Efficacy of a Third-Generation High-Vision Ultrathin Endoscope for Evaluating Gastric Atrophy and Intestinal Metaplasia in Helicobacter pylori-Eradicated Patients
Abstract
1. Introduction
2. Materials and Methods
2.1. Study Design and Patients
2.2. Endoscopy and Severity of Gastritis
2.3. Measurement of Colors
2.4. Statistical Analysis
3. Results
3.1. Patient Characteristics
3.2. Severity of Gastritis Assessed Using WLI on GIF-290N and GIF-1200N Endoscopes
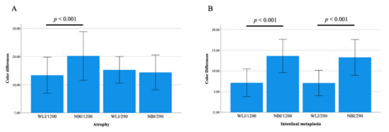
3.3. Color Differences in Endoscopic Atrophy and Intestinal Metaplasia on GIF-290N and GIF-1200N Endoscopes
4. Discussion
4.1. Efficacy of Third-Generation High-Vision Ultrathin Endoscope for Detecting Gastric Cancer Risk
4.2. NBI Using Ultrathin Endoscopy for Identifying Patients at High Risk of Gastric Cancer
4.3. Limitations
5. Conclusions
Author Contributions
Funding
Institutional Review Board Statement
Informed Consent Statement
Data Availability Statement
Acknowledgments
Conflicts of Interest
References
- Kamada, T.; Haruma, K.; Inoue, K.; Shiotani, A. Helicobacter pylori infection and endoscopic gastritis-Kyoto classification of gastritis. Nihon Shokakibyo Gakkai Zasshi 2015, 112, 982–993. [Google Scholar] [CrossRef] [PubMed]
- Sugimoto, M.; Ban, H.; Ichikawa, H.; Sahara, S.; Otsuka, T.; Inatomi, O.; Bamba, S.; Furuta, T.; Andoh, A. Efficacy of the Kyoto Classification of Gastritis in Identifying Patients at High Risk for Gastric Cancer. Intern. Med. 2017, 56, 579–586. [Google Scholar] [CrossRef] [PubMed]
- Uemura, N.; Okamoto, S.; Yamamoto, S.; Matsumura, N.; Yamaguchi, S.; Yamakido, M.; Taniyama, K.; Sasaki, N.; Schlemper, R.J. Helicobacter pylori infection and the development of gastric cancer. N. Engl. J. Med. 2001, 345, 784–789. [Google Scholar] [CrossRef] [PubMed]
- Graham, D.Y. Helicobacter pylori infection in the pathogenesis of duodenal ulcer and gastric cancer: A model. Gastroenterology 1997, 113, 1983–1991. [Google Scholar] [CrossRef]
- Yao, K.; Uedo, N.; Kamada, T.; Hirasawa, T.; Nagahama, T.; Yoshinaga, S.; Oka, M.; Inoue, K.; Mabe, K.; Yao, T.; et al. Guidelines for endoscopic diagnosis of early gastric cancer. Dig. Endosc. 2020, 32, 663–698. [Google Scholar] [CrossRef]
- Dohi, O.; Yagi, N.; Naito, Y.; Fukui, A.; Gen, Y.; Iwai, N.; Ueda, T.; Yoshida, N.; Kamada, K.; Uchiyama, K.; et al. Blue laser imaging-bright improves the real-time detection rate of early gastric cancer: A randomized controlled study. Gastrointest. Endosc. 2019, 89, 47–57. [Google Scholar] [CrossRef]
- Majima, A.; Dohi, O.; Takayama, S.; Hirose, R.; Inoue, K.; Yoshida, N.; Kamada, K.; Uchiyama, K.; Ishikawa, T.; Takagi, T.; et al. Linked color imaging identifies important risk factors associated with gastric cancer after successful eradication of Helicobacter pylori. Gastrointest. Endosc. 2019, 90, 763–769. [Google Scholar] [CrossRef]
- Ono, S.; Kato, M.; Tsuda, M.; Miyamoto, S.; Abiko, S.; Shimizu, Y.; Sakamoto, N. Lavender Color in Linked Color Imaging Enables Noninvasive Detection of Gastric Intestinal Metaplasia. Digestion 2018, 98, 222–230. [Google Scholar] [CrossRef]
- Ono, S.; Kawada, K.; Dohi, O.; Kitamura, S.; Koike, T.; Hori, S.; Kanzaki, H.; Murao, T.; Yagi, N.; Sasaki, F.; et al. Linked Color Imaging Focused on Neoplasm Detection in the Upper Gastrointestinal Tract: A Randomized Trial. Ann. Intern. Med. 2021, 174, 18–24. [Google Scholar] [CrossRef]
- Mizukami, K.; Ogawa, R.; Okamoto, K.; Shuto, M.; Fukuda, K.; Sonoda, A.; Matsunari, O.; Hirashita, Y.; Okimoto, T.; Kodama, M.; et al. Objective Endoscopic Analysis with Linked Color Imaging regarding Gastric Mucosal Atrophy: A Pilot Study. Gastroenterol. Res. Pract. 2017, 2017, 5054237. [Google Scholar] [CrossRef]
- Kawai, T.; Yanagizawa, K.; Naito, S.; Sugimoto, H.; Fukuzawa, M.; Gotoda, T.; Matsubayashi, J.; Nagao, T.; Hoshino, S.; Tsuchida, A.; et al. Evaluation of gastric cancer diagnosis using new ultrathin transnasal endoscopy with narrow-band imaging: Preliminary study. J. Gastroenterol. Hepatol. 2014, 29 (Suppl. 4), 33–36. [Google Scholar] [CrossRef]
- Toyoizumi, H.; Kaise, M.; Arakawa, H.; Yonezawa, J.; Yoshida, Y.; Kato, M.; Yoshimura, N.; Goda, K.; Tajiri, H. Ultrathin endoscopy versus high-resolution endoscopy for diagnosing superficial gastric neoplasia. Gastrointest. Endosc. 2009, 70, 240–245. [Google Scholar] [CrossRef]
- Kawai, Y.; Kawai, T.; Hamada, M.; Iwata, E.; Niikura, R.; Nagata, N.; Yanagisawa, K.; Sugimoto, M.; Yamagishi, T. Examination of endoscopic findings in the diagnosis of early gastric cancer associated with the evolution of transnasal endoscope. Japanese association for cancer detection and diagnosis. Jpn. Assoc. Cancer Detect. Diagn. 2022, 29, 178–184. (In Japanese) [Google Scholar]
- Ono, S.; Shimoda, Y.; Tanaka, I.; Kinowaki, S.; Inoue, M.; Ono, M.; Yamamoto, K.; Shimizu, Y.; Sakamoto, N. Optical effect of spraying l-menthol on gastric intestinal metaplasia visualized by linked color imaging. Eur. J. Gastroenterol. Hepatol. 2021, 33, 358–363. [Google Scholar] [CrossRef]
- Kawai, Y.; Sugimoto, M.; Hamada, M.; Iwata, E.; Niikura, R.; Nagata, N.; Fukuzawa, M.; Itoi, T.; Kawai, T. Linked color imaging effectively detects the endoscopic atrophic border in transnasal endoscopy. J. Clin. Biochem. Nutr. 2022, in press. [Google Scholar] [CrossRef]
- Kimura, K.; Takemoto, T. An Endoscopic Recognition of the Atrophic Border and its Significance in Chronic Gastritis. Endoscopy 1969, 1, 87–97. [Google Scholar] [CrossRef]
- Dixon, M.F.; Genta, R.M.; Yardley, J.H.; Correa, P. Classification and grading of gastritis. The updated Sydney System. International Workshop on the Histopathology of Gastritis, Houston 1994. Am. J. Surg. Pathol. 1996, 20, 1161–1181. [Google Scholar] [CrossRef]
- Rugge, M.; Correa, P.; Di Mario, F.; El-Omar, E.; Fiocca, R.; Geboes, K.; Genta, R.M.; Graham, D.Y.; Hattori, T.; Malfertheiner, P.; et al. OLGA staging for gastritis: A tutorial. Dig. Liver. Dis. 2008, 40, 650–658. [Google Scholar] [CrossRef]
- Rugge, M.; Meggio, A.; Pennelli, G.; Piscioli, F.; Giacomelli, L.; De Pretis, G.; Graham, D.Y. Gastritis staging in clinical practice: The OLGA staging system. Gut 2007, 56, 631–636. [Google Scholar] [CrossRef]
- Kuehni, R.G. Color-tolerance data and the tentative CIE 1976 L a b formula. J. Opt. Soc. Am. 1976, 66, 497–500. [Google Scholar] [CrossRef]
- Sato, Y.; Sagawa, T.; Hirakawa, M.; Ohnuma, H.; Osuga, T.; Okagawa, Y.; Tamura, F.; Horiguchi, H.; Takada, K.; Hayashi, T.; et al. Clinical utility of capsule endoscopy with flexible spectral imaging color enhancement for diagnosis of small bowel lesions. Endosc. Int. Open 2014, 2, E80–E87. [Google Scholar] [CrossRef] [PubMed][Green Version]
- Garcia, R.T.; Cello, J.P.; Nguyen, M.H.; Rogers, S.J.; Rodas, A.; Trinh, H.N.; Stollman, N.H.; Schlueck, G.; McQuaid, K.R. Unsedated ultrathin EGD is well accepted when compared with conventional sedated EGD: A multicenter randomized trial. Gastroenterology 2003, 125, 1606–1612. [Google Scholar] [CrossRef] [PubMed]
- Tatsumi, Y.; Harada, A.; Matsumoto, T.; Tani, T.; Nishida, H. Feasibility and tolerance of 2-way and 4-way angulation videoscopes for unsedated patients undergoing transnasal EGD in GI cancer screening. Gastrointest. Endosc. 2008, 67, 1021–1027. [Google Scholar] [CrossRef] [PubMed]
- Dumortier, J.; Josso, C.; Roman, S.; Fumex, F.; Lepilliez, V.; Prost, B.; Lot, M.; Guillaud, O.; Petit-Laurent, F.; Lapalus, M.G.; et al. Prospective evaluation of a new ultrathin one-plane bending videoendoscope for transnasal EGD: A comparative study on performance and tolerance. Gastrointest. Endosc. 2007, 66, 13–19. [Google Scholar] [CrossRef]
- Parker, C.; Alexandridis, E.; Plevris, J.; O’Hara, J.; Panter, S. Transnasal endoscopy: No gagging no panic! Frontline Gastroenterol. 2016, 7, 246–256. [Google Scholar] [CrossRef]
- Bray, F.; Ferlay, J.; Soerjomataram, I.; Siegel, R.L.; Torre, L.A.; Jemal, A. Global cancer statistics 2018: GLOBOCAN estimates of incidence and mortality worldwide for 36 cancers in 185 countries. CA Cancer J. Clin. 2018, 68, 394–424. [Google Scholar] [CrossRef]
- Sugimoto, M.; Murata, M.; Yamaoka, Y. Chemoprevention of gastric cancer development after Helicobacter pylori eradication therapy in an East Asian population: Meta-analysis. World J. Gastroenterol. 2020, 26, 1820–1840. [Google Scholar] [CrossRef]
- Nakajima, T.; Oda, I.; Gotoda, T.; Hamanaka, H.; Eguchi, T.; Yokoi, C.; Saito, D. Metachronous gastric cancers after endoscopic resection: How effective is annual endoscopic surveillance? Gastric Cancer 2006, 9, 93–98. [Google Scholar] [CrossRef]
- Asada-Hirayama, I.; Kodashima, S.; Sakaguchi, Y.; Ono, S.; Niimi, K.; Mochizuki, S.; Tsuji, Y.; Minatsuki, C.; Shichijo, S.; Matsuzaka, K.; et al. Magnifying endoscopy with narrow-band imaging is more accurate for determination of horizontal extent of early gastric cancers than chromoendoscopy. Endosc. Int. Open 2016, 4, E690–E698. [Google Scholar] [CrossRef]
- Nagahama, T.; Yao, K.; Maki, S.; Yasaka, M.; Takaki, Y.; Matsui, T.; Tanabe, H.; Iwashita, A.; Ota, A. Usefulness of magnifying endoscopy with narrow-band imaging for determining the horizontal extent of early gastric cancer when there is an unclear margin by chromoendoscopy (with video). Gastrointest. Endosc. 2011, 74, 1259–1267. [Google Scholar] [CrossRef]
- Yoshida, N.; Doyama, H.; Yano, T.; Horimatsu, T.; Uedo, N.; Yamamoto, Y.; Kakushima, N.; Kanzaki, H.; Hori, S.; Yao, K.; et al. Early gastric cancer detection in high-risk patients: A multicentre randomised controlled trial on the effect of second-generation narrow band imaging. Gut 2021, 70, 67–75. [Google Scholar] [CrossRef]
- Muto, M.; Minashi, K.; Yano, T.; Saito, Y.; Oda, I.; Nonaka, S.; Omori, T.; Sugiura, H.; Goda, K.; Kaise, M.; et al. Early detection of superficial squamous cell carcinoma in the head and neck region and esophagus by narrow band imaging: A multicenter randomized controlled trial. J. Clin. Oncol. 2010, 28, 1566–1572. [Google Scholar] [CrossRef]
- Yao, K.; Anagnostopoulos, G.K.; Ragunath, K. Magnifying endoscopy for diagnosing and delineating early gastric cancer. Endoscopy 2009, 41, 462–467. [Google Scholar] [CrossRef]
- Pimentel-Nunes, P.; Libanio, D.; Marcos-Pinto, R.; Areia, M.; Leja, M.; Esposito, G.; Garrido, M.; Kikuste, I.; Megraud, F.; Matysiak-Budnik, T.; et al. Management of epithelial precancerous conditions and lesions in the stomach (MAPS II): European Society of Gastrointestinal Endoscopy (ESGE), European Helicobacter and Microbiota Study Group (EHMSG), European Society of Pathology (ESP), and Sociedade Portuguesa de Endoscopia Digestiva (SPED) guideline update 2019. Endoscopy 2019, 51, 365–388. [Google Scholar] [CrossRef]
- Kodama, M.; Murakami, K.; Okimoto, T.; Sato, R.; Uchida, M.; Abe, T.; Shiota, S.; Nakagawa, Y.; Mizukami, K.; Fujioka, T. Ten-year prospective follow-up of histological changes at five points on the gastric mucosa as recommended by the updated Sydney system after Helicobacter pylori eradication. J. Gastroenterol. 2012, 47, 394–403. [Google Scholar] [CrossRef]
- Kodama, M.; Okimoto, T.; Mizukami, K.; Hirashita, Y.; Wada, Y.; Fukuda, M.; Matsunari, O.; Okamoto, K.; Ogawa, R.; Fukuda, K.; et al. Gastric mucosal changes, and sex differences therein, after Helicobacter pylori eradication: A long-term prospective follow-up study. J. Gastroenterol. Hepatol. 2021, 36, 2210–2216. [Google Scholar] [CrossRef]


| All Patients (n = 50) | |
|---|---|
| Age (years ± SD) | 74.3 ± 6.6 |
| Sex [male, n (%)] | 27 (54.0%) |
| Height (cm ± SD) | 160.8 ± 8.7 |
| Body weight (kg ± SD) | 58.8 ± 9.7 |
| H. pylori infection, Negative/Current/Eradicated [n/n/n] | 0/0/50 |
| Smoking, Never/Current/Past [n/n/n] | 32/1/17 |
| Alcohol [n (%)] | 32 (64.0%) |
| Diseases | |
| Peptic ulcer [n (%)] | 5 (10.0%) |
| Gastric cancer [n (%)] | 3 (6.0%) |
| Cancer (others) [n (%)] | 12 (24.0%) |
| Hyperlipidemia [n (%)] | 17 (34.0%) |
| Hypertension [n (%)] | 28 (56.0%) |
| Diabetes mellitus [n (%)] | 7 (14.0%) |
| Drugs | |
| Proton pump inhibitor [n (%)] | 16 (32.0%) |
| NSAID [n (%)] | 0 (0%) |
| Antihypertensive drug [n (%)] | 32 (64.0%) |
| Antihyperlipidemic drug [n (%)] | 20 (40.0%) |
| Antiplatelet drug [n (%)] | 16 (32.0%) |
| Anticoagulant [n (%)] | 4 (8.0%) |
| Antidiabetic drug [n (%)] | 9 (18.0%) |
| Bisphosphonate [n (%)] | 2 (4.0%) |
| Mean duration from 1st to 2nd endoscopies (months ± SD) | 35.5 ± 19.8 |
| Category/Characteristic | GIF-1200N Endoscope (WLI) | GIF-290N Endoscope (WLI) | p-Value | |
|---|---|---|---|---|
| Kimura–Takemoto classification | ||||
| Atrophy | C-O–C-II | 9 (18.0%) | 8 (16.0%) | 0.240 |
| C-III–O-I | 29 (58.0%) | 36 (72.0%) | ||
| O-II–O-III | 12 (24.0%) | 6 (12.0%) | ||
| Kyoto classification of gastritis | ||||
| Atrophy | A0 | 2 (4.0%) | 0 (0%) | 0.420 |
| A1 | 13 (26.0%) | 16 (16.7%) | ||
| A2 | 35 (70.0%) | 34 (66.7%) | ||
| Intestinal metaplasia | IM0 | 15 (30.0%) | 11 (22.0%) | 0.662 |
| IM1 | 12 (24.0%) | 15 (30.0%) | ||
| IM2 | 23 (46.0%) | 24 (48.0%) | ||
| Enlarged folds | H0 | 49 (98.0%) | 50 (100%) | 1 |
| H1 | 1 (2.0%) | 0 (0%) | ||
| Nodular gastritis | N0 | 50 (100%) | 50 (100%) | 1 |
| N1 | 0 (0%) | 0 (0%) | ||
| Diffuse redness | DR0 | 46 (92.0%) | 46 (92.0%) | 1 |
| DR1 | 4 (8.0%) | 4 (8.0%) | ||
| DR2 | 0 (0%) | 0 (0%) |
| Endoscopic Characteristic | GIF-1200N Endoscope | GIF-290N Endoscope | p-Value |
|---|---|---|---|
| Atrophy | 1.66 ± 0.56 | 1.68 ± 0.47 | 0.709 |
| Intestinal metaplasia | 1.16 ± 0.87 | 1.26 ± 0.80 | 0.168 |
| Enlarged folds | 0.02 ± 0.14 | 0.00 ± 0.00 | 0.322 |
| Nodular gastritis | 0.00 ± 0.00 | 0.00 ± 0.00 | |
| Diffuse redness | 0.08 ± 0.27 | 0.08 ± 0.33 | 1.000 |
| Total score | 2.94 ± 1.641 | 3.12 ± 1.29 | 0.060 |
| Finding | GIF-1200N Endoscope | GIF-290N Endoscope | GIF-1200N Endoscope | GIF-290N Endoscope | |||
|---|---|---|---|---|---|---|---|
| WLI | WLI | p-Value | NBI | NBI | p-Value | ||
| Atrophy | ΔL* | 5.8 ± 11.0 | 5.7 ± 7.9 | 0.954 | 12.3 ± 13.0 | 5.6 ± 11.5 | 0.030 |
| Δa* | −6.0 ± 4.7 | −8.8 ± 7.3 | 0.015 | −1.6 ± 10.3 | 5.5 ± 6.5 | 0.002 | |
| Δb* | −0.6 ± 3.0 | −2.4 ± 4.1 | 0.012 | 2.0 ± 3.7 | 2.3 ± 2.9 | 0.733 | |
| ΔE* | 13.4 ± 6.4 | 15.0 ± 4.8 | 0.133 | 19.2 ± 8.5 | 14.4 ± 6.2 | 0.001 | |
| Intestinal metaplasia | ΔL* | 2.2 ± 4.7 | 3.3 ± 4.9 | 0.034 | 5.0 ± 6.7 | 3.0 ± 8.5 | 0.388 |
| Δa* | −0.6 ± 5.3 | −2.5 ± 6.0 | 0.076 | −9.3 ± 5.8 | −9.0 ± 5.0 | 0.819 | |
| Δb* | −0.5 ± 2.7 | −1.7 ± 3.3 | 0.043 | −2.3 ± 3.6 | −2.9 ± 2.0 | 0.415 | |
| ΔE* | 7.1 ± 3.3 | 6.9 ± 3.1 | 0.738 | 13.7 ± 4.2 | 13.3 ± 4.4 | 0.760 |
Publisher’s Note: MDPI stays neutral with regard to jurisdictional claims in published maps and institutional affiliations. |
© 2022 by the authors. Licensee MDPI, Basel, Switzerland. This article is an open access article distributed under the terms and conditions of the Creative Commons Attribution (CC BY) license (https://creativecommons.org/licenses/by/4.0/).
Share and Cite
Uematsu, J.; Sugimoto, M.; Hamada, M.; Iwata, E.; Niikura, R.; Nagata, N.; Fukuzawa, M.; Itoi, T.; Kawai, T. Efficacy of a Third-Generation High-Vision Ultrathin Endoscope for Evaluating Gastric Atrophy and Intestinal Metaplasia in Helicobacter pylori-Eradicated Patients. J. Clin. Med. 2022, 11, 2198. https://doi.org/10.3390/jcm11082198
Uematsu J, Sugimoto M, Hamada M, Iwata E, Niikura R, Nagata N, Fukuzawa M, Itoi T, Kawai T. Efficacy of a Third-Generation High-Vision Ultrathin Endoscope for Evaluating Gastric Atrophy and Intestinal Metaplasia in Helicobacter pylori-Eradicated Patients. Journal of Clinical Medicine. 2022; 11(8):2198. https://doi.org/10.3390/jcm11082198
Chicago/Turabian StyleUematsu, Junichi, Mitsushige Sugimoto, Mariko Hamada, Eri Iwata, Ryota Niikura, Naoyoshi Nagata, Masakatsu Fukuzawa, Takao Itoi, and Takashi Kawai. 2022. "Efficacy of a Third-Generation High-Vision Ultrathin Endoscope for Evaluating Gastric Atrophy and Intestinal Metaplasia in Helicobacter pylori-Eradicated Patients" Journal of Clinical Medicine 11, no. 8: 2198. https://doi.org/10.3390/jcm11082198
APA StyleUematsu, J., Sugimoto, M., Hamada, M., Iwata, E., Niikura, R., Nagata, N., Fukuzawa, M., Itoi, T., & Kawai, T. (2022). Efficacy of a Third-Generation High-Vision Ultrathin Endoscope for Evaluating Gastric Atrophy and Intestinal Metaplasia in Helicobacter pylori-Eradicated Patients. Journal of Clinical Medicine, 11(8), 2198. https://doi.org/10.3390/jcm11082198

