End-of-Life Care Preferences of Older Patients with Multimorbidity: A Mixed Methods Systematic Review
Abstract
1. Introduction
2. Materials and Methods
2.1. Design
2.2. Eligibility Criteria
2.2.1. Types of Study
2.2.2. Participants
2.2.3. Phenomenon of Interest
2.3. Information Sources and Search
2.4. Study Selection
2.5. Data Collection Process
2.6. Data Items
2.7. Risk of Bias
2.8. Summary Measures
2.9. Synthesis of Results
2.10. Additional Analysis
3. Results
3.1. Key Characteristics of the Included Studies and Participants
3.2. Risk of Bias within Studies
3.3. EoL Care Preferences of Older Patients with Multimorbidity
3.3.1. Willingness to Receive LSTs
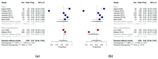
Willingness to Receive CPR
Willingness to Receive Mechanical Ventilation (MV)
Willingness to Receive Other Life-Sustaining Treatments (LSTs)
Willingness to Withdraw from Dialysis
3.3.2. Willingness to Opt for Palliation of Symptoms
3.3.3. The Place of EoL Care
3.3.4. Preferences Regarding Participation in an EoL Shared Decision-Making Process
4. Discussion
4.1. Summary of Evidence
4.2. Limitations
5. Conclusions
Supplementary Materials
Author Contributions
Funding
Institutional Review Board Statement
Informed Consent Statement
Data Availability Statement
Acknowledgments
Conflicts of Interest
References
- National Institute for Health Care Excellence. End of Life Care for Adults: Service Delivery (NG142). Available online: https://www.nice.org.uk/guidance/ng142 (accessed on 19 June 2020).
- Lynn, J.; Teno, J.M.; Phillips, R.S.; Wu, A.W.; Desbiens, N.; Harrold, J.; Claessens, M.T.; Wenger, N.; Kreling, B.; Connors, A.F., Jr. Perceptions by family members of the dying experience of older and seriously ill patients. SUPPORT Investigators. Study to understand prognoses and preferences for outcomes and risks of treatments. Ann. Intern. Med. 1997, 126, 97–106. [Google Scholar] [CrossRef] [PubMed]
- Lynn, J. Living Long in Fragile Health. The New Demographics Shape End of Life Care. Available online: https://www.rand.org/pubs/reprints/RP1200.html (accessed on 29 June 2020).
- Teno, J.M.; Nelson, H.L.; Lynn, J. Advance care planning: Priorities for ethical and empirical research. Hastings Cent. Rep. 1994, 24, 32–36. [Google Scholar] [CrossRef]
- Detering, K.M.; Hancock, A.D.; Reade, M.C.; Silvester, W. The impact of advance care planning on end of life care in elderly patients: Randomised controlled trial. BMJ 2010, 340, c1345. [Google Scholar] [CrossRef]
- Silveira, M.J.; Kim, S.Y.; Langa, K.M. Advance directives and outcomes of surrogate decision making before death. N. Engl. J. Med. 2010, 362, 1211–1218. [Google Scholar] [CrossRef] [PubMed]
- Krumholz, H.M.; Phillips, R.S.; Hamel, M.B.; Teno, J.M.; Bellamy, P.; Broste, S.K.; Califf, R.M.; Vidaillet, H.; Davis, R.B.; Muhlbaier, L.H.; et al. Resuscitation preferences among patients with severe congestive heart failure: Results from the SUPPORT project. Study to Understand Prognoses and Preferences for Outcomes and Risks of Treatments. Circulation 1998, 98, 648–655. [Google Scholar] [CrossRef] [PubMed]
- Gonzalez, A.G.; Schmucker, C.; Nothacker, J.; Motschall, E.; Nguyen, T.S.; Brueckle, M.-S.; Blom, J.; van den Akker, M.; Röttger, K.; Wegwarth, O.; et al. Health-related preferences of older patients with multimorbidity: An evidence map. BMJ 2019, 9, e034485. [Google Scholar] [CrossRef]
- Gonzalez-Gonzalez, A.I.; Schmucker, C.; Nothacker, J.; Dinh, T.S.; Brueckle, M.-S.; Blom, J.; Akker, M.V.D.; Röttger, K.; Wegwarth, O.; Hoffmann, T.; et al. End-of-life care preferences of older patients with multimorbidity: Protocol of a mixed-methods systematic review. BMJ 2020, 10, e038682. [Google Scholar]
- Moher, D.; Liberati, A.; Tetzlaff, J.; Altman, D.G.; PRISMA Group. Preferred reporting items for systematic reviews and meta-analyses: The PRISMA statement. BMJ 2009, 339, b2535. [Google Scholar] [CrossRef]
- Lizarondo, L.; Stern, C.; Carrier, J.; Godfrey, C.; Rieger, K.; Salmond, S.; Apostolo, J.; Kirkpatrick, P.; Loveday, H. Mixed methods systematic reviews. In JBI Manual for Evidence Synthesis; Aromataris, E., Munn, Z., Eds.; JBI: Adelaide, Australia, 2020; Chapter 8; pp. 270–308. Available online: https://synthesismanual.jbi.global (accessed on 5 May 2020).
- Van den Akker, M.; Buntinx, F.; Knottnerus, J.A. Comorbidity or multimorbidity. What’s in a name? A review of literature. Eur. J. Gen. Pract. 1996, 2, 65–70. [Google Scholar] [CrossRef]
- WHO. Ageing and Health. Available online: https://www.who.int/news-room/fact-sheets/detail/ageing-and-health (accessed on 14 May 2020).
- McGowan, J.; Sampson, M.; Salzwedel, D.M.; Cogo, E.; Foerster, V.; Lefebvre, C. CADTH Methods and Guidelines: PRESS Peer Review of Electronic Search Strategies: 2015 Guideline Explanation and Elaboration; CADTH: Ottawa, ON, Canada, 2016. [Google Scholar]
- Browne, R.H. On the use of a pilot sample for sample size determination. Stat. Med. 1995, 14, 1933–1940. [Google Scholar] [CrossRef]
- Velez Ortiz, D.; Martinez, R.O.; Espino, D.V. Framing Effects on End-of-Life Preferences Among Latino Elders. Soc. Work Health Care 2015, 54, 708–724. [Google Scholar] [CrossRef] [PubMed]
- Tversky, A.; Kahneman, D. The framing of decisions and the psychology of choice. Science 1981, 211, 453–458. [Google Scholar] [CrossRef] [PubMed]
- Pluye, P.; Hong, Q.N. Combining the power of stories and the power of numbers: Mixed methods research and mixed studies reviews. Annu. Rev. Public Health 2014, 35, 29–45. [Google Scholar] [CrossRef] [PubMed]
- Pearson, A.; White, H.; Bath-Hextall, F.; Salmond, S.; Apostolo, J.; Kirkpatrick, P. A mixed-methods approach to systematic reviews. Int. J. Evid. Based. Health Care 2015, 13, 121–131. [Google Scholar] [CrossRef] [PubMed]
- Sandelowski, M.; Voils, C.I.; Barroso, J. Defining and designing mixed research synthesis studies. Res. Sch. 2006, 13, 29. [Google Scholar] [PubMed]
- Booth, A.; Noyes, J.; Flemming, K.; Gerhardus, A.; Wahlster, P.; Van Der Wilt, G.J.; Mozygemba, K.; Refolo, P.; Sacchini, D.; Tummers, M.; et al. Structured methodology review identified seven (RETREAT) criteria for selecting qualitative evidence synthesis approaches. J. Clin. Epidemiol. 2018, 99, 41–52. [Google Scholar] [CrossRef]
- Thomas, J.; Harden, A. Methods for the thematic synthesis of qualitative research in systematic reviews. BMC Med. Res. Methodol. 2008, 8, 45. [Google Scholar] [CrossRef]
- Harden, A.; Thomas, J.; Cargo, M.; Harris, J.; Pantoja, T.; Flemming, K.; Booth, A.; Garside, R.; Hannes, K.; Noyes, J. Cochrane qualitative and implementation methods group guidance series-paper 5: Methods for integrating qualitative and implementation evidence within intervention effectiveness reviews. J. Clin. Epidemiol. 2018, 97, 70–78. [Google Scholar] [CrossRef]
- Noyes, J.; Booth, A.; Moore, G.; Flemming, K.; Tunçalp, Ö.; Shakibazadeh, E. Synthesising quantitative and qualitative evidence to inform guidelines on complex interventions: Clarifying the purposes, designs and outlining some methods. BMJ Glob. Health 2019, 4, e000893. [Google Scholar] [CrossRef]
- Chang, Y.; Voils, C.I.; Sandelowski, M.; Hasselblad, V.; Crandell, J.L. Transforming Verbal Counts in Reports of Qualitative Descriptive Studies Into Numbers. West. J. Nurs. Res. 2009, 31, 837–852. [Google Scholar] [CrossRef]
- Agård, A.; Hermerén, G.; Herlitz, J. Should cardiopulmonary resuscitation be performed on patients with heart failure? The role of the patient in the decision-making process. J. Intern. Med. 2000, 248, 279–286. [Google Scholar] [CrossRef] [PubMed][Green Version]
- Carlucci, A.; Vitacca, M.; Malovini, A.; Pierucci, P.; Guerrieri, A.; Barbano, L.; Ceriana, P.; Balestrino, A.; Santoro, C.; Pisani, L.; et al. End-of-life discussion, patient understanding and determinants of preferences in very severe COPD patients: A multicentric Study. COPD J. Chronic Obstr. Pulm. Dis. 2016, 13, 632–638. [Google Scholar] [CrossRef] [PubMed]
- Chan, H.Y.; Pang, S.M. Quality of life concerns and end-of-life care preferences of aged persons in long-term care facilities. J. Clin. Nurs. 2007, 16, 2158–2166. [Google Scholar] [CrossRef] [PubMed]
- Chan, H.Y.; Pang, S.M. Let me talk-an advance care planning programme for frail nursing home residents. J. Clin. Nurs. 2010, 19, 3073–3084. [Google Scholar] [CrossRef] [PubMed]
- Etkind, S.N.; Lovell, N.; Bone, A.E.; Guo, P.; Nicholson, C.; Murtagh, F.E.M.; Higginson, I.J. The stability of care preferences following acute illness: A mixed methods prospective cohort study of frail older people. BMC Geriatr. 2020, 20, 370. [Google Scholar] [CrossRef] [PubMed]
- Fuseya, Y.; Muro, S.; Sato, S.; Sato, A.; Tanimura, K.; Hasegawa, K.; Uemasu, K.; Hamakawa, Y.; Takahashi, Y.; Nakayama, T.; et al. Perspectives on end-of-life treatment among patients with COPD: A multicenter, cross-sectional study in Japan. COPD J. Chronic Obstr. Pulm. Dis. 2019, 16, 75–81. [Google Scholar] [CrossRef]
- Houben, C.H.M.; Spruit, M.A.; Schols, J.M.G.A.; Wouters, E.F.M.; Janssen, D.J.A. Instability of Willingness to Accept Life-Sustaining Treatments in Patients with Advanced Chronic Organ. Failure During 1 Year. Chest 2017, 151, 1081–1087. [Google Scholar] [CrossRef]
- Janssen, D.J.A.; Spruit, M.A.; Schols, J.M.G.A.; Wouters, E.F.M. A call for high-quality advance care planning in outpatients with severe COPD or chronic heart failure. Chest 2011, 139, 1081–1088. [Google Scholar] [CrossRef]
- Janssen, D.J.A.; Spruit, M.A.; Schols, J.M.G.A.; Cox, B.; Nawrot, T.S.; Curtis, J.R.; Wouters, E.F.M. Predicting changes in preferences for life-sustaining treatment among patients with advanced chronic organ failure. Chest 2012, 141, 1251–1259. [Google Scholar] [CrossRef]
- Janssen, D.J.A.; Spruit, M.A.; Schols, J.M.G.A.; Wouters, E.F.M. Dynamic preferences for site of death among patients with advanced chronic obstructive pulmonary disease, chronic heart failure, or chronic renal failure. J. Pain Symptom Manag. 2013, 46, 826–836. [Google Scholar] [CrossRef]
- Janssen, D.J.A.; Spruit, M.A.; Schols, J.M.G.A.; van der Sande, F.M.; Frenken, L.A.; Wouters, E.F.M. Insight into advance care planning for patients on dialysis. J. Pain Symptom Manag. 2013, 45, 104–113. [Google Scholar] [CrossRef] [PubMed]
- Jerpseth, H.; Dahl, V.; Nortvedt, P.; Halvorsen, K. Older patients with late-stage COPD: Their illness experiences and involvement in decision-making regarding mechanical ventilation and noninvasive ventilation. J. Clin. Nurs. 2018, 27, 582–592. [Google Scholar] [CrossRef] [PubMed]
- Lee, M.A.; Ganzini, L. Depression in the elderly: Effect on patient attitudes toward life-sustaining therapy. J. Am. Geriatr. Soc. 1992, 40, 983–988. [Google Scholar] [CrossRef] [PubMed]
- Menon, A.S.; Campbell, D.; Ruskin, P.; Hebel, J.R. Depression, hopelessness, and the desire for life-saving treatments among elderly medically Ill veterans. Am. J. Geriatr. Psychiatry 2000, 8, 333–342. [Google Scholar] [CrossRef]
- Modes, M.E.; Engelberg, R.A.; Downey, L.; Nielsen, E.L.; Lee, R.Y.; Curtis, J.R.; Kross, E.K. Toward Understanding the Relationship Between Prioritized Values and Preferences for Cardiopulmonary Resuscitation Among Seriously Ill. Adults. J. Pain Symptom Manag. 2019, 58, 567–577. [Google Scholar] [CrossRef]
- Naik, A.D.; Martin, L.A.; Moye, J.; Karel, M.J. Health values and treatment goals of older, multimorbid adults facing life-threatening illness. J. Am. Geriatr. Soc. 2016, 64, 625–631. [Google Scholar] [CrossRef]
- Nath, S.B.; Hirschman, K.B.; Lewis, B.; Strumpf, N.E. A place called LIFE: Exploring the advance care planning of African-American PACE enrollees. Soc. Work Health Care 2008, 47, 277–292. [Google Scholar] [CrossRef]
- Ni, P.; Ko, E.; Mao, J. Preferences for feeding tube use and their determinants among cognitively intact nursing home residents in Wuhan, China: A cross-sectional study. J. Transcult. Nurs. 2020, 31, 13–21. [Google Scholar] [CrossRef]
- Panocchia, N.; Tonnara, G.; Minacori, R.; Sacchini, D.; Bossola, M.; Tazza, L.; Gambaro, G.; Spagnolo, A.G. Survey on advance care planning of Italian outpatients on chronic haemodialysis. BMJ Support. Palliat Care 2017, 7, 419–422. [Google Scholar] [CrossRef]
- Parr, J.D.; Zhang, B.; Nilsson, M.E.; Wright, A.; Balboni, T.; Duthie, E.; Paulk, E.; Prigerson, H.G. The influence of age on the likelihood of receiving end-of-life care consistent with patient treatment preferences. J. Palliat Med. 2010, 13, 719–726. [Google Scholar] [CrossRef]
- Strachan, P.H.; Carroll, S.L.; de Laat, S.; Schwartz, L.; Arthur, H.M. Patients’ perspectives on end-of-life issues and implantable cardioverter defibrillators. Spring 2011, 27, 6–11. [Google Scholar] [CrossRef]
- Tamura, K.M.; Goldstein, M.K.; Pérez-Stable, E.J. Preferences for dialysis withdrawal and engagement in advance care planning within a diverse sample of dialysis patients. Nephrol. Dial. Transpl. 2010, 25, 237–242. [Google Scholar] [CrossRef] [PubMed]
- Fried, T.R.; Bradley, E.H.; Towle, V.R. Assessment of patient preferences: Integrating treatments and outcomes. J. Gerontol. B Psychol. Sci. Soc. Sci. 2002, 57, S348–S354. [Google Scholar] [CrossRef] [PubMed]
- Nguyen, H.; Manolova, G.; Daskalopoulou, C.; Vitoratou, S.; Prince, M.; Prina, A.M. Prevalence of multimorbidity in community settings: A systematic review and meta-analysis of observational studies. J. Comorbidity 2019, 9. [Google Scholar] [CrossRef] [PubMed]
- Janssen, D.J.A.; Curtis, J.R.; Au, D.H.; Spruit, M.A.; Downey, L.; Schols, J.M.G.A.; Wouters, E.F.M.; Engelberg, R.A. Patient-clinician communication about end-of-life care for Dutch and US patients with COPD. Eur. Respir. J. 2011, 38, 268–276. [Google Scholar] [CrossRef]
- De Decker, L.; Annweiler, C.; Launay, C.; Fantino, B.; Beauchet, O. Do not resuscitate orders and aging: Impact of multimorbidity on the decision-making process. J. Nutr. Health Aging 2014, 18, 330–335. [Google Scholar] [CrossRef]
- Auriemma, C.L.; Nguyen, C.A.; Bronheim, R.; Kent, S.; Nadiger, S.; Pardo, D.; Halpern, S.D. Stability of end-of-life preferences: A systematic review of the evidence. JAMA Intern. Med. 2014, 174, 1085–1092. [Google Scholar] [CrossRef]
- Emanuel, L.L.; Emanuel, E.J.; Stoeckle, J.D.; Hummel, L.R.; Barry, M.J. Advance directives stability of patients’ treatment choices. Arch. Intern. Med. 1994, 154, 209–217. [Google Scholar] [CrossRef]
- Gomes, B.; Calanzani, N.; Gysels, M.; Hall, S.; Higginson, I.J. Heterogeneity and changes in preferences for dying at home: A systematic review. BMC Palliat. Care 2013, 12, 7. [Google Scholar] [CrossRef]
- Hoare, S.; Morris, Z.S.; Kelly, M.P.; Kuhn, I.; Barclay, S. Do patients want to die at home? A systematic review of the UK literature, focused on missing preferences for place of death. PLoS ONE 2015, 10, e0142723. [Google Scholar] [CrossRef]






| Author, Year (Reference) | Country | Setting | Design | Scenario | Data Collection Methods | Response (%) | Participants, n | Female Sex, % | Condition | EoL Care Preferences Under Review |
|---|---|---|---|---|---|---|---|---|---|---|
| Agard, 2000 [26] | Sweden | Outpatient (specialized) | Observational, mixed methods | R | Interview Semi-structured interview | 87 | 40 | 38 | CHF (NYHA II-IV) + CM | CPR, SDM |
| Carlucci, 2016 [27] | Italy | Inpatient | Observational, quantitative cross-sectional | H | Semi-structured interview | 47 | 43 | 16 | COPD (very severe) + CM | ETI, NIV, palliation of symptoms |
| Chan, 2007 [28] | China | Outpatient (nursing home) | Observational, quantitative cross-sectional | H | Questionnaire | 86 | 287 | 78 | MM (frail and non-frail) | LST, SDM |
| Chan, 2010 [29] * | China | Outpatient (nursing home) | Interventional | H | Questionnaire | 93 | 121 (IG 59; CG 62) | 69 | MM (frail) | LST |
| Etkind, 2020 [30] | United Kingdom | Outpatient (specialized) | Observational, mixed methods | R | Questionnaire | 43 | 82 | 63 | MM (frail) | Quantity versus quality of life |
| Fuseya, 2019 [31] | Japan | Outpatient (specialized) | Observational, quantitative cross-sectional | R | Questionnaire | 71 | 160 | 7 | COPD (severe) + CM | CPR, MV, SDM |
| Houben, 2016 [32] # | The Netherlands | Outpatient (specialized) | Observational, quantitative longitudinal | R & H | Questionnaire (WALT) (47) | 78 | 206 | 36 | CHF (NYHA III-IV), COPD (GOLD III-IV), or ESRD + CM | CPR, MV |
| Janssen, 2011 [33] | The Netherlands | Outpatient (specialized) | Observational, quantitative cross-sectional | R & H | Semi-structured interview Questionnaire (WALT) (47) | 54 | 185 | 36 | CHF (NYHA III-IV), COPD (GOLD III-IV) + CM | CPR, MV, place for EoL care |
| Janssen, 2012 [34] # | The Netherlands | Outpatient (specialized) | Observational, quantitative longitudinal | R | Semi-structured interview | 59 | 206 | 36 | CHF (NYHA III-IV), COPD (GOLD III-IV), or ESRD + CM | CPR, MV |
| Janssen, 2013a [35] # | The Netherlands | Outpatient (specialized) | Observational, quantitative longitudinal | R | Semi-structured interview | 59 | 206 | 36 | CHF (NYHA III-IV), COPD (GOLD III-IV), or ESRD + CM | Place for EoL care |
| Janssen, 2013b [36] | The Netherlands | Outpatient (specialized) | Observational, quantitative cross-sectional | R & H | Questionnaire (WALT) (47) | 73 | 80 | 40 | ESRD + CM | CPR, MV, place for EoL care |
| Jerpseth, 2018 [37] | Norway | Outpatient (specialized) | Observational, qualitative cross-sectional | R | Interview | 100 | 12 | 58 | COPD (GOLD III-IV) + CM | MV, NIV, SDM |
| Lee, 1992 [38] | USA | Inpatient | Observational, quantitative cross-sectional | R & H | Questionnaire | 71 | 100 (50 depressed & 50 non-depressed) | 5 | MM (life expectancy over 6 months) | Blood transfusion, CPR, feeding tube, intravenous fluids with medication, MV, place for EoL care |
| Menon, 2000 [39] | USA | Inpatient | Observational, quantitative cross-sectional | R & H | Questionnaire (Treatment Preferences Questionnaire) [38] | 71 | 295 (236 no depression, 59 major depression) | 0 | MM | LST (blood transfusion or CPR or feeding tube or intravenous fluids with medication or MV) |
| Modes, 2019 [40] | USA | Outpatient (specialized) | Observational, quantitative cross-sectional | R & H | Questionnaire | 58 | 535 | 47 | MM (Median survival approx. 2 years, 18% cancer) | CPR, palliation of symptoms |
| Naik, 2016 [41] | USA | Outpatient (specialized) | Observational, qualitative cross-sectional | H | Interview | 86 | 146 | 2 | Advanced cancer + CM | SDM |
| Nath, 2008 [42] | USA | Outpatient (community) | Observational, mixed methods | R | Semi-structured interview & Chart review | 90 | 18 | 89 | MM (frail) | CPR, feeding tube, MV, SDM |
| Ni, 2020 [43] | China | Outpatient (nursing home) | Observational, quantitative cross-sectional | H | Questionnaire | 100 | 682 | 61 | MM (frail) | Feeding tube |
| Panocchia, 2017 [44] | Italy | Outpatient (specialized) | Observational, quantitative cross-sectional | H | Questionnaire | 62 | 34 | 44 | ESRD + CM | Dialysis withdrawal, LST (MV or PEG), SDM |
| Parr, 2010 [45] | USA | Outpatient (specialized) | Observational, quantitative cross-sectional | R | Semi-structured interview | 100 | 126 ° | 41 | MM (life expectancy less than 6 months) | LST, MV, place for EoL care |
| Strachan, 2011 [46] | Canada | Outpatient (specialized) | Observational, qualitative cross-sectional | R | Interview | 100 | 30 | 20 | CVD + CM | ICD Quantity versus quality of life, SDM |
| Tamura, 2010 [47] | USA | Outpatient (specialized) | Observational, quantitative cross-sectional | R & H | Questionnaire (Dialysis Living Will) & Chart review | 98 | 61 | 26 | ESRD + CM | CPR, Dialysis withdrawal |
| Variable | Total—n (%) |
|---|---|
| Study characteristics | |
| Geographical location | |
| - North America | 8 (36%) |
| - Europe | 10 (46%) |
| - Asia | 4 (18%) |
| Setting | |
| - Outpatient (specialized) | 15 (68%) |
| - Outpatient (nursing home) | 3 (14%) |
| - Outpatient (community) | 1 (4%) |
| - Inpatient | 3 (14%) |
| Design | |
| - Quantitative | 16 (73%) |
| ○ Cross-sectional | 12 (41%) |
| ○ Longitudinal | 3 (14%) |
| ○ Interventional | 1 (4%) |
| - Qualitative | 3 (14%) |
| ○ Cross-sectional | 3 (14%) |
| - Mixed methods | 3 (14%) |
| - Observational | 21 (96%) |
| - Interventional | 1 (4%) |
| Data collection methods * | |
| - Interview | 4 (18%) |
| - Semi-structured interview | 7 (32%) |
| - Questionnaire | 13 (59%) |
| - Chart review | 2 (9%) |
| Context | |
| - Real scenario | 9 (41%) |
| - Hypothetical scenarios | 6 (27%) |
| - Both | 7 (32%) |
| Sample size—Total (range) † | 3.243 (12–682) |
| - Observational | |
| ○ Quantitative † | 2.794 (34–682) |
| ○ Qualitative | 188 (12–146) |
| ○ Mixed methods | 140 (18–82) |
| - Interventional | 121 |
| Patients’ characteristics | |
| Type of condition * | |
| - Studies describing patients with multimorbidity | 9 (41%) |
| - Studies describing patients with a chronic condition associated with multimorbidity | |
| ○ Cardiovascular disease | 1 (4%) |
| ○ Chronic heart failure | 5 (23%) |
| ○ Chronic obstructive pulmonary disease | 7 (32%) |
| ○ End-stage renal disease | 6 (27%) |
| ○ Cancer | 2 (9%) |
| Age (range) | 62–84 |
| Sex (% female) | 1.358 (42%) |
| Author, Year (Reference) | EoL Care Measure | Scenario | Type of Condition | Participants, n | Yes, n (%) | No, n (%) | Do Not Know/No Opinion, n (%) |
|---|---|---|---|---|---|---|---|
| Agard, 2000 [26] | CPR | R | CHF (NYHA II-IV) + CM | 40 | 36 (90) | 2 (5) | 2 (5) |
| Carlucci, 2016 [27] | MV | H | COPD (very severe) + CM | 43 | 12 (28) | nr | nr |
| NIV | 18 (42) | ||||||
| Only oxygen and drugs | 13 (30) | ||||||
| Chan, 2007 [28] | LST (non-specified) | H | MM | 287 | 79 (28) | 88 (31) | 120 (42) |
| Chan, 2010 [29] * | LST (CPR/MV) | H | MM | 79 | 12 (12) | 55 (55) | 12 (12) |
| Fuseya, 2019 [31] | CPR | R | COPD (severe) + CM | 160 | 15 (9) | 24 (15) | 121 (76) ¥ |
| MV | 10 (6) | 29 (18) | 121 (76) | ||||
| Janssen, 2011 [33] | CPR | R | CHF (NYHA III-IV), COPD (GOLD III-IV) + CM | 185 | 124 (67) | nr | 5 (3) |
| MV | 127 (69) | 7 (4) | |||||
| Janssen, 2012 [34] (same population as Janssen, 2013a [35] and Houben, 2017 [32]) ž | CPR | R | CHF (NYHA III-IV), COPD (GOLD III-IV), or ESRD + CM | 206 | 52 (74) | 51 (25) | 3 (2) |
| MV | 156 (76) | 44 (21) | 6 (3) | ||||
| Janssen, 2013b [36] | CPR | R | ESRD + CM | 80 | 66 (83) | 14 (18) | 0 |
| MV | 65 (81) | 13 (16) | |||||
| Jerpseth et al. [41] | MV | R | COPD (GOLD III-IV) + CM | 12 | nr | 6 (50) | nr |
| Lee, 1992 § [38] | CPR | R & H | MM (life expectancy over 6 months) | 100 | 66 (66) | 34 (34) | 0 |
| MV | 71 (71) | 29 (29) | 0 | ||||
| IV | 93 (93) | 7 (7) | 0 | ||||
| BT | 89 (89) | 11 (11) | 0 | ||||
| NG | 52 (52) | 48 (48) | 0 | ||||
| Modes, 2019 [40] | CPR | R | MM (median survival approx. 2 years, 18% cancer) | 535 | 389 (73) | 129 (24) | 0 |
| H | 163 (31) | 355 (66) | |||||
| Nath, 2008 [42] | CPR | R | MM (frail) | 18 | 13 (72) | 2 (11) | 0 |
| MV | 10 (56) | 8 (44) | 0 | ||||
| Feeding tube | 9 (50) | 4 (22) | 5 (28) | ||||
| Ni, 2020 [43] | Feeding tube | H | MM (frail) | 682 | 372 (55) | 310 (45) | 0 |
| Panocchia, 2017 [44] | LST (MV/PEG) | H | ESRD + CM | 34 | 4 (12) | nr | nr |
| Parr, 2010 [45] | LST (non-specified) | R | Advanced cancer + CM (life expectancy < 6 months) | 126 # | 29 (23) | 97 (77) | 0 |
| MV | 23 (18) | 103 (82) | |||||
| Strachan, 2011 [46] | ICD | R | CVD + CM | 30 | 24 (80) accepted (in the past) | 6 (20) declined (in the past) | 0 |
| Tamura, 2010 [47] £ | CPR | R | ESRD + CM | 61 | nr | 6 (10) | nr |
| Author, Year (Reference) | EoL Care Measure | Scenario | Type of Condition | Participants, n | Scenario Categories | Yes, n (%) | No, n (%) |
|---|---|---|---|---|---|---|---|
| Etkind, 2020 [30] | Extending life over relieving discomfort | R | MM (frail) | 82 | |||
| Modes, 2019 [40] | Extending life over relieving discomfort | R & H | MM (median survival approx. 2 years, 18% cancer) | 535 | Relief > extension | 321 (60) | - |
| Extension > relief | 91 (17) | ||||||
| Unsure | 123 (23) | ||||||
| Panocchia, 2017 [44] | Continuation of Dialysis (in at least one of 3 scenarios) | H | ESRD + CM | 34 | Dementia, terminal illness or coma | 20 (59) | 14 (41) |
| Tamura, 2010 [47] | Withdraw from dialysis | R & H | ESRD + CM | 61 | Current state of health | 1 (2) | nr |
| Moderate stroke | 9 (15) | nr | |||||
| Dementia | 20 (33) | nr | |||||
| Terminal cancer | 20 (32) | nr | |||||
| Coma | 36 (59) | nr |
| Author, Year (Reference) | EoL Care Measure | Scenario | Type of Condition | Participants, n | Answer Categories | Yes, n (%) |
|---|---|---|---|---|---|---|
| Who should be involved? | ||||||
| Agard, 2000 [26] | SDM related to CPR | R | CHF (NYHA II-IV) + CM | 40 | Patient | 5 (12) |
| Physician | 15 (37) | |||||
| Both | 18 (47) | |||||
| Chan, 2007 [28] | SDM related to LST (non-specified) | H | MM | 287 | Patient | 66 (23) |
| Family | 27 (9) | |||||
| Physician | 107 (37) | |||||
| Depends | 88 (31) | |||||
| Panocchia, 2017 * [44] | SDM related to CPR, MV or PEG | H | ESRD + CM | 34 | Family | 31 (91) |
| Who should decide? | ||||||
| Chan, 2007 [28] | SDM related to LST (non-specified) | H | MM | 287 | Patient | 48 (17) |
| Family | 15 (5) | |||||
| Physician | 142 (50) | |||||
| Depends | 82 (29) | |||||
| Fuseya, 2019 [31] | SDM related to CPR/MV | R | COPD (severe) + CM | 162 | Patient | 39 (24)/39 (24) |
| Family | 23 (14)/22 (14) | |||||
| Physician | 71 (44)/68 (42) | |||||
| No answer/Do not know | 27 (17)/31 (19) | |||||
| Jerpseth, 2018 [37] | SDM related to MV or NIV | R | COPD (GOLD III-IV) + CM | 12 | Patient | 10 (83) |
| Physician | 2 (17) | |||||
| Naik, 2016 [41] | SDM related to EoL care | H | Advanced cancer + CM | 146 | Collaborative decision making (including family and physician) | 32–146 (22–100) ° |
| Nath, 2008 [42] | SDM related to EoL care | R | MM (Frail) | 18 | Patient | 12–18 (60–100) ° |
| Panocchia, 2017 * [44] | SDM related to CPR/MV/PEG | H | ESRD + CM | 34 | Family or friend only in case of incapability | 25 (73) |
Publisher’s Note: MDPI stays neutral with regard to jurisdictional claims in published maps and institutional affiliations. |
© 2020 by the authors. Licensee MDPI, Basel, Switzerland. This article is an open access article distributed under the terms and conditions of the Creative Commons Attribution (CC BY) license (http://creativecommons.org/licenses/by/4.0/).
Share and Cite
González-González, A.I.; Schmucker, C.; Nothacker, J.; Nury, E.; Dinh, T.S.; Brueckle, M.-S.; Blom, J.W.; van den Akker, M.; Röttger, K.; Wegwarth, O.; et al. End-of-Life Care Preferences of Older Patients with Multimorbidity: A Mixed Methods Systematic Review. J. Clin. Med. 2021, 10, 91. https://doi.org/10.3390/jcm10010091
González-González AI, Schmucker C, Nothacker J, Nury E, Dinh TS, Brueckle M-S, Blom JW, van den Akker M, Röttger K, Wegwarth O, et al. End-of-Life Care Preferences of Older Patients with Multimorbidity: A Mixed Methods Systematic Review. Journal of Clinical Medicine. 2021; 10(1):91. https://doi.org/10.3390/jcm10010091
Chicago/Turabian StyleGonzález-González, Ana I., Christine Schmucker, Julia Nothacker, Edris Nury, Truc Sophia Dinh, Maria-Sophie Brueckle, Jeanet W. Blom, Marjan van den Akker, Kristian Röttger, Odette Wegwarth, and et al. 2021. "End-of-Life Care Preferences of Older Patients with Multimorbidity: A Mixed Methods Systematic Review" Journal of Clinical Medicine 10, no. 1: 91. https://doi.org/10.3390/jcm10010091
APA StyleGonzález-González, A. I., Schmucker, C., Nothacker, J., Nury, E., Dinh, T. S., Brueckle, M.-S., Blom, J. W., van den Akker, M., Röttger, K., Wegwarth, O., Hoffmann, T., Gerlach, F. M., Straus, S. E., Meerpohl, J. J., & Muth, C. (2021). End-of-Life Care Preferences of Older Patients with Multimorbidity: A Mixed Methods Systematic Review. Journal of Clinical Medicine, 10(1), 91. https://doi.org/10.3390/jcm10010091

