Expired Platelet Concentrate Up-Cycling: Growth Factor-Rich Bioproduct Preparation for FBS Substitute
Abstract
1. Introduction
2. Materials and Methods
2.1. PC Preparation
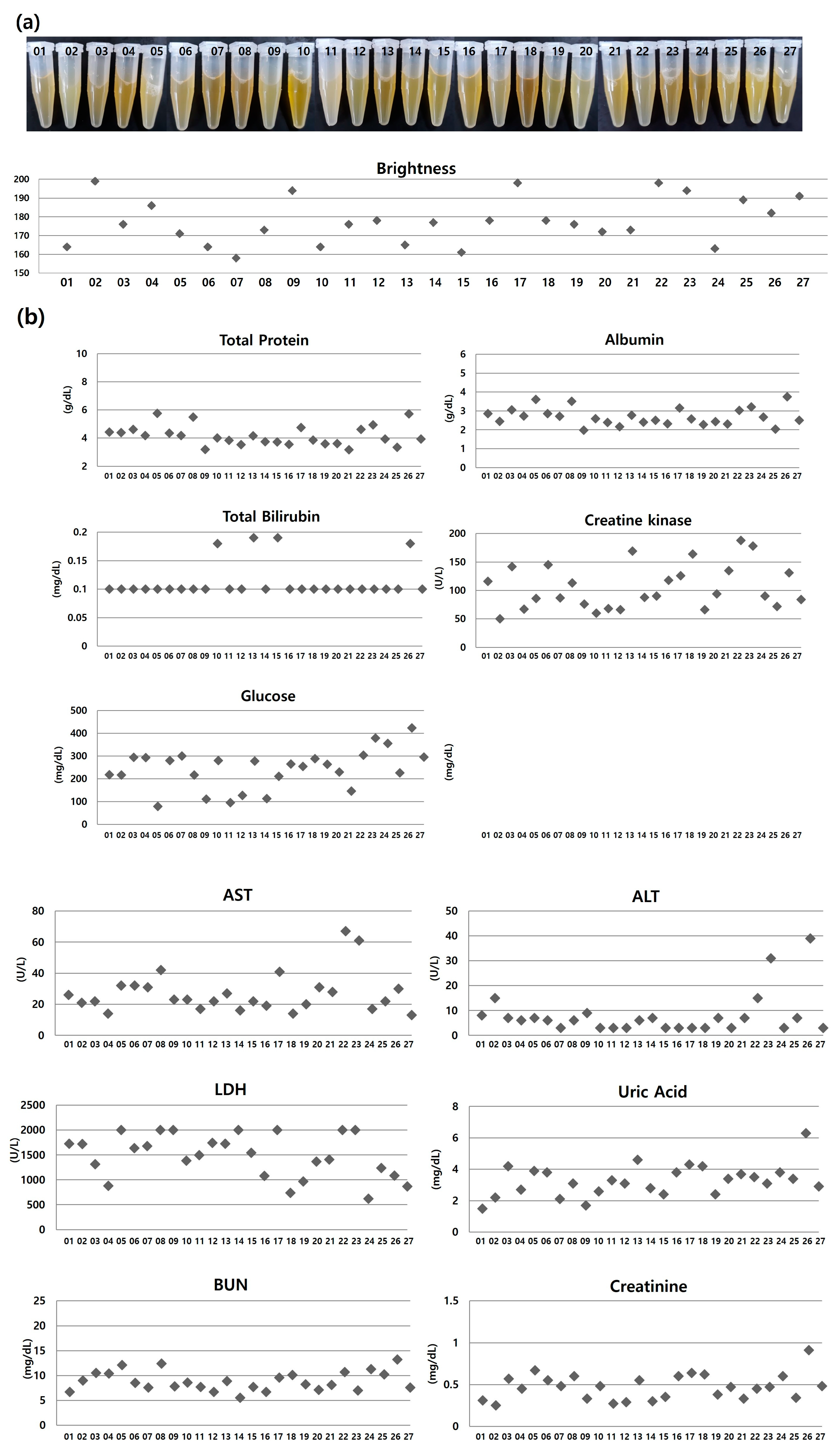
2.2. Assessment of Unit Variability in Visual Appearance, Biochemistry, and Growth Factor Concentration
2.3. Optimization of Freeze–Thaw Cycle Number, Temperatures, Incubation Times, and Storage Conditions
2.4. Filtration Process
2.5. Stability Assessment
2.6. Cell Responses
2.7. Statistical Analysis
3. Results and Discussion
3.1. Identification of Unit Variability in Visual Appearance, Biochemistry, and Growth Factor Concentration
3.2. Select the Optimial Freeze–Thaw Cycle Number
3.3. Select the Optimial Freeze and Thaw Temperatures and Incubation Times
3.4. Optimization of the Filtration Process
3.5. Stability Evaluation According to Storage Conditions
3.6. Cell Responses
4. Conclusions
Author Contributions
Funding
Institutional Review Board Statement
Informed Consent Statement
Data Availability Statement
Conflicts of Interest
References
- Kim, B.C.; Seo, Y.I.; Chai, G.R.; Shin, J.W.; Choi, T.Y. Analysis of Discarded Blood Components at a University Hospital in Korea. Korean J. Blood Transfus. 2011, 22, 120–126. [Google Scholar]
- Gulliksson, H.; Sandgren, P.; Sjödin, A.; Hultenby, K. Storage of platelets: Effects associated with high platelet content in platelet storage containers. Blood Transfus. 2012, 10, 205. [Google Scholar] [PubMed]
- Di Michele, M.; Van Geet, C.; Freson, K. Recent advances in platelet proteomics. Expert. Rev. Proteom. 2012, 9, 451–466. [Google Scholar] [CrossRef] [PubMed]
- Harmening, D.M. Clinical hematology and fundamentals of hemostasis. Am. J. Clin. Pathol. 1997, 108, 599. [Google Scholar]
- Rauch, C.; Feifel, E.; Amann, E.M.; Spötl, H.P.; Schennach, H.; Pfaller, W.; Gstraunthaler, G. Alternatives to the use of fetal bovine serum: Human platelet lysates as a serum substitute in cell culture media. ALTEX-Altern. Anim. Exp. 2011, 28, 305–316. [Google Scholar]
- Warnke, P.H.; Humpe, A.; Strunk, D.; Stephens, S.; Warnke, F.; Wiltfang, J.; Schallmoser, K.; Alamein, M.; Bourke, R.; Heiner, P.; et al. A clinically-feasible protocol for using human platelet lysate and mesenchymal stem cells in regenerative therapies. J. Cranio-Maxillofac. Surg. 2013, 41, 153–161. [Google Scholar] [CrossRef] [PubMed]
- Burnouf, T.; Goubran, H.A. Regenerative effect of expired platelet concentrates in human therapy: An update. Transfus. Apher. Sci. 2022, 61, 103363. [Google Scholar] [CrossRef] [PubMed]
- Available online: https://www.abim.org/Media/bfijryql/laboratory-reference-ranges.pdf (accessed on 11 November 2023).
- Pallister, C.; Watson, M. Haematology; Scion Publishing Ltd.: Banbury, UK, 2010. [Google Scholar]
- Janes, S. Encyclopedia of Respiratory Medicine, 2nd ed.; Elsevier: Amsterdam, The Netherlands, 2022. [Google Scholar]
- Khan, N.; Kurnik-Łucka, M.; Latacz, G.; Gil, K.; Saeed, S.A. The Inhibitory Effect of Human Plasma Albumin and Haptoglobin on Platelet Aggregation and 5-HT Release. Folia Med. Cracov. 2022, LXII, 5–16. [Google Scholar]
- Reid, T.J.; LaRussa, V.F.; Esteban, G.; Clear, M.; Davies, L.; Shea, S.; Gorogias, M. Cooling and freezing damage platelet membrane integrity. Cryobiology 1999, 38, 209–224. [Google Scholar] [CrossRef] [PubMed]
- Bradley, J.C.; Simoni, J.D.; Bradley, R.H.; McCartney, D.L.; Brown, S.M. Time-and temperature-dependent stability of growth factor peptides in human autologous serum eye drops. Cornea 2009, 28, 200–205. [Google Scholar] [CrossRef] [PubMed]
- Huang, J.; Kong, Y.; Xie, C.; Zhou, L. Stem/progenitor cell in kidney: Characteristics, homing, coordination, and maintenance. Stem Cell Res. Ther. 2021, 12, 197. [Google Scholar] [CrossRef] [PubMed]
- Simone, S.; Cosola, C.; Loverre, A.; Cariello, M.; Sallustio, F.; Rascio, F.; Gesualdo, L.; Schena, F.P.; Grandaliano, G.; Pertosa, G. BMP-2 induces a profibrotic phenotype in adult renal progenitor cells through Nox4 activation. Am. J. Physiol. Ren. Physiol. 2012, 303, F23–F34. [Google Scholar] [CrossRef] [PubMed]
- Hoppensack, A.; Kazanecki, C.C.; Colter, D.; Gosiewska, A.; Schanz, J.; Walles, H.; Schenke-Layland, K.; Love, H.D.; Ao, M.; Jorgensen, S.; et al. A human in vitro model that mimics the renal proximal tubule. Tissue Eng. Part. C Methods 2014, 20, 599–609. [Google Scholar] [CrossRef] [PubMed]









| Sample ID | Blood Type | Unit No. | Cryopreservation Duration (Days) |
|---|---|---|---|
| 01 ~ 12 | A | 12 | 33 |
| 13 ~ 21 | B | 9 | 6 |
| 22 ~ 24 | AB | 3 | 19 |
| 25 ~ 27 | O | 3 | 30 |
| Gene | Sequences | Type |
|---|---|---|
| CD24 | 5′-tca aca gcc agt ctc tc gt-3′ 5′-gac gtt tct tgg cct gag tc-3′ | Kidney-specific progenitors |
| CD133 | 5′-ttc ttg acc gac tga gac cc-3′ 5′-tgg tct cct tga tcg ctg tt-3′ | |
| Pax2 | 5′-tct ctc ctc tcc gct tct ct-3′ 5′-cga cag aga cgg aga ac-3′ | Renal progenitor |
| Pan-Cytokeratin | 5′-act tga caa ctt gca gca gg-3′ 5-caa tga tgc tgt cca ggt cg-3′ | General physiological features |
| Megalin | 5′-ctt gca act atc cga cct gc-3′ 5′-gga ccg ctt tca cat cca tc-3′ | Epithelial cell properties |
| Muc-1 | 5′-tcc ttt ctc tgc cca gtc tg-3′ 5′-caa cca gaa cac aga cca gc-3′ | |
| AQP1 | 5′-cca tca caa ctc tcc cca ct-3′ 5′-cca tca caa ctc tcc cca ct-3 | |
| SGLT2 | 5′-ctc tct tcg cca gca aca tc-3′ 5′-cca ctc gaa tcc agc aac ag-3′ | |
| E-cadherin | 5′-aag ggg tct gtc atg gaa gg-3′ 5′-ggtgtt cac atc atc gtc cg-3′ | Dedifferentiation |
| β-catenin | 5′-gag ggt acg agc tgc tat gt-3′ 5′-aac gct gga cat tag tgg ga-3′ | |
| Vimentin | 5′-ctt tgc cgt tga agc tgc ta-3′ 5′-acg agc cat ttc ctc ctt ca-3′ | |
| GAPDH | 5′- tgt gtc cgt cgt gga tct ga-3′ 5′- cct gct tca cca cct tct tga-3′ | House keeping |
Disclaimer/Publisher’s Note: The statements, opinions and data contained in all publications are solely those of the individual author(s) and contributor(s) and not of MDPI and/or the editor(s). MDPI and/or the editor(s) disclaim responsibility for any injury to people or property resulting from any ideas, methods, instructions or products referred to in the content. |
© 2023 by the authors. Licensee MDPI, Basel, Switzerland. This article is an open access article distributed under the terms and conditions of the Creative Commons Attribution (CC BY) license (https://creativecommons.org/licenses/by/4.0/).
Share and Cite
Lee, E.H.; Chun, S.Y.; Yoon, B.H.; Jeon, M.; Ha, Y.-S.; Chung, J.-W.; Kwon, J.; Kim, J.; Hwan Kim, D.; Park, S.-J.; et al. Expired Platelet Concentrate Up-Cycling: Growth Factor-Rich Bioproduct Preparation for FBS Substitute. J. Clin. Med. 2023, 12, 7345. https://doi.org/10.3390/jcm12237345
Lee EH, Chun SY, Yoon BH, Jeon M, Ha Y-S, Chung J-W, Kwon J, Kim J, Hwan Kim D, Park S-J, et al. Expired Platelet Concentrate Up-Cycling: Growth Factor-Rich Bioproduct Preparation for FBS Substitute. Journal of Clinical Medicine. 2023; 12(23):7345. https://doi.org/10.3390/jcm12237345
Chicago/Turabian StyleLee, Eun Hye, So Young Chun, Bo Hyun Yoon, Minji Jeon, Yun-Sok Ha, Jae-Wook Chung, Joonbeom Kwon, Jeongshik Kim, Dae Hwan Kim, Sang-Joon Park, and et al. 2023. "Expired Platelet Concentrate Up-Cycling: Growth Factor-Rich Bioproduct Preparation for FBS Substitute" Journal of Clinical Medicine 12, no. 23: 7345. https://doi.org/10.3390/jcm12237345
APA StyleLee, E. H., Chun, S. Y., Yoon, B. H., Jeon, M., Ha, Y.-S., Chung, J.-W., Kwon, J., Kim, J., Hwan Kim, D., Park, S.-J., Kwon, T. G., Kim, B. S., & Kim, H. T. (2023). Expired Platelet Concentrate Up-Cycling: Growth Factor-Rich Bioproduct Preparation for FBS Substitute. Journal of Clinical Medicine, 12(23), 7345. https://doi.org/10.3390/jcm12237345

