Reference Values for the Rivermead Post-Concussion Symptoms Questionnaire (RPQ) from General Population Samples in the United Kingdom, Italy, and The Netherlands
Abstract
:1. Introduction
- To investigate the applicability of the RPQ in general population samples from the United Kingdom (English sample), the Netherlands (Dutch sample), and Italy (Italian sample);
- To provide reference values for these three countries in order to increase reliability and validity of outcome assessments, thereby strengthening the psychometric properties of the RPQ.
2. Materials and Methods
2.1. General Population Samples
2.1.1. Data Collection
2.1.2. Informed Consent
2.1.3. Ethical Approval
2.2. TBI Samples
2.2.1. Data Collection
2.2.2. Informed Consent
2.2.3. Ethical Approval
2.3. Sample Characteristics
2.4. The Rivermead Post-Concussion Symptoms Questionnaire
2.5. Statistical Analyses
2.5.1. Descriptive Statistics and Psychometric Properties of the RPQ in General Population Samples
2.5.2. Factorial Structure of the RPQ in General Population Samples
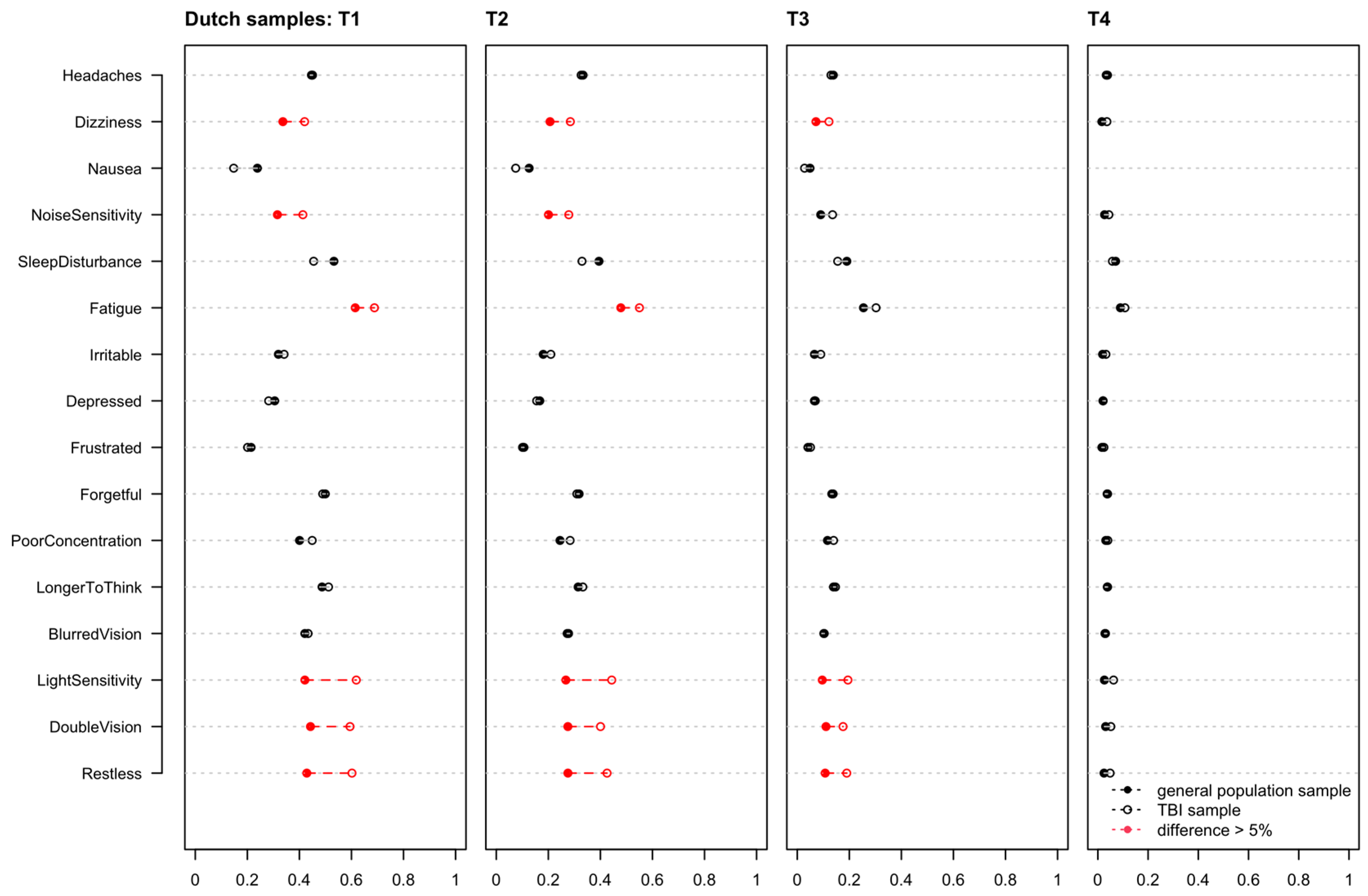
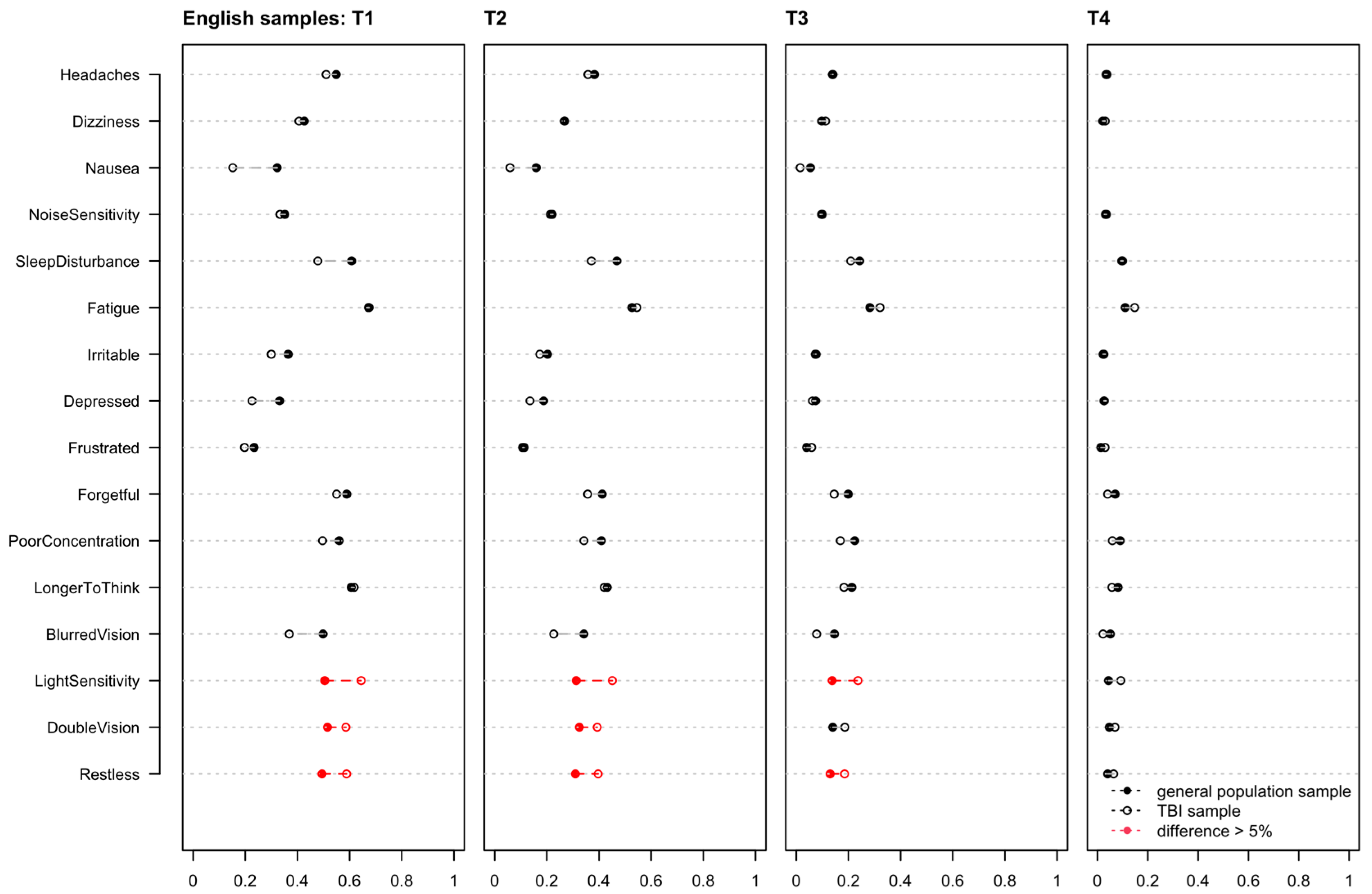
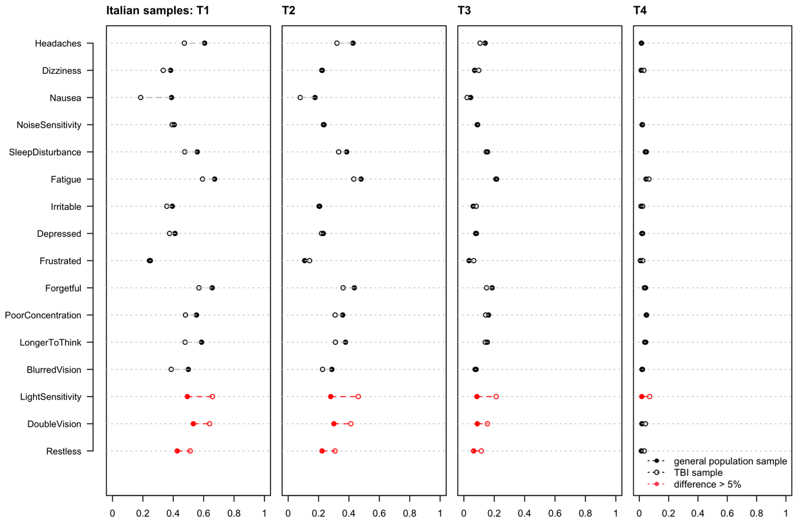
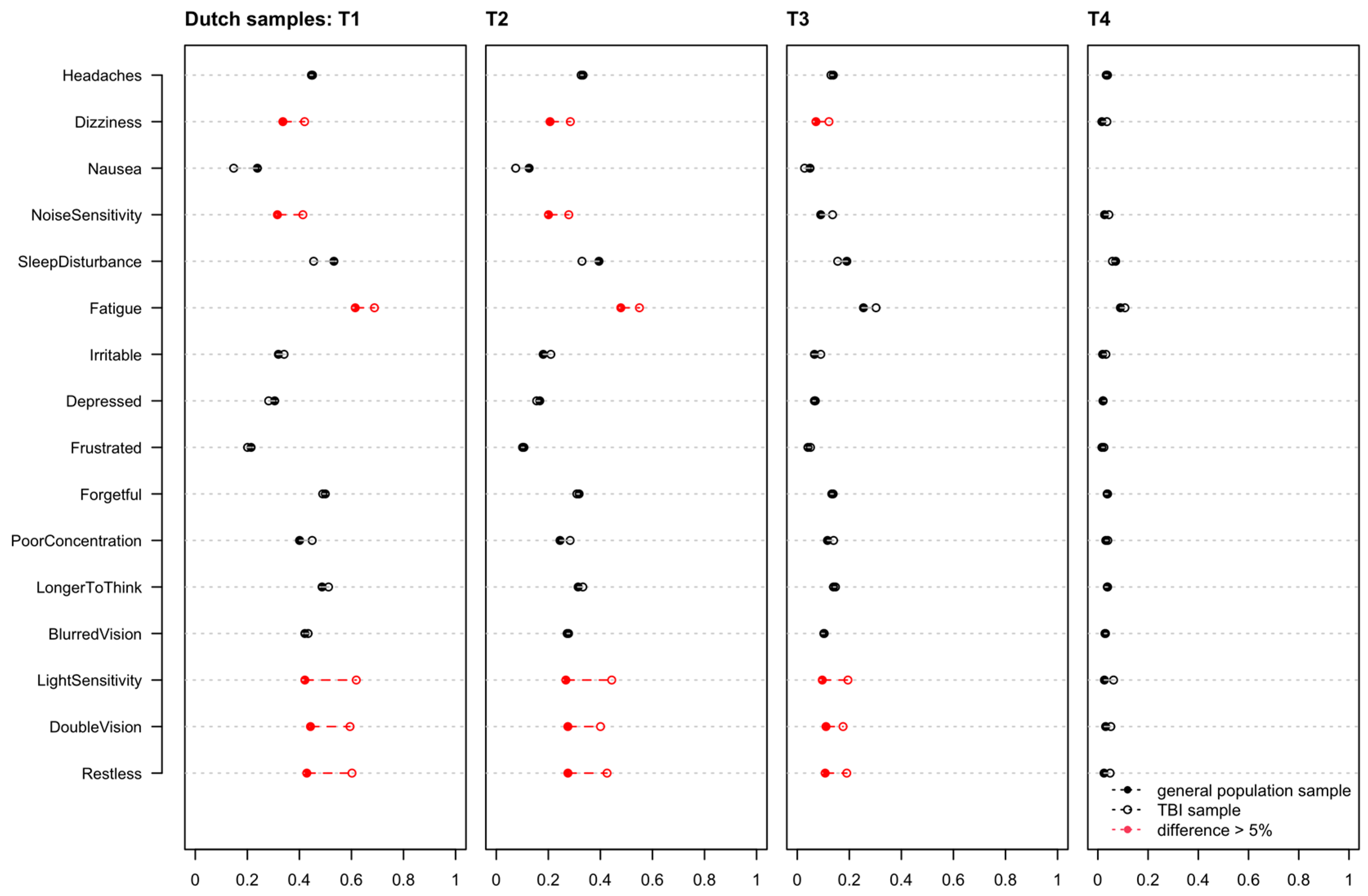
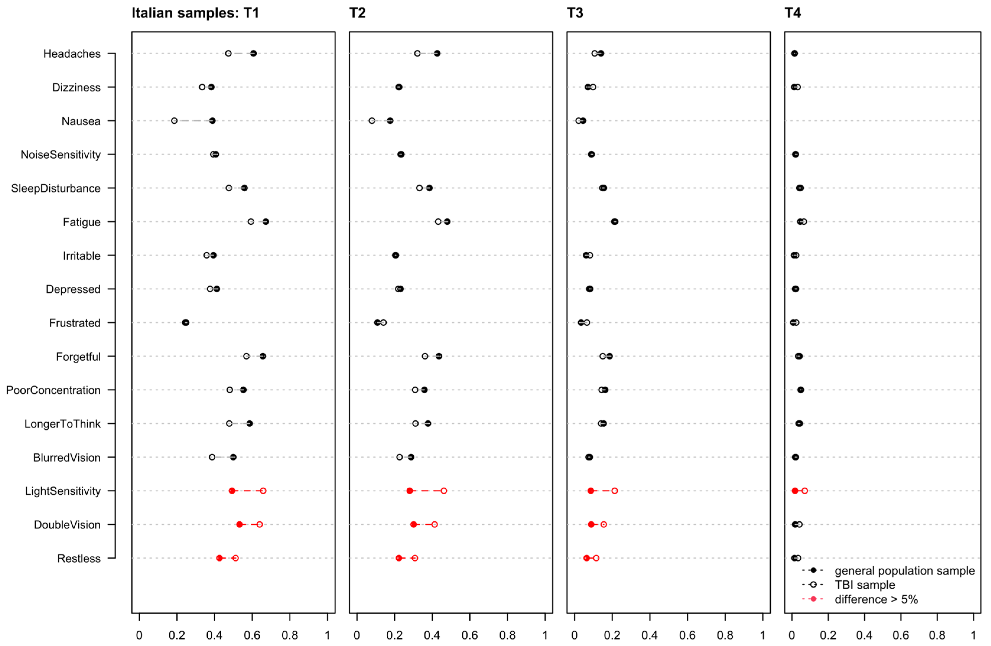
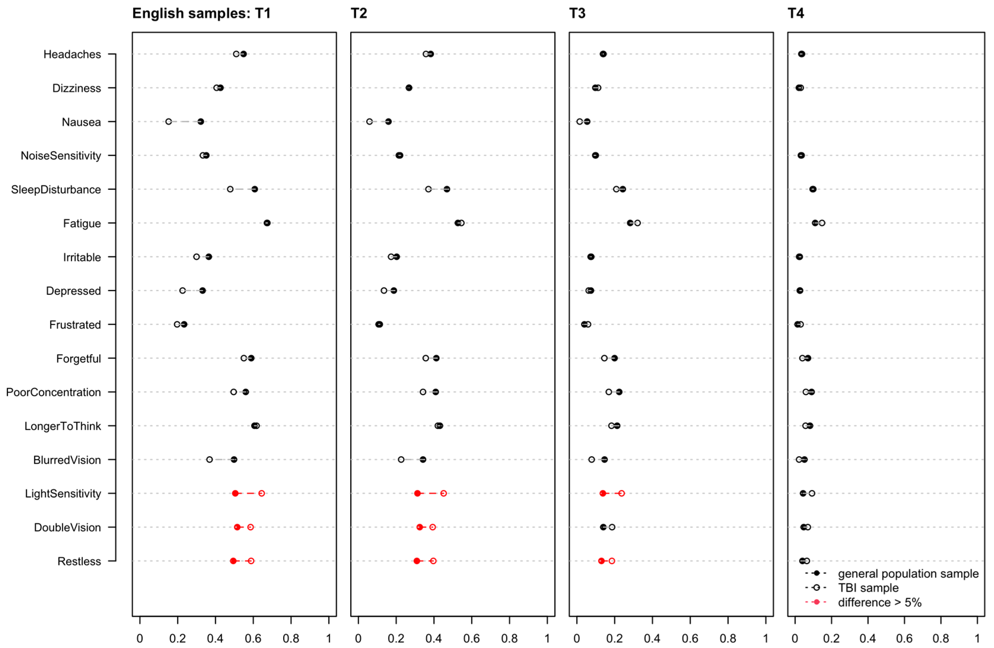
2.5.3. Comparability of the RPQ Scores in General Population and TBI Samples
2.5.4. Reference Values
3. Results
3.1. Sample Characteristics
3.2. Item Characteristics and Psychometric Properties of the RPQ in the General Population Samples
3.3. Factorial Structure of the RPQ in the General Population Samples
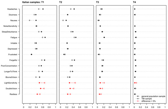
3.4. Measurement Invariance
3.5. Regression Analyses
3.6. Reference Values
4. Discussion
Strengths and Limitations
5. Conclusions
Supplementary Materials
Author Contributions
Funding
Institutional Review Board Statement
Informed Consent Statement
Data Availability Statement
Acknowledgments
Conflicts of Interest
Appendix A
| Item | Response Category | English | Italian | Dutch | Total |
|---|---|---|---|---|---|
| (N = 4646) | (N = 3549) | (N = 3564) | (N = 11,759) | ||
| Headaches | 0 | 2094 (45.1%) | 1399 (39.4%) | 1963 (55.1%) | 5456 (46.4%) |
| 1 | 764 (16.4%) | 625 (17.6%) | 381 (10.7%) | 1770 (15.1%) | |
| 2 | 1137 (24.5%) | 1033 (29.1%) | 736 (20.7%) | 2906 (24.7%) | |
| 3 | 499 (10.7%) | 442 (12.5%) | 360 (10.1%) | 1301 (11.1%) | |
| 4 | 152 (3.3%) | 50 (1.4%) | 124 (3.5%) | 326 (2.8%) | |
| Feeling of Dizziness | 0 | 2661 (57.3%) | 2200 (62.0%) | 2374 (66.6%) | 7235 (61.5%) |
| 1 | 741 (15.9%) | 553 (15.6%) | 445 (12.5%) | 1739 (14.8%) | |
| 2 | 792 (17.0%) | 540 (15.2%) | 487 (13.7%) | 1819 (15.5%) | |
| 3 | 356 (7.7%) | 211 (5.9%) | 203 (5.7%) | 770 (6.5%) | |
| 4 | 96 (2.1%) | 45 (1.3%) | 55 (1.5%) | 196 (1.7%) | |
| Nausea and/or Vomiting | 0 | 3145 (67.7%) | 2174 (61.3%) | 2715 (76.2%) | 8034 (68.3%) |
| 1 | 766 (16.5%) | 746 (21.0%) | 397 (11.1%) | 1909 (16.2%) | |
| 2 | 481 (10.4%) | 470 (13.2%) | 278 (7.8%) | 1229 (10.5%) | |
| 3 | 176 (3.8%) | 137 (3.9%) | 131 (3.7%) | 444 (3.8%) | |
| 4 | 78 (1.7%) | 22 (0.6%) | 43 (1.2%) | 143 (1.2%) | |
| Noise Sensitivity, easily upset by loud noise | 0 | 3012 (64.8%) | 2114 (59.6%) | 2450 (68.7%) | 7576 (64.4%) |
| 1 | 611 (13.2%) | 587 (16.5%) | 387 (10.9%) | 1585 (13.5%) | |
| 2 | 569 (12.2%) | 536 (15.1%) | 398 (11.2%) | 1503 (12.8%) | |
| 3 | 308 (6.6%) | 247 (7.0%) | 243 (6.8%) | 798 (6.8%) | |
| 4 | 146 (3.1%) | 65 (1.8%) | 86 (2.4%) | 297 (2.5%) | |
| Sleep Disturbance | 0 | 1830 (39.4%) | 1582 (44.6%) | 1682 (47.2%) | 5094 (43.3%) |
| 1 | 634 (13.6%) | 585 (16.5%) | 455 (12.8%) | 1674 (14.2%) | |
| 2 | 1050 (22.6%) | 828 (23.3%) | 753 (21.1%) | 2631 (22.4%) | |
| 3 | 686 (14.8%) | 412 (11.6%) | 422 (11.8%) | 1520 (12.9%) | |
| 4 | 446 (9.6%) | 142 (4.0%) | 252 (7.1%) | 840 (7.1%) | |
| Fatigue, tiring more easily | 0 | 1529 (32.9%) | 1176 (33.1%) | 1392 (39.1%) | 4097 (34.8%) |
| 1 | 674 (14.5%) | 665 (18.7%) | 450 (12.6%) | 1789 (15.2%) | |
| 2 | 1132 (24.4%) | 953 (26.9%) | 818 (23.0%) | 2903 (24.7%) | |
| 3 | 792 (17.0%) | 594 (16.7%) | 581 (16.3%) | 1967 (16.7%) | |
| 4 | 519 (11.2%) | 161 (4.5%) | 323 (9.1%) | 1003 (8.5%) | |
| Being Irritable, easily angered | 0 | 1902 (40.9%) | 1222 (34.4%) | 1797 (50.4%) | 4921 (41.8%) |
| 1 | 822 (17.7%) | 764 (21.5%) | 617 (17.3%) | 2203 (18.7%) | |
| 2 | 1004 (21.6%) | 913 (25.7%) | 654 (18.4%) | 2571 (21.9%) | |
| 3 | 593 (12.8%) | 504 (14.2%) | 364 (10.2%) | 1461 (12.4%) | |
| 4 | 325 (7.0%) | 146 (4.1%) | 132 (3.7%) | 603 (5.1%) | |
| Feeling Depressed or Tearful | 0 | 2050 (44.1%) | 1593 (44.9%) | 2161 (60.6%) | 5804 (49.4%) |
| 1 | 703 (15.1%) | 677 (19.1%) | 519 (14.6%) | 1899 (16.1%) | |
| 2 | 846 (18.2%) | 706 (19.9%) | 460 (12.9%) | 2012 (17.1%) | |
| 3 | 620 (13.3%) | 397 (11.2%) | 312 (8.8%) | 1329 (11.3%) | |
| 4 | 427 (9.2%) | 176 (5.0%) | 112 (3.1%) | 715 (6.1%) | |
| Feeling Frustrated or Impatient | 0 | 1825 (39.3%) | 1483 (41.8%) | 1838 (51.6%) | 5146 (43.8%) |
| 1 | 817 (17.6%) | 721 (20.3%) | 587 (16.5%) | 2125 (18.1%) | |
| 2 | 1018 (21.9%) | 791 (22.3%) | 640 (18.0%) | 2449 (20.8%) | |
| 3 | 606 (13.0%) | 423 (11.9%) | 375 (10.5%) | 1404 (11.9%) | |
| 4 | 380 (8.2%) | 131 (3.7%) | 124 (3.5%) | 635 (5.4%) | |
| Forgetfulness, poor memory | 0 | 2302 (49.5%) | 1810 (51.0%) | 2074 (58.2%) | 6186 (52.6%) |
| 1 | 893 (19.2%) | 742 (20.9%) | 518 (14.5%) | 2153 (18.3%) | |
| 2 | 813 (17.5%) | 688 (19.4%) | 636 (17.8%) | 2137 (18.2%) | |
| 3 | 432 (9.3%) | 249 (7.0%) | 245 (6.9%) | 926 (7.9%) | |
| 4 | 206 (4.4%) | 60 (1.7%) | 91 (2.6%) | 357 (3.0%) | |
| Poor Concentration | 0 | 2248 (48.4%) | 1656 (46.7%) | 2004 (56.2%) | 5908 (50.2%) |
| 1 | 888 (19.1%) | 823 (23.2%) | 561 (15.7%) | 2272 (19.3%) | |
| 2 | 866 (18.6%) | 761 (21.4%) | 605 (17.0%) | 2232 (19.0%) | |
| 3 | 425 (9.1%) | 248 (7.0%) | 286 (8.0%) | 959 (8.2%) | |
| 4 | 219 (4.7%) | 61 (1.7%) | 108 (3.0%) | 388 (3.3%) | |
| Taking Longer to Think | 0 | 2348 (50.5%) | 2042 (57.5%) | 2040 (57.2%) | 6430 (54.7%) |
| 1 | 864 (18.6%) | 711 (20.0%) | 537 (15.1%) | 2112 (18.0%) | |
| 2 | 831 (17.9%) | 571 (16.1%) | 607 (17.0%) | 2009 (17.1%) | |
| 3 | 414 (8.9%) | 177 (5.0%) | 293 (8.2%) | 884 (7.5%) | |
| 4 | 189 (4.1%) | 48 (1.4%) | 87 (2.4%) | 324 (2.8%) | |
| Blurred Vision | 0 | 2948 (63.5%) | 2149 (60.6%) | 2444 (68.6%) | 7541 (64.1%) |
| 1 | 759 (16.3%) | 670 (18.9%) | 466 (13.1%) | 1895 (16.1%) | |
| 2 | 587 (12.6%) | 518 (14.6%) | 418 (11.7%) | 1523 (13.0%) | |
| 3 | 249 (5.4%) | 175 (4.9%) | 166 (4.7%) | 590 (5.0%) | |
| 4 | 103 (2.2%) | 37 (1.0%) | 70 (2.0%) | 210 (1.8%) | |
| Light Sensitivity, easily upset by bright light | 0 | 3110 (66.9%) | 2088 (58.8%) | 2484 (69.7%) | 7682 (65.3%) |
| 1 | 664 (14.3%) | 632 (17.8%) | 476 (13.4%) | 1772 (15.1%) | |
| 2 | 525 (11.3%) | 556 (15.7%) | 356 (10.0%) | 1437 (12.2%) | |
| 3 | 227 (4.9%) | 215 (6.1%) | 176 (4.9%) | 618 (5.3%) | |
| 4 | 120 (2.6%) | 58 (1.6%) | 72 (2.0%) | 250 (2.1%) | |
| Double Vision | 0 | 3559 (76.6%) | 2688 (75.7%) | 2806 (78.7%) | 9053 (77.0%) |
| 1 | 592 (12.7%) | 472 (13.3%) | 394 (11.1%) | 1458 (12.4%) | |
| 2 | 310 (6.7%) | 268 (7.6%) | 218 (6.1%) | 796 (6.8%) | |
| 3 | 121 (2.6%) | 96 (2.7%) | 88 (2.5%) | 305 (2.6%) | |
| 4 | 64 (1.4%) | 25 (0.7%) | 58 (1.6%) | 147 (1.3%) | |
| Restlessness | 0 | 2337 (50.3%) | 1782 (50.2%) | 2077 (58.3%) | 6196 (52.7%) |
| 1 | 714 (15.4%) | 739 (20.8%) | 493 (13.8%) | 1946 (16.5%) | |
| 2 | 917 (19.7%) | 743 (20.9%) | 628 (17.6%) | 2288 (19.5%) | |
| 3 | 439 (9.4%) | 223 (6.3%) | 263 (7.4%) | 925 (7.9%) | |
| 4 | 239 (5.1%) | 62 (1.7%) | 103 (2.9%) | 404 (3.4%) |
| Sample | Item | N | M | SD | SK | KU |
|---|---|---|---|---|---|---|
| Dutch | Headaches | 3564 | 0.96 | 1.21 | 0.88 | −0.50 |
| Feeling of Dizziness | 3564 | 0.63 | 1.02 | 1.46 | 1.09 | |
| Nausea and/or Vomiting | 3564 | 0.43 | 0.88 | 2.15 | 3.98 | |
| Noise Sensitivity, easily upset by loud noise | 3564 | 0.63 | 1.07 | 1.56 | 1.31 | |
| Sleep Disturbance | 3564 | 1.19 | 1.33 | 0.68 | −0.82 | |
| Fatigue, tiring more easily | 3564 | 1.44 | 1.38 | 0.39 | −1.17 | |
| Being Irritable, easily angered | 3564 | 0.99 | 1.20 | 0.89 | −0.38 | |
| Feeling Depressed or Tearful | 3564 | 0.79 | 1.15 | 1.25 | 0.37 | |
| Feeling Frustrated or Impatient | 3564 | 0.98 | 1.20 | 0.90 | −0.39 | |
| Forgetfulness, poor memory | 3564 | 0.81 | 1.11 | 1.13 | 0.19 | |
| Poor Concentration | 3564 | 0.86 | 1.14 | 1.09 | 0.07 | |
| Taking Longer to Think | 3564 | 0.84 | 1.12 | 1.08 | 0.03 | |
| Blurred Vision | 3564 | 0.58 | 1.00 | 1.66 | 1.89 | |
| Light Sensitivity, easily upset by bright light | 3564 | 0.56 | 0.99 | 1.76 | 2.22 | |
| Double Vision | 3564 | 0.37 | 0.84 | 2.52 | 6.11 | |
| Restlessness | 3564 | 0.83 | 1.13 | 1.12 | 0.14 | |
| English | Headaches | 4646 | 1.11 | 1.19 | 0.65 | −0.73 |
| Feeling of Dizziness | 4646 | 0.81 | 1.10 | 1.10 | 0.10 | |
| Nausea and/or Vomiting | 4646 | 0.55 | 0.94 | 1.76 | 2.45 | |
| Noise Sensitivity, easily upset by loud noise | 4646 | 0.70 | 1.11 | 1.45 | 1.02 | |
| Sleep Disturbance | 4646 | 1.42 | 1.38 | 0.44 | −1.11 | |
| Fatigue, tiring more easily | 4646 | 1.59 | 1.38 | 0.27 | −1.20 | |
| Being Irritable, easily angered | 4646 | 1.27 | 1.30 | 0.60 | −0.85 | |
| Feeling Depressed or Tearful | 4646 | 1.28 | 1.38 | 0.63 | −0.96 | |
| Feeling Frustrated or Impatient | 4646 | 1.33 | 1.33 | 0.55 | −0.92 | |
| Forgetfulness, poor memory | 4646 | 1.00 | 1.20 | 0.94 | −0.23 | |
| Poor Concentration | 4646 | 1.03 | 1.21 | 0.90 | −0.29 | |
| Taking Longer to Think | 4646 | 0.97 | 1.19 | 0.96 | −0.19 | |
| Blurred Vision | 4646 | 0.67 | 1.03 | 1.48 | 1.30 | |
| Light Sensitivity, easily upset by bright light | 4646 | 0.62 | 1.03 | 1.64 | 1.81 | |
| Double Vision | 4646 | 0.39 | 0.83 | 2.36 | 5.33 | |
| Restlessness | 4646 | 1.04 | 1.24 | 0.87 | −0.42 | |
| Italian | Headaches | 3549 | 1.19 | 1.13 | 0.38 | −1.07 |
| Feeling of Dizziness | 3549 | 0.69 | 1.01 | 1.28 | 0.61 | |
| Nausea and/or Vomiting | 3549 | 0.62 | 0.90 | 1.36 | 1.05 | |
| Noise Sensitivity, easily upset by loud noise | 3549 | 0.75 | 1.06 | 1.23 | 0.45 | |
| Sleep Disturbance | 3549 | 1.14 | 1.22 | 0.65 | −0.75 | |
| Fatigue, tiring more easily | 3549 | 1.41 | 1.23 | 0.31 | −1.05 | |
| Being Irritable, easily angered | 3549 | 1.32 | 1.20 | 0.43 | −0.89 | |
| Feeling Depressed or Tearful | 3549 | 1.12 | 1.24 | 0.75 | −0.59 | |
| Feeling Frustrated or Impatient | 3549 | 1.15 | 1.19 | 0.64 | −0.71 | |
| Forgetfulness, poor memory | 3549 | 0.87 | 1.06 | 0.95 | −0.09 | |
| Poor Concentration | 3549 | 0.94 | 1.05 | 0.83 | −0.25 | |
| Taking Longer to Think | 3549 | 0.73 | 0.99 | 1.21 | 0.60 | |
| Blurred Vision | 3549 | 0.67 | 0.97 | 1.30 | 0.80 | |
| Light Sensitivity, easily upset by bright light | 3549 | 0.74 | 1.03 | 1.22 | 0.52 | |
| Double Vision | 3549 | 0.39 | 0.80 | 2.18 | 4.35 | |
| Restlessness | 3549 | 0.89 | 1.05 | 0.91 | −0.12 | |
| Total (characteristics across language samples) | Min | 3549.00 | 0.37 | 0.80 | 0.27 | −1.20 |
| Max | 4646.00 | 1.59 | 1.38 | 2.52 | 6.11 | |
| M | 3919.67 | 0.90 | 1.12 | 1.10 | 0.46 | |
| SD | 524.03 | 0.32 | 0.16 | 0.56 | 1.79 |
| Sample | Item | Cronbach’s Alpha | Alpha If Item Omitted | Split-Half Reliability | Item-Total Correlation |
|---|---|---|---|---|---|
| Dutch | Headaches | 0.94 | 0.94 | 0.96 | 0.55 |
| Feeling of Dizziness | 0.94 | 0.62 | |||
| Nausea and/or Vomiting | 0.94 | 0.56 | |||
| Noise Sensitivity, easily upset by loud noise | 0.94 | 0.64 | |||
| Sleep Disturbance | 0.94 | 0.65 | |||
| Fatigue, tiring more easily | 0.93 | 0.71 | |||
| Being Irritable, easily angered | 0.93 | 0.73 | |||
| Feeling Depressed or Tearful | 0.93 | 0.73 | |||
| Feeling Frustrated or Impatient | 0.93 | 0.74 | |||
| Forgetfulness, poor memory | 0.93 | 0.74 | |||
| Poor Concentration | 0.93 | 0.78 | |||
| Taking Longer To Think | 0.93 | 0.76 | |||
| Blurred Vision | 0.93 | 0.65 | |||
| Light Sensitivity, easily upset by bright light | 0.93 | 0.66 | |||
| Double Vision | 0.94 | 0.59 | |||
| Restlessness | 0.93 | 0.73 | |||
| English | Headaches | 0.95 | 0.94 | 0.96 | 0.57 |
| Feeling of Dizziness | 0.94 | 0.67 | |||
| Nausea and/or Vomiting | 0.94 | 0.60 | |||
| Noise Sensitivity, easily upset by loud noise | 0.94 | 0.68 | |||
| Sleep Disturbance | 0.94 | 0.68 | |||
| Fatigue, tiring more easily | 0.94 | 0.73 | |||
| Being Irritable, easily angered | 0.94 | 0.76 | |||
| Feeling Depressed or Tearful | 0.94 | 0.75 | |||
| Feeling Frustrated or Impatient | 0.94 | 0.77 | |||
| Forgetfulness, poor memory | 0.94 | 0.76 | |||
| Poor Concentration | 0.94 | 0.80 | |||
| Taking Longer to Think | 0.94 | 0.79 | |||
| Blurred Vision | 0.94 | 0.65 | |||
| Light Sensitivity, easily upset by bright light | 0.94 | 0.67 | |||
| Double Vision | 0.94 | 0.59 | |||
| Restlessness | 0.94 | 0.75 | |||
| Italian | Headaches | 0.92 | 0.92 | 0.95 | 0.49 |
| Feeling of Dizziness | 0.92 | 0.56 | |||
| Nausea and/or Vomiting | 0.92 | 0.55 | |||
| Noise Sensitivity, easily upset by loud noise | 0.92 | 0.60 | |||
| Sleep Disturbance | 0.92 | 0.63 | |||
| Fatigue, tiring more easily | 0.92 | 0.70 | |||
| Being Irritable, easily angered | 0.92 | 0.68 | |||
| Feeling Depressed or Tearful | 0.92 | 0.68 | |||
| Feeling Frustrated or Impatient | 0.92 | 0.72 | |||
| Forgetfulness, poor memory | 0.92 | 0.67 | |||
| Poor Concentration | 0.92 | 0.72 | |||
| Taking Longer to Think | 0.92 | 0.70 | |||
| Blurred Vision | 0.92 | 0.60 | |||
| Light Sensitivity, easily upset by bright light | 0.92 | 0.60 | |||
| Double Vision | 0.92 | 0.54 | |||
| Restlessness | 0.92 | 0.68 | |||
| Total (characteristics across language samples) | Min | 0.92 | 0.92 | 0.95 | 0.49 |
| Max | 0.95 | 0.94 | 0.96 | 0.80 | |
| M | 0.93 | 0.93 | 0.95 | 0.67 | |
| SD | 0.01 | 0.01 | 0.01 | 0.08 |
| Model Fit Indices | Original One-Factor Model | Three-Factor model Smith-Seemiller et al. (2003) [21] | ||||
|---|---|---|---|---|---|---|
| Dutch | English | Italian | Dutch | English | Italian | |
| χ2 | 7042.459 | 5050.506 | 4054.506 | 3382.947 | 2056.336 | 1846.032 |
| df | 104 | 104 | 104 | 101 | 101 | 101 |
| p | <0.001 | <0.001 | <0.001 | <0.001 | <0.001 | <0.001 |
| χ2/df | 68 | 49 | 39 | 33 | 20 | 18 |
| CFI | 0.988 | 0.979 | 0.989 | 0.994 | 0.992 | 0.995 |
| TLI | 0.987 | 0.976 | 0.987 | 0.993 | 0.990 | 0.994 |
| RMSEA | 0.120 | 0.116 | 0.103 | 0.084 | 0.074 | 0.070 |
| CI90% | [0.117, 0.122] | [0.113, 0.119] | [0.101, 0.106] | [0.081, 0.086] | [0.071, 0.077] | [0.067, 0.072] |
| SRMR | 0.075 | 0.080 | 0.069 | 0.061 | 0.058 | 0.053 |
| Samples | Constrains | χ2 | df | p | CFI | TLI | RMSEA | CI90% | Δχ2 | Δdf | Δp | ΔCFI | ΔRMSEA |
|---|---|---|---|---|---|---|---|---|---|---|---|---|---|
| Dutch (General population sample vs. TBI sample) | baseline | 3604.965 | 202 | <0.001 | 0.971 | 0.966 | 0.090 | [0.088, 0.093] | - | - | - | - | - |
| thresholds | 3840.568 | 233 | <0.001 | 0.969 | 0.968 | 0.086 | [0.084, 0.089] | 155.04 | 31 | <0.001 | 0.002 | 0.004 | |
| intercepts and thresholds | 3665.442 | 246 | <0.001 | 0.971 | 0.972 | 0.082 | [0.080, 0.084] | 15.154 | 13 | 0.298 | −0.002 | 0.004 | |
| English (General population sample vs. TBI sample) | baseline | 5020.305 | 202 | <0.001 | 0.974 | 0.969 | 0.099 | [0.097, 0.101] | - | - | - | - | - |
| thresholds | 5093.583 | 233 | <0.001 | 0.973 | 0.973 | 0.093 | [0.090, 0.095] | 26.53 | 31 | 0.695 | 0.001 | 0.006 | |
| intercepts and thresholds | 4713.479 | 246 | <0.001 | 0.976 | 0.976 | 0.086 | [0.084, 0.089] | 14.13 | 13 | 0.365 | −0.003 | 0.007 | |
| Italian (General population sample vs. TBI sample) | baseline | 3413.452 | 202 | <0.001 | 0.961 | 0.954 | 0.091 | [0.089, 0.094] | - | - | - | - | - |
| thresholds | 3521.641 | 233 | <0.001 | 0.960 | 0.959 | 0.086 | [0.084, 0.089] | 77.73 | 31 | <0.001 | 0.001 | 0.005 | |
| intercepts and thresholds | 3246.144 | 246 | <0.001 | 0.964 | 0.964 | 0.080 | [0.078, 0.082] | 13.82 | 13 | 0.387 | −0.004 | 0.006 | |
| Dutch vs. English vs. Italian (General population samples) | baseline | 12,665.04 | 303 | <0.001 | 0.963 | 0.956 | 0.102 | [0.101, 0.104] | - | - | - | - | - |
| thresholds | 13,347.41 | 365 | <0.001 | 0.961 | 0.962 | 0.095 | [0.094, 0.097] | 145.61 | 62 | <0.001 | 0.002 | 0.007 | |
| intercepts and thresholds | 12,725.06 | 391 | <0.001 | 0.963 | 0.966 | 0.090 | [0.088, 0.091] | 94.79 | 26 | <0.001 | −0.002 | 0.005 |



| RPQ Total Score | Somatic | Emotional | Cognitive | ||||||||||||||
|---|---|---|---|---|---|---|---|---|---|---|---|---|---|---|---|---|---|
| Variable | Reference Group | Estimate | S.E. | t | p | Estimate | S.E. | t | p | Estimate | S.E. | t | p | Estimate | S.E. | t | p |
| (Intercept) | - | 8.76 | 0.67 | 13.00 | 0.000 | 4.34 | 0.36 | 12.12 | <0.001 | 2.85 | 0.23 | 12.19 | <0.001 | 1.56 | 0.18 | 8.94 | <0.001 |
| Italian | English | −1.58 | 0.72 | −2.20 | 0.028 | −0.49 | 0.38 | −1.29 | 0.197 | −0.72 | 0.25 | −2.89 | 0.004 | −0.37 | 0.19 | −1.97 | 0.048 |
| Dutch | −0.34 | 0.74 | −0.46 | 0.647 | 0.13 | 0.39 | 0.33 | 0.739 | −0.65 | 0.26 | −2.54 | 0.011 | 0.18 | 0.19 | 0.95 | 0.342 | |
| 41–64 years | 18–40 years | −2.80 | 0.67 | −4.18 | <0.001 | −1.48 | 0.36 | −4.17 | <0.001 | −0.74 | 0.23 | −3.20 | 0.001 | −0.57 | 0.17 | −3.28 | 0.001 |
| 65–75 years | −5.41 | 0.94 | −5.74 | <0.001 | −2.51 | 0.50 | −4.99 | <0.001 | −1.87 | 0.33 | −5.71 | <0.001 | −1.04 | 0.24 | −4.23 | <0.001 | |
| Female | Male | 2.50 | 0.63 | 3.94 | <0.001 | 1.25 | 0.34 | 3.71 | <0.001 | 0.87 | 0.22 | 3.93 | <0.001 | 0.39 | 0.16 | 2.34 | 0.019 |
| Middle | Low | −1.95 | 0.67 | −2.90 | 0.004 | −0.97 | 0.36 | −2.71 | 0.007 | −0.51 | 0.23 | −2.20 | 0.028 | −0.46 | 0.17 | −2.66 | 0.008 |
| High | −2.37 | 0.74 | −3.22 | 0.001 | −1.13 | 0.39 | −2.87 | 0.004 | −0.82 | 0.26 | −3.19 | 0.001 | −0.43 | 0.19 | −2.24 | 0.025 | |
| At least one health complaint | No health complaints | 13.17 | 0.64 | 20.47 | <0.001 | 6.10 | 0.34 | 17.81 | <0.001 | 4.30 | 0.22 | 19.22 | <0.001 | 2.78 | 0.17 | 16.63 | <0.001 |
| Italian * 41–64 years | English * 18–40 years | 2.02 | 0.58 | 3.48 | 0.001 | 1.05 | 0.31 | 3.41 | 0.001 | 0.56 | 0.20 | 2.77 | 0.006 | 0.41 | 0.15 | 2.71 | 0.007 |
| Dutch * 41–64 years | −0.51 | 0.56 | −0.91 | 0.362 | −0.58 | 0.30 | −1.94 | 0.053 | 0.12 | 0.19 | 0.64 | 0.522 | −0.06 | 0.15 | −0.40 | 0.687 | |
| Italian * 65–75 years | English * 18–40 years | 3.76 | 0.87 | 4.31 | <0.001 | 1.57 | 0.46 | 3.39 | 0.001 | 1.05 | 0.30 | 3.45 | 0.001 | 1.14 | 0.23 | 5.05 | <0.001 |
| Dutch * 65–75 years | 0.69 | 0.87 | 0.79 | 0.428 | −0.01 | 0.47 | −0.03 | 0.975 | 0.49 | 0.30 | 1.61 | 0.108 | 0.22 | 0.23 | 0.97 | 0.332 | |
| Italian * Female | English * Male | 1.13 | 0.53 | 2.11 | 0.035 | 0.50 | 0.28 | 1.76 | 0.078 | 0.58 | 0.19 | 3.13 | 0.002 | 0.04 | 0.14 | 0.31 | 0.754 |
| Dutch * Female | −0.90 | 0.52 | −1.72 | 0.085 | −0.56 | 0.28 | −2.02 | 0.043 | −0.15 | 0.18 | −0.82 | 0.413 | −0.19 | 0.14 | −1.39 | 0.164 | |
| Italian * Middle | English * Low | 0.64 | 0.62 | 1.03 | 0.305 | 0.07 | 0.33 | 0.21 | 0.833 | 0.41 | 0.22 | 1.92 | 0.055 | 0.15 | 0.16 | 0.95 | 0.341 |
| Dutch * Middle | 0.27 | 0.65 | 0.42 | 0.677 | 0.20 | 0.34 | 0.59 | 0.555 | 0.15 | 0.22 | 0.68 | 0.498 | −0.09 | 0.17 | −0.51 | 0.612 | |
| Italian * High | 2.57 | 0.84 | 3.06 | 0.002 | 1.26 | 0.45 | 2.83 | 0.005 | 0.88 | 0.29 | 3.04 | 0.002 | 0.42 | 0.22 | 1.93 | 0.054 | |
| Dutch * High | −0.19 | 0.72 | −0.26 | 0.794 | 0.08 | 0.38 | 0.22 | 0.826 | 0.12 | 0.25 | 0.47 | 0.638 | −0.39 | 0.19 | −2.09 | 0.037 | |
| Italian * At least one health complaint | English * No health complaints | −4.15 | 0.54 | −7.74 | <0.001 | −1.62 | 0.29 | −5.69 | <0.001 | −1.44 | 0.19 | −7.76 | <0.001 | −1.08 | 0.14 | −7.76 | <0.001 |
| Dutch * At least one health complaint | −3.13 | 0.53 | −5.95 | <0.001 | −0.96 | 0.28 | −3.44 | 0.001 | −1.50 | 0.18 | −8.24 | <0.001 | −0.66 | 0.14 | −4.86 | <0.001 | |
| 41–64 years * Female | 18–40 years * Male | −0.07 | 0.47 | −0.15 | 0.878 | 0.34 | 0.25 | 1.36 | 0.173 | −0.38 | 0.16 | −2.32 | 0.020 | −0.03 | 0.12 | −0.28 | 0.784 |
| 65–75 years * Female | −0.59 | 0.71 | −0.83 | 0.408 | 0.02 | 0.38 | 0.05 | 0.959 | −0.39 | 0.25 | −1.60 | 0.110 | −0.21 | 0.18 | −1.16 | 0.247 | |
| 41–64 * Middle | 18–40 years * Low | 0.60 | 0.57 | 1.05 | 0.292 | 0.36 | 0.30 | 1.20 | 0.230 | 0.11 | 0.20 | 0.54 | 0.588 | 0.13 | 0.15 | 0.88 | 0.381 |
| 65–75 * Middle | 0.33 | 0.84 | 0.39 | 0.697 | 0.31 | 0.44 | 0.70 | 0.482 | 0.03 | 0.29 | 0.09 | 0.929 | −0.01 | 0.22 | −0.06 | 0.950 | |
| 41–64 * High | 0.64 | 0.67 | 0.96 | 0.338 | 0.39 | 0.36 | 1.10 | 0.271 | 0.06 | 0.23 | 0.27 | 0.790 | 0.19 | 0.17 | 1.08 | 0.279 | |
| 65–75 * High | 0.57 | 1.01 | 0.57 | 0.572 | 0.12 | 0.54 | 0.22 | 0.823 | 0.50 | 0.35 | 1.41 | 0.159 | −0.04 | 0.26 | −0.16 | 0.870 | |
| 41–64*At least one health complaint | 18–40 * No health complaints | −0.66 | 0.47 | −1.41 | 0.157 | −0.29 | 0.25 | −1.16 | 0.246 | −0.37 | 0.16 | −2.30 | 0.021 | 0.00 | 0.12 | 0.01 | 0.993 |
| 65–75 * At least one health complaint | −4.39 | 0.71 | −6.17 | <0.001 | −1.97 | 0.38 | −5.20 | <0.001 | −1.62 | 0.25 | −6.57 | <0.001 | −0.80 | 0.18 | −4.32 | <0.001 | |
| Female * Middle | Male * Low | −0.34 | 0.51 | −0.67 | 0.504 | −0.14 | 0.27 | −0.50 | 0.614 | −0.24 | 0.18 | −1.33 | 0.183 | 0.03 | 0.13 | 0.24 | 0.808 |
| Female * High | −0.52 | 0.62 | −0.84 | 0.399 | −0.15 | 0.33 | −0.47 | 0.638 | −0.20 | 0.21 | −0.92 | 0.356 | −0.17 | 0.16 | −1.05 | 0.294 | |
| Female * At least one health complaint | Male * No health complaints | 0.52 | 0.43 | 1.21 | 0.225 | 0.34 | 0.23 | 1.49 | 0.136 | 0.18 | 0.15 | 1.23 | 0.220 | 0.00 | 0.11 | −0.01 | 0.989 |
| Middle * At least one health complaint | Low * No health complaints | 0.53 | 0.52 | 1.02 | 0.308 | 0.22 | 0.28 | 0.80 | 0.422 | 0.28 | 0.18 | 1.53 | 0.127 | 0.03 | 0.14 | 0.24 | 0.809 |
| High * At least one health complaint | −0.80 | 0.62 | −1.29 | 0.196 | −0.35 | 0.33 | −1.05 | 0.294 | −0.18 | 0.22 | −0.85 | 0.395 | −0.27 | 0.16 | −1.70 | 0.090 | |
Appendix B
| Gender × Health Status x Age | Low Symptom Severity | −1 SD | Md | +1 SD | High Symptom Severity | ||||||||||
|---|---|---|---|---|---|---|---|---|---|---|---|---|---|---|---|
| Scale | Gender | Health status | Age | N | 2.5% | 5% | 16% | 30% | 40% | 50% | 60% | 70% | 85% | 95% | 97.5% |
| Somatic | Male | Healthy | 18–40 | 566 | 0 | 0 | 0 | 0 | 0 | 2 | 2 | 4 | 8 | 16 | 18 |
| 41–64 | 460 | 0 | 0 | 0 | 0 | 0 | 0 | 2 | 2 | 4 | 10 | 14 | |||
| 65–75 | 118 | 0 | 0 | 0 | 0 | 0 | 0 | 0 | 2 | 5 | 12 | 12 | |||
| At least one chronic health condition | 18–40 | 446 | 0 | 0 | 2 | 4 | 6 | 8 | 10 | 13 | 18 | 24 | 28 | ||
| 41–64 | 542 | 0 | 0 | 0 | 4 | 5 | 6 | 8 | 10 | 16 | 24 | 27 | |||
| 65–75 | 156 | 0 | 0 | 0 | 0 | 2 | 4 | 5 | 7 | 11 | 15 | 18 | |||
| Female | Healthy | 18–40 | 474 | 0 | 0 | 0 | 0 | 2 | 3 | 4 | 6 | 10 | 17 | 19 | |
| 41–64 | 422 | 0 | 0 | 0 | 0 | 0 | 2 | 3 | 4 | 8 | 13 | 17 | |||
| 65–75 | 119 | 0 | 0 | 0 | 0 | 0 | 2 | 2 | 4 | 6 | 11 | 13 | |||
| At least one chronic health condition | 18–40 | 564 | 0 | 0 | 3 | 6 | 8 | 9 | 11 | 14 | 19 | 26 | 28 | ||
| 41–64 | 602 | 0 | 0 | 3 | 6 | 7 | 9 | 11 | 14 | 19 | 25 | 27 | |||
| 65–75 | 177 | 0 | 0 | 0 | 3 | 4 | 6 | 7 | 9 | 13 | 18 | 21 | |||
| Total | 4646 | 0 | 0 | 0 | 2 | 2 | 4 | 6 | 9 | 14 | 21 | 25 | |||
| Emotional | Male | Healthy | 18–40 | 566 | 0 | 0 | 0 | 0 | 0 | 0 | 2 | 3 | 7 | 10 | 12 |
| 41–64 | 460 | 0 | 0 | 0 | 0 | 0 | 0 | 0 | 2 | 4 | 8 | 9 | |||
| 65–75 | 118 | 0 | 0 | 0 | 0 | 0 | 0 | 0 | 0 | 4 | 8 | 9 | |||
| At least one chronic health condition | 18–40 | 446 | 0 | 0 | 0 | 2 | 5 | 7 | 8 | 10 | 12 | 15 | 16 | ||
| 41–64 | 542 | 0 | 0 | 0 | 2 | 4 | 5 | 7 | 9 | 12 | 15 | 16 | |||
| 65–75 | 156 | 0 | 0 | 0 | 0 | 0 | 2 | 3 | 4 | 8 | 12 | 14 | |||
| Female | Healthy | 18–40 | 474 | 0 | 0 | 0 | 0 | 0 | 0 | 2 | 4 | 8 | 11 | 12 | |
| 41–64 | 422 | 0 | 0 | 0 | 0 | 0 | 0 | 0 | 2 | 6 | 9 | 10 | |||
| 65–75 | 119 | 0 | 0 | 0 | 0 | 0 | 0 | 0 | 0 | 2 | 7 | 9 | |||
| At least one chronic health condition | 18–40 | 564 | 0 | 0 | 2 | 4 | 6 | 8 | 9 | 11 | 13 | 16 | 16 | ||
| 41–64 | 602 | 0 | 0 | 0 | 2 | 4 | 6 | 8 | 10 | 12 | 15 | 16 | |||
| 65–75 | 177 | 0 | 0 | 0 | 0 | 0 | 2 | 4 | 6 | 9 | 11 | 12 | |||
| Total | 4646 | 0 | 0 | 0 | 0 | 0 | 2 | 4 | 7 | 10 | 14 | 15 | |||
| Cognitive | Male | Healthy | 18–40 | 566 | 0 | 0 | 0 | 0 | 0 | 0 | 0 | 0 | 4 | 7 | 9 |
| 41–64 | 460 | 0 | 0 | 0 | 0 | 0 | 0 | 0 | 0 | 2 | 6 | 6 | |||
| 65–75 | 118 | 0 | 0 | 0 | 0 | 0 | 0 | 0 | 0 | 2 | 6 | 6 | |||
| At least one chronic health condition | 18–40 | 446 | 0 | 0 | 0 | 0 | 2 | 3 | 5 | 6 | 9 | 11 | 12 | ||
| 41–64 | 542 | 0 | 0 | 0 | 0 | 0 | 2 | 4 | 6 | 8 | 11 | 12 | |||
| 65–75 | 156 | 0 | 0 | 0 | 0 | 0 | 0 | 2 | 2 | 6 | 9 | 9 | |||
| Female | Healthy | 18–40 | 474 | 0 | 0 | 0 | 0 | 0 | 0 | 0 | 0 | 4 | 7 | 9 | |
| 41–64 | 422 | 0 | 0 | 0 | 0 | 0 | 0 | 0 | 0 | 2 | 6 | 8 | |||
| 65–75 | 119 | 0 | 0 | 0 | 0 | 0 | 0 | 0 | 0 | 1 | 4 | 4 | |||
| At least one chronic health condition | 18–40 | 564 | 0 | 0 | 0 | 0 | 2 | 4 | 6 | 6 | 9 | 12 | 12 | ||
| 41–64 | 602 | 0 | 0 | 0 | 0 | 2 | 4 | 6 | 6 | 9 | 12 | 12 | |||
| 65–75 | 177 | 0 | 0 | 0 | 0 | 0 | 0 | 0 | 2 | 6 | 8 | 9 | |||
| Total | 4646 | 0 | 0 | 0 | 0 | 0 | 0 | 2 | 4 | 7 | 9 | 11 | |||
| Gender × Health Status × Age | Low Symptom Severity | −1 SD | Md | +1 SD | High Symptom Severity | ||||||||||
|---|---|---|---|---|---|---|---|---|---|---|---|---|---|---|---|
| Scale | Gender | Health status | Age | N | 2.5% | 5% | 16% | 30% | 40% | 50% | 60% | 70% | 85% | 95% | 97.5% |
| Somatic | Male | Healthy | 18–40 | 467 | 0 | 0 | 0 | 0 | 0 | 2 | 2 | 4 | 7 | 14 | 18 |
| 41–64 | 454 | 0 | 0 | 0 | 0 | 0 | 2 | 2 | 4 | 8 | 14 | 18 | |||
| 65–75 | 106 | 0 | 0 | 0 | 0 | 0 | 2 | 2 | 4 | 7 | 9 | 10 | |||
| At least one chronic health condition | 18–40 | 227 | 0 | 0 | 2 | 4 | 5 | 6 | 9 | 12 | 16 | 19 | 23 | ||
| 41–64 | 391 | 0 | 0 | 0 | 2 | 4 | 6 | 7 | 10 | 14 | 21 | 24 | |||
| 65–75 | 125 | 0 | 0 | 0 | 2 | 2 | 4 | 6 | 8 | 10 | 17 | 19 | |||
| Female | Healthy | 18–40 | 419 | 0 | 0 | 0 | 2 | 3 | 4 | 5 | 6 | 10 | 16 | 18 | |
| 41–64 | 403 | 0 | 0 | 0 | 2 | 2 | 4 | 5 | 7 | 11 | 16 | 18 | |||
| 65–75 | 91 | 0 | 0 | 0 | 0 | 0 | 0 | 2 | 4 | 7 | 13 | 14 | |||
| At least one chronic health condition | 18–40 | 302 | 0 | 0 | 2 | 6 | 7 | 9 | 10 | 13 | 18 | 23 | 25 | ||
| 41–64 | 435 | 0 | 0 | 2 | 5 | 7 | 9 | 11 | 13 | 18 | 23 | 26 | |||
| 65–75 | 129 | 0 | 0 | 2 | 4 | 4 | 6 | 8 | 10 | 15 | 22 | 25 | |||
| Total | 3549 | 0 | 0 | 0 | 2 | 2 | 4 | 6 | 8 | 13 | 19 | 22 | |||
| Emotional | Male | Healthy | 18–40 | 467 | 0 | 0 | 0 | 0 | 0 | 0 | 2 | 2 | 6 | 9 | 10 |
| 41–64 | 454 | 0 | 0 | 0 | 0 | 0 | 0 | 0 | 2 | 6 | 9 | 11 | |||
| 65–75 | 106 | 0 | 0 | 0 | 0 | 0 | 0 | 0 | 0 | 3 | 6 | 7 | |||
| At least one chronic health condition | 18–40 | 227 | 0 | 0 | 0 | 2 | 4 | 5 | 6 | 7 | 10 | 13 | 15 | ||
| 41–64 | 391 | 0 | 0 | 0 | 0 | 2 | 4 | 5 | 7 | 10 | 12 | 14 | |||
| 65–75 | 125 | 0 | 0 | 0 | 0 | 0 | 2 | 2 | 2 | 6 | 11 | 13 | |||
| Female | Healthy | 18–40 | 419 | 0 | 0 | 0 | 0 | 0 | 2 | 4 | 6 | 8 | 11 | 11 | |
| 41–64 | 403 | 0 | 0 | 0 | 0 | 0 | 0 | 2 | 4 | 8 | 11 | 12 | |||
| 65–75 | 91 | 0 | 0 | 0 | 0 | 0 | 0 | 0 | 0 | 6 | 9 | 10 | |||
| At least one chronic health condition | 18–40 | 302 | 0 | 0 | 0 | 3 | 6 | 7 | 8 | 9 | 12 | 14 | 16 | ||
| 41–64 | 435 | 0 | 0 | 0 | 2 | 4 | 6 | 7 | 9 | 11 | 13 | 15 | |||
| 65–75 | 129 | 0 | 0 | 0 | 0 | 2 | 4 | 5 | 7 | 9 | 12 | 13 | |||
| Total | 3549 | 0 | 0 | 0 | 0 | 0 | 2 | 4 | 6 | 9 | 12 | 13 | |||
| Cognitive | Male | Healthy | 18–40 | 467 | 0 | 0 | 0 | 0 | 0 | 0 | 0 | 0 | 2 | 6 | 7 |
| 41–64 | 454 | 0 | 0 | 0 | 0 | 0 | 0 | 0 | 0 | 2 | 6 | 7 | |||
| 65–75 | 106 | 0 | 0 | 0 | 0 | 0 | 0 | 0 | 0 | 2 | 4 | 5 | |||
| At least one chronic health condition | 18–40 | 227 | 0 | 0 | 0 | 0 | 0 | 2 | 3 | 5 | 7 | 9 | 9 | ||
| 41–64 | 391 | 0 | 0 | 0 | 0 | 0 | 0 | 2 | 4 | 6 | 9 | 10 | |||
| 65–75 | 125 | 0 | 0 | 0 | 0 | 0 | 0 | 2 | 4 | 6 | 9 | 9 | |||
| Female | Healthy | 18–40 | 419 | 0 | 0 | 0 | 0 | 0 | 0 | 0 | 2 | 4 | 7 | 9 | |
| 41–64 | 403 | 0 | 0 | 0 | 0 | 0 | 0 | 0 | 0 | 6 | 7 | 9 | |||
| 65–75 | 91 | 0 | 0 | 0 | 0 | 0 | 0 | 0 | 0 | 4 | 6 | 8 | |||
| At least one chronic health condition | 18–40 | 302 | 0 | 0 | 0 | 0 | 0 | 2 | 4 | 5 | 7 | 9 | 12 | ||
| 41–64 | 435 | 0 | 0 | 0 | 0 | 0 | 2 | 3 | 6 | 7 | 9 | 9 | |||
| 65–75 | 129 | 0 | 0 | 0 | 0 | 0 | 0 | 2 | 4 | 6 | 9 | 9 | |||
| Total | 3549 | 0 | 0 | 0 | 0 | 0 | 0 | 0 | 2 | 6 | 8 | 9 | |||
| Gender × Health Status × Age | Low Symptom Severity | −1 SD | Md | +1 SD | High Symptom Severity | ||||||||||
|---|---|---|---|---|---|---|---|---|---|---|---|---|---|---|---|
| Scale | Gender | Health status | Age | N | 2.5% | 5% | 16% | 30% | 40% | 50% | 60% | 70% | 85% | 95% | 97.5% |
| Somatic | Male | Healthy | 18–40 | 444 | 0 | 0 | 0 | 0 | 0 | 2 | 2 | 4 | 7 | 16 | 19 |
| 41–64 | 412 | 0 | 0 | 0 | 0 | 0 | 0 | 2 | 2 | 6 | 12 | 15 | |||
| 65–75 | 94 | 0 | 0 | 0 | 0 | 0 | 0 | 0 | 2 | 2 | 4 | 7 | |||
| At least one chronic health condition | 18–40 | 276 | 0 | 0 | 0 | 3 | 5 | 8 | 10 | 14 | 18 | 23 | 28 | ||
| 41–64 | 447 | 0 | 0 | 0 | 2 | 4 | 5 | 7 | 9 | 15 | 23 | 26 | |||
| 65–75 | 109 | 0 | 0 | 0 | 0 | 0 | 2 | 4 | 6 | 10 | 19 | 23 | |||
| Female | Healthy | 18–40 | 363 | 0 | 0 | 0 | 0 | 2 | 2 | 4 | 6 | 10 | 14 | 16 | |
| 41–64 | 298 | 0 | 0 | 0 | 0 | 0 | 2 | 2 | 4 | 7 | 13 | 15 | |||
| 65–75 | 66 | 0 | 0 | 0 | 0 | 0 | 2 | 2 | 2 | 5 | 8 | 10 | |||
| At least one chronic health condition | 18–40 | 372 | 0 | 0 | 3 | 6 | 7 | 9 | 11 | 13 | 18 | 23 | 27 | ||
| 41–64 | 536 | 0 | 0 | 2 | 4 | 5 | 6 | 8 | 10 | 15 | 20 | 23 | |||
| 65–75 | 147 | 0 | 0 | 0 | 2 | 4 | 6 | 7 | 9 | 12 | 20 | 24 | |||
| Total | 3564 | 0 | 0 | 0 | 0 | 2 | 4 | 5 | 8 | 13 | 19 | 23 | |||
| Emotional | Male | Healthy | 18–40 | 444 | 0 | 0 | 0 | 0 | 0 | 0 | 0 | 2 | 4 | 9 | 10 |
| 41–64 | 412 | 0 | 0 | 0 | 0 | 0 | 0 | 0 | 0 | 4 | 8 | 10 | |||
| 65–75 | 94 | 0 | 0 | 0 | 0 | 0 | 0 | 0 | 0 | 0 | 2 | 5 | |||
| At least one chronic health condition | 18–40 | 276 | 0 | 0 | 0 | 0 | 2 | 4 | 5 | 7 | 10 | 13 | 15 | ||
| 41–64 | 447 | 0 | 0 | 0 | 0 | 0 | 2 | 4 | 6 | 10 | 12 | 14 | |||
| 65–75 | 109 | 0 | 0 | 0 | 0 | 0 | 0 | 0 | 2 | 5 | 9 | 11 | |||
| Female | Healthy | 18–40 | 363 | 0 | 0 | 0 | 0 | 0 | 0 | 2 | 3 | 6 | 10 | 11 | |
| 41–64 | 298 | 0 | 0 | 0 | 0 | 0 | 0 | 0 | 2 | 4 | 9 | 10 | |||
| 65–75 | 66 | 0 | 0 | 0 | 0 | 0 | 0 | 0 | 0 | 2 | 6 | 7 | |||
| At least one chronic health condition | 18–40 | 372 | 0 | 0 | 0 | 2 | 4 | 5 | 7 | 8 | 11 | 14 | 16 | ||
| 41–64 | 536 | 0 | 0 | 0 | 0 | 0 | 2 | 4 | 6 | 10 | 12 | 14 | |||
| 65–75 | 147 | 0 | 0 | 0 | 0 | 0 | 0 | 2 | 4 | 6 | 10 | 11 | |||
| Total | 3564 | 0 | 0 | 0 | 0 | 0 | 0 | 2 | 4 | 8 | 12 | 13 | |||
| Cognitive | Male | Healthy | 18–40 | 444 | 0 | 0 | 0 | 0 | 0 | 0 | 0 | 0 | 4 | 6 | 8 |
| 41–64 | 412 | 0 | 0 | 0 | 0 | 0 | 0 | 0 | 0 | 2 | 6 | 6 | |||
| 65–75 | 94 | 0 | 0 | 0 | 0 | 0 | 0 | 0 | 0 | 0 | 3 | 6 | |||
| At least one chronic health condition | 18–40 | 276 | 0 | 0 | 0 | 0 | 0 | 2 | 4 | 5 | 7 | 10 | 12 | ||
| 41–64 | 447 | 0 | 0 | 0 | 0 | 0 | 0 | 3 | 6 | 7 | 10 | 11 | |||
| 65–75 | 109 | 0 | 0 | 0 | 0 | 0 | 0 | 0 | 2 | 6 | 7 | 8 | |||
| Female | Healthy | 18–40 | 363 | 0 | 0 | 0 | 0 | 0 | 0 | 0 | 2 | 4 | 7 | 8 | |
| 41–64 | 298 | 0 | 0 | 0 | 0 | 0 | 0 | 0 | 0 | 2 | 6 | 7 | |||
| 65–75 | 66 | 0 | 0 | 0 | 0 | 0 | 0 | 0 | 0 | 2 | 6 | 6 | |||
| At least one chronic health condition | 18–40 | 372 | 0 | 0 | 0 | 0 | 0 | 3 | 4 | 6 | 8 | 11 | 12 | ||
| 41–64 | 536 | 0 | 0 | 0 | 0 | 0 | 0 | 4 | 5 | 7 | 9 | 10 | |||
| 65–75 | 147 | 0 | 0 | 0 | 0 | 0 | 0 | 2 | 2 | 6 | 9 | 9 | |||
| Total | 3564 | 0 | 0 | 0 | 0 | 0 | 0 | 0 | 2 | 6 | 9 | 10 | |||
References
- Menon, D.K.; Schwab, K.; Wright, D.W.; Maas, A.I. Position Statement: Definition of Traumatic Brain Injury. Arch. Phys. Med. Rehabil. 2010, 91, 1637–1640. [Google Scholar] [CrossRef] [PubMed]
- Maas, A.I.R.; Menon, D.K.; Adelson, P.D.; Andelic, N.; Bell, M.J.; Belli, A.; Bragge, P.; Brazinova, A.; Büki, A.; Chesnut, R.M.; et al. Traumatic Brain Injury: Integrated Approaches to Improve Prevention, Clinical Care, and Research. Lancet Neurol. 2017, 16, 987–1048. [Google Scholar] [CrossRef]
- Powell, J.M.; Wise, E.K.; Brockway, J.A.; Fraser, R.; Temkin, N.; Bell, K.R. Characteristics and Concerns of Caregivers of Adults with Traumatic Brain Injury. J. Head Trauma Rehabil. 2017, 32, E33–E41. [Google Scholar] [CrossRef]
- Teasdale, G.; Jennett, B. Assessment of Coma and Impaired Consciousness. A Practical Scale. Lancet 1974, 2, 81–84. [Google Scholar] [CrossRef]
- Nelson, L.D.; Temkin, N.R.; Dikmen, S.; Barber, J.; Giacino, J.T.; Yuh, E.; Levin, H.S.; McCrea, M.A.; Stein, M.B.; Mukherjee, P.; et al. Recovery After Mild Traumatic Brain Injury in Patients Presenting to US Level I Trauma Centers: A Transforming Research and Clinical Knowledge in Traumatic Brain Injury (TRACK-TBI) Study. JAMA Neurol. 2019, 76, 1049. [Google Scholar] [CrossRef] [PubMed]
- World Health Organization ICD-10: International Statistical Classification of Diseases and Related Health Problems, 10th Revision, 2nd Ed. 2004. Available online: https://apps.who.int/iris/handle/10665/42980 (accessed on 12 January 2022).
- King, N.S.; Crawford, S.; Wenden, F.J.; Moss, N.E.; Wade, D.T. The Rivermead Post Concussion Symptoms Questionnaire: A Measure of Symptoms Commonly Experienced after Head Injury and Its Reliability. J. Neurol. 1995, 242, 587–592. [Google Scholar] [CrossRef]
- Sigurdardottir, S.; Andelic, N.; Roe, C.; Jerstad, T.; Schanke, A.-K. Post-Concussion Symptoms after Traumatic Brain Injury at 3 and 12 Months Post-Injury: A Prospective Study. Brain Inj. 2009, 23, 489–497. [Google Scholar] [CrossRef]
- Zeldovich, M.; Wu, Y.-J.; Gorbunova, A.; Mikolic, A.; Polinder, S.; Plass, A.; Covic, A.; Asendorf, T.; Andelic, N.; Voormolen, D.; et al. Influence of Sociodemographic, Premorbid, and Injury-Related Factors on Post-Concussion Symptoms after Traumatic Brain Injury. J. Clin. Med. 2020, 9, 1931. [Google Scholar] [CrossRef]
- Wilde, E.A.; Whiteneck, G.G.; Bogner, J.; Bushnik, T.; Cifu, D.X.; Dikmen, S.; French, L.; Giacino, J.T.; Hart, T.; Malec, J.F.; et al. Recommendations for the Use of Common Outcome Measures in Traumatic Brain Injury Research. Arch. Phys. Med. Rehabil. 2010, 91, 1650–1660.e17. [Google Scholar] [CrossRef]
- NINDS Project Overview. Available online: https://www.commondataelements.ninds.nih.gov/Traumatic%20Brain%20Injury (accessed on 17 May 2022).
- von Steinbuechel, N.; Rauen, K.; Krenz, U.; Wu, Y.-J.; Covic, A.; Plass, A.; Cunitz, K.; Mueller, I.; Bockhop, F.; Polinder, S.; et al. Translation and Linguistic Validation of Outcome Instruments for Traumatic Brain Injury Research and Clinical Practice: A Step-by-Step Approach within the Observational CENTER-TBI Study. J. Clin. Med. 2021, 10, 2863. [Google Scholar] [CrossRef]
- Polinder, S.; Cnossen, M.C.; Real, R.G.L.; Covic, A.; Gorbunova, A.; Voormolen, D.C.; Master, C.L.; Haagsma, J.A.; Diaz-Arrastia, R.; von Steinbuechel, N. A Multidimensional Approach to Post-Concussion Symptoms in Mild Traumatic Brain Injury. Front. Neurol. 2018, 9, 1113. [Google Scholar] [CrossRef] [PubMed]
- Voormolen, D.C.; Cnossen, M.C.; Polinder, S.; Gravesteijn, B.Y.; Von Steinbuechel, N.; Real, R.G.L.; Haagsma, J.A. Prevalence of Post-Concussion-like Symptoms in the General Population in Italy, The Netherlands and the United Kingdom. Brain Inj. 2019, 33, 1078–1086. [Google Scholar] [CrossRef] [PubMed]
- Steyerberg, E.W.; Wiegers, E.; Sewalt, C.; Buki, A.; Citerio, G.; De Keyser, V.; Ercole, A.; Kunzmann, K.; Lanyon, L.; Lecky, F.; et al. Case-Mix, Care Pathways, and Outcomes in Patients with Traumatic Brain Injury in CENTER-TBI: A European Prospective, Multicentre, Longitudinal, Cohort Study. Lancet Neurol. 2019, 18, 923–934. [Google Scholar] [CrossRef]
- von Steinbuechel, N.; Rauen, K.; Bockhop, F.; Covic, A.; Krenz, U.; Plass, A.; Cunitz, K.; Polinder, S.; Wilson, L.; Steyerberg, E.; et al. Psychometric Characteristics of the Patient-Reported Outcome Measures Applied in the CENTER-TBI Study. J. Clin. Med. 2021, 10, 2396. [Google Scholar] [CrossRef] [PubMed]
- Maas, A.I.R.; Menon, D.K.; Steyerberg, E.W.; Citerio, G.; Lecky, F.; Manley, G.T.; Hill, S.; Legrand, V.; Sorgner, A. Collaborative European NeuroTrauma Effectiveness Research in Traumatic Brain Injury (CENTER-TBI) A Prospective Longitudinal Observational Study. Neurosurgery 2015, 76, 67–80. [Google Scholar] [CrossRef]
- Bulmer, M.G. Principles of Statistics; Dover Publications: New York, NY, USA, 1979; ISBN 978-0-486-63760-0. [Google Scholar]
- Terwee, C.B.; Bot, S.D.M.; de Boer, M.R.; van der Windt, D.A.W.M.; Knol, D.L.; Dekker, J.; Bouter, L.M.; de Vet, H.C.W. Quality Criteria Were Proposed for Measurement Properties of Health Status Questionnaires. J. Clin. Epidemiol. 2007, 60, 34–42. [Google Scholar] [CrossRef]
- Cohen, J. Statistical Power Analysis for the Behavioral Sciences, 2nd ed.; L. Erlbaum Associates: Hillsdale, NJ, USA, 1988; ISBN 978-0-8058-0283-2. [Google Scholar]
- Smith-Seemiller, L.; Fow, N.R.; Kant, R.; Franzen, M.D. Presence of Post-Concussion Syndrome Symptoms in Patients with Chronic Pain vs Mild Traumatic Brain Injury. Brain Inj. 2003, 17, 199–206. [Google Scholar] [CrossRef]
- Eyres, S.; Carey, A.; Gilworth, G.; Neumann, V.; Tennant, A. Construct Validity and Reliability of the Rivermead Post-Concussion Symptoms Questionnaire. Clin. Rehabil. 2005, 19, 878–887. [Google Scholar] [CrossRef]
- Potter, S.; Leigh, E.; Wade, D.; Fleminger, S. The Rivermead Post Concussion Symptoms Questionnaire: A Confirmatory Factor Analysis. J. Neurol. 2006, 253, 1603–1614. [Google Scholar] [CrossRef]
- Herrmann, N.; Rapoport, M.J.; Rajaram, R.D.; Chan, F.; Kiss, A.; Ma, A.K.; Feinstein, A.; Mc Cullagh, S.; Lanctôt, K.L. Factor Analysis of the Rivermead Post-Concussion Symptoms Questionnaire in Mild-to-Moderate Traumatic Brain Injury Patients. J. Neuropsychiatry Clin. Neurosci. 2009, 21, 181–188. [Google Scholar] [CrossRef]
- Lannsjö, M.; Borg, J.; Björklund, G.; af Geijerstam, L.; Lundgren-Nilsson, Å. Internal Construct Validity of the Rivermead Post-Concussion Symptoms Questionnaire. J. Rehabil. Med. 2011, 43, 997–1002. [Google Scholar] [CrossRef] [PubMed]
- Thomas, M.; Skilbeck, C.; Cannan, P.; Slatyer, M. The Structure of the Rivermead Post-Concussion Symptoms Questionnaire in Australian Adults with Traumatic Brain Injury. Brain Impair. 2018, 19, 166–182. [Google Scholar] [CrossRef]
- Agtarap, S.; Kramer, M.D.; Campbell-Sills, L.; Yuh, E.; Mukherjee, P.; Manley, G.T.; McCrea, M.A.; Dikmen, S.; Giacino, J.T.; Stein, M.B.; et al. Invariance of the Bifactor Structure of Mild Traumatic Brain Injury (MTBI) Symptoms on the Rivermead Postconcussion Symptoms Questionnaire Across Time, Demographic Characteristics, and Clinical Groups: A TRACK-TBI Study. Assessment 2021, 28, 1656–1670. [Google Scholar] [CrossRef] [PubMed]
- Zeldovich, M.; Bockhop, F.; Plass, A.M.; Covic, A.; Mueller, I.; Polinder, S.; Mikolic, A.; van der Vlegel, M.; Steinbuechel, N.; CENTER-TBI Participants and Investigators. Comparability of the Six Rivermead Post-Concussion Symptoms Questionnaire Translations: Results from the CENTER-TBI Study.
- Rivera, D.; Greving, S.; Arango-Lasprilla, J.C.; von Steinbuechel, N.; Zeldovich, M.; CENTER-TBI Participants and Investigators. Comparability of (Post-Concussion) Symptoms across Time in Individuals after Traumatic Brain Injury: Results from the CENTER-TBI Study. J. Clin. Med. 2022, 11, 4090. [Google Scholar] [CrossRef] [PubMed]
- Brown, T.A. Confirmatory Factor Analysis for Applied Research, 2nd ed.; Methodology in the Social Sciences; The Guilford Press: New York, NY, USA; London, UK, 2015; ISBN 978-1-4625-1779-4. [Google Scholar]
- Cole, D.A. Utility of Confirmatory Factor Analysis in Test Validation Research. J. Consult. Clin. Psychol. 1987, 55, 584–594. [Google Scholar] [CrossRef]
- Bentler, P.M. Comparative Fit Indexes in Structural Models. Psychol. Bull. 1990, 107, 238–246. [Google Scholar] [CrossRef]
- Hu, L.; Bentler, P.M. Cutoff Criteria for Fit Indexes in Covariance Structure Analysis: Conventional Criteria versus New Alternatives. Struct. Equ. Model. Multidiscip. J. 1999, 6, 1–55. [Google Scholar] [CrossRef]
- Bentler, P.M.; Bonett, D.G. Significance Tests and Goodness of Fit in the Analysis of Covariance Structures. Psychol. Bull. 1980, 88, 588–606. [Google Scholar] [CrossRef]
- Steiger, J.H. Statistically Based Tests for the Number of Common Factors. In Proceedings of the the Annual Meeting of the Psychometric Society, Iowa City, IA, USA; 1980. [Google Scholar]
- Finch, W.H.; French, B.F. A Simulation Investigation of the Performance of Invariance Assessment Using Equivalence Testing Procedures. Struct. Equ. Model. Multidiscip. J. 2018, 25, 673–686. [Google Scholar] [CrossRef]
- Xia, Y.; Yang, Y. RMSEA, CFI, and TLI in Structural Equation Modeling with Ordered Categorical Data: The Story They Tell Depends on the Estimation Methods. Behav. Res. Methods 2019, 51, 409–428. [Google Scholar] [CrossRef]
- Wu, H.; Estabrook, R. Identification of Confirmatory Factor Analysis Models of Different Levels of Invariance for Ordered Categorical Outcomes. Psychometrika 2016, 81, 1014–1045. [Google Scholar] [CrossRef] [PubMed]
- Svetina, D.; Rutkowski, L.; Rutkowski, D. Multiple-Group Invariance with Categorical Outcomes Using Updated Guidelines: An Illustration Using Mplus and the Lavaan/Semtools Packages. Struct. Equ. Model. Multidiscip. J. 2020, 27, 111–130. [Google Scholar] [CrossRef]
- Hirschfeld, G.; von Brachel, R. Improving Multiple-Group Confirmatory Factor Analysis in R—A Tutorial in Measurement Invariance with Continuous and Ordinal Indicators. Pract. Assess. Res. Eval. 2014, 19, 7. [Google Scholar] [CrossRef]
- Cheung, G.W.; Rensvold, R.B. Evaluating Goodness-of-Fit Indexes for Testing Measurement Invariance. Struct. Equ. Model. 2002, 9, 233–255. [Google Scholar] [CrossRef]
- Ware, J.E.; Kosinski, M.; Bjorner, J.B.; Turner-Bowker, D.M.; Gandek, B.; Maruish, M.E. User’s Manual for the SF-36v2 Health Survey, 2nd ed.; QualityMetric Incorporated: Lincoln, RI, USA, 2007. [Google Scholar]
- R Core Team R: A Language and Environment for Statistical Computing 2021. Vienna, Austria. Available online: https://www.R-project.org/ (accessed on 12 January 2022).
- Rich, B. Table1: Tables of Descriptive Statistics in HTML. 2021. Available online: https://CRAN.R-project.org/package=table1 (accessed on 12 January 2022).
- Revelle, W. Psych: Procedures for Personality and Psychological Research. 2019. Available online: https://CRAN.R-project.org/package=psych (accessed on 12 January 2022).
- Rosseel, Y. Lavaan: An R Package for Structural Equation Modeling. J. Stat. Softw. 2012, 48, 1–36. [Google Scholar] [CrossRef]
- Chan, R.C. Base Rate of Post-Concussion Symptoms among Normal People and Its Neuropsychological Correlates. Clin. Rehabil. 2001, 15, 266–273. [Google Scholar] [CrossRef]
- Zakzanis, K.K.; Yeung, E. Base Rates of Post-Concussive Symptoms in a Nonconcussed Multicultural Sample. Arch. Clin. Neuropsychol. 2011, 26, 461–465. [Google Scholar] [CrossRef]
- Iverson, G.L.; Lange, R.T. Examination of “Postconcussion-Like” Symptoms in a Healthy Sample. Appl. Neuropsychol. 2003, 10, 137–144. [Google Scholar] [CrossRef]
- Iverson, G.L.; Zasler, N.D.; Lange, R.T. Post-Concussive Disorders. In Brain Injury Medicine: Principles and Practice; Demos Medical Publishing: New York, NY, USA, 2007; ISBN 978-1-888799-93-4. [Google Scholar]
- Garden, N.; Sullivan, K.A. An Examination of the Base Rates of Post-Concussion Symptoms: The Influence of Demographics and Depression. Appl. Neuropsychol. 2010, 17, 1–7. [Google Scholar] [CrossRef]
- Wang, Y.; Chan, R.; Deng, Y. Examination of Postconcussion-like Symptoms in Healthy University Students: Relationships to Subjective and Objective Neuropsychological Function Performance. Arch. Clin. Neuropsychol. 2006, 21, 339–347. [Google Scholar] [CrossRef]
- Dean, P.J.A.; O’Neill, D.; Sterr, A. Post-Concussion Syndrome: Prevalence after Mild Traumatic Brain Injury in Comparison with a Sample without Head Injury. Brain Inj. 2012, 26, 14–26. [Google Scholar] [CrossRef] [PubMed]
- van der Vlegel, M.; Polinder, S.; Toet, H.; Panneman, M.J.M.; Haagsma, J.A. Prevalence of Post-Concussion-Like Symptoms in the General Injury Population and the Association with Health-Related Quality of Life, Health Care Use, and Return to Work. J. Clin. Med. 2021, 10, 806. [Google Scholar] [CrossRef] [PubMed]
- McLean, S.A.; Kirsch, N.L.; Tan-Schriner, C.U.; Sen, A.; Frederiksen, S.; Harris, R.E.; Maixner, W.; Maio, R.F. Health Status, Not Head Injury, Predicts Concussion Symptoms after Minor Injury. Am. J. Emerg. Med. 2009, 27, 182–190. [Google Scholar] [CrossRef]
- Snell, D.L.; Martin, R.; Macleod, A.D.; Surgenor, L.J.; Siegert, R.J.; Jean, E.J.; Hay-Smith, C.; Melzer, T.; Hooper, G.J.; Anderson, T. Untangling Chronic Pain and Post-Concussion Symptoms: The Significance of Depression. Brain Inj. 2018, 32, 583–592. [Google Scholar] [CrossRef] [PubMed]
- Ulrichsen, K.M.; Kaufmann, T.; Dørum, E.S.; Kolskår, K.K.; Richard, G.; Alnæs, D.; Arneberg, T.J.; Westlye, L.T.; Nordvik, J.E. Clinical Utility of Mindfulness Training in the Treatment of Fatigue After Stroke, Traumatic Brain Injury and Multiple Sclerosis: A Systematic Literature Review and Meta-Analysis. Front. Psychol. 2016, 7, 912. [Google Scholar] [CrossRef] [PubMed]
- Wright, K.B. Researching Internet-Based Populations: Advantages and Disadvantages of Online Survey Research, Online Questionnaire Authoring Software Packages, and Web Survey Services. J. Comput.-Mediat. Commun. 2006, 10. [Google Scholar] [CrossRef]
- Gorbunova, A.; Zeldovich, M.; Voormolen, D.C.; Krenz, U.; Polinder, S.; Haagsma, J.A.; Hagmayer, Y.; Covic, A.; Real, R.G.L.; Asendorf, T.; et al. Reference Values of the QOLIBRI from General Population Samples in the United Kingdom and The Netherlands. J. Clin. Med. 2020, 9, 2100. [Google Scholar] [CrossRef]

| General Population Samples | TBI Sample | Comparison 5 | ||||||||
|---|---|---|---|---|---|---|---|---|---|---|
| Group | English | Italian | Dutch | Total | English | Dutch | Italian | Total | p | |
| Variable | (General Population Samples/ TBI Samples) | (N = 4646) | (N = 3549) | (N = 3564) | (N = 11759) | (N = 223) | (N = 597) | (N = 268) | (N = 1088) | |
| Age | Mean (SD) | 44.1 (15.6) | 45.0 (14.8) | 44.8 (15.3) | 44.6 (15.3) | 48.3 (17.1) | 52.9 (19.1) | 50.2 (20.6) | 51.3 (19.2) | All group comparisons < 0.001 |
| Median [Min, Max] | 44.0 [18.0, 75.0] | 45.0 [18.0, 75.0] | 45.0 [18.0, 75.0] | 44.0 [18.0, 75.0] | 51.0 [16.0, 85.0] | 57.0 [16.0, 95.0] | 53.0 [16.0, 93.0] | 54.0 [16.0, 95.0] | ||
| Age in groups 1 | 18–24/16–24 | 601 (12.9%) | 346 (9.7%) | 429 (12.0%) | 1376 (11.7%) | 29 (13.0%) | 74 (12.4%) | 46 (17.2%) | 149 (13.7%) | - |
| 25–34 | 880 (18.9%) | 608 (17.1%) | 598 (16.8%) | 2086 (17.7%) | 25 (11.2%) | 57 (9.5%) | 30 (11.2%) | 112 (10.3%) | ||
| 35–44 | 918 (19.8%) | 806 (22.7%) | 732 (20.5%) | 2456 (20.9%) | 28 (12.6%) | 56 (9.4%) | 29 (10.8%) | 113 (10.4%) | ||
| 45–54 | 912 (19.6%) | 726 (20.5%) | 743 (20.8%) | 2381 (20.2%) | 60 (26.9%) | 84 (14.1%) | 39 (14.6%) | 183 (16.8%) | ||
| 55–64 | 765 (16.5%) | 612 (17.2%) | 646 (18.1%) | 2023 (17.2%) | 44 (19.7%) | 142 (23.8%) | 48 (17.9%) | 234 (21.5%) | ||
| 65–75/65+ | 570 (12.3%) | 451 (12.7%) | 416 (11.7%) | 1437 (12.2%) | 37 (16.6%) | 184 (30.8%) | 76 (28.4%) | 297 (27.3%) | ||
| Gender/sex 2 | Male | 2288 (49.2%) | 1770 (49.9%) | 1782 (50.0%) | 5840 (49.7%) | 74 (33.2%) | 229 (38.4%) | 84 (31.3%) | 387 (35.6%) | All group comparisons < 0.001 |
| Female | 2358 (50.8%) | 1779 (50.1%) | 1782 (50.0%) | 5919 (50.3%) | 149 (66.8%) | 368 (61.6%) | 184 (68.7%) | 701 (64.4%) | ||
| Education 3 | Low/ primary school/none/unknown | 1066 (22.9%) | 1200 (33.8%) | 1064 (29.9%) | 3330 (28.3%) | 2 (0.9%) | 40 (6.7%) | 64 (23.9%) | 106 (9.7%) | All group comparisons < 0.001 |
| Middle/ secondary school/high school | 1986 (42.7%) | 1968 (55.5%) | 1601 (44.9%) | 5555 (47.2%) | 140 (62.8%) | 363 (60.8%) | 64 (23.9%) | 567 (52.1%) | ||
| High/ post-high school | 1594 (34.3%) | 381 (10.7%) | 899 (25.2%) | 2874 (24.4%) | 61 (27.4%) | 125 (20.9%) | 101 (37.7%) | 287 (26.4%) | ||
| Missing | - | - | - | - | 20 (9.0%) | 69 (11.6%) | 39 (14.6%) | 128 (11.8%) | ||
| Chronic health complaints/ TBI severity 4 | no chronic health complaints/ mild TBI | 2159 (46.5%) | 1940 (54.7%) | 1677 (47.1%) | 5776 (49.1%) | 160 (71.7%) | 474 (79.4%) | 174 (64.9%) | 808 (74.3%) | |
| at least one chronic health complaint/ moderate/severe TBI | 2487 (53.5%) | 1609 (45.3%) | 1887 (52.9%) | 5983 (50.9%) | 62 (27.8%) | 108 (18.1%) | 94 (35.1%) | 264 (24.3%) | - | |
| Missing | - | - | - | - | 1 (0.4%) | 15 (2.5%) | 0 (0%) | 16 (1.5%) | ||
| RPQ total score | Mean (SD) | 13.2 (14.0) | 11.6 (11.9) | 10.7 (12.4) | 12.0 (13.0) | 15.1 (12.7) | 14.8 (13.0) | 14.1 (11.7) | 14.7 (12.6) | - |
| Median [Min, Max] | 8.00 [0, 64.0] | 8.00 [0, 64.0] | 6.00 [0, 64.0] | 8.00 [0, 64.0] | 13.0 [0, 56.0] | 12.0 [0, 64.0] | 12.0 [0, 56.0] | 12.0 [0, 64.0] | - | |
| Somatic scale | Mean (SD) | 6.52 (7.14) | 6.03 (6.37) | 5.71 (6.64) | 6.13 (6.77) | 7.02 (6.41) | 7.15 (6.72) | 6.75 (6.03) | 7.02 (6.49) | - |
| Median [Min, Max] | 4.00 [0, 36.0] | 4.00 [0, 36.0] | 4.00 [0, 36.0] | 4.00 [0, 36.0] | 6.00 [0, 30.0] | 5.00 [0, 36.0] | 6.00 [0, 29.0] | 5.50 [0, 36.0] | - | |
| Emotional scale | Mean (SD) | 4.27 (4.79) | 3.66 (4.20) | 2.97 (4.08) | 3.69 (4.44) | 4.12 (4.00) | 3.76 (4.14) | 3.78 (3.78) | 3.84 (4.03) | - |
| Median [Min, Max] | 2.00 [0, 16.0] | 2.00 [0, 16.0] | 0 [0, 16.0] | 2.00 [0, 16.0] | 3.00 [0, 16.0] | 3.00 [0, 16.0] | 3.00 [0, 16.0] | 3.00 [0, 16.0] | - | |
| Cognitive Scale | Mean (SD) | 2.43 (3.47) | 1.90 (2.90) | 2.05 (3.14) | 2.15 (3.22) | 3.92 (3.65) | 3.85 (3.51) | 3.62 (3.24) | 3.81 (3.47) | - |
| Median [Min, Max] | 0 [0, 12.0] | 0 [0, 12.0] | 0 [0, 12.0] | 0 [0, 12.0] | 3.00 [0, 12.0] | 3.00 [0, 12.0] | 3.00 [0, 12.0] | 3.00 [0, 12.0] | - | |
| English | Italian | Dutch | Total | |
|---|---|---|---|---|
| N (%) | N (%) | N (%) | N (%) | |
| Asthma | 602 (13.0%) | 258 (7.3%) | 336 (9.4%) | 1196 (10.2%) |
| Heart Disease | 109 (2.3%) | 68 (1.9%) | 102 (2.9%) | 279 (2.4%) |
| Stroke | 74 (1.6%) | 40 (1.1%) | 81 (2.3%) | 195 (1.7%) |
| Diabetes | 390 (8.4%) | 247 (7.0%) | 274 (7.7%) | 911 (7.7%) |
| Back complaints | 567 (12.2%) | 224 (6.3%) | 355 (10.0%) | 1146 (9.7%) |
| Arthrosis | 141 (3.0%) | 345 (9.7%) | 346 (9.7%) | 832 (7.1%) |
| Rheumatism | 192 (4.1%) | 235 (6.6%) | 218 (6.1%) | 645 (5.5%) |
| Cancer | 128 (2.8%) | 66 (1.9%) | 140 (3.9%) | 334 (2.8%) |
| Dementia | 82 (1.8%) | 62 (1.7%) | 94 (2.6%) | 238 (2.0%) |
| Aging problems | 205 (4.4%) | 149 (4.2%) | 82 (2.3%) | 436 (3.7%) |
| Depression | 1254 (27.0%) | 522 (14.7%) | 423 (11.9%) | 2199 (18.7%) |
| Other 1 | 493 (10.6%) | 354 (10.0%) | 687 (19.3%) | 1534 (13.0%) |
| Total | 4646 (100%) | 3549 (100%) | 3564 (100%) | 11,759 (100%) |
| Gender × Health Status × Age | Low Symptoms Severity | −1 SD | Md | +1 SD | High Symptoms Severity | |||||||||
|---|---|---|---|---|---|---|---|---|---|---|---|---|---|---|
| Gender | Health status | Age | N | 2.5% | 5% | 16% | 30% | 40% | 50% | 60% | 70% | 85% | 95% | 97.5% |
| Male | Healthy | 18–40 | 566 | 0 | 0 | 0 | 0 | 0 | 2 | 5 | 8 | 16 | 30 | 33 |
| 41–64 | 460 | 0 | 0 | 0 | 0 | 0 | 0 | 2 | 4 | 10 | 21 | 28 | ||
| 65–75 | 118 | 0 | 0 | 0 | 0 | 0 | 0 | 2 | 4 | 9 | 21 | 24 | ||
| At least one chronic health condition | 18–40 | 446 | 0 | 0 | 4 | 9 | 15 | 19 | 24 | 28 | 36 | 46 | 50 | |
| 41–64 | 542 | 0 | 0 | 2 | 6 | 10 | 15 | 19 | 24 | 34 | 48 | 53 | ||
| 65–75 | 156 | 0 | 0 | 0 | 2 | 4 | 6 | 11 | 13 | 24 | 31 | 40 | ||
| Female | Healthy | 18–40 | 474 | 0 | 0 | 0 | 0 | 3 | 6 | 8 | 12 | 21 | 31 | 34 |
| 41–64 | 422 | 0 | 0 | 0 | 0 | 0 | 3 | 4 | 8 | 16 | 25 | 30 | ||
| 65–75 | 119 | 0 | 0 | 0 | 0 | 0 | 2 | 3 | 4 | 10 | 18 | 24 | ||
| At least one chronic health condition | 18–40 | 564 | 0 | 0 | 7 | 13 | 17 | 21 | 25 | 29 | 37 | 49 | 52 | |
| 41–64 | 602 | 0 | 0 | 6 | 10 | 15 | 20 | 24 | 29 | 38 | 48 | 52 | ||
| 65–75 | 177 | 0 | 0 | 2 | 4 | 7 | 10 | 12 | 16 | 25 | 36 | 39 | ||
| Total | 4646 | 0 | 0 | 0 | 2 | 5 | 8 | 13 | 19 | 30 | 41 | 48 | ||
| Gender × Health Status × Age | Low Symptoms Severity | −1 SD | Md | +1 SD | High Symptoms Severity | |||||||||
|---|---|---|---|---|---|---|---|---|---|---|---|---|---|---|
| Gender | Health status | Age | N | 2.5% | 5% | 16% | 30% | 40% | 50% | 60% | 70% | 85% | 95% | 97.5% |
| Male | Healthy | 18–40 | 467 | 0 | 0 | 0 | 0 | 2 | 3 | 4 | 7 | 14 | 26 | 32 |
| 41–64 | 454 | 0 | 0 | 0 | 0 | 0 | 2 | 4 | 7 | 14 | 26 | 32 | ||
| 65–75 | 106 | 0 | 0 | 0 | 0 | 0 | 2 | 4 | 6 | 10 | 17 | 19 | ||
| At least one chronic health condition | 18–40 | 227 | 0 | 0 | 2 | 7 | 11 | 15 | 18 | 23 | 31 | 38 | 39 | |
| 41–64 | 391 | 0 | 0 | 2 | 4 | 8 | 11 | 15 | 20 | 29 | 39 | 44 | ||
| 65–75 | 125 | 0 | 0 | 0 | 2 | 5 | 8 | 10 | 14 | 19 | 31 | 36 | ||
| Female | Healthy | 18–40 | 419 | 0 | 0 | 0 | 3 | 4 | 7 | 11 | 15 | 21 | 30 | 32 |
| 41–64 | 403 | 0 | 0 | 0 | 2 | 4 | 6 | 8 | 12 | 20 | 31 | 33 | ||
| 65–75 | 91 | 0 | 0 | 0 | 0 | 0 | 2 | 6 | 7 | 12 | 24 | 31 | ||
| At least one chronic health condition | 18–40 | 302 | 0 | 0 | 5 | 11 | 15 | 17 | 22 | 27 | 33 | 40 | 44 | |
| 41–64 | 435 | 0 | 0 | 6 | 10 | 14 | 17 | 20 | 24 | 33 | 42 | 47 | ||
| 65–75 | 129 | 0 | 0 | 2 | 7 | 10 | 12 | 16 | 18 | 27 | 37 | 39 | ||
| Total | 3549 | 0 | 0 | 0 | 2 | 5 | 8 | 12 | 16 | 25 | 35 | 40 | ||
| Gender × Health Status × Age | Low Symptoms Severity | −1 SD | Md | +1 SD | High Symptoms Severity | |||||||||
|---|---|---|---|---|---|---|---|---|---|---|---|---|---|---|
| Gender | Health status | Age | N | 2.5% | 5% | 16% | 30% | 40% | 50% | 60% | 70% | 85% | 95% | 97.5% |
| Male | Healthy | 18–40 | 444 | 0 | 0 | 0 | 0 | 0 | 2 | 4 | 6 | 14 | 27 | 32 |
| 41–64 | 412 | 0 | 0 | 0 | 0 | 0 | 0 | 2 | 4 | 11 | 21 | 28 | ||
| 65–75 | 94 | 0 | 0 | 0 | 0 | 0 | 0 | 0 | 2 | 4 | 8 | 10 | ||
| At least one chronic health condition | 18–40 | 276 | 0 | 0 | 0 | 6 | 8 | 14 | 19 | 24 | 33 | 44 | 49 | |
| 41–64 | 447 | 0 | 0 | 0 | 4 | 7 | 10 | 15 | 20 | 29 | 42 | 47 | ||
| 65–75 | 109 | 0 | 0 | 0 | 0 | 2 | 4 | 6 | 10 | 18 | 28 | 35 | ||
| Female | Healthy | 18–40 | 363 | 0 | 0 | 0 | 0 | 2 | 4 | 6 | 10 | 18 | 28 | 32 |
| 41–64 | 298 | 0 | 0 | 0 | 0 | 2 | 2 | 4 | 8 | 13 | 23 | 29 | ||
| 65–75 | 66 | 0 | 0 | 0 | 0 | 0 | 2 | 3 | 4 | 10 | 18 | 19 | ||
| At least one chronic health condition | 18–40 | 372 | 0 | 0 | 5 | 11 | 14 | 18 | 21 | 26 | 33 | 45 | 51 | |
| 41–64 | 536 | 0 | 0 | 2 | 6 | 8 | 12 | 16 | 21 | 29 | 37 | 44 | ||
| 65–75 | 147 | 0 | 0 | 0 | 4 | 6 | 8 | 11 | 15 | 22 | 32 | 35 | ||
| Total | 3564 | 0 | 0 | 0 | 2 | 4 | 6 | 9 | 14 | 25 | 35 | 43 | ||
Publisher’s Note: MDPI stays neutral with regard to jurisdictional claims in published maps and institutional affiliations. |
© 2022 by the authors. Licensee MDPI, Basel, Switzerland. This article is an open access article distributed under the terms and conditions of the Creative Commons Attribution (CC BY) license (https://creativecommons.org/licenses/by/4.0/).
Share and Cite
Zeldovich, M.; Bockhop, F.; Covic, A.; Cunitz, K.; Polinder, S.; Haagsma, J.A.; von Steinbuechel, N.; on behalf of the CENTER-TBI Participants and Investigators. Reference Values for the Rivermead Post-Concussion Symptoms Questionnaire (RPQ) from General Population Samples in the United Kingdom, Italy, and The Netherlands. J. Clin. Med. 2022, 11, 4658. https://doi.org/10.3390/jcm11164658
Zeldovich M, Bockhop F, Covic A, Cunitz K, Polinder S, Haagsma JA, von Steinbuechel N, on behalf of the CENTER-TBI Participants and Investigators. Reference Values for the Rivermead Post-Concussion Symptoms Questionnaire (RPQ) from General Population Samples in the United Kingdom, Italy, and The Netherlands. Journal of Clinical Medicine. 2022; 11(16):4658. https://doi.org/10.3390/jcm11164658
Chicago/Turabian StyleZeldovich, Marina, Fabian Bockhop, Amra Covic, Katrin Cunitz, Suzanne Polinder, Juanita A. Haagsma, Nicole von Steinbuechel, and on behalf of the CENTER-TBI Participants and Investigators. 2022. "Reference Values for the Rivermead Post-Concussion Symptoms Questionnaire (RPQ) from General Population Samples in the United Kingdom, Italy, and The Netherlands" Journal of Clinical Medicine 11, no. 16: 4658. https://doi.org/10.3390/jcm11164658
APA StyleZeldovich, M., Bockhop, F., Covic, A., Cunitz, K., Polinder, S., Haagsma, J. A., von Steinbuechel, N., & on behalf of the CENTER-TBI Participants and Investigators. (2022). Reference Values for the Rivermead Post-Concussion Symptoms Questionnaire (RPQ) from General Population Samples in the United Kingdom, Italy, and The Netherlands. Journal of Clinical Medicine, 11(16), 4658. https://doi.org/10.3390/jcm11164658

