Neonatal Outcome following External Cephalic Version (ECV)—Comparison between Vaginal Birth after Successful ECV and Elective Caesarean Section after Unsuccessful ECV
Abstract
1. Introduction
2. Methods
2.1. Study Set-Up
2.2. ECV Procedure
2.3. Data Collection
- -
- Maternal Factors: Pseudonym, age, weight, size, BMI, gravity, parity, placental location, ECV outcome, use of fenoterol intravenously, gestational age at ECV attempt and delivery, mode of delivery.
- -
- Foetal Factors: Presentation at ECV attempt, sex, arterial and venous pH, base excess, admission to neonatal intensive care, 1-, 5-, and 10-min APGAR scores, weight at birth, length at birth, head circumference at birth.
2.4. Objectives
3. Results
3.1. Structuring Study Sample
3.2. Describing Study Sample: Basic Sample Characteristics
3.3. Comparing Neonatal Outcome Parameters (pH und APGAR)
4. Discussion
5. Conclusions
Author Contributions
Funding
Institutional Review Board Statement
Informed Consent Statement
Data Availability Statement
Conflicts of Interest
References
- Impey, L.W.M.; Murphy, D.J.; Griffiths, M.; Penna, L.K.; on behalf of the Royal College of Obstetricians and Gynaecologists. External Cephalic Version and Reducing the Incidence of Term Breech Presentation: Green-top Guideline No. 20a. BJOG 2017, 124, e178–e192. [Google Scholar] [CrossRef]
- Impey, L.W.M.; Murphy, D.J.; Griffiths, M.; Penna, L.K.; on behalf of the Royal College of Obstetricians and Gynaecologists. Management of Breech Presentation: Green-top Guideline No. 20b. BJOG 2017, 124, e151–e177. [Google Scholar] [CrossRef]
- Hannah, M.E.; Hannah, W.J.; Hewson, S.A.; Hodnett, E.D.; Saigal, S.; Willan, A.R. Planned caesarean section versus planned vaginal birth for breech presentation at term: A randomised multicentre trial. Term Breech Trial Collaborative Group. Lancet 2000, 356, 1375–1383. [Google Scholar] [CrossRef] [PubMed]
- Rietberg, C.C.; Elferink-Stinkens, P.M.; Visser, G.H. The effect of the Term Breech Trial on medical intervention behaviour and neonatal outcome in The Netherlands: An analysis of 35453 term breech infants. BJOG 2005, 112, 205–209. [Google Scholar] [CrossRef] [PubMed]
- Kohls, F.; Gebauer, F.; Flentje, M.; Brodowski, L.; von Kaisenberg, C.S.; Jentschke, M. Current Approach for External Cephalic Version in Germany. Geburtshilfe Frauenheilkd. 2020, 80, 1041–1047. [Google Scholar] [CrossRef] [PubMed]
- Chevreau, J.; Foulon, A.; Beuvin, E.; Gondry, J.; Sergent, F. Obstetrical and neonatal outcomes after successful external cephalic version relative to those after spontaneous cephalic presentations. J. Gynecol. Obstet. Human Reprod. 2020, 49, 101693. [Google Scholar] [CrossRef] [PubMed]
- Hagenbeck, C.; Kainer, F.; Fehm, T.; Borgmeier, F. Die äußere Wendung—Sanft und sicher; External cephalic version (ECV)—Gentle and safe. Der Gynäkol. 2021, 54, 291–295. [Google Scholar] [CrossRef]
- Coco, A.S.; Silverman, S.D. External cephalic version. Am. Fam. Physician 1998, 58, 731–744. [Google Scholar] [PubMed]
- G-BA (Federal Joint Committee). Maternity Guidelines: Guidelines of the Federal Joint Committee on Medical Care during Pregnancy and after Delivery. 2020. Available online: https://www.g-ba.de/downloads/62-492-1521/Mu-RL_2020-06-30_iK-2020-07-18.pdf (accessed on 22 May 2024).
- AWMF (Association of the Scientific Medical Societies in Germany). S3-Guideline: Vaginal Birth at Term. 2020. Available online: https://www.awmf.org/leitlinien/detail/ll/015-083.html (accessed on 22 May 2024).
- AWMF (Association of the Scientific Medical Societies in Germany). S3-Guideline: Caesarean Section at Term. 2020. Available online: https://www.awmf.org/leitlinien/detail/ll/015-084.html (accessed on 22 May 2024).
- Hofmeyr, G.J.; Kulier, R.; West, H.M. External cephalic version for breech presentation at term. Cochrane Database Syst. Rev. 2015, 2015, Cd000083. [Google Scholar] [CrossRef] [PubMed]
- de Hundt, M.; Velzel, J.; de Groot, C.J.; Mol, B.W.; Kok, M. Mode of delivery after successful external cephalic version: A systematic review and meta-analysis. Obstet. Gynecol. 2014, 123, 1327–1334. [Google Scholar] [CrossRef] [PubMed]
- Kuppens, S.M.; Hutton, E.K.; Hasaart, T.H.; Aichi, N.; Wijnen, H.A.; Pop, V.J. Mode of delivery following successful external cephalic version: Comparison with spontaneous cephalic presentations at delivery. J. Obstet. Gynaecol. Can. 2013, 35, 883–888. [Google Scholar] [CrossRef] [PubMed]
- Tonni, G.; Ferrari, B.; De Felice, C.; Ventura, A. Fetal acid-base and neonatal status after general and neuraxial anesthesia for elective caesarean section. Int. J. Gynaecol. Obstet. 2007, 97, 143–146. [Google Scholar] [CrossRef] [PubMed]
- White, C.; Doherty, D.; Henderson, J.; Kohan, R.; Newnham, J.; Pennell, C. Benefits of Introducing Universal Umbilical Cord Blood Gas and Lactate Analysis Into an Obstetric Unit. Aust. N. Z. J. Obstet. Gynaecol. 2010, 50, 318–328. [Google Scholar] [CrossRef] [PubMed]
- National Institute for Health and Care Excellence (NICE). Intrapartum Care—Care of Healthy Women and their Babies during Childbirth; Clinical Guideline 190; National Institute for Health and Care Excellence (NICE): London, UK, 2017. [Google Scholar]




| Mode of Delivery (MoD) | |||||
|---|---|---|---|---|---|
| ECV Attempt | Vaginal Birth (VB) | Elective Caesarean (ES) | Unplanned Caesarean | Σ | Proportion Given ECV Attempt |
| Yes | 62 | - | 18 | 80 | 56.34% |
| No | 11 | 51 | - | 62 | 43.66% |
| Σ | 73 | 51 | 18 | 142 | 100% |
| Probability (MoD) After ECV Attempt | 51.41% | 35.92% | 12.68% | 100% | |
| Probability (MoD) * Without ECV Attempt | 17.74% | 82.26% | 0.00% | 100% | |
| Probalbility (VB|ECV yes) | 77.50% | - | |||
| Probability (ES|ECV no) | - | 82.26% | |||
| Basic Maternal Characteristics | Mode of Delivery | N | Mean | SD | SEM | p-Value |
|---|---|---|---|---|---|---|
| Age in years | Vaginal birth after ECV | 62 | 33.35 | 5.18 | 0.66 | 0.029 |
| ES after unsuccessful ECV | 51 | 31.31 | 4.47 | 0.63 | ||
| Weight in kilograms | Vaginal birth after ECV | 61 | 65.16 | 12.58 | 1.61 | 0.301 |
| ES after unsuccessful ECV | 51 | 67.50 | 10.92 | 1.53 | ||
| Height in metres | Vaginal birth after ECV | 62 | 1.67 | 0.07 | 0.01 | 0.463 |
| ES after unsuccessful ECV | 51 | 1.68 | 0.07 | 0.01 | ||
| Body mass index | Vaginal birth after ECV | 61 | 23.49 | 4.09 | 0.52 | 0.413 |
| ES after unsuccessful ECV | 51 | 24.14 | 4.21 | 0.59 |
| Mode of Delivery | p-Value | Parity | Total | ||
|---|---|---|---|---|---|
| Nulliparous | Multiparous | ||||
| Vaginal Birth after ECV | <0.001 | Count | 21 | 41 | 62 |
| ES after unsuccessful ECV | Count | 38 | 13 | 51 | |
| Total | Count | 59 | 54 | 113 | |
| Basic Neonatal Characteristics | Mode of Delivery | N | Mean | SD | SEM | p-Value |
|---|---|---|---|---|---|---|
| Gestational Age at Birth (Days) | Vaginal Birth after ECV | 61 | 276.13 | 9.96 | 1.28 | <0.001 |
| ES after unsuccessful ECV | 51 | 269.45 | 5.42 | 0.76 | ||
| Weight at Birth (Grams) | Vaginal Birth after ECV | 60 | 3457.08 | 503.69 | 65.03 | 0.025 |
| ES after unsuccessful ECV | 50 | 3267.40 | 368.51 | 52.11 | ||
| Length at Birth (Centimetres) | Vaginal Birth after ECV | 60 | 51.11 | 2.55 | 0.33 | 0.110 |
| ES after unsuccessful ECV | 50 | 50.37 | 2.19 | 0.31 | ||
| Head Circumference at Birth (Centimeters) | Vaginal Birth after ECV | 60 | 35.11 | 1.26 | 0.16 | 0.706 |
| ES after unsuccessful ECV | 50 | 35.20 | 1.39 | 0.20 |
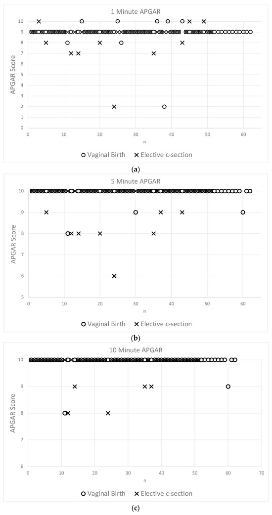
| Lower Tailed Two-Proportion z-Test for 5-Minute APGAR Score | |||||||
|---|---|---|---|---|---|---|---|
| Mode of Delivery | n | Risk Units | p̂ | Pooled p̂ | z-Test | Critical z-Value | p-Value |
| Vaginal Birth after ECV | 61 | 4 | 0.007 | 0.017 | −2.950 | −1.645 | 0.002 |
| ES after unsuccessful ECV | 51 | 15 | 0.029 | ||||
| Postnatal Arterial pH | ||||||
|---|---|---|---|---|---|---|
| Mode of Delivery | N | Mean | SD | SEM | p-Value for Equality of Variances | p-Value for Equality of Means |
| Vaginal Birth after ECV | 58 | 7.262 | 0.089 | 0.012 | <0.001 | <0.001 |
| ES after unsuccessful ECV | 50 | 7.316 | 0.051 | 0.007 | ||
Disclaimer/Publisher’s Note: The statements, opinions and data contained in all publications are solely those of the individual author(s) and contributor(s) and not of MDPI and/or the editor(s). MDPI and/or the editor(s) disclaim responsibility for any injury to people or property resulting from any ideas, methods, instructions or products referred to in the content. |
© 2024 by the authors. Licensee MDPI, Basel, Switzerland. This article is an open access article distributed under the terms and conditions of the Creative Commons Attribution (CC BY) license (https://creativecommons.org/licenses/by/4.0/).
Share and Cite
Borgmeier, F.; Horst de Cuestas, S.; Pruss, M.; Fath, N.; Hagenbeck, C. Neonatal Outcome following External Cephalic Version (ECV)—Comparison between Vaginal Birth after Successful ECV and Elective Caesarean Section after Unsuccessful ECV. J. Clin. Med. 2024, 13, 3837. https://doi.org/10.3390/jcm13133837
Borgmeier F, Horst de Cuestas S, Pruss M, Fath N, Hagenbeck C. Neonatal Outcome following External Cephalic Version (ECV)—Comparison between Vaginal Birth after Successful ECV and Elective Caesarean Section after Unsuccessful ECV. Journal of Clinical Medicine. 2024; 13(13):3837. https://doi.org/10.3390/jcm13133837
Chicago/Turabian StyleBorgmeier, Felix, Sophia Horst de Cuestas, Maximilian Pruss, Noa Fath, and Carsten Hagenbeck. 2024. "Neonatal Outcome following External Cephalic Version (ECV)—Comparison between Vaginal Birth after Successful ECV and Elective Caesarean Section after Unsuccessful ECV" Journal of Clinical Medicine 13, no. 13: 3837. https://doi.org/10.3390/jcm13133837
APA StyleBorgmeier, F., Horst de Cuestas, S., Pruss, M., Fath, N., & Hagenbeck, C. (2024). Neonatal Outcome following External Cephalic Version (ECV)—Comparison between Vaginal Birth after Successful ECV and Elective Caesarean Section after Unsuccessful ECV. Journal of Clinical Medicine, 13(13), 3837. https://doi.org/10.3390/jcm13133837

