S. Olecranon bursitis. J. Shoulder Elb. Surg. 2016, 25, 158–167. [Google Scholar] [CrossRef] [PubMed]
- Schermann, H.; Karakis, I.; Dolkart, O.; Maman, E.; Kadar, A.; Chechik, O. Olecranon Bursitis in a Military Population: Epidemiology and Evidence for Prolonged Morbidity in Combat Recruits. Mil. Med. 2017, 182, e1976–e1980. [Google Scholar] [CrossRef] [PubMed][Green Version]
- Del Buono, A.; Franceschi, F.; Palumbo, A.; Denaro, V.; Maffulli, N. Diagnosis and management of olecranon bursitis. Surgery 2012, 10, 297–300. [Google Scholar] [CrossRef]
- Blackwell, J.R.; Hay, B.A.; Bolt, A.M.; Hay, S.M. Olecranon bursitis: A systematic overview. Shoulder Elb. 2014, 6, 182–190. [Google Scholar] [CrossRef]
- Charret, L.; Bart, G.; Hoppe, E.; Dernis, E.; Cormier, G.; Boutoille, D.; Le Goff, B.; Darrieutort-Laffite, C. Clinical characteristics and management of olecranon and prepatellar septic bursitis in a multicentre study. J. Antimicrob. Chemother. 2021, 76, 3029–3032. [Google Scholar] [CrossRef]
- Baumbach, S.F.; Lobo, C.M.; Badyine, I.; Mutschler, W.; Kanz, K.G. Prepatellar and olecranon bursitis: Literature review and development of a treatment algorithm. Arch. Orthop. Trauma Surg. 2014, 134, 359–370. [Google Scholar] [CrossRef]
- Laupland, K.B.; Davies, H.; The Calgary Home Parenteral Therapy Program Study Group. Olecranon septic bursitis managed in an ambulatory setting. Clin. Investig. Med. 2001, 24, 171–177. [Google Scholar]
- Nchinda, N.N.; Wolf, J.M. Clinical Management of Olecranon Bursitis: A Review. J. Hand Surg. 2021, 46, 501–506. [Google Scholar] [CrossRef]
- Deal, J.B., Jr.; Vaslow, A.S.; Bickley, R.J.; Verwiebe, E.G.; Ryan, P.M. Empirical Treatment of Uncomplicated Septic Olecranon Bursitis Without Aspiration. J. Hand Surg. 2020, 45, 20–25. [Google Scholar] [CrossRef]
- Baumbach, S.F.; Wyen, H.; Perez, C.; Kanz, K.G.; Uçkay, I. Evaluation of current treatment regimens for prepatellar and olecranon bursitis in Switzerland. Eur. J. Trauma Emerg. Surg. 2013, 39, 65–72. [Google Scholar] [CrossRef] [PubMed][Green Version]
- Wang, J.Y.; Liaw, C.K.; Huang, C.C.; Liou, T.H.; Lin, H.W.; Huang, S.W. Hyperlipidemia Is a Risk Factor of Adhesive Capsulitis: Real-World Evidence Using the Taiwanese National Health Insurance Research Database. Orthop. J. Sports Med. 2021, 9, 1–7. [Google Scholar] [CrossRef] [PubMed]
- Lo, S.F.; Chu, S.W.; Muo, C.H.; Meng, N.H.; Chou, L.W.; Huang, W.C.; Huang, C.M.; Sung, F.C. Diabetes mellitus and accompanying hyperlipidemia are independent risk factors for adhesive capsulitis: A nationwide population-based cohort study (version 2). Rheumatol. Int. 2014, 34, 67–74. [Google Scholar] [CrossRef] [PubMed]
- Yang, Y.; Qu, J. The effects of hyperlipidemia on rotator cuff diseases: A systematic review. J. Orthop. Surg. 2018, 13, 204. [Google Scholar] [CrossRef]
- Yazdani, A.N.; Rai, V.; Agrawal, D.K. Rotator Cuff Health, Pathology, and Repair in the Perspective of Hyperlipidemia. J. Orthop. Sports Med. 2022, 4, 263. [Google Scholar] [CrossRef]
- Lai, C.; Li, R.; Tang, W.; Liu, J.; Duan, X.D.; Bao, D.; Liu, H.; Fu, S. Metabolic Syndrome and Tendon Disease: A Comprehensive Review. Diabetes Metab. Syndr. Obes. 2024, 17, 1597–1609. [Google Scholar] [CrossRef]
- Qian, Y.; Huang, H.; Wan, R.; Zhou, Y.; Feng, X.; Xu, F.; Luo, Z.; Wang, Q. Progress in studying the impact of hyperlipidemia and statins on rotator cuff injury and repair. Front. Public Health 2023, 11, 1279118. [Google Scholar] [CrossRef]
- Shmueli, A.; Bendelac, J.; Achdut, L. Who switches sickness funds in Israel? Health Econ. Policy Law 2007, 2, 251–265. [Google Scholar] [CrossRef]
- Rosenbaum, P.R.; Rubin, D.B. The central role of the propensity score in observational studies for causal effects. Biometrika 1983, 70, 41–55. [Google Scholar] [CrossRef]
- Austin, P.C.; Stuart, E.A. Moving towards best practice when using inverse probability of treatment weighting (IPTW) using the propensity score to estimate causal treatment effects in observational studies. Stat. Med. 2015, 34, 3661–3679. [Google Scholar] [CrossRef]
- Xu, S.; Ross, C.; Raebel, M.A.; Shetterly, S.; Blanchette, C.; Smith, D. Use of Stabilized Inverse Propensity Scores as Weights to Directly Estimate Relative Risk and Its Confidence Intervals. Value Health 2010, 13, 273–277. [Google Scholar] [CrossRef] [PubMed]
- Benjamini, Y.; Hochberg, Y. Controlling the False Discovery Rate: A Practical and Powerful Approach to Multiple Testing. J. R. Stat. Soc. Ser. B Methodol. 1995, 57, 289–300. [Google Scholar] [CrossRef]
- Dong, J.; Zhang, J.L.; Zeng, S.; Li, F. Subgroup balancing propensity score. Stat. Methods Med. Res. 2020, 29, 659–676. [Google Scholar] [CrossRef] [PubMed]
- Efron, B.; Tibshirani, R. An Introduction to the Bootstrap; Chapman & Hall: New York, NY, USA, 1993. [Google Scholar]
- Greifer, N. cobalt: Covariate Balance Tables and Plots, R package, version 4.5.0; R Foundation and Statistical Computing: Vienna, Austria, 2023. [Google Scholar]
- Fang, W.H.; Bonavida, V.; Agrawal, D.K.; Thankam, F.G. Hyperlipidemia in tendon injury: Chronicles of low-density lipoproteins. Cell Tissue Res. 2023, 392, 431–442. [Google Scholar] [CrossRef]
- Lin, T.T.-L.; Lin, C.-H.; Chang, C.-L.; Chi, C.-H.; Chang, S.-T.; Sheu, W.H.-H. The Effect of Diabetes, Hyperlipidemia, and Statins on the Development of Rotator Cuff Disease: A Nationwide, 11-Year, Longitudinal, Population-Based Follow-Up Study. Am. J. Sports Med. 2015, 43, 2126–2132. [Google Scholar] [CrossRef]
- Bunker, T.D.; Anthony, P.P. The pathology of frozen shoulder. A Dupuytren-like disease. J. Bone Jt. Surg. Br. 1995, 77, 677–683. [Google Scholar] [CrossRef]
- Kwak, D.; Moon, S.J.; Park, J.W.; Lee, D.H.; Lee, J.I. Effects of Statin Treatment on the Development of Tendinopathy: A Nationwide Population-Based Cohort Study. Orthop. J. Sports Med. 2023, 11, 1–10. [Google Scholar] [CrossRef]
- Gillard, K.K.; Bloedon, L.; Grady-Benson, J.C.; Edwards, A.; Fahy, S.; Sasiela, W.J.; Louie, M.J.; Thompson, P.D. Prevalence of Tendon Rupture and Tendinopathies Among Patients with Atherosclerotic Cardiovascular Disease Derived from United States Administrative Claims Data. Cardiol. Ther. 2024, 13, 575–591. [Google Scholar] [CrossRef]
- Mansi, I.; Frei, C.R.; Pugh, M.J.; Makris, U.; Mortensen, E.M. Statins and Musculoskeletal Conditions, Arthropathies, and Injuries. JAMA Intern. Med. 2013, 173, 1318. [Google Scholar] [CrossRef]
- Eliasson, P.; Dietrich-Zagonel, F.; Lundin, A.C.; Aspenberg, P.; Wolk, A.; Michaëlsson, K. Statin treatment increases the clinical risk of tendinopathy through matrix metalloproteinase release—A cohort study design combined with an experimental study. Sci. Rep. 2019, 9, 17958. [Google Scholar] [CrossRef]
- García-Porrúa, C.; González-Gay, M.A.; Ibañez, D.; García-País, M.J. The clinical spectrum of severe septic bursitis in northwestern Spain: A 10 year study. J. Rheumatol. 1999, 26, 663–667. [Google Scholar] [PubMed]
- AlOayan, L.I.; Zawawi, A.H. Musculoskeletal manifestations among diabetic patients in Saudi Arabia. J. Fam. Med. Prim. Care 2020, 9, 5597–5600. [Google Scholar] [CrossRef] [PubMed]
- Smith, L.; Burnet, S.; McNeil, J. Musculoskeletal manifestations of diabetes mellitus. Br. J. Sports Med. 2003, 37, 30. [Google Scholar] [CrossRef] [PubMed]
- Basta, G.; Lazzerini, G.; Massaro, M.; Simoncini, T.; Tanganelli, P.; Fu, C.; Kislinger, T.; Stern, D.M.; Schmidt, A.M.; De Caterina, R. Advanced glycation end products activate endothelium through signal-transduction receptor RAGE: A mechanism for amplification of inflammatory responses. Circulation 2002, 105, 816–822. [Google Scholar] [CrossRef]
- Khodaee, M. Common Superficial Bursitis. Am. Fam. Physician 2017, 95, 224–231. [Google Scholar]
- Sayegh, E.T.; Strauch, R.J. Treatment of olecranon bursitis: A systematic review. Arch. Orthop. Trauma Surg. 2014, 134, 1517–1536. [Google Scholar] [CrossRef]
- Curti, S.; Mattioli, S.; Bonfiglioli, R.; Farioli, A.; Violante, F.S. Elbow tendinopathy and occupational biomechanical overload: A systematic review with best-evidence synthesis. J. Occup. Health 2021, 63, e12186. [Google Scholar] [CrossRef]




| Variable | Without Olecranon Bursitis (n = 44,608) | With Olecranon Bursitis (n = 10,301) | All Patients (n = 54,909) |
|---|---|---|---|
| Age group | |||
| 18–44 | 14,301 (32.1%) | 3064 (29.7%) | 17,365 (31.6%) |
| 45–54 | 13,323 (29.9%) | 3256 (31.6%) | 16,579 (30.2%) |
| 55–64 | 8554 (19.2%) | 2295 (22.3%) | 10,849 (19.8%) |
| 65–74 | 5671 (12.7%) | 1286 (12.5%) | 6957 (12.7%) |
| 75–90 | 2759 (6.2%) | 400 (3.9%) | 3159 (5.8%) |
| BMI group | |||
| 10–18.4 | 1911 (4.3%) | 229 (2.2%) | 2140 (3.9%) |
| 18.5–24 | 22,810 (51.1%) | 4830 (46.9%) | 27,640 (50.3%) |
| 25–29 | 13,583 (30.4%) | 3607 (35.0%) | 17,190 (31.3%) |
| 30–34 | 4496 (10.1%) | 1185 (11.5%) | 5681 (10.3%) |
| 35–55 | 1808 (4.1%) | 450 (4.4%) | 2258 (4.1%) |
| Gender | |||
| Female | 25,034 (56.1%) | 4794 (46.5%) | 29,828 (54.3%) |
| Male | 19,574 (43.9%) | 5507 (53.5%) | 25,081 (45.7%) |
| Smoking | |||
| No | 31270 (70.1%) | 6933 (67.3%) | 38,203 (69.6%) |
| Yes | 13,338 (29.9%) | 3368 (32.7%) | 16,706 (30.4%) |
| Hyperlipidemia | |||
| No | 39,032 (87.5%) | 8643 (83.9%) | 47,675 (86.8%) |
| Yes | 5576 (12.5%) | 1658 (16.1%) | 7234 (13.2%) |
| Diabetes Mellitus | |||
| No | 43,256 (96.9%) | 9951 (96.6%) | 53,2071 (96.9%) |
| Yes | 1352 (3.1%) | 350 (3.4%) | 1702 (3.1%) |
| CVA | |||
| No | 44,191 (99.1%) | 10,204 (99.1%) | 54,395 (99.1%) |
| Yes | 417 (0.9%) | 97 (0.9%) | 514 (0.9%) |
| CVD | |||
| No | 43,662 (97.9%) | 10,071 (97.8%) | 53,734 (97.9%) |
| Yes | 946 (2.1%) | 230 (2.2%) | 1175 (2.1%) |
| Statins | |||
| No | 40,388 (90.5%) | 9096 (88.3%) | 49,484 (90.1%) |
| Yes | 4220 (9.5%) | 1205 (11.7%) | 5425 (9.9%) |
| Variable | Odds Ratio | 95% CI | Adjusted p-Value |
|---|---|---|---|
| Diabetes Mellitus | |||
| No (reference) | - | - | - |
| Yes | 0.979 | (0.859, 1.115) | 0.7491 |
| Gender | |||
| Female (reference) | - | - | - |
| Male | 1.406 | (1.347, 1.468) | <0.0001 |
| Smoking | |||
| No (reference) | - | - | - |
| Yes | 1.068 | (1.020, 1.118) | 0.0086 |
| Hyperlipidemia | |||
| No (reference) | - | - | - |
| Yes | 1.243 | (1.170, 1.322) | <0.0001 |
| Hypertension | |||
| No (reference) | - | - | - |
| Yes | 0.848 | (0.773, 0.931) | 0.0013 |
| CVA | |||
| No (reference) | - | - | - |
| Yes | 1.064 | (0.850, 1.332) | 0.6705 |
| CVD | |||
| No (reference) | - | - | - |
| Yes | 0.885 | (0.763, 1.027) | 0.1437 |
| Statins | |||
| No (reference) | - | - | - |
| Yes | 1.130 | (1.048, 1.218) | 0.0030 |
Disclaimer/Publisher’s Note: The statements, opinions and data contained in all publications are solely those of the individual author(s) and contributor(s) and not of MDPI and/or the editor(s). MDPI and/or the editor(s) disclaim responsibility for any injury to people or property resulting from any ideas, methods, instructions or products referred to in the content. |
© 2024 by the authors. Licensee MDPI, Basel, Switzerland. This article is an open access article distributed under the terms and conditions of the Creative Commons Attribution (CC BY) license (https://creativecommons.org/licenses/by/4.0/).
Share and Cite
Shemesh, S.; Itzikovitch, R.; Atzmon, R.; Kadar, A. Risk Factors for the Development of Olecranon Bursitis—A Large-Scale Population-Based Study. J. Clin. Med. 2024, 13, 7801. https://doi.org/10.3390/jcm13247801
Shemesh S, Itzikovitch R, Atzmon R, Kadar A. Risk Factors for the Development of Olecranon Bursitis—A Large-Scale Population-Based Study. Journal of Clinical Medicine. 2024; 13(24):7801. https://doi.org/10.3390/jcm13247801
Chicago/Turabian StyleShemesh, Shai, Ron Itzikovitch, Ran Atzmon, and Assaf Kadar. 2024. "Risk Factors for the Development of Olecranon Bursitis—A Large-Scale Population-Based Study" Journal of Clinical Medicine 13, no. 24: 7801. https://doi.org/10.3390/jcm13247801
APA StyleShemesh, S., Itzikovitch, R., Atzmon, R., & Kadar, A. (2024). Risk Factors for the Development of Olecranon Bursitis—A Large-Scale Population-Based Study. Journal of Clinical Medicine, 13(24), 7801. https://doi.org/10.3390/jcm13247801

