Retinal Microcirculation and Cytokines as Predictors for Recurrence of Macular Edema after Intravitreal Ranibizumab Injection in Branch Retinal Vein Occlusion
Abstract
1. Introduction
2. Methods
2.1. Patients
2.2. Routine Evaluations
2.3. Laser Speckle Flowgraphy (LSFG)
2.4. Hemodynamics
2.5. Assessment of Cytokines and Growth Factors
2.6. Statistical Analysis
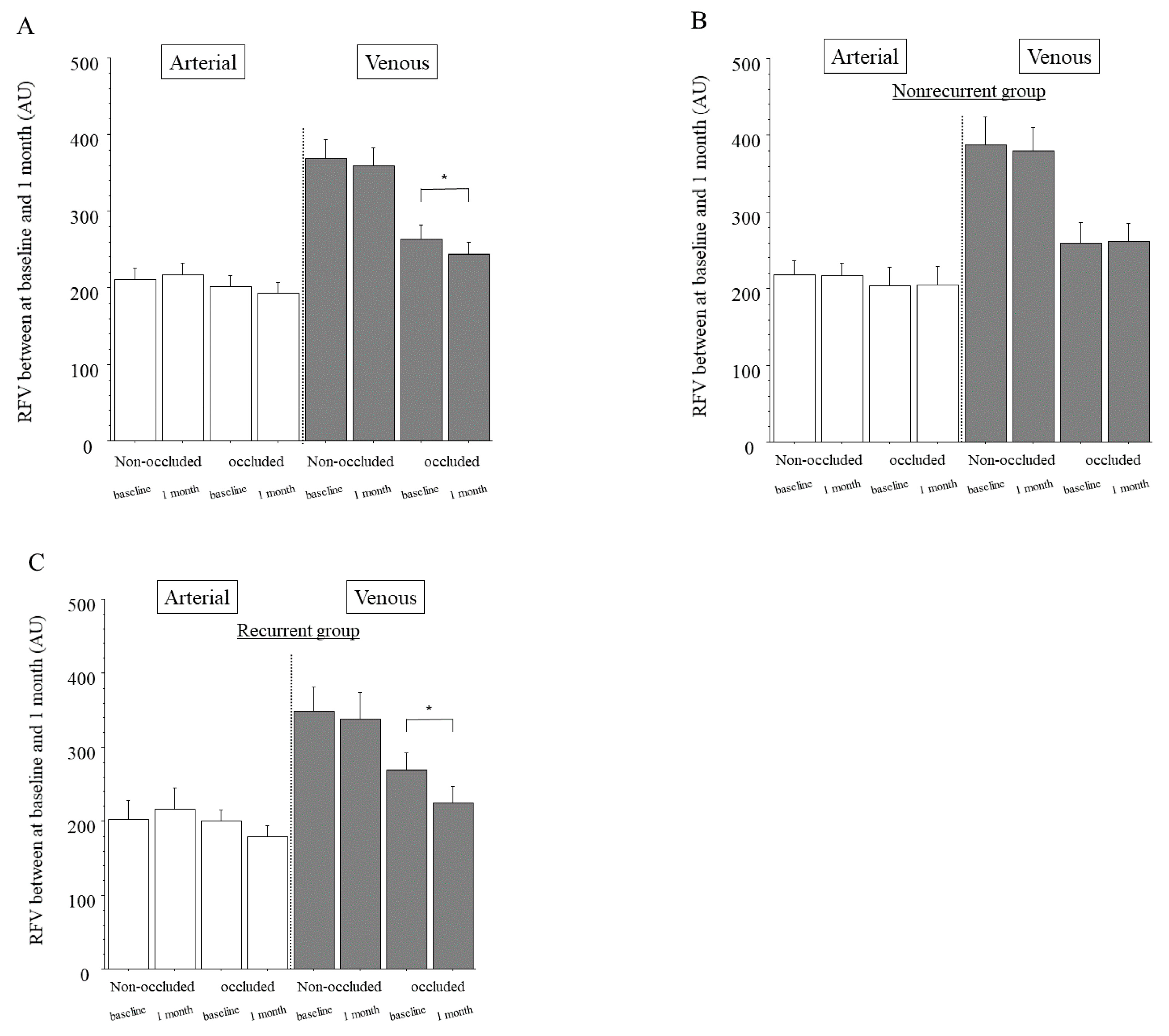
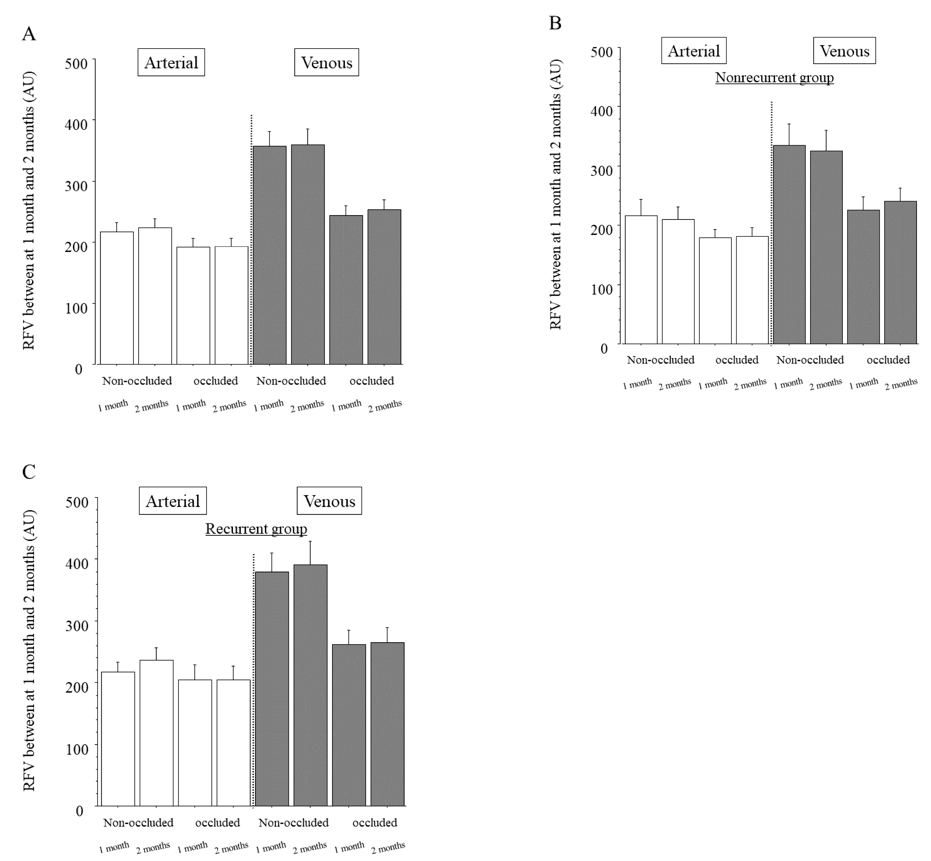
3. Results
4. Discussion
Author Contributions
Funding
Institutional Review Board Statement
Informed Consent Statement
Data Availability Statement
Acknowledgments
Conflicts of Interest
References
- Christoffersen, N.L.; Larsen, M. Pathophysiology and hemodynamics of branch retinal vein occlusion. Ophthalmology 1999, 106, 2054–2062. [Google Scholar] [CrossRef]
- Coscas, G.; Cunha-Vaz, J.; Soubrane, G.; Loewenstein, A. Macular Edema: Definition and Basic Concepts. New Treat. Noninfectious Uveitis 2017, 58, 1–10. [Google Scholar] [CrossRef]
- Tamaki, Y.; Araie, M.; Kawamoto, E.; Eguchi, S.; Fujii, H. Noncontact, two-dimensional measurement of retinal microcirculation using laser speckle phenomenon. Investig. Ophthalmol. Vis. Sci. 1994, 35, 3825–3834. [Google Scholar]
- Sugiyama, T.; Araie, M.; Riva, C.E.; Schmetterer, L.; Orgul, S. Use of laser speckle flowgraphy in ocular blood flow research. Acta Ophthalmol. 2009, 88, 723–729. [Google Scholar] [CrossRef]
- Shiga, Y.; Asano, T.; Kunikata, H.; Nitta, F.; Sato, H.; Nakazawa, T.; Shimura, M. Relative Flow Volume, a Novel Blood Flow Index in the Human Retina Derived From Laser Speckle Flowgraphy. Investig. Opthalmol. Vis. Sci. 2014, 55, 3899–3904. [Google Scholar] [CrossRef] [PubMed]
- Iwase, T.; Ra, E.; Yamamoto, K.; Kaneko, H.; Ito, Y.; Terasaki, H. Differences of Retinal Blood Flow Between Arteries and Veins Determined by Laser Speckle Flowgraphy in Healthy Subjects. Medicine 2015, 94, e1256. [Google Scholar] [CrossRef] [PubMed]
- Fukami, M.; Iwase, T.; Yamamoto, K.; Kaneko, H.; Yasuda, S.; Terasaki, H. Changes in Retinal Microcirculation After Intravitreal Ranibizumab Injection in Eyes With Macular Edema Secondary to Branch Retinal Vein Occlusion. Investig. Opthalmology Vis. Sci. 2017, 58, 1246–1255. [Google Scholar] [CrossRef] [PubMed]
- Brown, D.M.; Campochiaro, P.A.; Bhisitkul, R.B.; Ho, A.C.; Gray, S.; Saroj, N.; Adamis, A.P.; Rubio, R.G.; Murahashi, W.Y. Sustained Benefits from Ranibizumab for Macular Edema Following Branch Retinal Vein Occlusion: 12-Month Outcomes of a Phase III Study. Ophthalmology 2011, 118, 1594–1602. [Google Scholar] [CrossRef]
- Heier, J.S.; Campochiaro, P.A.; Yau, L.; Li, Z.; Saroj, N.; Rubio, R.G.; Lai, P. Ranibizumab for macular edema due to retinal vein occlusions: Long-term follow-up in the HORIZON trial. Ophthalmology 2012, 119, 802–809. [Google Scholar] [CrossRef]
- Campochiaro, P.A.; Sophie, R.; Pearlman, J.; Brown, D.M.; Boyer, D.S.; Heier, J.S.; Marcus, D.M.; Feiner, L.; Patel, A. Long-term outcomes in patients with retinal vein occlusion treated with ranibizumab: The RETAIN study. Ophthalmology 2014, 121, 209–219. [Google Scholar] [CrossRef]
- Noma, H.; Mimura, T.; Yasuda, K.; Shimura, M. Role of Soluble Vascular Endothelial Growth Factor Receptors-1 and -2, Their Ligands, and Other Factors in Branch Retinal Vein Occlusion With Macular Edema. Investig. Opthalmol. Vis. Sci. 2014, 55, 3878–3885. [Google Scholar] [CrossRef] [PubMed]
- Noma, H.; Mimura, T.; Yasuda, K.; Nakagawa, H.; Motohashi, R.; Kotake, O.; Shimura, M. Cytokines and Recurrence of Macular Edema after Intravitreal Ranibizumab in Patients with Branch Retinal Vein Occlusion. Ophthalmology 2016, 236, 228–234. [Google Scholar] [CrossRef] [PubMed]
- Noma, H.; Yasuda, K.; Minezaki, T.; Watarai, S.; Shimura, M. Changes of retinal flow volume after intravitreal injection of bevacizumab in branch retinal vein occlusion with macular edema: A case series. BMC Ophthalmol. 2016, 16, 61. [Google Scholar] [CrossRef] [PubMed]
- Luft, N.; Wozniak, P.A.; Aschinger, G.C.; Fondi, K.; Bata, A.M.; Werkmeister, R.M.; Schmidl, D.; Witkowska, K.J.; Bolz, M.; Garhöfer, G.; et al. Measurements of Retinal Perfusion Using Laser Speckle Flowgraphy and Doppler Op-tical Coherence Tomography. Investig. Ophthalmol. Vis. Sci. 2016, 57, 5417–5425. [Google Scholar] [CrossRef]
- E Riva, C.; Titze, P.; Hero, M.; Petrig, B.L. Effect of acute decreases of perfusion pressure on choroidal blood flow in humans. Investig. Ophthalmol. Vis. Sci. 1997, 38, 1752–1760. [Google Scholar]
- Noma, H.; Mimura, T.; Yasuda, K.; Motohashi, R.; Kotake, O.; Shimura, M. Aqueous Humor Levels of Soluble Vascular Endothelial Growth Factor Receptor and Inflammatory Factors in Diabetic Macular Edema. Ophthalmology 2017, 238, 81–88. [Google Scholar] [CrossRef]
- Papadopoulou, D.N.; Mendrinos, E.; Mangioris, G.; Donati, G.; Pournaras, C.J. Intravitreal Ranibizumab May Induce Retinal Arteriolar Vasoconstriction in Patients with Neovascular Age-related Macular Degeneration. Ophthalmology 2009, 116, 1755–1761. [Google Scholar] [CrossRef]
- Sacu, S.; Pemp, B.; Weigert, G.; Matt, G.; Garhofer, G.; Pruente, C.; Schmetterer, L.; Schmidt, W.M. Response of Retinal Vessels and Retrobulbar Hemodynamics to Intravitreal Anti-VEGF Treatment in Eyes with Branch Retinal Vein Occlusion. Investig. Opthalmol. Vis. Sci. 2011, 52, 3046–3050. [Google Scholar] [CrossRef]
- Arnarsson, A.; Stefánsson, E. Laser treatment and the mechanism of edema reduction in branch retinal vein occlusion. Investig. Ophthalmol. Vis. Sci. 2000, 41, 877–879. [Google Scholar]
- Stefánsson, E. The therapeutic effects of retinal laser treatment and vitrectomy. A theory based on oxygen and vascular physiology. Acta Ophthalmol. Scand. 2001, 79, 435–440. [Google Scholar] [CrossRef]
- Spaide, R.F. Retinal Vascular Cystoid Macular Edema: Review and New Theory. Retina 2016, 36, 1823–1842. [Google Scholar] [CrossRef] [PubMed]
- Yoshida, S.; Yoshida, A.; Ishibashi, T.; Elner, S.G.; Elner, V.M. Role of MCP-1 and MIP-1alpha in retinal neovascularization during postischemic inflammation in a mouse model of retinal neovascularization. J. Leukoc. Biol. 2003, 73, 137–144. [Google Scholar] [CrossRef] [PubMed]
- Tesch, G.H. Role Of Macrophages In Complications Of Type 2 Diabetes. Clin. Exp. Pharmacol. Physiol. 2007, 34, 1016–1019. [Google Scholar] [CrossRef] [PubMed]
- Yoshida, S.; Kubo, Y.; Kobayashi, Y.; Zhou, Y.; Nakama, T.; Yamaguchi, M.; Tachibana, T.; Ishikawa, K.; Arita, R.; Nakao, S.; et al. Increased vitreous concentrations of MCP-1 and IL-6 after vitrectomy in patients with proliferative diabetic retinopathy: Possible association with postoperative macular oedema. Br. J. Ophthalmol. 2015, 99, 960–966. [Google Scholar] [CrossRef]
- Karakurum, M.; Shreeniwas, R.; Chen, J.; Pinsky, D.; Yan, S.D.; Anderson, M.; Sunouchi, K.; Major, J.; Hamilton, T.; Kuwabara, K. Hypoxic induction of interleukin-8 gene expression in human endothelial cells. J. Clin. Investig. 1994, 93, 1564–1570. [Google Scholar] [CrossRef]
- Shono, T.; Ono, M.; Izumi, H.; Jimi, S.I.; Matsushima, K.; Okamoto, T.; Kohno, K.; Kuwano, M. Involvement of the transcription factor NF-kappaB in tubular morphogenesis of human microvascular endothelial cells by oxidative stress. Mol. Cell. Biol. 1996, 16, 4231–4239. [Google Scholar] [CrossRef]
- Taub, D.D.; Anver, M.; Oppenheim, J.J.; Longo, D.L.; Murphy, W.J. T lymphocyte recruitment by interleukin-8 (IL-8). IL-8-induced degranulation of neutrophils releases potent chemoattractants for human T lymphocytes both in vitro and in vivo. J. Clin. Investig. 1996, 97, 1931–1941. [Google Scholar] [CrossRef]
- Detmers, P.A.; Lo, S.K.; Olsen-Egbert, E.; Walz, A.; Baggiolini, M.; Cohn, Z.A. Neutrophil-activating protein 1/interleukin 8 stimulates the binding activity of the leukocyte adhesion receptor CD11b/CD18 on human neutrophils. J. Exp. Med. 1990, 171, 1155–1162. [Google Scholar] [CrossRef]
- Paccaud, J.-P.; Schifferli, J.; Baggiolini, M. NAP-1IL-8 induces up-regulation of CR1 receptors in human neutrophil leukocytes. Biochem. Biophys. Res. Commun. 1990, 166, 187–192. [Google Scholar] [CrossRef]
- Feldman, E.D.; Weinreich, D.M.; Carroll, N.M.; Burness, M.L.; Feldman, A.L.; Turner, E.; Xu, H.; Alexander, H.R., Jr. Interferon gamma-inducible protein 10 selectively inhibits proliferation and induces apoptosis in endothelial cells. Ann. Surg Oncol. 2006, 13, 125–133. [Google Scholar] [CrossRef]
- Bodnar, R.J.; Yates, C.C.; Wells, A. IP-10 Blocks Vascular Endothelial Growth Factor-Induced Endothelial Cell Motility and Tube Formation via Inhibition of Calpain. Circ. Res. 2006, 98, 617–625. [Google Scholar] [CrossRef] [PubMed]
- Suzuki, Y.; Nakazawa, M.; Suzuki, K.; Yamazaki, H.; Miyagawa, Y. Expression profiles of cytokines and chemokines in vitreous fluid in diabetic retinopathy and central retinal vein occlusion. Jpn. J. Ophthalmol. 2011, 55, 256–263. [Google Scholar] [CrossRef] [PubMed]
- Tsujikawa, A.; Ogura, Y.; Hiroshiba, N.; Miyamoto, K.; Kiryu, J.; Honda, Y. In vivo evaluation of leukocyte dynamics in retinal ischemia reperfusion injury. Investig. Ophthalmol. Vis. Sci. 1998, 39, 793–800. [Google Scholar]
- Matsushima, R.; Noma, H.; Yasuda, K.; Goto, H.; Shimura, M. Role of Cytokines in Ranibizumab Therapy for Macular Edema in Patients with Central Retinal Vein Occlusion. J. Ocul. Pharmacol. Ther. 2019, 35, 407–412. [Google Scholar] [CrossRef]
- Noma, H.; Yasuda, K.; Shimura, M. Change of cytokines after intravitreal ranibizumab in patients with recurrent branch retinal vein occlusion and macular edema. Eur. J. Ophthalmol. 2019, 5. [Google Scholar] [CrossRef]
- Clermont, A.C.; Aiello, L.M.; Mori, F.; Bursell, S.-E. Vascular Endothelial Growth Factor and Severity of Nonproliferative Diabetic Retinopathy Mediate Retinal Hemodynamics In Vivo: A Potential Role for Vascular Endothelial Growth Factor in the Progression of Nonproliferative Diabetic Retinopathy. Am. J. Ophthalmol. 1997, 124, 433–446. [Google Scholar] [CrossRef]
- Tilton, R.G.; Chang, K.C.; Lejeune, W.S.; Stephan, C.C.; A Brock, T.; Williamson, J.R. Role for nitric oxide in the hyperpermeability and hemodynamic changes induced by intravenous VEGF. Investig. Ophthalmol. Vis. Sci. 1999, 40, 689–696. [Google Scholar]
- Nagaoka, T.; Sakamoto, T.; Mori, F.; Sato, E.; Yoshida, A. The effect of nitric oxide on retinal blood flow during hypoxia in cats. Investig. Ophthalmol. Vis. Sci. 2002, 43, 3037–3044. [Google Scholar]
- Pournaras, C.J.; Rungger-Brändle, E.; Riva, C.E.; Hardarson, S.H.; Stefansson, E. Regulation of retinal blood flow in health and disease. Prog. Retin. Eye Res. 2008, 27, 284–330. [Google Scholar] [CrossRef]
- Nagaoka, T.; Mori, F.; Yoshida, A. Retinal artery response to acute systemic blood pressure increase during cold pressor test in humans. Investig. Ophthalmol. Vis. Sci. 2002, 43, 1941–1945. [Google Scholar]




| Findings | Resolved Group (n = 24) | Recurrent Group (n = 23) | p Value |
|---|---|---|---|
| Age (years) | 63.4 ± 11.8 ‡ | 67.0 ± 7.2 ‡ | 0.213 |
| Gender (female/male) | 16/8 | 11/12 | 0.192 |
| Duration of macular edema (days) | 45.7 ± 29.0 ‡ | 39.1 ± 15.8 ‡ | 0.338 |
| Hypertension | 15 | 19 | 0.123 |
| Systolic Blood pressure (mmHg) | 139 ± 18 | 144 ± 13 | 0.284 |
| Diastolic Blood pressure (mmHg) | 83 ± 13 | 87 ± 10 | 0.239 |
| Hyperlipidemia | 10 | 12 | 0.471 |
| Baseline BCVA (logMAR) | 0.44 ± 0.40 ‡ | 0.46 ± 0.36 ‡ | 0.806 |
| Baseline CMT (μm) | 611 ± 211 ‡ | 666 ± 194 ‡ | 0.353 |
| MBP (mmHg) | 102 ± 13 ‡ | 106 ± 9.9 ‡ | 0.191 |
| OPP (mmHg) | 54 ± 9.1 ‡ | 57 ± 6.4 ‡ | 0.240 |
| Aqueous Factors/Cytokines | sVEGFR-1 (pg/mL) | sVEGFR-2 (pg/mL) | VEGF (pg/mL) | PlGF (pg/mL) | PDGF-AA (pg/mL) | sICAM-1 (pg/mL) | MCP-1 (pg/mL) | IL-6 (pg/mL) | IL-8 (pg/mL) | IL-12 (p70) (pg/mL) | IL-13 (pg/mL) | IP-10 (pg/mL) |
|---|---|---|---|---|---|---|---|---|---|---|---|---|
| At Baseline (median (interquartile range)) | 682 (364–1412) | 491 (382–696) | 63.3 (12.4–136) | 3.13 (2.04–5.37) | 22.1 (14.1–30.1) | 3.64 (0.51–10.5) | 1212 (971–1822) | 3.64 (0.64–7.76) | 13.8 (6.20–23.6) | 0.61 (0.14–1.29) | 0.48 (0.11–1.03) | 73.4 (39.5–138) |
| Variable | r p value | r p value | r p value | r p value | r p value | r p value | r p value | r p value | r p value | r p value | r p value | r p value |
| Arterial of the non-occluded region | −0.01 0.983 | −0.14 0.409 | −0.19 0.246 | 0.09 0.576 | −0.22 0.187 | 0.08 0.648 | −0.14 0.416 | 0.03 0.849 | −0.08 0.619 | 0.01 0.991 | 0.07 0.677 | −0.10 0.569 |
| Arterial of the occluded region | −0.04 0.793 | 0.11 0.502 | −0.23 0.152 | −0.09 0.615 | −0.17 0.325 | 0.12 0.464 | −0.17 0.321 | −0.10 0.533 | −0.14 0.391 | 0.02 0.887 | 0.09 0.566 | −0.29 0.072 |
| Venous of the non-occluded region | −0.06 0.743 | −0.06 0.721 | −0.17 0.303 | 0.19 0.248 | 0.10 0.551 | 0.16 0.342 | 0.07 0.684 | 0.11 0.503 | 0.14 0.412 | 0.13 0.423 | 0.23 0.158 | −0.03 0.853 |
| Venous of the occluded region | −0.04 0.818 | −0.06 0.731 | −0.18 0.275 | −0.17 0.299 | −0.14 0.405 | −0.02 0.892 | −0.32 0.029 | −0.13 0.439 | −0.31 0.035 | 0.08 0.616 | 0.01 0.941 | −0.30 0.039 |
| Aqueous Factors/Cytokines | sVEGFR-1 (pg/mL) | sVEGFR-2 (pg/mL) | VEGF (pg/mL) | PlGF (pg/mL) | PDGF-AA (pg/mL) | sICAM-1 (pg/mL) | MCP-1 (pg/mL) | IL-6 (pg/mL) | IL-8 (pg/mL) | IL-12 (p70) (pg/mL) | IL-13 (pg/mL) | IP-10 (pg/mL) |
|---|---|---|---|---|---|---|---|---|---|---|---|---|
| At Recurrence (median (interquartile range)) | 493 (274–912) | 503 (333–643) | 49.5 (1.60–105) | 2.64 (2.02–5.26) | 20.2 (13.8–28.2) | 3.64 (1.20–8.35) | 1139 (909–1362) | 1.75 (0.64–3.13) | 11.5 (8.13–18.5) | 0.61 (0.22–2.43) | 0.48 (0.10–1.62) | 74.2 (42.2–92.3) |
| Variable | r p value | r p value | r p value | r p value | r p value | r p value | r p value | r p value | r p value | r p value | r p value | r p value |
| Arterial of the non-occluded region | −0.04 0.873 | 0.30 0.231 | 0.02 0.943 | −0.03 0.919 | −0.13 0.601 | 0.08 0.001 | 0.46 0.753 | −0.04 0.862 | −0.03 0.906 | 0.11 0.656 | 0.07 0.788 | 0.01 0.961 |
| Arterial of the occluded region | −0.04 0.865 | 0.29 0.178 | −0.20 0.427 | −0.11 0.671 | −0.16 0.528 | 0.33 0.182 | 0.30 0.222 | −0.03 0.918 | −0.01 0.957 | 0.08 0.761 | 0.19 0.443 | 0.01 0.987 |
| Venous of the non-occluded region | −0.12 0.628 | 0.20 0.349 | −0.27 0.277 | −0.04 0.871 | 0.10 0.691 | 0.20 0.440 | 0.24 0.341 | 0.20 0.436 | 0.11 0.662 | 0.21 0.404 | 0.19 0.381 | 0.18 0.461 |
| Venous of the occluded region | −0.04 0.879 | 0.10 0.703 | −0.03 0.921 | −0.23 0.358 | 0.26 0.302 | 0.01 0.956 | 0.04 0.887 | 0.16 0.521 | 0.03 0.919 | 0.36 0.085 | 0.15 0.483 | 0.24 0.330 |
Publisher’s Note: MDPI stays neutral with regard to jurisdictional claims in published maps and institutional affiliations. |
© 2020 by the authors. Licensee MDPI, Basel, Switzerland. This article is an open access article distributed under the terms and conditions of the Creative Commons Attribution (CC BY) license (http://creativecommons.org/licenses/by/4.0/).
Share and Cite
Noma, H.; Yasuda, K.; Mimura, T.; Suganuma, N.; Shimura, M. Retinal Microcirculation and Cytokines as Predictors for Recurrence of Macular Edema after Intravitreal Ranibizumab Injection in Branch Retinal Vein Occlusion. J. Clin. Med. 2021, 10, 58. https://doi.org/10.3390/jcm10010058
Noma H, Yasuda K, Mimura T, Suganuma N, Shimura M. Retinal Microcirculation and Cytokines as Predictors for Recurrence of Macular Edema after Intravitreal Ranibizumab Injection in Branch Retinal Vein Occlusion. Journal of Clinical Medicine. 2021; 10(1):58. https://doi.org/10.3390/jcm10010058
Chicago/Turabian StyleNoma, Hidetaka, Kanako Yasuda, Tatsuya Mimura, Noboru Suganuma, and Masahiko Shimura. 2021. "Retinal Microcirculation and Cytokines as Predictors for Recurrence of Macular Edema after Intravitreal Ranibizumab Injection in Branch Retinal Vein Occlusion" Journal of Clinical Medicine 10, no. 1: 58. https://doi.org/10.3390/jcm10010058
APA StyleNoma, H., Yasuda, K., Mimura, T., Suganuma, N., & Shimura, M. (2021). Retinal Microcirculation and Cytokines as Predictors for Recurrence of Macular Edema after Intravitreal Ranibizumab Injection in Branch Retinal Vein Occlusion. Journal of Clinical Medicine, 10(1), 58. https://doi.org/10.3390/jcm10010058
