Comparison of the Clinical Effectiveness of Correcting Different Types of Astigmatism with Small Incision Lenticule Extraction †
Abstract
:1. Introduction
2. Materials and Methods
2.1. Data Collection
2.2. Patients
2.3. Procedures
2.4. Statistical Analysis
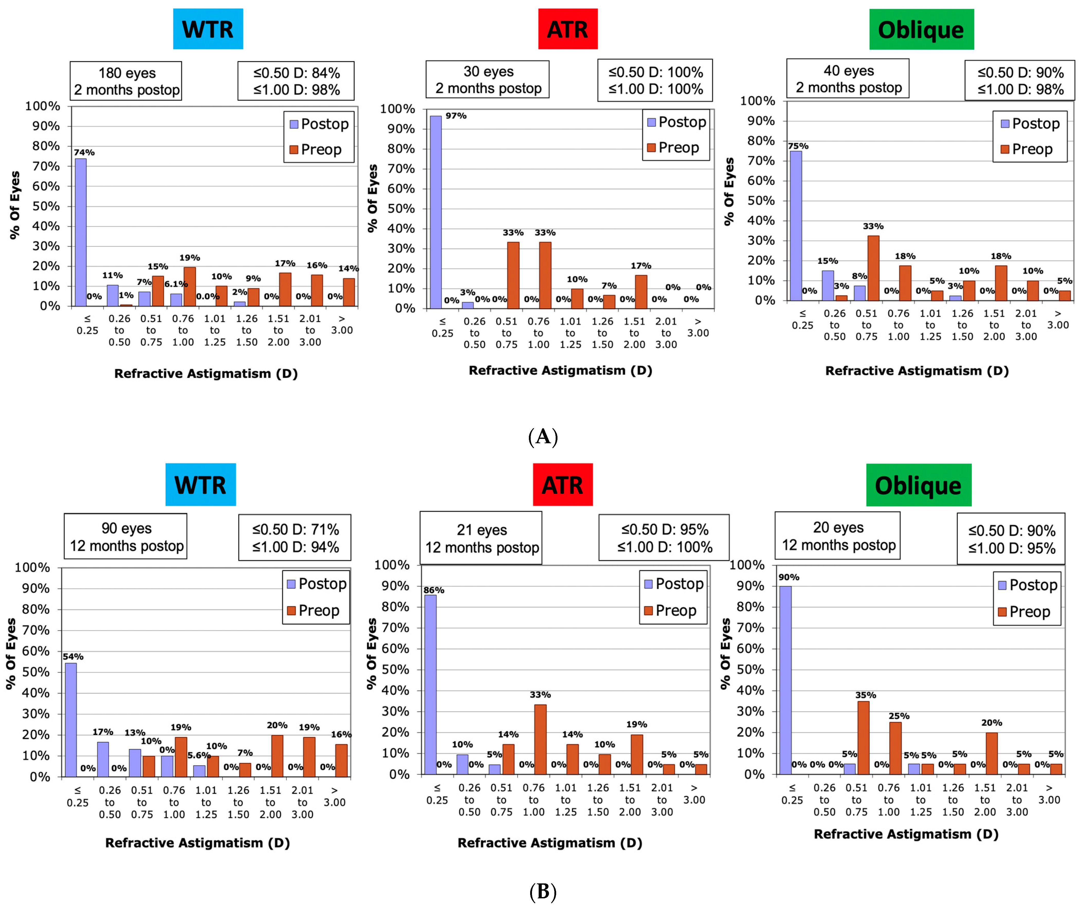
3. Results
3.1. Baseline Characteristics
3.2. Efficacy and Safety
4. Discussion
Strengths and Limitations
5. Conclusions
Supplementary Materials
Author Contributions
Funding
Institutional Review Board Statement
Informed Consent Statement
Data Availability Statement
Conflicts of Interest
References
- Sekundo, W.; Kunert, K.S.; Blum, M. Small incision corneal refractive surgery using the small incision lenticule extraction (SMILE) procedure for the correction of myopia and myopic astigmatism: Results of a 6 month prospective study. Br. J. Ophthalmol. 2011, 95, 335–339. [Google Scholar] [CrossRef] [PubMed]
- Ivarsen, A.; Hjortdal, J. Correction of myopic astigmatism with small incision lenticule extraction. J. Refract. Surg. 2014, 30, 240–247. [Google Scholar] [CrossRef]
- Kim, J.R.; Hwang, H.B.; Mun, S.J.; Chung, Y.T.; Kim, H.S. Efficacy, predictability, and safety of small incision lenticule extraction: 6-months prospective cohort study. BMC Ophthalmol. 2014, 14, 117. [Google Scholar] [CrossRef]
- Reinstein, D.Z.; Carp, G.I.; Archer, T.J.; Gobbe, M. Outcomes of small incision lenticule extraction (SMILE) in low myopia. J. Refract. Surg. 2014, 30, 812–818. [Google Scholar] [CrossRef] [PubMed]
- Pedersen, I.B.; Ivarsen, A.; Hjortdal, J. Three-Year Results of Small Incision Lenticule Extraction for High Myopia: Refractive Outcomes and Aberrations. J. Refract. Surg. 2015, 31, 719–724. [Google Scholar] [CrossRef]
- Kim, J.R.; Kim, B.K.; Mun, S.J.; Chung, Y.T.; Kim, S.H. One-year outcomes of small-incision lenticule extraction (SMILE): Mild to moderate myopia vs. high myopia. BMC Ophthalmol. 2015, 15, 59. [Google Scholar] [CrossRef] [PubMed]
- Ganesh, S.; Brar, S.; Pawar, A. Results of Intraoperative Manual Cyclotorsion Compensation for Myopic Astigmatism in Patients Undergoing Small Incision Lenticule Extraction (SMILE). J. Refract. Surg. 2017, 33, 506–512. [Google Scholar] [CrossRef]
- Zhang, J.; Wang, Y.; Wu, W.; Xu, L.; Li, X.; Dou, R. Vector analysis of low to moderate astigmatism with small incision lenticule extraction (SMILE): Results of a 1-year follow-up. BMC Ophthalmol. 2015, 15, 8. [Google Scholar] [CrossRef]
- Pedersen, I.B.; Ivarsen, A.; Hjortdal, J. Changes in Astigmatism, Densitometry, and Aberrations After SMILE for Low to High Myopic Astigmatism: A 12-Month Prospective Study. J. Refract. Surg. 2017, 33, 11–17. [Google Scholar] [CrossRef]
- Ivarsen, A.; Gyldenkerne, A.; Hjortdal, J. Correction of astigmatism with small-incision lenticule extraction: Impact of against-the-rule and with-the-rule astigmatism. J. Cataract. Refract. Surg. 2018, 44, 1066–1072. [Google Scholar] [CrossRef]
- Pérez-Izquierdo, R.; Rodríguez-Vallejo, M.; Matamoros, A.; Martínez, J.; Garzón, N.; Poyales, F.; Fernández, J. Influence of Preoperative Astigmatism Type and Magnitude on the Effectiveness of SMILE Correction. J. Refract. Surg. 2019, 35, 40–47. [Google Scholar] [CrossRef] [PubMed]
- Naeser, K.; Savini, G.; Flethøj Bregnhøj, J. Age-related changes in with-the-rule and oblique corneal astigmatism. Acta Ophthalmol. 2018, 96, 600–606. [Google Scholar] [CrossRef]
- Alpins, N.A.; Goggin, M. Practical astigmatism analysis for refractive outcomes in cataract and refractive surgery. Surv. Ophthalmol. 2004, 49, 109–122. [Google Scholar] [CrossRef] [PubMed]
- Gauvin, M.; Wallerstein, A. AstigMATIC: An automatic tool for standard astigmatism vector analysis. BMC Ophthalmol. 2018, 18, 255. [Google Scholar] [CrossRef]
- Moshirfar, M.; Thomson, A.C.; West, W.B., Jr.; Hall, M.N.; McCabe, S.E.; Thomson, R.J.; Ronquillo, Y.C.; Hoopes, P.C. Initial Single-Site Experience Using SMILE for the Treatment of Astigmatism in Myopic Eyes and Comparison of Astigmatic Outcomes with Existing Literature. Clin. Ophthalmol. 2020, 14, 3551–3562. [Google Scholar] [CrossRef] [PubMed]
- Dishler, J.G.; Slade, S.; Seifert, S.; Schallhorn, S.C. Small-Incision Lenticule Extraction (SMILE) for the Correction of Myopia with Astigmatism: Outcomes of the United States Food and Drug Administration Premarket Approval Clinical Trial. Ophthalmology 2020, 127, 1020–1034. [Google Scholar] [CrossRef]
- Qian, Y.S.; Huang, J.; Chu, R.; Zhou, X.; Olszewski, E. Influence of intraocular astigmatism on the correction of myopic astigmatism by laser-assisted subepithelial keratectomy. J. Cataract. Refract. Surg. 2014, 40, 558–563. [Google Scholar] [CrossRef]
- Wallerstein, A.; Gauvin, M.; Cohen, M. Targeting anterior corneal astigmatism with topography-guided ablation ignores ocular residual astigmatism, resulting in inferior outcomes. J. Refract. Surg. 2020, 36, 63–64. [Google Scholar] [CrossRef]
- Randleman, J.B.; White, A.J., Jr.; Lynn, M.J.; Hu, M.H.; Doyle Stulting, R. Incidence, outcomes, and risk factors for retreatment after wavefront-optimized ablations with PRK and LASIK. J. Refract. Surg. 2009, 25, 273–276. [Google Scholar] [CrossRef]
- Katz, T.; Wagenfeld, L.; Galambos, P.; Darrelmann, B.G.; Richard, G.; Linke, S.J. LASIK versus photorefractive keratectomy for high myopic (O 3 diopter) astigmatism. J. Refract. Surg. 2013, 29, 824–831. [Google Scholar] [CrossRef]
- Mimouni, M.; Pokroy, R.; Rabina, G.; Kaiserman, I. LASIK versus PRK for high astigmatism. Int. Ohthalmol. 2021, 41, 2091–2098. [Google Scholar] [CrossRef]
- Reitblat, O.; Gershoni, A.; Mimouni, M.; Vainer, I.; Livny, E.; Nahum, Y.; Segev, F.; Bahar, I. Refractive outcomes of high-magnitude astigmatism correction using femtosecond LASIK versus transepithelial PRK. Eur. J. Ophthalmol. 2021, 31, 2923–2931. [Google Scholar] [CrossRef]
- Chan, T.C.; Wang, Y.; Ng, A.L.K.; Zhang, J.; Yu, M.C.Y.; Jhanji, V.; Cheng, G.P.M. Vector analysis of high (≥3 diopters) astigmatism correction using small-incision lenticule extraction and laser in situ keratomileusis. J. Cataract. Refract. Surg. 2018, 44, 802–810. [Google Scholar] [CrossRef] [PubMed]
- Chan, T.C.; Ng, A.L.; Cheng, G.P.; Wang, Z.; Ye, C.; Woo, V.C.; Tham, C.C.; Jhanji, V. Vector analysis of astigmatic correction after small-incision lenticule extraction and femtosecond-assisted LASIK for low to moderate myopic astigmatism. Br. J. Ophthalmol. 2016, 100, 553–559. [Google Scholar] [CrossRef] [PubMed]
- Shen, E.P.; Yang, C.N.; Hu, F.R. Corneal astigmatic change after pho- torefractive keratectomy and photoastigmatic refractive keratectomy. J. Cataract. Refract. Surg. 2002, 28, 491–498. [Google Scholar] [CrossRef] [PubMed]
- Onclinx, T.; Smith, R.J.; Maloney, R.K. Induced astigmatism after photorefractive keratectomy. J. Cataract. Refract. Surg. 1999, 25, 183–187. [Google Scholar] [CrossRef]
- Hersh, P.S.; Abbassi, R. Surgically induced astigmatism after photorefractive keratectomy and laser in situ keratomileusis. Summit PRK-LASIK Study Group. J. Cataract. Refract. Surg. 1999, 25, 389–398. [Google Scholar] [CrossRef] [PubMed]
- Jie, L.M.; Wang, Q.; Zheng, L. Clinical analysis of real-time iris recognition guided LASIK with femtosecond laser flap creation for myopic astigmatism. Zhonghua Yan Ke Za Zhi. 2013, 49, 711–715. [Google Scholar] [CrossRef]
- Qian, Y.; Huang, J.; Zhou, X.; Wang, Y. Comparison of femtosecond laser small-incision lenticule extraction and laser-assisted subepithelial keratectomy to correct myopic astigmatism. J. Cataract. Refract. Surg. 2015, 41, 2476–2486. [Google Scholar] [CrossRef]
- Tülü Aygün, B.; Çankaya, K.I.; Ağca, A.; Yıldırım, Y.; Yıldız, B.K.; Sucu, M.E.; Kandemir Beşek, N.; Demirok, A. Five-year outcomes of small-incision lenticule extraction vs femtosecond laser-assisted laser in situ keratomileusis: A contralateral eye study. J. Cataract. Refract. Surg. 2020, 46, 403–409. [Google Scholar] [CrossRef]
- Han, T.; Xu, Y.; Han, X.; Zeng, L.; Shang, J.; Chen, X.; Zhou, X. Three-year outcomes of small incision lenticule extraction (SMILE) and femtosecond laser-assisted laser in situ keratomileusis (FS-LASIK) for myopia and myopic astigmatism. Br. J. Ophthalmol. 2019, 103, 565–568. [Google Scholar] [CrossRef] [PubMed]
- Jabbarvand, M.; Khodaparast, M.; Moravvej, Z.; Shahraki, K.; Ahmadi, H.; Shahraki, K.; Jamali, A.; Narooie-Noori, F. Vector analysis of moderate to high myopic astigmatism after small-incision lenticule extraction (SMILE): 12-month follow-up. Eur. J. Ophthalmol. 2022, 32, 3312–3320. [Google Scholar] [CrossRef] [PubMed]






| Parameter | Eyes (n = X) | Sphere (Mean Diopter ± SD) | Cylinder (Mean Diopter ±SD) | SE (Mean Diopter ± SD) | UDVA (Mean ± SD) | BCDVA (Mean ± SD) |
|---|---|---|---|---|---|---|
| Timing | ||||||
| Pre-operative | 355 | −4.50 ± 2.60 | −1.70 ± 1.00 | −5.40 ± 2.57 | 0.09 ± 0.09 | 0.91 ± 0.15 |
| Week 1 | 355 | −0.23 ± 0.80 | −0.13 ± 0.29 | −0.30 ± 0.80 | 0.82 ± 0.23 | 0.89 ± 0.16 |
| Month 2 | 250 | −0.27 ± 0.84 | −0.18 ± 0.35 | −0.36 ± 0.85 | 0.83 ± 0.24 | 0.91 ± 0.15 |
| Month 8 | 142 | −0.23 ± 0.71 | −0.27 ± 0.38 | −0.36 ± 0.74 | 0.86 ± 0.21 | 0.93 ± 0.13 |
| Month 12 | 131 | −0.24 ± 0.75 | −0.27 ± 0.40 | −0.38 ± 0.75 | 0.81 ± 0.25 | 0.87 ± 0.30 |
| Characteristic | Total (n = 355) | WTR (n = 247) | ATR (n = 46) | Oblique (n = 62) | p Value |
|---|---|---|---|---|---|
| Spherical Equivalent (Mean Diopter ± SD) | −5.40 ± 2.57 | −5.60 ± 2.37 | −4.00 ± 1.80 | −5.80 ± 3.40 | <0.001 |
| Sphere (Mean Diopter ± SD) | −4.50 ± 2.60 | −4.57 ± 2.40 | −3.45 ± 1.76 | −5.06 ± 3.36 | 0.004 |
| Cylinder (Mean Diopter ± SD) | −1.70 ± 1.00 | −1.90 ± 1.10 | −1.25 ± 0.53 | −1.40 ± 0.73 | <0.001 |
| UDVA (Mean ± SD) | 0.09 ± 0.09 | 0.09 ± 0.10 | 0.08 ± 0.04 | 0.09 ± 0.09 | 0.96 |
| BCDVA (Mean ± SD) | 0.91 ± 0.15 | 0.91 ± 0.16 | 0.96 ± 0.08 | 0.86 ± 0.16 | 0.035 |
| ORA (Mean ± SD) | 0.76 ± 0.39 | 0.53 ± 0.41 | 0.59 ± 0.33 | 0.47 ± 0.31 | 0.279 |
| Parameter | Sphere (Mean Diopter ± SD) | Cylinder (Mean Diopter ± SD) | SE (Mean Diopter ± SD) | UDVA (Mean ± SD) | BCDVA (Mean ± SD) |
|---|---|---|---|---|---|
| Timing | |||||
| WTR Astigmatism | |||||
| Pre-operative | −4.57 ± 2.40 | −1.90 ± 1.10 | −5.60 ± 2.37 | 0.09 ± 0.10 | 0.91 ± 0.16 |
| Week 1 | −0.17 ± 0.68 | −0.16 ± 0.33 | −0.24 ± 0.69 | 0.82 ± 0.21 | 0.89 ± 0.16 |
| Month 2 | −0.20 ± 0.66 | −0.21 ± 0.37 | −0.31 ± 0.67 | 0.82 ± 0.22 | 0.90 ± 0.16 |
| Month 8 | −0.21 ± 0.67 | −0.31 ± 0.39 | −0.37 ± 0.68 | 0.85 ± 0.21 | 0.94 ± 0.11 |
| Month 12 | −0.21 ± 0.72 | −0.36 ± 0.43 | −0.38 ± 0.70 | 0.78 ± 0.25 | 0.83 ± 0.35 |
| ATR Astigmatism | |||||
| Pre-operative | −3.45 ± 1.76 | −1.25 ± 0.53 | −4.00 ± 1.80 | 0.08 ± 0.04 | 0.96 ± 0.08 |
| Week 1 | −0.01 ± 0.22 | −0.03 ± 0.11 | −0.03 ± 0.20 | 0.96 ± 0.11 | 0.98 ± 0.07 |
| Month 2 | −0.08 ± 0.22 | −0.02 ± 0.09 | −0.08 ± 0.22 | 0.97 ± 0.11 | 0.99 ± 0.06 |
| Month 8 | −0.01 ± 0.14 | −0.13 ± 0.25 | −0.08 ± 0.15 | 0.95 ± 0.09 | 0.98 ± 0.04 |
| Month 12 | 0.00 ± 0.00 | −0.08 ± 0.21 | −0.04 ± 0.12 | 0.97 ± 0.08 | 0.99 ± 0.07 |
| Oblique Astigmatism | |||||
| Pre-operative | −5.06 ± 3.36 | −1.40 ± 0.73 | −5.80 ± 3.40 | 0.09 ± 0.09 | 0.86 ± 0.16 |
| Week 1 | −0.67 ± 1.20 | −0.06 ± 0.17 | −0.70 ± 1.21 | 0.73 ± 0.32 | 0.85 ± 0.17 |
| Month 2 | −0.73 ± 1.50 | −0.17 ± 0.33 | −0.82 ± 1.50 | 0.74 ± 0.36 | 0.91 ± 0.13 |
| Month 8 | −0.56 ± 1.16 | −0.11 ± 0.33 | −0.62 ± 1.29 | 0.83 ± 0.30 | 0.87 ± 0.25 |
| Month 12 | −0.64 ± 1.06 | −0.10 ± 0.32 | −0.69 ± 1.15 | 0.80 ± 0.25 | 0.93 ± 0.11 |
| Pre-op Cylinder | Mean ± SD | ||||
|---|---|---|---|---|---|
| TIA (D) | ORA (D) | SIA (D) | ME (D) | CI (D) | |
| 2 Months | |||||
| WTR | |||||
| All (n = 141) | 1.51 × 105 | 0.55 × 103 | 1.24 × 111 | −0.26 ± 0.73 | 0.92 ± 0.57 |
| 0.75–1.5 (n = 83) | 0.92 × 115 | 0.62 × 110 | 0.96 × 117 | 0.04 ± 0.59 | 1.06 ± 0.68 |
| > 1.5 (n = 58) | 2.25 × 91 | 0.45 × 92 | 1.65 × 102 | −0.70 ± 0.70 | 0.72 ± 0.27 |
| ATR | |||||
| All (n = 23) | 0.99 × 93 | 0.52 × 112 | 1.24 × 91 | 0.25 ± 0.63 | 1.34 ± 0.86 |
| 0.75–1.5 (n = 20) | 0.87 × 93 | 0.51 × 111 | 1.15 × 92 | 0.28 ± 0.66 | 1.39 ± 0.92 |
| > 1.5 (n = 3) | 1.76 × 95 | 0.56 × 122 | 1.80 × 85 | 0.04 ± 0.43 | 1.02 ± 0.24 |
| Oblique | |||||
| All (n = 31) | 1.19 × 92 | 0.47 × 80 | 1.21 × 88 | 0.02 ± 0.65 | 1.21 ± 0.89 |
| 0.75–1.5 (n = 23) | 0.84 × 94 | 0.45 × 86 | 1.00 × 90 | 0.15 ± 0.60 | 1.32 ± 1.00 |
| > 1.5 (n = 8) | 2.18 × 84 | 0.54 × 62 | 1.81 × 83 | −0.37 ± 0.70 | 0.89 ± 0.25 |
| 12 Months | |||||
| WTR | |||||
| All (n = 73) | 1.79 × 91 | 0.54 × 94 | 1.23 × 86 | −0.56 ± 0.81 | 1.24 ± 3.91 |
| 0.75–1.5 (n = 35) | 0.95 × 111 | 0.68 × 108 | 0.90 × 84 | −0.05 ± 0.57 | 1.92 ± 6.51 |
| > 1.5 (n = 38) | 2.57 × 72 | 0.41x 81 | 1.54 × 87 | −1.03 ± 0.71 | 0.61 ± 0.26 |
| ATR | |||||
| All (n = 12) | 1.26 × 89 | 0.53 × 132 | 0.94 × 96 | −0.33 ± 0.69 | 0.80 ± 0.42 |
| 0.75–1.5 (n = 9) | 0.90 × 90 | 0.44 × 140 | 0.72 × 102 | −0.18 ± 0.37 | 0.81 ± 0.41 |
| > 1.5 (n = 3) | 2.35 × 87 | 0.79 × 110 | 1.59 × 78 | −0.76 ± 1.31 | 0.78 ± 0.54 |
| Oblique | |||||
| All (n = 18) | 1.16 ± 94 | 0.43 × 76 | 1.29 × 83 | 0.1 ± 0.69 | 1.18 ± 0.50 |
| 0.75–1.5 (n = 13) | 0.85 × 92 | 0.44 × 85 | 0.94 × 84 | 0.09 ± 0.51 | 1.17 ± 0.53 |
| > 1.5 (n = 5) | 1.95 × 98 | 0.40 × 51 | 2.19 × 80 | 0.11 ± 1.10 | 1.19 ± 0.43 |
Disclaimer/Publisher’s Note: The statements, opinions and data contained in all publications are solely those of the individual author(s) and contributor(s) and not of MDPI and/or the editor(s). MDPI and/or the editor(s) disclaim responsibility for any injury to people or property resulting from any ideas, methods, instructions or products referred to in the content. |
© 2023 by the authors. Licensee MDPI, Basel, Switzerland. This article is an open access article distributed under the terms and conditions of the Creative Commons Attribution (CC BY) license (https://creativecommons.org/licenses/by/4.0/).
Share and Cite
Igras, E.; Czarnota-Nowakowska, B.; O’Caoimh, R. Comparison of the Clinical Effectiveness of Correcting Different Types of Astigmatism with Small Incision Lenticule Extraction. J. Clin. Med. 2023, 12, 6941. https://doi.org/10.3390/jcm12216941
Igras E, Czarnota-Nowakowska B, O’Caoimh R. Comparison of the Clinical Effectiveness of Correcting Different Types of Astigmatism with Small Incision Lenticule Extraction. Journal of Clinical Medicine. 2023; 12(21):6941. https://doi.org/10.3390/jcm12216941
Chicago/Turabian StyleIgras, Estera, Barbara Czarnota-Nowakowska, and Rónán O’Caoimh. 2023. "Comparison of the Clinical Effectiveness of Correcting Different Types of Astigmatism with Small Incision Lenticule Extraction" Journal of Clinical Medicine 12, no. 21: 6941. https://doi.org/10.3390/jcm12216941
APA StyleIgras, E., Czarnota-Nowakowska, B., & O’Caoimh, R. (2023). Comparison of the Clinical Effectiveness of Correcting Different Types of Astigmatism with Small Incision Lenticule Extraction. Journal of Clinical Medicine, 12(21), 6941. https://doi.org/10.3390/jcm12216941

