Fragility Fractures and Imminent Fracture Risk in the Spanish Population: A Retrospective Observational Cohort Study
Abstract
1. Introduction
2. Materials and Methods
3. Results
3.1. Patient Baseline Characteristics
3.2. Incidence Rate of Index Fracture in the General Population
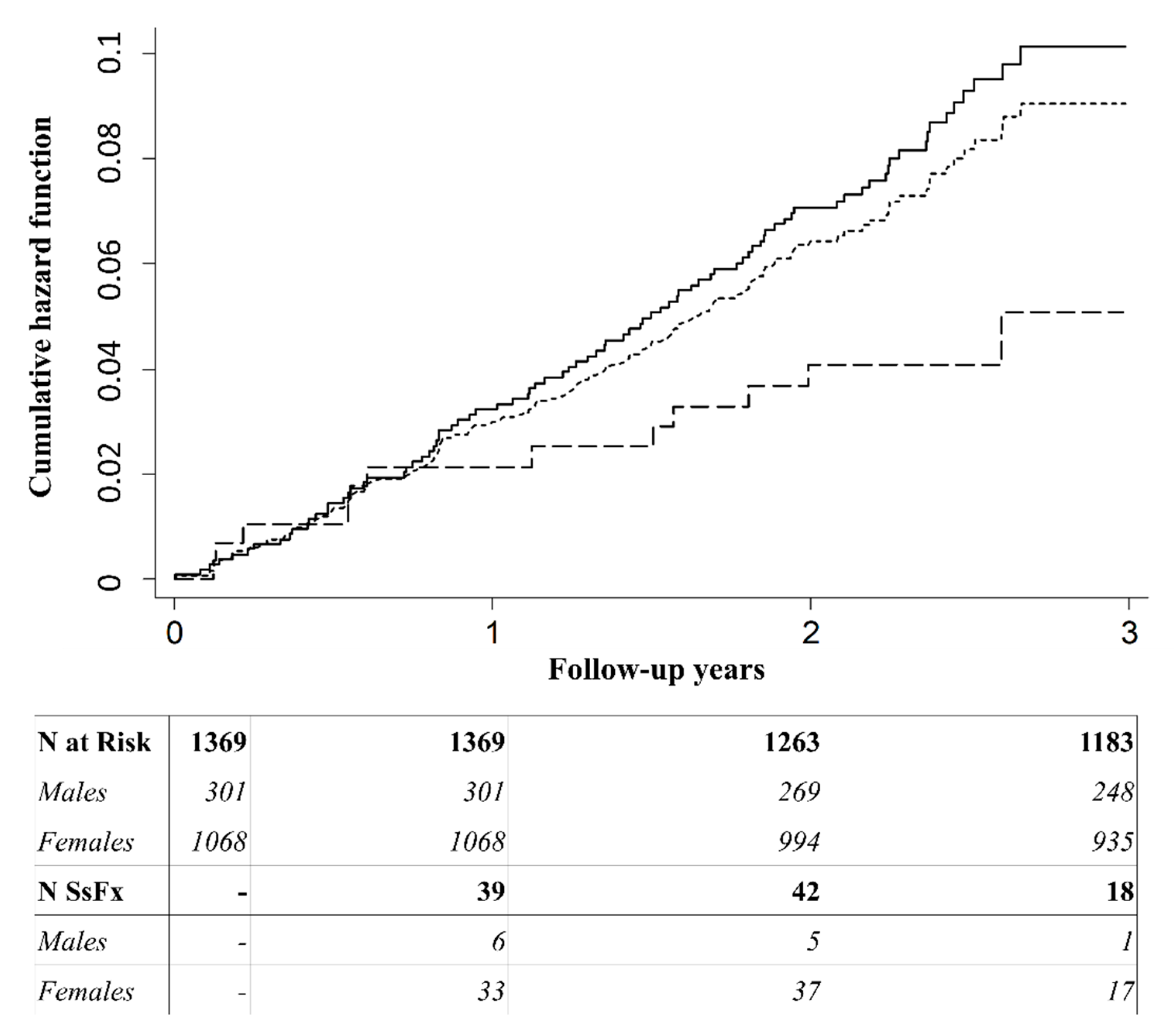
3.3. Incidence of Subsequent Fractures
3.4. Risk Factors of Subsequent Clinical Fracture
3.5. Risk of Death Following Initial Fracture
4. Discussion
5. Conclusions
Supplementary Materials
Author Contributions
Funding
Institutional Review Board Statement
Informed Consent Statement
Data Availability Statement
Acknowledgments
Conflicts of Interest
References
- Hernlund, E.; Svedbom, A.; Ivergard, M.; Compston, J.; Cooper, C.; Stenmark, J.; McCloskey, E.V.; Jonsson, B.; Kanis, J.A. Osteoporosis in the European Union: Medical management, epidemiology and economic Burden: A report prepared in collaboration with the International Osteoporosis Foundation (IOF) and the European Federation of Pharmaceutical Industry Associations (EFPIA). Arch. Osteoporos. 2013, 8, 136. [Google Scholar] [CrossRef]
- Shuid, A.N.; Khaithir, T.M.N.; Mokhtar, S.A.; Mohamed, I.N.; Nazrun, A.S.; Tzar, M.N. A systematic review of the outcomes of osteoporotic fracture patients after hospital discharge: Morbidity, subsequent fractures, and mortality. Ther. Clin. Risk Manag. 2014, 10, 937–948. [Google Scholar] [CrossRef]
- Kanis, J.A. Assessment of Osteoporosis at the Primary Health Care Level; WHO Scientific Group Technical Report; WHO Collaborating Centre for Metabolic Bone Diseases, University of Sheffield Medical School: Sheffield, UK, 2007; pp. 1–339. [Google Scholar]
- Papaioannou, A.; Kennedy, C. Diagnostic criteria for osteoporosis should be expanded. Lancet Diabetes Endocrinol. 2015, 3, 234–236. [Google Scholar] [CrossRef]
- Roux, C.; Briot, K. Imminent fracture risk. Osteoporos. Int. 2017, 28, 1765–1769. [Google Scholar] [CrossRef] [PubMed]
- Van Geel, T.A.C.M.; Huntjens, K.M.B.; Bergh, J.P.W.V.D.; Dinant, G.-J.; Geusens, P.P. Timing of Subsequent Fractures after an Initial Fracture. Curr. Osteoporos. Rep. 2010, 8, 118–122. [Google Scholar] [CrossRef]
- Klotzbuecher, C.M.; Ross, P.D.; Landsman, P.B.; Abbott, T.A.; Berger, M. Patients with Prior Fractures Have an Increased Risk of Future Fractures: A Summary of the Literature and Statistical Synthesis. J. Bone Miner. Res. 2010, 15, 721–739. [Google Scholar] [CrossRef]
- Schnell, A.D.; Curtis, J.R.; Saag, K.G. Importance of Recent Fracture as Predictor of Imminent Fracture Risk. Curr. Osteoporos. Rep. 2018, 16, 738–745. [Google Scholar] [CrossRef]
- A Kanis, J.; Johansson, H.; Odén, A.; Harvey, N.C.; Gudnason, V.; Sanders, K.M.; Sigurdsson, G.; Siggeirsdottir, K.; A Fitzpatrick, L.; Borgström, F.; et al. Characteristics of recurrent fractures. Osteoporos. Int. 2018, 29, 1747–1757. [Google Scholar] [CrossRef] [PubMed]
- Balasubramanian, A.; Zhang, J.; Chen, L.; Wenkert, D.; Daigle, S.G.; Grauer, A.; Curtis, J.R. Risk of subsequent fracture after prior fracture among older women. Osteoporos. Int. 2019, 30, 79–92. [Google Scholar] [CrossRef]
- Banefelt, J.; Åkesson, K.; Spångéus, A.; Ljunggren, O.; Karlsson, L.; Ström, O.; Ortsäter, G.; Libanati, C.; Toth, E. Risk of imminent fracture following a previous fracture in a Swedish database study. Osteoporos. Int. 2019, 30, 601–609. [Google Scholar] [CrossRef] [PubMed]
- Borgen, T.T.; Bjørnerem, Å.; Solberg, L.B.; Andreasen, C.; Brunborg, C.; Stenbro, M.; Hübschle, L.M.; Froholdt, A.; Figved, W.; Apalset, E.M.; et al. Post-fracture Risk Assessment: Target the Centrally Sited Fractures First! A Substudy of NoFRACT. J. Bone Miner. Res. 2019, 34, 2036–2044. [Google Scholar] [CrossRef]
- Cosman, F.; De Beur, S.J.; LeBoff, M.S.; Lewiecki, E.M.; Tanner, B.; Randall, S.; Lindsay, R. Clinician’s Guide to Prevention and Treatment of Osteoporosis. Osteoporos. Int. 2014, 25, 2359–2381. [Google Scholar] [CrossRef]
- Gehlbach, S.H.; Saag, K.G.; Adachi, J.D.; Hooven, F.H.; Flahive, J.; Boonen, S.; Chapurlat, R.D.; Compston, J.E.; Cooper, C.; Díez-Perez, A.; et al. Previous fractures at multiple sites increase the risk for subsequent fractures: The global longitudinal study of osteoporosis in women. J. Bone Miner. Res. 2012, 27, 645–653. [Google Scholar] [CrossRef]
- Kanis, J.; Cooper, C.; Rizzoli, R.; Reginster, J.-Y.; on behalf of the Scientific Advisory Board of the European Society for Clinical and Economic Aspects of Osteoporosis (ESCEO) and the Committees of Scientific Advisors and National Societies of the International Osteoporosis Foundation (IOF). European guidance for the diagnosis and management of osteoporosis in postmenopausal women. Osteoporos. Int. 2019, 30, 3–44. [Google Scholar] [CrossRef]
- Johansson, H.; Siggeirsdóttir, K.; Harvey, N.C.; Odén, A.; Gudnason, V.; McCloskey, E.; Sigurdsson, G.; A Kanis, J. Imminent risk of fracture after fracture. Osteoporos. Int. 2017, 28, 775–780. [Google Scholar] [CrossRef]
- Kanis, J.; Johnell, O.; De Laet, C.; Johansson, H.; Oden, A.; Delmas, P.; Eisman, J.; Fujiwara, S.; Garnero, P.; Kroger, H.; et al. A meta-analysis of previous fracture and subsequent fracture risk. Bone 2004, 35, 375–382. [Google Scholar] [CrossRef]
- Langsetmo, L.; Goltzman, D.; Kovacs, C.S.; Adachi, J.D.; Hanley, D.A.; Kreiger, N.; Josse, R.; Papaioannou, A.; Olszynski, W.P.; Jamal, S.A.; et al. Repeat low-trauma fractures occur frequently among men and women who have osteopenic BMD. J. Bone Miner. Res. 2009, 24, 1515–1522. [Google Scholar] [CrossRef]
- De Laet, C.E.D.H.; Van Der Klift, M.; Hofman, A.; Pols, H.A.P. Osteoporosis in Men and Women: A Story About Bone Mineral Density Thresholds and Hip Fracture Risk. J. Bone Miner. Res. 2002, 17, 2231–2236. [Google Scholar] [CrossRef] [PubMed]
- World Health Organization. Guidelines for Preclinical Evaluation and Clinical Trials in Osteoporosis Geneva; World Health Organization: Geneva, Switzerland, 1998; pp. 1–59. [Google Scholar]
- García-Gavilán, J.; Bulló, M.; Canudas, S.; Martínez-González, M.; Estruch, R.; Giardina, S.; Fitó, M.; Corella, D.; Ros, E.; Salas-Salvadó, J. Extra virgin olive oil consumption reduces the risk of osteoporotic fractures in the PREDIMED trial. Clin. Nutr. 2018, 37, 329–335. [Google Scholar] [CrossRef] [PubMed]
- Fine, J.P.; Gray, R.J. A Proportional Hazards Model for the Subdistribution of a Competing Risk. J. Am. Stat. Assoc. 1999, 94, 496–509. [Google Scholar] [CrossRef]
- Riggs, B.L.; Melton, L.J.; Robb, R.A.; Camp, J.J.; Atkinson, E.J.; Oberg, A.L.; A Rouleau, P.; McCollough, C.H.; Khosla, S.; Bouxsein, M.L. Population-Based Analysis of the Relationship of Whole Bone Strength Indices and Fall-Related Loads to Age- and Sex-Specific Patterns of Hip and Wrist Fractures. J. Bone Miner. Res. 2005, 21, 315–323. [Google Scholar] [CrossRef] [PubMed]
- Sigurdsson, G.; Aspelund, T.; Chang, M.; Jonsdottir, B.; Sigurdsson, S.; Eiriksdottir, G.; Gudmundsson, A.; Harris, T.B.; Gudnason, V.; Lang, T.F. Increasing sex difference in bone strength in old age: The Age, Gene/Environment Susceptibility-Reykjavik study (AGES-REYKJAVIK). Bone 2006, 39, 644–651. [Google Scholar] [CrossRef] [PubMed]
- Lane, N.E. Epidemiology, etiology, and diagnosis of osteoporosis. Am. J. Obstet. Gynecol. 2006, 194, S3–S11. [Google Scholar] [CrossRef] [PubMed]
- Kanis, J.A. Osteoporosis III: Diagnosis of osteoporosis and assessment of fracture risk. Lancet 2002, 359, 1929–1936. [Google Scholar] [CrossRef]
- González López-Valcárcel, B.; Sosa Henríquez, M. Estimación del riesgo de fractura osteoporótica a los 10 años para la pobla-ción española. Med. Clin. 2013, 140, 104–109. [Google Scholar] [CrossRef]
- Borgström, F.; for the International Osteoporosis Foundation; Karlsson, L.; Ortsäter, G.; Norton, N.; Halbout, P.; Cooper, C.; Lorentzon, M.; McCloskey, E.V.; Harvey, N.C.; et al. Fragility fractures in Europe: Burden, management and opportunities. Arch. Osteoporos. 2020, 15, 1–21. [Google Scholar] [CrossRef] [PubMed]
- Tsuda, T. Epidemiology of fragility fractures and fall prevention in the elderly: A systematic review of the literature. Curr. Orthop. Pr. 2017, 28, 580–585. [Google Scholar] [CrossRef]
- Azagra, R.; Roca, G.; Encabo, G.; Prieto, D.; Aguye, A.; Zwart, M.; Güell, S.; Puchol, N.; Gené, E.; Casado, E.; et al. Prediction of absolute risk of fragility fracture at 10 years in a Spanish population: Validation of the WHO FRAX ™ tool in Spain. BMC Musculoskelet. Disord. 2011, 12, 30. [Google Scholar] [CrossRef]
- Bynum, J.P.W.; Bell, J.E.; Cantu, R.V.; Wang, Q.; McDonough, C.M.; Carmichael, D.; Tosteson, T.D.; Tosteson, A.N.A. Second fractures among older adults in the year following hip, shoulder, or wrist fracture. Osteoporos. Int. 2016, 27, 2207–2215. [Google Scholar] [CrossRef]
- Schnell, S.; Friedman, S.M.; Mendelson, D.A.; Bingham, K.W.; Kates, S.L. The 1-Year Mortality of Patients Treated in a Hip Fracture Program for Elders. Geriatr. Orthop. Surg. Rehabil. 2010, 1, 6–14. [Google Scholar] [CrossRef] [PubMed]
- Guzon-Illescas, O.; Fernandez, E.P.; Villarias, N.C.; Donate, F.J.Q.; Peña, M.; Alonso-Blas, C.; García-Vadillo, A.; Mazzucchelli, R. Mortality after osteoporotic hip fracture: Incidence, trends, and associated factors. J. Orthop. Surg. Res. 2019, 14, 1–9. [Google Scholar] [CrossRef] [PubMed]
- Kanis, J.; Oden, A.; Johnell, O.; De Laet, C.; Jonsson, B.; Oglesby, A. The components of excess mortality after hip fracture. Bone 2003, 32, 468–473. [Google Scholar] [CrossRef]
- Kanis, J.A.; Cooper, C.; Rizzoli, R.; Abrahamsen, B.; Al-Daghri, N.M.; Brandi, M.L.; Cannata-Andia, J.; Cortet, B.; Dimai, H.P.; Ferrari, S.; et al. Identification and management of patients at increased risk of osteoporotic fracture: Outcomes of an ESCEO expert consensus meeting. Osteoporos. Int. 2017, 28, 2023–2034. [Google Scholar] [CrossRef] [PubMed]
- Naranjo, A.; Ojeda, S.; Giner, M.; Balcells-Oliver, M.; Canals, L.; Cancio, J.M.; Duaso, E.; Mora-Fernández, J.; Pablos, C.; González, A.; et al. Best Practice Framework of Fracture Liaison Services in Spain and their coordination with Primary Care. Arch. Osteoporos. 2020, 15, 1–7. [Google Scholar] [CrossRef]



| Index Fracture Site | |||||||
|---|---|---|---|---|---|---|---|
| Age * | All Sites | Hip | Pelvis | Vertebral | Prox. Humerus | Wrist | |
| All subjects | 50+ years | 86.9 (82.4–91.6) | 27.5 (25.0–30.2) | 4.6 (3.6–5.8) | 6.0 (4.8–7.3) | 16.8 (14.8–18.9) | 32.1 (29.4–35.0) |
| Males | All males | 42.3 (37.7–47.4) | 15.6 (12.8–18.8) | 1.8 (0.0–3.1) | 2.4 (1.4–3.8) | 8.3 (6.3–10.7) | 14.2 (11.6–17.3) |
| 50–59 years | 23.4 (18.3–29.5) | 2.3 (0.9–4.8) | 0.0 (NA) | 1.3 (0.4–3.4) | 7.3 (4.5–11.0) | 12.5 (8.9–17.2) | |
| 60–69 years | 24.7 (18.5–32.3) | 4.7 (2.2–8.6) | 0.9 (0.1–3.4) | 0.9 (0.1–3.4) | 6.1 (3.2–10.4) | 12.1 (7.9–17.8) | |
| 70–79 years | 56.4 (44.1–71.0) | 18.8 (12.1–28.0) | 2.4 (0.5–6.9) | 3.1 (0.9–8.0) | 11.8 (6.6–19.4) | 20.4 (13.3–29.8) | |
| 80+ years | 157.7 (129.0–190.9) | 105.1 (82.0–132.8) | 12.0 (5.2–23.7) | 10.5 (4.2–21.7) | 13.5 (6.2–25.7 | 16.5 (8.25–29.6) | |
| Females | All females | 123.9 (116.6–131.6) | 37.1 (33.2–41.4) | 7.1 (5.4–9.1) | 8.9 (7.1–11.2) | 23.8 (20.6–27.3) | 47.0 (42.5–51.8) |
| 50–59 years | 48.3 (41.00–6.5) | 3.7 (1.9–6.5) | 0.6 (0.1 -2.3) | 4.4 (2.4–7.3) | 12.2 (8.6–16.6) | 27.4 (22.0–33.8) | |
| 60–69 years | 77.9 (67.1–89.9) | 5.8 (3.2–9.8) | 2.5 (0.9–5.4) | 2.9 (1.2–6.0) | 19.6 (14.4–26.0) | 47.1 (38.8–56.6) | |
| 70–79 years | 150.2 (132.4–169.7) | 38.0 (29.3–48.4) | 8.2 (4.5–13.7) | 13.4 (8.5–20.2) | 31.6 (23.7–41.2) | 59.0 (48.1–71.7) | |
| 80+ years | 359.5 (327.7–393.6) | 175.5 (153.5–199.8) | 29.9 (21.3–40.9) | 25.3 (17.4–35.5) | 49.8 (38.5–63.5) | 79.0 (64.4–95.8) | |
| Index Fracture Site | |||||||
|---|---|---|---|---|---|---|---|
| Age * | All Sites | Hip | Pelvis | Vertebral | Prox. Humerus | Wrist | |
| All subjects | 50+ years | 318.2 (261.3–387.5) | 406.8 (294.7–561.4) | 425.8 (203.1–893.1) | 364.5 (182.3–728.9) | 306.0 (195.2–479.8) | 234.0 (161.6–338.9) |
| Males | All males | 180.4 (93.2–315.1) | 228.8 (74.3–534.0) | 0.0 (NA) | 504.4 (61.1–1821.9) | 69.7 (1.8–388.5) | 171.4 (46.7–438.8) |
| 50–59 years | 56.4 (1.4–314.2) | 0.0 (NA) | 0.0 (NA) | 1014.3 (25.7–5651.3) | 0.0 (NA) | 0.0 (NA) | |
| 60–69 years | 0.0 (NA) | 0.0 (NA) | 0.0 (NA) | 0.0 (NA) | 0.0 (NA) | 0.0 (NA) | |
| 70–79 years | 259.4 (70.7–664.1) | 464.9 (56.3–1679.4) | 0.0 (NA) | 0.0 (NA) | 0.0 (NA) | 359.8 (43.6–1299.5) | |
| 80+ years | 333.0 (133.9–686.2) | 218.9 (45.2–639.8) | 0.0 (NA) | 665.4 (16.9–3707.5) | 473.4 (12.0–2637.8) | 1048.8 (127.0–3788.7) | |
| Females | All females | 355.7 (284.9–438.8) | 463.0 (316.7–653.6) | 521.8 (209.8–1075.1) | 333.7 (122.4–726.2) | 377.0 (223.4–595.8) | 249.1 (159.6–370.7) |
| 50–59 years | 131.2 (42.6–306.3) | 0.0 (NA) | 0.0 (NA) | 275.8 (7.0–1536.8) | 107.0 (2.7–596.1) | 137.7 (28.4–402.4) | |
| 60–69 years | 131.5 (48.3–286.2) | 0.0 (NA) | 0.0 (NA) | 0.0 (NA) | 0.0 (NA) | 217.8 (79.9–474.0) | |
| 70–79 years | 352.4 (218.1–538.6) | 414.11 (152.0–901.3) | 0.0 (NA) | 571.2 (117.8–1669.2) | 658.4 (284.3–1297.3) | 163.5 (44.5–418.6) | |
| 80+ years | 543.2 (409.2–707.0) | 540.6 (353.1–792.1) | 852.6 (342.8–1756.7) | 262.7 (31.8–948.8) | 607.8 (277.9–1153.8) | 488.3 (243.8–873.7) |
| Risk Factor | HR † | 95% CI | p > |z| | SHR ‡ | 95% CI | p > |z| |
|---|---|---|---|---|---|---|
| Sex | ||||||
| Male * | 1 | 1 | ||||
| Female | 1.73 | (0.94–3.17) | 0.08 | 1.87 | (1.01–3.46) | 0.05 |
| Age group | ||||||
| 50–59 years * | 1 | 1 | ||||
| 60–69 years | 0.92 | (0.30–2.86) | 0.88 | 0.91 | (0.30–2.78) | 0.87 |
| 70–79 years | 2.94 | (1.20–7.22) | 0.02 | 2.88 | (1.18–7.05) | 0.02 |
| 80+ years | 4.41 | (1.85–10.51) | <0.01 | 4.15 | (1.74–9.89) | <0.01 |
| Index fracture site | ||||||
| Hip | 1.05 | (0.62–1.77) | 0.85 | 0.98 | (0.58–1.66) | 0.94 |
| Pelvis | 1.14 | (0.49–2.64) | 0.77 | 1.12 | (0.49–2.57) | 0.79 |
| Vertebral | 1.14 | (0.52–2.53) | 0.74 | 1.14 | (0.51–2.53) | 0.75 |
| Prox. humerus | 1.20 | (0.67–2.15) | 0.54 | 1.22 | (0.68–2.18) | 0.51 |
| Wrist * | 1 | 1 | ||||
| Index fracture type + | ||||||
| Appendicular | 1 | 1 | ||||
| Central | 1 | (0.66–1.53) | 0.99 | 0.95 | (0.61–1.46) | 0.80 |
| Risk Factor | MR × 1000 PY ‡ | HR † | 95% CI | p > |z| |
|---|---|---|---|---|
| Sex | ||||
| Male * | 67.42 | 1 | ||
| Female | 29.09 | 0.41 | (0.28–0.60) | <0.01 |
| Age group | ||||
| 50–59years * | 12.42 | 1 | ||
| 60–69years | 17.04 | 1.43 | (0.54–3.77) | 0.47 |
| 70–79years | 29.30 | 2.00 | (0.84–4.73) | 0.12 |
| 80+years | 62.00 | 3.43 | (1.51–7.77) | <0.01 |
| Index fracture site | ||||
| Hip | 73.50 | 2.48 | (1.47–4.19) | <0.01 |
| Pelvis | 52.60 | 1.95 | (0.88–4.35) | 0.10 |
| Vertebral * | 22.07 | 1.01 | (0.38–2.68) | 0.99 |
| Proximal humerus | 21.83 | 1.13 | (0.58–2.21) | 0.73 |
| Wrist | 17.82 | 1 | ||
| Presence of SsFX | ||||
| no SsFX * | 36.32 | 1 | ||
| SsFX | 60.89 | 2.14 | (0.97–4.70) | 0.06 |
Publisher’s Note: MDPI stays neutral with regard to jurisdictional claims in published maps and institutional affiliations. |
© 2021 by the authors. Licensee MDPI, Basel, Switzerland. This article is an open access article distributed under the terms and conditions of the Creative Commons Attribution (CC BY) license (http://creativecommons.org/licenses/by/4.0/).
Share and Cite
Montoya-García, M.-J.; Giner, M.; Marcos, R.; García-Romero, D.; Olmo-Montes, F.-J.; Miranda, M.J.; Hernández-Cruz, B.; Colmenero, M.-A.; Vázquez-Gámez, M.A. Fragility Fractures and Imminent Fracture Risk in the Spanish Population: A Retrospective Observational Cohort Study. J. Clin. Med. 2021, 10, 1082. https://doi.org/10.3390/jcm10051082
Montoya-García M-J, Giner M, Marcos R, García-Romero D, Olmo-Montes F-J, Miranda MJ, Hernández-Cruz B, Colmenero M-A, Vázquez-Gámez MA. Fragility Fractures and Imminent Fracture Risk in the Spanish Population: A Retrospective Observational Cohort Study. Journal of Clinical Medicine. 2021; 10(5):1082. https://doi.org/10.3390/jcm10051082
Chicago/Turabian StyleMontoya-García, Maria-José, Mercè Giner, Rodrigo Marcos, David García-Romero, Francisco-Jesús Olmo-Montes, Mª José Miranda, Blanca Hernández-Cruz, Miguel-Angel Colmenero, and Mª Angeles Vázquez-Gámez. 2021. "Fragility Fractures and Imminent Fracture Risk in the Spanish Population: A Retrospective Observational Cohort Study" Journal of Clinical Medicine 10, no. 5: 1082. https://doi.org/10.3390/jcm10051082
APA StyleMontoya-García, M.-J., Giner, M., Marcos, R., García-Romero, D., Olmo-Montes, F.-J., Miranda, M. J., Hernández-Cruz, B., Colmenero, M.-A., & Vázquez-Gámez, M. A. (2021). Fragility Fractures and Imminent Fracture Risk in the Spanish Population: A Retrospective Observational Cohort Study. Journal of Clinical Medicine, 10(5), 1082. https://doi.org/10.3390/jcm10051082

