Adjuvant Lineage-Negative Cell Therapy as a Potential Silencer of the Complement-Mediated Immune System in ALS Patients
Abstract
:1. Introduction
2. Materials and Methods
2.1. Patients
2.2. Neurological Assessment
2.3. Lineage-Negative Cells Isolation and Administration
2.4. Multiplex Analysis of Complement Components Concentration in Plasma and CSF
2.5. Blood Examinations
2.6. Statistical Analysis
3. Results
3.1. Complement Components Concentrations
3.2. Blood Cell Count Analysis
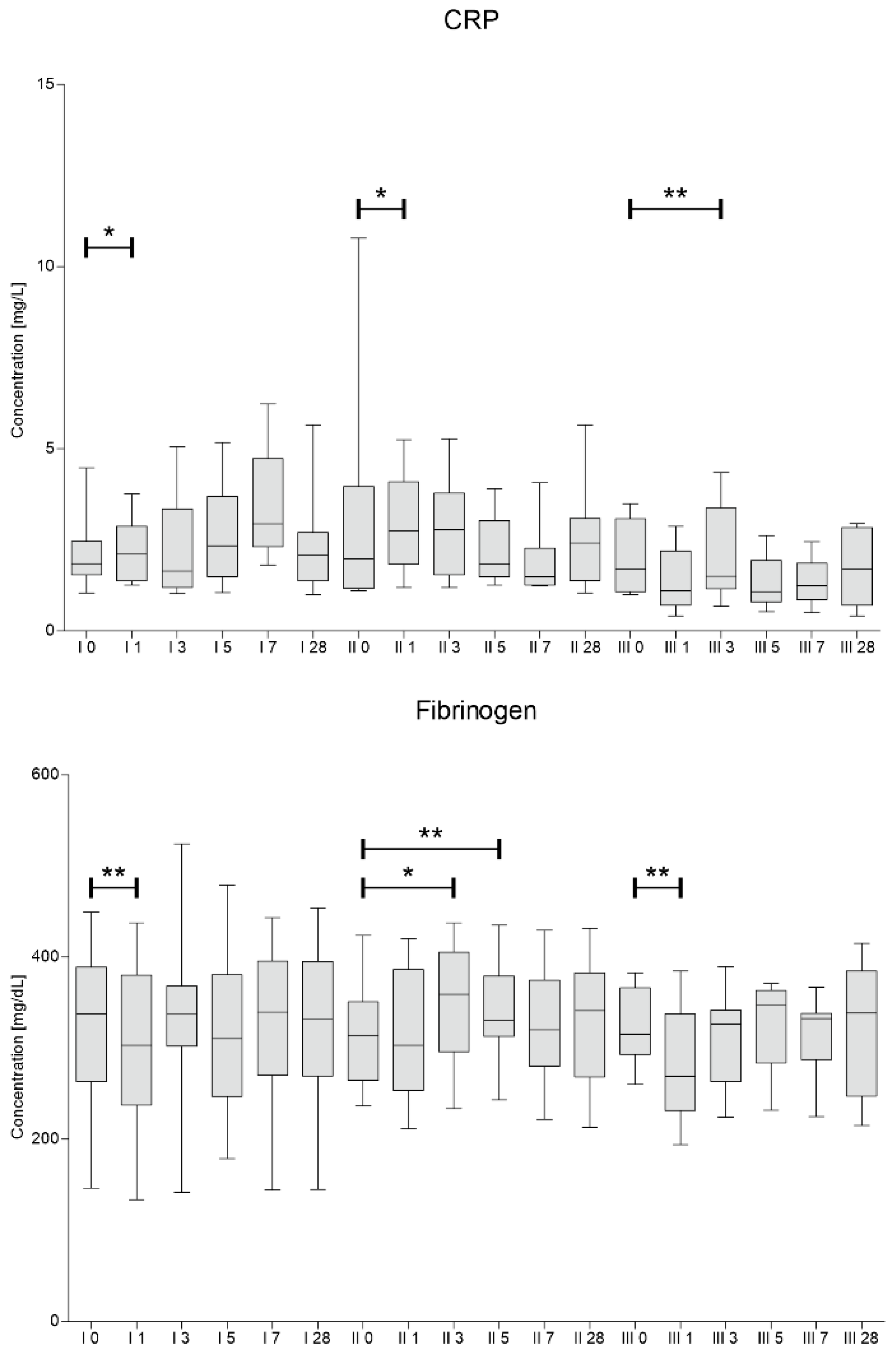
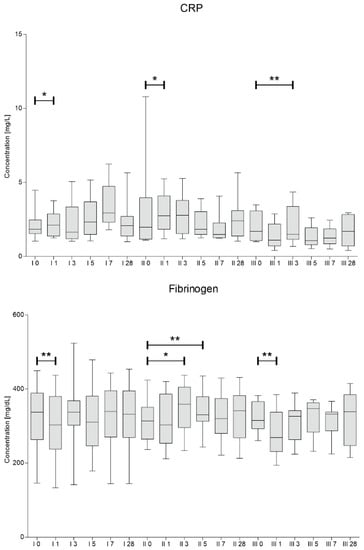
3.3. Plasma Fibrinogen and C-Reactive Protein Concentrations
3.4. Correlations
4. Discussion
Study Limitations
Author Contributions
Funding
Institutional Review Board Statement
Informed Consent Statement
Data Availability Statement
Conflicts of Interest
References
- Ralli, M.; Lambiase, A.; Artico, M.; de Vincentiis, M.; Greco, A. Amyotrophic Lateral Sclerosis: Autoimmune Pathogenic Mechanisms, Clinical Features, and Therapeutic Perspectives. Isr. Med. Assoc. J. 2019, 21, 438–443. [Google Scholar]
- Talbott, E.O.; Malek, A.M.; Lacomis, D. The epidemiology of amyotrophic lateral sclerosis. Handb. Clin. Neurol. 2016, 138, 225–238. [Google Scholar] [CrossRef] [PubMed]
- Cozzolino, M.; Carri, M.T. Mitochondrial dysfunction in ALS. Prog. Neurobiol. 2012, 97, 54–66. [Google Scholar] [CrossRef]
- Otani, K.; Shichita, T. Cerebral sterile inflammation in neurodegenerative diseases. Inflamm. Regen. 2020, 40, 28. [Google Scholar] [CrossRef]
- Hemerková, P.; Vališ, M. Role of Oxidative Stress in the Pathogenesis of Amyotrophic Lateral Sclerosis: Antioxidant Metalloenzymes and Therapeutic Strategies. Biomolecules 2021, 11, 437. [Google Scholar] [CrossRef]
- Blokhuis, A.M.; Groen, E.J.; Koppers, M.; van den Berg, L.H.; Pasterkamp, R.J. Protein aggregation in amyotrophic lateral sclerosis. Acta Neuropathol. 2013, 125, 777–794. [Google Scholar] [CrossRef] [Green Version]
- Angelini, D.F.; De Angelis, F.; Vacca, V.; Piras, E.; Parisi, C.; Nutini, M.; Spalloni, A.; Pagano, F.; Longone, P.; Battistini, L.; et al. Corrigendum: Very Early Involvement of Innate Immunity in Peripheral Nerve Degeneration in SOD1-G93A Mice. Front. Immunol. 2021, 12, 682508. [Google Scholar] [CrossRef] [PubMed]
- Sta, M.; Sylva-Steenland, R.M.; Casula, M.; de Jong, J.M.; Troost, D.; Aronica, E.; Baas, F. Innate and adaptive immunity in amyotrophic lateral sclerosis: Evidence of complement activation. Neurobiol. Dis. 2011, 42, 211–220. [Google Scholar] [CrossRef]
- Bajic, G.; Degn, S.E.; Thiel, S.; Andersen, G.R. Complement activation, regulation, and molecular basis for complement-related diseases. EMBO J. 2015, 34, 2735–2757. [Google Scholar] [CrossRef] [Green Version]
- Bahia El Idrissi, N.; Bosch, S.; Ramaglia, V.; Aronica, E.; Baas, F.; Troost, D. Complement activation at the motor end-plates in amyotrophic lateral sclerosis. J. Neuroinflamm. 2016, 13, 72. [Google Scholar] [CrossRef] [PubMed] [Green Version]
- Kjældgaard, A.L.; Pilely, K.; Olsen, K.S.; Øberg Lauritsen, A.; Wørlich Pedersen, S.; Svenstrup, K.; Karlsborg, M.; Thagesen, H.; Blaabjerg, M.; Theódórsdóttir, Á.; et al. Complement Profiles in Patients with Amyotrophic Lateral Sclerosis: A Prospective Observational Cohort Study. J. Inflamm. Res. 2021, 14, 1043–1053. [Google Scholar] [CrossRef] [PubMed]
- Heurich, B.; El Idrissi, N.B.; Donev, R.M.; Petri, S.; Claus, P.; Neal, J.; Morgan, B.P.; Ramaglia, V. Complement upregulation and activation on motor neurons and neuromuscular junction in the SOD1 G93A mouse model of familial amyotrophic lateral sclerosis. J. Neuroimmunol. 2011, 235, 104–109. [Google Scholar] [CrossRef] [PubMed]
- Lee, J.D.; Kamaruzaman, N.A.; Fung, J.N.; Taylor, S.M.; Turner, B.J.; Atkin, J.D.; Woodruff, T.M.; Noakes, P.G. Dysregulation of the complement cascade in the hSOD1G93A transgenic mouse model of amyotrophic lateral sclerosis. J. Neuroinflam. 2013, 10, 119. [Google Scholar] [CrossRef] [PubMed] [Green Version]
- McDonald, T.S.; McCombe, P.A.; Woodruff, T.M.; Lee, J.D. The potential interplay between energy metabolism and innate complement activation in amyotrophic lateral sclerosis. FASEB J. 2020, 34, 7225–7233. [Google Scholar] [CrossRef] [PubMed] [Green Version]
- Carpanini, S.M.; Torvell, M.; Morgan, B.P. Therapeutic Inhibition of the Complement System in Diseases of the Central Nervous System. Front. Immunol. 2019, 10, 362. [Google Scholar] [CrossRef] [PubMed]
- Sobus, A.; Baumert, B.; Litwinska, Z.; Golab-Janowska, M.; Stepniewski, J.; Kotowski, M.; Pius-Sadowska, E.; Kawa, M.P.; Grodecka-Szwajkiewicz, D.; Peregud-Pogorzelski, J.; et al. Safety and Feasibility of Lin- Cells Administration to ALS Patients: A Novel View on Humoral Factors and miRNA Profiles. Int. J. Mol. Sci. 2018, 19, 1312. [Google Scholar] [CrossRef] [PubMed] [Green Version]
- Paczkowska, E.; Kaczynska, K.; Pius-Sadowska, E.; Roginska, D.; Kawa, M.; Ustianowski, P.; Safranow, K.; Celewicz, Z.; Machalinski, B. Humoral activity of cord blood-derived stem/progenitor cells: Implications for stem cell-based adjuvant therapy of neurodegenerative disorders. PLoS ONE 2013, 8, e83833. [Google Scholar] [CrossRef] [PubMed]
- Baumert, B.; Sobus, A.; Golab-Janowska, M.; Ulanczyk, Z.; Paczkowska, E.; Luczkowska, K.; Zawislak, A.; Milczarek, S.; Osekowska, B.; Meller, A.; et al. Local and Systemic Humoral Response to Autologous Lineage-Negative Cells Intrathecal Administration in ALS Patients. Int. J. Mol. Sci. 2020, 21, 1070. [Google Scholar] [CrossRef] [PubMed] [Green Version]
- Baumert, B.; Sobuś, A.; Gołąb-Janowska, M.; Paczkowska, E.; Łuczkowska, K.; Rogińska, D.; Zawiślak, A.; Milczarek, S.; Osękowska, B.; Pawlukowska, W.; et al. Repeated Application of Autologous Bone Marrow-Derived Lineage-Negative Stem/Progenitor Cells-Focus on Immunological Pathways in Patients with ALS. Cells 2020, 9, 1822. [Google Scholar] [CrossRef]
- McCombe, P.A.; Henderson, R.D. The Role of immune and inflammatory mechanisms in ALS. Curr. Mol. Med. 2011, 11, 246–254. [Google Scholar] [CrossRef] [PubMed]
- McCombe, P.A.; Lee, J.D.; Woodruff, T.M.; Henderson, R.D. The Peripheral Immune System and Amyotrophic Lateral Sclerosis. Front. Neurol. 2020, 11, 279. [Google Scholar] [CrossRef] [PubMed] [Green Version]
- Collins, P.D.; Jose, P.J.; Williams, T.J. The sequential generation of neutrophil chemoattractant proteins in acute inflammation in the rabbit in vivo. Relationship between C5a and proteins with the characteristics of IL-8/neutrophil-activating protein 1. J. Immunol. 1991, 146, 677–684. [Google Scholar]
- Dunkelberger, J.R.; Song, W.C. Complement and its role in innate and adaptive immune responses. Cell Res. 2010, 20, 34–50. [Google Scholar] [CrossRef] [PubMed] [Green Version]
- Goutman, S.A.; Savelieff, M.G.; Sakowski, S.A.; Feldman, E.L. Stem cell treatments for amyotrophic lateral sclerosis: A critical overview of early phase trials. Expert Opin. Investig. Drugs 2019, 28, 525–543. [Google Scholar] [CrossRef]
- Dawbarn, D.; Allen, S.J. Neurotrophins and neurodegeneration. Neuropathol. Appl. Neurobiol. 2003, 29, 211–230. [Google Scholar] [CrossRef] [PubMed]
- Ochs, G.; Penn, R.D.; York, M.; Giess, R.; Beck, M.; Tonn, J.; Haigh, J.; Malta, E.; Traub, M.; Sendtner, M.; et al. A phase I/II trial of recombinant methionyl human brain derived neurotrophic factor administered by intrathecal infusion to patients with amyotrophic lateral sclerosis. Amyotroph. Lateral Scler. Other Motor Neuron Disord. 2000, 1, 201–206. [Google Scholar] [CrossRef] [PubMed]
- A controlled trial of recombinant methionyl human BDNF in ALS: The BDNF Study Group (Phase III). Neurology 1999, 52, 1427–1433. [CrossRef]
- Berry, J.D.; Cudkowicz, M.E.; Windebank, A.J.; Staff, N.P.; Owegi, M.; Nicholson, K.; McKenna-Yasek, D.; Levy, Y.S.; Abramov, N.; Kaspi, H.; et al. NurOwn, phase 2, randomized, clinical trial in patients with ALS: Safety, clinical, and biomarker results. Neurology 2019, 93, e2294–e2305. [Google Scholar] [CrossRef] [Green Version]
- Baumert, B.; Przybycień, K.; Paczkowska, E.; Kotowski, M.; Pius-Sadowska, E.; Safranow, K.; Peregud-Pogorzelski, J.; Kornacewicz-Jach, Z.; Peregud-Pogorzelska, M.; Machaliński, B. Novel Evidence of the Increase in Angiogenic Factor Plasma Levels after Lineage-Negative Stem/Progenitor Cell Intracoronary Infusion in Patients with Acute Myocardial Infarction. Int. J. Mol. Sci. 2019, 20, 3330. [Google Scholar] [CrossRef] [Green Version]
- Sobuś, A.; Baumert, B.; Pawlukowska, W.; Gołąb-Janowska, M.; Paczkowska, E.; Wełnicka, A.; Meller, A.; Machowska-Sempruch, K.; Zawiślak, A.; Łuczkowska, K.; et al. Humoral Influence of Repeated Lineage-Negative Stem/Progenitor Cell Administration on Articulatory Functions in ALS Patients. Stem Cells Int. 2020, 2020, 8888271. [Google Scholar] [CrossRef]
- Apostolski, S.; Nikolic, J.; Bugarski-Prokopljevic, C.; Miletic, V.; Pavlovic, S.; Filipovic, S. Serum and CSF immunological findings in ALS. Acta Neurol. Scand. 1991, 83, 96–98. [Google Scholar] [CrossRef] [PubMed]
- Donnenfeld, H.; Kascsak, R.J.; Bartfeld, H. Deposits of IgG and C3 in the spinal cord and motor cortex of ALS patients. J. Neuroimmunol. 1984, 6, 51–57. [Google Scholar] [CrossRef]
- Elamin, M.; Bede, P.; Montuschi, A.; Pender, N.; Chio, A.; Hardiman, O. Predicting prognosis in amyotrophic lateral sclerosis: A simple algorithm. J. Neurol. 2015, 262, 1447–1454. [Google Scholar] [CrossRef] [PubMed] [Green Version]
- Lo, M.W.; Lee, J.D. Complement: A global immunometabolic regulator in amyotrophic lateral sclerosis. Neural Regen. Res. 2021, 16, 1210–1211. [Google Scholar] [CrossRef] [PubMed]
- Haapasalo, K.; Meri, S. Regulation of the Complement System by Pentraxins. Front. Immunol. 2019, 10, 1750. [Google Scholar] [CrossRef] [PubMed]




| Age (Mean ± SD, Years) | 54.7 ± 7.68 | |
|---|---|---|
| Gender (male/female) | 11/9 | |
| Disease duration (mean ± SD, months) | 31.3 ± 26.68 | |
| Disease onset (bulbar/limb) | 5/15 | |
| Number of administered Lin– cells (mean ± SD) | 1st administration | 5.5 × 106 ± 4.4 |
| 2nd administration | 8.9 × 106 ± 8.1 | |
| 3rd administration | 6.4 × 106 ± 4.2 | |
| ALS-FRSr score vs. baseline score (mean values for all patients ± SD) | 28 days post 1st administration | +0.03 ± 1.29 |
| 28 days post 2nd administration | −1.05 ± 2.29 | |
| 28 days post 3rd administration | −1.26 ± 2.45 | |
| 3 months post 3rd administration | −1.79 ± 2.61 | |
| Age | Disease Duration | CSF C4 I 0d | CSF C3b II 7d | CSF C4 III 0d | CRP I 0d | CRP III 0d | Neu II 0d | Neu III 0d | |
|---|---|---|---|---|---|---|---|---|---|
| Age | 0.99 ** | ||||||||
| Plasma C3b I 0d | 0.58 * | 0.70 * | |||||||
| Plasma C4 I 0d | 0.45 * | 0.54 * | |||||||
| Plasma C3b II 0d | 0.82 * | ||||||||
| Plasma C3b II 7d | 0.79 *** | ||||||||
| Plasma C1q III 0d | –0.99 ** | ||||||||
| Plasma C3b III 0d | –0.99 * | 0.59 * | |||||||
| Plasma C4 III 0d | 0.54 * | ||||||||
| CSF C1q I 0d | 0.58 * | ||||||||
| CSF C1q III 0d | 0.73 * |
Publisher’s Note: MDPI stays neutral with regard to jurisdictional claims in published maps and institutional affiliations. |
© 2021 by the authors. Licensee MDPI, Basel, Switzerland. This article is an open access article distributed under the terms and conditions of the Creative Commons Attribution (CC BY) license (https://creativecommons.org/licenses/by/4.0/).
Share and Cite
Sobuś, A.; Baumert, B.; Gołąb-Janowska, M.; Kulig, P.; Paczkowska, E.; Łuczkowska, K.; Rogińska, D.; Zawiślak, A.; Milczarek, S.; Osękowska, B.; et al. Adjuvant Lineage-Negative Cell Therapy as a Potential Silencer of the Complement-Mediated Immune System in ALS Patients. J. Clin. Med. 2021, 10, 5251. https://doi.org/10.3390/jcm10225251
Sobuś A, Baumert B, Gołąb-Janowska M, Kulig P, Paczkowska E, Łuczkowska K, Rogińska D, Zawiślak A, Milczarek S, Osękowska B, et al. Adjuvant Lineage-Negative Cell Therapy as a Potential Silencer of the Complement-Mediated Immune System in ALS Patients. Journal of Clinical Medicine. 2021; 10(22):5251. https://doi.org/10.3390/jcm10225251
Chicago/Turabian StyleSobuś, Anna, Bartłomiej Baumert, Monika Gołąb-Janowska, Piotr Kulig, Edyta Paczkowska, Karolina Łuczkowska, Dorota Rogińska, Alicja Zawiślak, Sławomir Milczarek, Bogumiła Osękowska, and et al. 2021. "Adjuvant Lineage-Negative Cell Therapy as a Potential Silencer of the Complement-Mediated Immune System in ALS Patients" Journal of Clinical Medicine 10, no. 22: 5251. https://doi.org/10.3390/jcm10225251
APA StyleSobuś, A., Baumert, B., Gołąb-Janowska, M., Kulig, P., Paczkowska, E., Łuczkowska, K., Rogińska, D., Zawiślak, A., Milczarek, S., Osękowska, B., Pawlukowska, W., Meller, A., Machowska-Sempruch, K., Wełnicka, A., Nowacki, P., & Machaliński, B. (2021). Adjuvant Lineage-Negative Cell Therapy as a Potential Silencer of the Complement-Mediated Immune System in ALS Patients. Journal of Clinical Medicine, 10(22), 5251. https://doi.org/10.3390/jcm10225251

