Hybrid Molecules of Benzylguanidine and the Alkylating Group of Melphalan: Synthesis and Effects on Neuroblastoma Cells
Abstract
1. Introduction
2. Materials and Methods
2.1. Synthesis of the Hybrid Compounds mMBG, pMBG, mM*BG, and pM*BG
2.2. Cell Culture and Cell Culture Experiments
2.2.1. Human Neuroblastoma Cell Lines
2.2.2. Inhibition of [3H]noradrenaline Uptake in Neuroblastoma Cells: Competitive Studies with MBG Hybrid Molecules Compared to mIBG and M
2.2.3. MTS-Test (Viability Test)
2.2.4. CELLigence Assay
3. Results
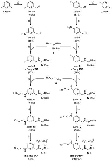
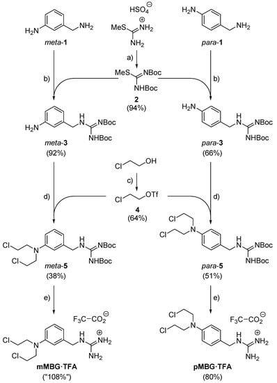
3.1. Synthesis of Our Four MBG Hybrid Compounds
3.2. Stability of the Newly Synthesised MBG Hybrid Compounds
3.3. Interaction of Our MBG Hybrid Compounds with Neuroblastoma Cell Lines with Different NAT Expressions
3.3.1. Inhibition of [3H]noradrenaline Uptake in Neuroblastoma Cells: Competitive Studies with MBG Hybrid Molecules Compared to mIBG and M
3.3.2. Viability Analyses (MTS Assays) of MBG Hybrid Compounds
3.3.3. Proliferation Kinetics of Neuroblastoma Cells (xCELLigence Assay) of MBG Hybrid Compounds
4. Discussion
5. Conclusions
Author Contributions
Funding
Institutional Review Board Statement
Informed Consent Statement
Data Availability Statement
Conflicts of Interest
References
- Ray, S.K. (Ed.) Neuroblastoma. Molecular Mechanisms and Therapeutic Interventions; Elsevier: Amsterdam, The Netherlands; Academic Press: Cambridge, MA, USA, 2019; ISBN 978-0-12-812005-7. [Google Scholar]
- Abbas, A.A.; Samkari, A.M.N. High-Risk Neuroblastoma: Poor outcomes despite aggressive multimodal therapy. Curr. Canc. Ther. Rev. 2022, 18, 14–40. [Google Scholar] [CrossRef]
- LaBross, E.H.; Comoy, E.; Bohoun, C.; Zucker, J.M.; Schweisguth, O. Catecholamine metabolism in neuroblastoma. J. Natl. Cancer Inst. 1976, 57, 633–638. [Google Scholar] [CrossRef]
- Pacholczyk, T.; Blakely, R.D.; Amara, S.G. Expression cloning of a cocaine-and antidepressant-sensitive human noradrenaline transporter. Nature 1991, 350, 350–354. [Google Scholar] [CrossRef] [PubMed]
- Glowniak, J.V.; Kilty, J.E.; Amara, S.G.; Hoffman, B.J.; Turner, F.E. Evaluation of meta-iodobenzylguanidine uptake by the norepinephrine, dopamine and serotonine transporters. J. Nucl. Med. 1993, 34, 1140–1146. [Google Scholar]
- Schmidt, M.; Hero, B.; Simon, T. I-131-mIBG therapy in neuroblastoma: Established role and prospective application (Review). Clin. Transl. Imaging 2016, 4, 87–101. [Google Scholar] [CrossRef]
- Kimmig, B.; Brandeis, W.E.; Eisenhut, M.; Bubeck, B.; Hermann, H.J.; zum Winkel, K. Scintigraphy of a neuroblastoma with I-131 meta-Iodobenzylguanidine. J. Nucl. Med. 1984, 25, 773–775. [Google Scholar]
- Treuner, J.; Feine, U.; Niethammer, D.; Müller-Schauenburg, W.; Meinke, J.; Eibach, E.; Dopfer, R.; Klingebiel, T.; Grumbach, S. Scintigraphic Imaging of Neuroblastoma with m-[131]iodobenzylguanidine. J. Nucl. Med. 1984, 25, 333–334. Available online: https://www.osti.gov/biblio/6639263 (accessed on 11 May 2023).
- Wieland, D.M.; Brown, L.E.; Tobes, M.C.; Rogers, W.L.; Marsh, D.D.; Mangner, D.J.; Swanson, D.P.; Beierwaltes, B.H. Imaging of primate adrenal medulla with [123I] and [131I]meta-Iodobenzylguanidine: Concise Communication. J. Nucl. Med. 1981, 22, 358–364. [Google Scholar] [PubMed]
- Treuner, J.; Klingebiel, T.; Feine, U.; Buck, J.; Bruchelt, G.; Dopfer, R.; Girgert, R.; Müller-Schauenburg, W.; Meinke, J.; Kaiser, W.; et al. Clinical experiences in the treatment of neuroblastoma with I-131-metaiodobenzylguanidine. Ped. Hem. Oncol. 1986, 3, 205–216. [Google Scholar] [CrossRef]
- Wieland, D.M.; Swanson, D.P.; Brown, L.E.; Beierwaltes, W.H. Imaging the adrenal medulla with an I-131-labeled antiadrenergic agent. J. Nucl. Med. 1979, 20, 155–158. [Google Scholar]
- Wieland, D.M.; Wu, J.-l.; Brown, L.E.; Mangner, T.J.; Swanson, D.P.; Beierwaltes, W.H. Radiolabeled adrenergic neuron-blocking agents: Adrenomedullary imaging with [131]iodobenzylguanidine. J. Nucl. Med. 1980, 21, 349–353. [Google Scholar]
- Ehninger, G.; Klingebiel, T.; Kumbier, I.; Schuler, U.; Feine, U.; Treuner, J.; Waller, H.D. Stability and pharmacokinetics of [131I] meta-iodobenzylguanidine in patients. Cancer Res. 1999, 47, 6147–6149. [Google Scholar]
- Bergel, F.; Stock, J.A. First synthesis and cytotoxicity study of melphalan Cyto-active Amino-acid and Peptide Derivatives. Substituted Phenylalanines. J. Chem. Soc. 1954, 14, 2409–2417. [Google Scholar] [CrossRef]
- Galton, D.A. Myleran in chronic myeloic leukemia: Results of treatment. Lancet 1953, 264, 208–213. [Google Scholar] [CrossRef]
- Ladenstein, R.; Pötschger, U.; Pearson, A.D.J.; Brock, P.; Luksch, R.; Castel, V.; Yaniv, I.; Papadakis, V.; Laureys, G.; Malis, J.; et al. (SIOPEN, SIOP Europe Neuroblastoma Group): Busulfan and melphalan versus carboplatin, etoposide, and melphalan as high-dose chemotherapy for high-risk neuroblastoma (HR-NBL1/SIOPEN): An international, randomized, multi-arm, open-label, phase 3 trial. Lancet Oncol. 2017, 18, 500–514. [Google Scholar] [CrossRef] [PubMed]
- Begleiter, A.; Lam, H.Y.; Grover, J.; Froese, E.; Goldenberg, G.J. Evidence for Active Transport of Melphalan by Two Amino Acid Carriers in L5178Y Lymphoblasts In Vitro. Cancer Res. 1979, 39, 353–359. Available online: https://aacrjournals.org/cancerres/article/39/2_Part_1/353/483470/Evidence-for-Active-Transport-of-Melphalan-by-Two (accessed on 11 May 2023). [PubMed]
- Goldenberg, G.J.; Lam, H.Y.; Begleiter, A. Active carrier-mediated transport of melphalan by two separate amino acid transport systems in LPC-1 plasmacytoma cells in vitro. J. Biol. Chem. 1979, 254, 1064. [Google Scholar] [CrossRef]
- Gründemann, D.; Schechinger, B.; Rappold, G.A.; Schömig, E. Molecular identification of the corticosterone sensitive extraneuronal catecholamine transporter. Nat. Neurosci. 1998, 1, 349–351. [Google Scholar] [CrossRef]
- Bayer, M.; Kuci, Z.; Schömig, E.; Gründemann, D.; Dittmann, H.; Handgretinger, R.; Bruchelt, G. Uptake of mIBG and catecholamines in noradrenaline and organic cation transporter expressing cells: Potential use of corticosterone for a preffered uptake in neuroblastoma and- pheochromocytoma cells. Nuc. Med. Bio. 2009, 36, 287–294. [Google Scholar] [CrossRef]
- Hampel, T.; Bruns, M.; Bayer, M.; Handgretinger, R.; Bruchelt, G.; Brückner, R. Synthesis and biological effects of new hybrid compounds composed of benzylguanidines and the alkylating group of busulfan on neuroblastoma cells. Bioorg. Med. Chem. Lett. 2014, 24, 2728–2733. [Google Scholar] [CrossRef]
- Bruns, M.; Hampel, T.; Brückner, R.; Bayer, M.; Handgretinger, R.; Bruchelt, G. Synthesis of para and meta-4-(Guanidinomethylphenoxyl)-Butylmethansulfonate (pBBG, mBBG) and their effects on neuroblastoma cells compared to mIBG and Busulfan. In Advances in Neuroblastoma Research; Abstract Booklet: Cologne, Germany, 2014; p. 126 (OR044). [Google Scholar]
- Liu, C.; Guo, W.; Shi, X.; Kaium, M.A.; Gu, X.; Zhu, Y.Z. Leonurine-cysteine analog conjugates as a new class of multifunctional anti-myocardial ischemia agent. Eur. J. Med. Chem. 2011, 46, 3996–4009. [Google Scholar] [CrossRef] [PubMed]
- Lischka, M. Synthese Cytotoxischer Hybridmoleküle aus Benzylguanidin und Alkylantien zur Therapie Kupplung: Synthese 5.5‘-Verbrückter 1,1‘-Biphenyl-2,2‘-Diphosphane und Deren Einsatz in katalytisch-Asymmetrischen 1,4-Additionen von Arylboronsäuren an Cyclische Enone. Doctoral Thesis, Albert-Ludwigs-Universität Freiburg, Freiburg im Breisgau, Germany, 2019. Available online: https://www.zvab.com/Synthese-cytotoxischer-Hybridmolekule-Benzylguanidin-Alkylantien-Therapie/31007703557/bd (accessed on 11 May 2023).
- Falzon, C.L.; Ackermann, U.; Spratt, N.; Tochon-Danguy, H.J.; White Howells, J.D.; Scott, A.M. F-18 labelled N,N-bis-haloethylamino-phenylsulfoxides–A new class of compounds for the imaging of hypoxic tissue. J. Label. Compd. Radiopharm. Off. J. Int. Isot. Soc. 2006, 49, 1089–1103. [Google Scholar] [CrossRef]
- Chiang, Y.L.; Russak, J.A.; Carrillo, N.; Bode, J.W. Synthesis of Enantiomerically Pure Isoxazolidine Monomers for the Preparation of b3-Oligopeptides by Iterative α-Keto Acid-Hydroxylamine (KAHA) Ligations. Helv. Chim. Acta 2012, 95, 2481–2501. [Google Scholar] [CrossRef]
- Job, G.E.; Buchwald, S.L. Copper-Catalyzed Arylation of β-Amino Alcohols. Org. Lett. 2002, 4, 3703–3706. [Google Scholar] [CrossRef]
- Baker, R.T.; Gordon, J.C.; Hamilton, C.W.; Henson, N.J.; Lin, O.H.; Maguire, S.; Murugesu, M.; Scott, B.L.; Smythe, N.C. Iron Complex-Catalyzed Ammonia–Borane Dehydrogenation. A Potential Route toward B–N-Containing Polymer Motifs Using Earth-Abundant Metal Catalysts. J. Am. Chem. Soc. 2012, 134, 5598–5609. [Google Scholar] [CrossRef]
- Biedler, J.L.; Helson, L.; Spengler, B.A. Morphology and growth, tumorgenicity and cytogenetics of human neuroblastma cells in continuous culture. Cancer Res. 1973, 33, 2643–2652. [Google Scholar]
- Mercatelli, D.; Balboni, N.; Palma, A.; Aleo, E.; Sana, P.P.; Perini, G.; Giorgi, F.M. Single-cell gene network analysis and transcriptional landscape of MYCN-amplified neuroblastoma cell lines. Biomolecules 2021, 11, 177. [Google Scholar] [CrossRef]
- Rudolf, G.; Schilbach-Stückle, K.; Handgretinger, R.; Kaiser, P.; Hameister, H. Cytogenetics and molecular characterization of newly-established neuroblastoma cell line LS. Hum.Genet. 1991, 86, 562–566. [Google Scholar] [CrossRef]
- Abassi, Y.A.; Xi, B.; Zhang, W.; Ye, P.; Kirstein, S.L.; Gaylord, M.R.; Feinstein, S.C.; Wang, X.; Xu, X. Kinetic cell-based morphological screening: Prediction of mechanism of compound action and off-target effects. Chem. Biol. 2009, 16, 712–723. [Google Scholar] [CrossRef]
- Weiland, T.; Berger, A.; Essmann, F.; Lauer, U.M.; Bitzer, M.; Venturelli, S. Kinetic tracking of therapy-induced senescence using the real-time cell analyzer single plate system. Assay Drug Dev. Technol. 2012, 10, 289–295. [Google Scholar] [CrossRef]
- Buck, J.; Bruchelt, G.; Girgert, R.; Treuner, J.; Niethammer, D. Specific uptake of m-125I iodobenzylguanidine in the human neuroblastoma cell line SK-N-SH. Cancer Res. 1985, 45, 6366–6370. [Google Scholar] [PubMed]
- Chabner, B.A.; Roberts, T.G. Chemotherapy and the war on cancer. Nat. Rev. Cancer 2005, 5, 65–72. [Google Scholar] [CrossRef] [PubMed]
- Karati, D.; Mahadik, K.R.; Trivedi, P.; Kumar, D. Alkylating Agents, the Road Less Traversed, Changing Anticancer Therapy. Anticancer Agents Med. Chem. 2022, 8, 1478–1495. [Google Scholar] [CrossRef]
- Gilman, A.; Philips, F.S. The biological actions and therapeutic applications of the β-chloroethyl amines and sulfides. Science 1946, 103, 409–436. [Google Scholar] [CrossRef]
- Goodman, L.S.; Wintrobe, M.M.; Dameshek, W.; Goodman, M.J.; Gilman, A.; McLennan, M.T. Nitrogen mustard therapy; use of methyl-bis (β-chloroethyl) amine hydrochloride and tris (β-chloroethyl) amine hydrochloride for Hodgkin’s disease, lymphosarcoma, leukemia and certain allied and miscellaneous disorders. J. Am. Med. Assoc. 1946, 132, 126–132. [Google Scholar] [CrossRef]
- Jacobson, L.O.; Spurr, C.L.; Barron, E.S.G.; Smith, T.; Lushbaugh, C.; Dick, C.F. Nitrogen mustard therapy. J. Am. Med. Assoc. 1946, 13, 2263–2271. [Google Scholar] [CrossRef]
- Gilman, A. The initial clinical trial of nitrogen mustard. Am. J. Surg. 1963, 105, 574–578. [Google Scholar] [CrossRef] [PubMed]
- Diethelm-Varela, B.; Ai, Y.; Liang, D.; Xue, F. Nitrogen Mustards as Anticancer Chemotherapies: Historic Perspective, Current Developments and Future Trends. Curr. Top. Med. Chem. 2019, 19, 691–712. [Google Scholar] [CrossRef]
- More, G.S.; Thomas, A.B.; Chitlange, S.S.; Nanda, R.K.; Gajbhiye, R.L. Nitrogen Mustards as Alkylating Agents: A Review on Chemistry, Mechanism of Action and Current USFDA Status of Drugs. Anticancer. Agents Med. Chem. 2019, 19, 1080–1102. [Google Scholar] [CrossRef]
- Chen, Y.; Jia, Y.; Song, W.; Zhang, L. Therapeutic potential of nitrogen mustard based hybrid molecules. Front. Pharmacol. 2018, 9, 1453–1464. [Google Scholar] [CrossRef] [PubMed]
- Singh, R.K.; Kumar, S.; Prasad, D.N.; Bhardwaj, T.R. Therapeutic journey of nitrogen mustard as alkylating anticancer agents: Historic to future perspectives. Eur. J. Med. Chem. 2018, 151, 401–433. [Google Scholar] [CrossRef] [PubMed]
- Deka, B.C.; Bhattacharyya, P.K. Nitrogen Mustards: The Novel DNA Alkylator. Clin. Cancer Drugs 2017, 4, 10–46. [Google Scholar] [CrossRef]
- Gao, X.; Li, J.; Wang, M.; Xu, S.; Liu, W.; Zag, L.; Li, Z.; Hua, H.; Xu, J.; Li, D. Novel enmein-type diterpenoid hybrids coupled with nitrogen mustards: Synthesis of promising candidates for anticancer therapeutics. Eur. J. Med. Chem. 2018, 146, 588–598. [Google Scholar] [CrossRef]
- Sun, J.; Wang, J.; Wang, X.; Hu, X.; Cao, H.; Bai, J.; Li, D.; Hua, H. Design and synthesis of b-carboline derivatives with nitrogen mustard moieties against breast cancer. Bioorg. Med. Chem. 2021, 45, 116341. [Google Scholar] [CrossRef]
- Antoni, F.; Bernhardt, G. Derivatives of nitrogen mustard anticancer agents with improved cytotoxicity. Arch. Pharm. 2021, 354, e2000366. [Google Scholar] [CrossRef]
- Cheptea, C.; Sunel, V.; Morosanu, A.C.; Dimitriu, D.G.; Dulcescu-Oprea, M.M.; Angheluta, M.D.; Miron, M.; Nechifor, C.D.; Dorohoi, D.O.; Malancus, R.N. Optimized Synthesis of New N-Mustards Based on 2-Mercaptobenzoxazole Derivatives with Antitumor Activity. Biomedicines 2021, 9, 476. [Google Scholar] [CrossRef]
- Zhang, J.; Wang, W.; Tian, Y.; Ma, L.; Zhou, L.; Sun, H.; Ma, Y.; Hou, H.; Wang, X.; Ye, J.; et al. Design, synthesis and biological evaluation of novel diosgenin-benzoic acid mustard hybrids with potential anti-proliferative activities in human hepatoma HepG2 cells. J. Enzyme Inhib. Med. Chem. 2022, 37, 1299–1314. [Google Scholar] [CrossRef] [PubMed]
- Sun, J.; Mu, J.; Wang, S.; Jia, C.; Li, D.; Hua, H.; Cao, H. Design and synthesis of chromone-nitrogen mustard derivatives and evaluation of anti-breast cancer activity. J. Enz. Inhib. Med. Chem. 2022, 37, 437–450. [Google Scholar] [CrossRef] [PubMed]
- Granger, M.; Naranjo, A.; Bagatell, R.; DuBois, S.G.; McCune, J.S.; Tenney, S.C.; Hogarty, M.D.; Mills, D.; Panoff, J.E.; Chang, J.H.-H.; et al. Myeloablative Buslfan/Melphalan(BuMel) consolidation following induction chemotherapy for patients with newly diagnosed high-risk neuroblastoma: Children’s Oncology Group (COG) trial ANBL12P1. Transplant. Cell. Ther. 2021, 27, e1–e490. [Google Scholar] [CrossRef] [PubMed]
- Bayer, M.; Schmitt, J.; Dittmann, H.; Handgretinger, R.; Bruchelt, G.; Sauter, A.W. Improved selectivity of mIBG uptake into neuroblastoma cells in vitro and in vivo by inhibition of organic cationic transporter 3 uptake using clinically approved corticosteroids. Nuc. Med. Biol. 2016, 43, 543–551. [Google Scholar] [CrossRef]
- Osborne, M.R.; Lawley, P.D. Alkylation of DNA by melphalan with special reference to adenine derivatives and adenine-guanine-cross-linking. Chem. Biol. Interact. 1993, 89, 49–60. [Google Scholar] [CrossRef] [PubMed]
- Hansson, J.; Lewensohn, R.; Ringborg, U.; Nilsson, B. Formation and removal of DNA cross-links induced by melphalan and nitrogen mustard in relation to drug-induced cytotoxicity in human melanoma cells. Cancer Res. 1987, 47, 2631–2637. [Google Scholar] [PubMed]
- Chen, W.; Han, Y.; Peng, X. Aromatic nitrogen mustard-based prodrugs: Activity, selectivity, and the mechanism of DNA cross-linking. Chem. Eur. J. 2014, 20, 7410–7418. [Google Scholar] [CrossRef] [PubMed]










| Compound | Stability After 1 h of Incubation at +37 °C | Stability After 5 h of Incubation at +37 °C |
|---|---|---|
| mMBG·TFA | 79% | unstable |
| pMBG·TFA | 87% | 70% |
| mM*BG·TFA | >98% | 92% |
| pM*BG·TFA | >98% | 92% |
Disclaimer/Publisher’s Note: The statements, opinions and data contained in all publications are solely those of the individual author(s) and contributor(s) and not of MDPI and/or the editor(s). MDPI and/or the editor(s) disclaim responsibility for any injury to people or property resulting from any ideas, methods, instructions or products referred to in the content. |
© 2023 by the authors. Licensee MDPI, Basel, Switzerland. This article is an open access article distributed under the terms and conditions of the Creative Commons Attribution (CC BY) license (https://creativecommons.org/licenses/by/4.0/).
Share and Cite
Bruchelt, G.; Klose, C.; Lischka, M.; Brandes, M.; Handgretinger, R.; Brueckner, R. Hybrid Molecules of Benzylguanidine and the Alkylating Group of Melphalan: Synthesis and Effects on Neuroblastoma Cells. J. Clin. Med. 2023, 12, 4469. https://doi.org/10.3390/jcm12134469
Bruchelt G, Klose C, Lischka M, Brandes M, Handgretinger R, Brueckner R. Hybrid Molecules of Benzylguanidine and the Alkylating Group of Melphalan: Synthesis and Effects on Neuroblastoma Cells. Journal of Clinical Medicine. 2023; 12(13):4469. https://doi.org/10.3390/jcm12134469
Chicago/Turabian StyleBruchelt, Gernot, Chihab Klose, Matthias Lischka, Marietta Brandes, Rupert Handgretinger, and Reinhard Brueckner. 2023. "Hybrid Molecules of Benzylguanidine and the Alkylating Group of Melphalan: Synthesis and Effects on Neuroblastoma Cells" Journal of Clinical Medicine 12, no. 13: 4469. https://doi.org/10.3390/jcm12134469
APA StyleBruchelt, G., Klose, C., Lischka, M., Brandes, M., Handgretinger, R., & Brueckner, R. (2023). Hybrid Molecules of Benzylguanidine and the Alkylating Group of Melphalan: Synthesis and Effects on Neuroblastoma Cells. Journal of Clinical Medicine, 12(13), 4469. https://doi.org/10.3390/jcm12134469
