Next Article in Journal
Advanced Low–Cost Natural Materials for High–Performance Oil–Water Filtration Membranes: Achievements, Challenges, and Future Directions
Previous Article in Journal
Study on Efficient Operating Conditions for Bipolar Membrane Electrodialysis Using Different Ion Species and Anion-Exchange Membranes
Previous Article in Special Issue
Novel, Fluorine-Free Membranes Based on Sulfonated Polyvinyl Alcohol and Poly(ether-block-amide) with Sulfonated Montmorillonite Nanofiller for PEMFC Applications
 
 
Font Type:
Arial Georgia Verdana
Font Size:
Aa Aa Aa
Line Spacing:
Column Width:
Background:
Article

High-Performance Fluorine-Lean Thin Aromatic Hydrocarbon Membranes Based on Polyvinylidene Fluoride for Hydrogen Fuel Cells

by
Tamas Nemeth
1,2,†,
Zongyi Han
1,† and
Lorenz Gubler
1,*
1
PSI Center for Energy and Environmental Sciences, 5232 Villigen PSI, Switzerland
2
Sustainable Energy Technologies, SINTEF Industry, 7034 Trondheim, Norway
*
Author to whom correspondence should be addressed.
These authors contributed equally to this work.
Membranes 2024, 14(12), 263; https://doi.org/10.3390/membranes14120263
Submission received: 31 October 2024 / Revised: 28 November 2024 / Accepted: 5 December 2024 / Published: 7 December 2024
(This article belongs to the Special Issue Recent Advances in Fluorine-Free Membranes)

Abstract

The impeding ban on per- and polyfluoroalkyl substances (PFAS) prompted researchers to focus on hydrocarbon-based materials as constituents of next-generation proton exchange membranes (PEMs) for polymer electrolyte fuel cells (PEFCs). Here, we report on the fuel cell performance and durability of fluorine-lean PEMs prepared by the post-sulfonation of co-grafted α-methylstyrene (AMS) and 2-methylene glutaronitrile (MGN) monomers into preirradiated 12 µm polyvinylidene fluoride (PVDF) base film. The membranes were subjected to two distinctly different accelerated stress test (AST) protocols performed at open-circuit voltage (OCV): the US Department of Energy-similar chemical AST (90 °C, 30% relative humidity (RH), H2/air, 1 bara), developed originally for perfluoroalkylsulfonic acid (PFSA) membranes, and the high relative humidity AST (80 °C, 100% RH, H2/O2, 2.5 bara), designed for aromatic hydrocarbon membranes. We found that doping the grafted membranes with a metalated porphyrin antioxidant can simultaneously reduce membrane aging and improve fuel cell performance.

1. Introduction

Fuel cells (FCs) are electrochemical devices that directly convert chemical energy into electricity with high efficiency and zero emissions at the point of use. The widespread use of hydrogen FCs in vehicular transportation, especially in heavy duty trucks, aviation, and maritime sectors, can contribute to the decrease in greenhouse gas emissions, targeted by the “Net Zero by 2050” initiative [1]. The most common type of FC contains a proton-conducting proton exchange membrane (PEM) coated with catalyst layers (CLs), sandwiched between gas diffusion layers. The PEM acts as both electrolyte and separator for gases and electrons and enables operation at high current densities. State-of-the-art PEMs comprise perfluoroalkylsulfonic acid (PFSA) ionomers such as Nafion™ by Chemours (New Castle, DE, USA). They possess high chemical stability, yet high productions cost [2], poor gas barrier properties [3], and limited dimensional stability, currently impeding their widespread application [4]. These materials are “forever chemicals” that pose an environmental concern that prompted the European Union to consider banning their non-essential use [5].
Therefore, it is of general interest to develop partially or nonfluorinated membrane alternatives to address these limitations. Irradiation grafting is a versatile technique to obtain PEMs from various monomers [6]. First, a base polymer is exposed to high-energy ionizing radiation in the presence of air, leading to the formation of peroxide and hydroperoxide sites on the polymer. Upon heating, these peroxide groups decompose, generating free radicals, which can react in the next step with the chosen monomer(s) to obtain a grafted film [7,8,9]. Post-polymerization reactions can be performed to introduce the desired properties. In the case of FC applications, radiation-grafted membranes contain a mechanically and chemically robust base film, typically the fluoropolymer poly(ethylene-co-tetrafluoroethylene) (ETFE), and aromatic hydrocarbon-type grafted constituents [10]. Pre-irradiation grafting can also be used to prepare anion exchange membranes, which was pioneered by Slade and Varcoe [11,12]. The choice of the base film determines final membrane thickness and, with the grafted monomers, influences the final physico-chemical properties of the material. Rigorous optimization of graft constituents enabled membranes that could match the durability of certain Nafion-type PEMs [10], but performance still needs to be further improved. The conductivity and fuel cell performance of ETFE-based irradiation-grafted membranes are limited by the thickness of the base film; thicker membranes exhibit decreased conductivity [9]. Additionally, proton-conductive groups are typically introduced via the grafted constituents. Therefore, increasing the graft level improves fuel cell performance, although it may reduce mechanical stability [13].
Recent technoeconomic assessments highlight that widespread application of fuel cells is hindered by high manufacturing costs [14]. Presently, the cost contribution of PEM and CL components amounts to nearly half of the total production costs. One way to increase market penetration of the FC technology is to reduce costs by using ultra-thin PEMs. Here, the use of an ETFE base polymer poses a limitation, as at reduced thickness enhanced gas permeability is observed. The use of alternative base films can alleviate these issues. Polyvinylidene fluoride (PVDF) is a semi-crystalline fluoropolymer combining excellent chemical and mechanical properties, offering better processability and gas barrier properties than ETFE or perfluoropolymers [15,16].
In this study, we investigate thin (18–24 µm) PEMs, prepared by sulfonating films obtained by irradiation-grafting the monomers α-methylstyrene and 2-methylene glutaronitrile into a PVDF base film. The use of PVDF as base film for the preparation of radiation-grafted membranes has been previously reported by Chen et al. [17,18]. We compare the performance in the single fuel cell, and we report on the in situ fuel cell durability under various accelerated chemical-stress conditions complemented with extensive post-test analyses to quantify the extent of the degradation. In addition, we implement a strategy to combat oxidative aging, by doping the membranes with a metalated porphyrin-type antioxidant.

2. Results and Discussion

2.1. PEM Fabrication and Characterization

To prepare novel poly(vinylidene fluoride-co-hexafluoropropylene)-based (PVDF) aromatic hydrocarbon containing PEMs (Figure 1), we followed the procedure described in Scheme 1. Commercial PVDF films with 12 µm thickness were selected as the base polymer for e-beam irradiation as PVDF has high resistance against radiation-induced mechanical degradation [7]. Moreover, it can be dissolved in aprotic polar organic solvents, such as dimethylformamide (DMF) and dimethylacetamide (DMAc), enabling solution phase post-polymerization modifications. Lastly, very thin PVDF films can be obtained without adversely affecting mechanical properties. During FC operation, thin PEMs enable effective back-diffusion of water from cathode to anode side and typically have lower membrane resistance, resulting in improved cell performance. The base films were pre-irradiated at room temperature under air atmosphere with a total dose of 25, 50, and 100 kGy, respectively. Next, the hydrocarbon monomers α-methylstyrene (AMS) and 2-methylene glutaronitrile (MGN) were grafted onto the base polymer to obtain PVDF-g-poly(AMS-co-MGN) films. Unlike styrene [19], the monomer AMS does not readily polymerize by the radical mechanism by itself [20]; therefore, we used MGN as co-monomer. AMS features an aromatic moiety that can be substituted with proton-conducting groups, whereas MGN was used as a comonomer to improve the low self-chain-growth of AMS. Additionally, MGN is known to improve the gas barrier properties of ion exchange membranes [21].
The pre-irradiated PVDF films were immersed into the optimized grafting solution that contained 20 v% monomer mixture of AMS:MGN (1:1 molar ratio) in IPA and water solvent mixture (1:1 volumetric ratio). This solution was deaerated by bubbling N2 for at least 45 min, before placing the grafting reactors onto a preheated (65 °C) heating plate for a controlled time. The grafting kinetics, represented in Figure 2, indicate that, for all irradiation doses, the graft level (GL) reached a plateau after 15–25 h of reaction due to the reduced grafting reaction rate caused by the recombination of polymer chains and the decay of radicals. High graft levels could be obtained in IPA–water mixtures. IPA is a nonsolvent for the growing AMS-MGN-containing polymer chains, limiting their mobility and effectively prolonging the lifetime of chain-end radicals [22].
The obtained films were subjected to an electrophilic aromatic substitution (SeAr) sulfonation reaction and subsequent hydrolysis, Scheme 1 and Reactions (1) and (2), to introduce the protogenic sulfonic acid groups [9]. Near theoretical yields were obtained upon using 5–10 v % chlorosulfonic acid in DCM.
Ar-H + ClSO3H → Ar-SO2Cl + H2O
Ar-SO2Cl + H2O → Ar-SO3H + HCl
FT-IR analyses were performed to evaluate the grafting and sulfonation reactions (Figure 3) [23]. Successful grafting of AMS is indicated by the appearance of the aromatic and alkyl C-H stretching bands at 2900–3100 cm−1 and the aromatic C-C stretching bands between 1500 and 1600 cm−1 (Figure 3 left). In addition, the appearance of the nitrile stretch at 2230 cm−1 indicates the successful incorporation of the MGN monomer. The appearance of the S-O stretching vibration at 1039 cm−1 and of the SO2 symmetric stretch at 1009 cm−1 confirms successful sulfonation (Figure 3 right) of the AMS unit, yielding α-methylstyrene sulfonic acid (AMSSA) groups [20,24]. The presence of the C=O stretching peak at 1700 cm−1 indicates partial hydrolysis of the nitrile groups in MGN to amide or carboxylic acid groups.
Furthermore, FT-IR can be used as a tool to quantify the graft level of unknown PVDF-based samples. Based on the relationships between the C–H stretch peak area at around 3000 cm−1 with the grafting time (Figure 4 left) and the graft level with the grafting time (grafting kinetics from Figure 2), the relationship between the peak area at around 3000 cm−1 and the graft level can be obtained (Figure 4 right). By normalizing the peak area at around 3000 cm−1 (due to C–H stretch vibrations) to the area of the peak at around 614 cm−1, which is a characteristic peak for PVDF films and only varies slightly during grafting [25], we can eventually obtain a linear relationship between the normalized peak area at around 3000 cm−1 and the graft level, as seen in Figure 4. For an AMS:MGN-grafted PVDF film with an unknown graft level, the FT-IR can be measured and the normalized peak area at around 3000 cm−1 (with respect to the peak area at around 614 cm−1) can be estimated. With this value and the linear fit shown in Figure 4 right, the graft level can then be evaluated.
Cross-section SEM-EDX mapping supplemented the FT-IR measurements. The even distribution of the elements sulfur and potassium across the thickness of the potassium-exchanged membranes suggests uniform grafting and sulfonation (Figure 5).

2.2. Fuel Cell Tests

For further ex situ characterization and FC tests, we selected membranes with a graft level of 43, 52, and 63%. Compared to PFSA-type PEMs, hydrocarbons require a higher ion exchange capacity to reach similar proton conductivity. This is due to their inherently lower acidity, insufficient microphase separation, and less dense polymeric backbone [26,27].
We found that both in-plane conductivity and ion exchange capacity increase with GL ranging between 64–89 mS cm−1 and 1.23–1.54 mmol g−1, respectively (Table 1). Following the ex situ characterization, the PEMs were exchanged to proton form and sandwiched between commercial gas diffusion electrodes to obtain membrane electrode assemblies (MEAs, see details in Supplementary Materials) that were subjected to FC tests. Polarization curves were recorded galvanostatically at 80 °C cell temperature with 2.5 bara back pressure, fully humidified gases at the inlet, a minimum flow rate of 200 mLn min−1 with a fixed stoichiometry of 1.5 for both H2 and O2 (Figure 6). Nafion™ 211 (N211) with similar dry thickness was used as reference. We found that the grafted PEMs became brittle during hot pressing; therefore, we adopted the wet-assembly method. Under these testing conditions, for all tested samples, the open-circuit voltage (OCV) was below the theoretical one, 1.196 V. This is due to H2 crossover to the cathode side, depolarizing the cathode potential, and a result of mixed potential of platinum oxidation and O2 reduction. With an increase in graft level, the performance of the grafted PEMs improved. At GL of 52%, the performance of N211 could be matched, whereas the 63% GL sample outperformed the reference (Figure 6). We hypothesize that, at a low GL of 43%, the through-plane conductivity of the samples is compromised, as a result of inadequate formation of proton-conductive channels. It is worth noting that, even with a low GL of 43%, our PVDF-based, AMS/MGN-grafted PEM still shows a significant performance improvement over a recently published sulfonated polystyrene-grafted PVDF-based membrane under similar testing conditions [28]. The novel PVDF-based membranes showed superior performance to fluorinated ethylene propylene (FEP)-based irradiation grafted membranes featuring styrene and divinylbenzene as grafted constituents [29].
After establishing the performance of the newly fabricated MEAs, we performed accelerated stress tests (ASTs) to evaluate in-device durability. First, we performed an AST developed for hydrocarbon PEMs by holding the cell at 80 °C cell temperature, under 2.5 bara back pressure and using fully humidified gases, H2 and O2, at the inlet until OCV decreased below 0.8 V [30].
In case of the AST performed at high relative humidity (Figure 7), all hydrocarbon PEMs failed within 60 h. Under these testing conditions, N211 can last for several hundred hours. We also observed a linear increase in the high-frequency resistance (HFR) during the AST that can be explained by the cleavage and wash-out of sulfonated aromatic constituents, leaving the more durable and non-conductive PVDF base film largely unaffected. We found that the lifetime decreased with increasing GL (Figure 7), also testified by differences in the rate of IEC loss (Table 1). The membrane with 43% GL had the best durability in the series, despite its lower thickness (Table 1). The BOT hydrogen crossover was measured and it was found that the membrane with the highest GL had the highest initial H2p; therefore, we hypothesize that, with an increase in GL, the water uptake also increases, which directly affects the gas barrier properties (Table 1). A higher crossover causes an increase in the rate of radical formation that occurs in the membrane electrode assembly in the presence of reactive gases (H2 and O2) and the noble metal catalyst. Formed radicals inflict chemical damage to the PEM, thereby limiting prolonged FC operation [31]. A GL of 52% offers a good compromise between performance and durability; therefore, in the following experiments, we studied this targeted GL in more detail.
To improve in-device lifetime, we implemented a recently reported antioxidant strategy [30]. Briefly, during radical attack on aromatic hydrocarbon-type PEM constituents, oxidized species are formed [32]. These intermediates have a relatively long lifetime that enables reducing agents to “repair” these constituents. Here, we used a Cu(II)-porphyrin-type antioxidant (Figure 1) to dope the grafted PEMs (Scheme S1). We found that the antioxidant doping decreased both the BOT in-plane conductivity and IEC. This can be explained by the acid–base interaction between the sulfonic acid groups of the PEM and the protonated amino group of the antioxidant, decreasing the amount of available protogenic groups for proton conduction. We also observed that this decrease in conductivity or IEC did not impair in-cell performance; in fact, the modified PEM (52% GL-AO) outperformed the non-modified one (Figure 8).
Antioxidant doping enhanced the durability of the PEMs: lifetime increased by 20%, from 50 h to 60 h, in the AST performed at high relative humidity. In case of the non-modified membrane, HFR nearly doubled (BOT: 44 mOhm cm2, EOT: 81 mOhm cm2), whereas for the modified PEM it only increased by 10%, from 43 to 48 mOhm cm2 during the AST (Figure 9). Also, the IEC loss rate decreased by nearly 60% from 1.46 to 0.62% h−1 (Table 1). Durability of the novel PVDF-based PEMs is lower than ETFE-based membranes featuring covalently bound antioxidants [30,33].
Next, we applied a different AST protocol, similar to the one proposed by the US Department of Energy (DOE) that was originally developed for PFSA-type PEMs. We kept the cell at OCV, 90 °C and applied an RH of 30% on both the anode (H2) and cathode (air) side at ambient pressure until the failure criterion of a hydrogen crossover current density of >10 mA cm−2 was reached [34,35,36]. We prepared new membranes with a GL of 50%. Here, doping with antioxidant had no negative impact on the conductivity, whereas IEC decreased (Table 2). We included N211 as a reference in these tests. The non-modified PEM failed after 175 h, N211 after 275 h, and the modified membrane lasted for 300 h (Figure 10). The presence of the antioxidant caused a >35% decrease in the rate of IEC loss (Table 2). The reduced durability of N211 under these conditions is due to chain scission, an additional degradation mechanism for PFSA-type PEMs at low RH [37,38].
IEC, by definition, describes the amount of protons (or ions) exchanged per gram of dry polymer, typically expressed in milliequivalents per gram (meq g−1) or millimols per gram (mmol g−1). We hypothesize that the smaller IEC decrease rate for N211 may be explained by differences in the degradation mechanism compared to hydrocarbon PEMs [33,39,40]. For N211, the loss of the protogenic sulfonic acid groups is accompanied by pronounced membrane thinning [39], also indicated by the sharp increase in hydrogen permeability at the end of testing. Whereas for hydrocarbon membranes, the more pronounced IEC loss rate can be explained by sulfonic acid loss without significant material thinning [33,40], supported by the relatively smaller increase in permeability (Figure 10, Table 2).
Unlike in recent studies on covalently attached antioxidants, here the wash-out of the antioxidant may limit its effectiveness [30,33]. Therefore, by measuring the Cu-content in the PEMs before and after testing, we investigated the stability of the doped antioxidant in the strongly acidic and oxidizing environment of a fuel cell. We used X-ray fluorescence spectroscopy (XRF), a reported method to measure metal content in PEMs (Table 3, see further details in Supplementary Materials) [41].
We found that the Cu-content decreased in both ASTs, indicating wash-out of the antioxidant (Table 3). We estimated a 50% loss in the hydrocarbon-specific AST and a 70% decrease in the DOE-like AST. This can be explained by considering the differences in relative humidity (100% vs. 30%) and the testing durations (60 h vs. 300 h) of the hydrocarbon-specific and DOE-like ASTs.

3. Conclusions

Our study demonstrates that fluorine-lean PEMs, prepared by post-sulfonation of co-grafted α-methylstyrene (AMS) and 2-methylene glutaronitrile (MGN) monomers into a preirradiated 12 µm polyvinylidene fluoride (PVDF) base film, can match and exceed the fuel cell performance of N211.
We implemented an antioxidant strategy by doping the grafted PEMs with Cu-porphyrin and found that the modified membranes give excellent fuel cell performance, demonstrating that this stabilization approach does not adversely affect cell performance. We performed two types of ASTs: in a hydrocarbon-specific AST we operated the cell at high relative humidity and high partial pressure of oxygen until the OCV dropped below 0.8 V; in a DOE-like test, performed at low relative humidity and ambient pressure, we used the increase in hydrogen crossover beyond 10 mA cm−2 as a failure criterion. We found that, while the durability of the antioxidant-containing membranes improved, they still failed after 60 h of testing in the hydrocarbon-specific AST. We demonstrated that the modified membranes had a higher durability than N211 under DOE-like testing conditions. We succeeded in developing a method that is applicable for all PEMs, by simply doping the membranes with an antioxidant to mitigate radical-induced degradation.

Supplementary Materials

The following supporting information can be downloaded at: https://www.mdpi.com/article/10.3390/membranes14120263/s1, Experimental details; FT-IR and XRF measurements of the tested membranes. Scheme S1: antioxidant doping reaction; Figure S1: color of the Cu(II)-porphyrin-containing PEM during the doping reaction.

Author Contributions

The manuscript was written through contributions of all authors. All authors have read and agreed to the published version of the manuscript.

Funding

The authors wish to thank the Swiss National Science Foundation (SNSF) for project funding (grant no. 175493).

Institutional Review Board Statement

Not applicable.

Data Availability Statement

Data is available from the corresponding author upon reasonable request.

Conflicts of Interest

The authors declare no conflict of interest.

References

  1. Net Zero by 2050 A Roadmap for the Global Energy Sector. 2021. Available online: https://www.iea.org/reports/net-zero-by-2050 (accessed on 9 September 2024).
  2. James, B.D.; Kalinoski, J.A. Mass Production Cost Estimation for Direct H2 PEM Fuel Cell Systems for Automotive Application; Directed Technologies, Inc.: Arlington, VA, USA, 2009. [Google Scholar]
  3. Kocha, S.S.; Deliang Yang, J.; Yi, J.S. Characterization of Gas Crossover and Its Implications in PEM Fuel Cells. AIChE J. 2006, 52, 1916–1925. [Google Scholar] [CrossRef]
  4. Maiti, T.K.; Singh, J.; Dixit, P.; Majhi, J.; Bhushan, S.; Bandyopadhyay, A.; Chattopadhyay, S. Advances in Perfluorosulfonic Acid-Based Proton Exchange Membranes for Fuel Cell Applications: A Review. Chem. Eng. J. Adv. 2022, 12, 100372. [Google Scholar] [CrossRef]
  5. European Commission. Poly and Perfluoroalkyl Substances (PFAS). Available online: https://eur-lex.europa.eu/legal-content/EN/ALL/?uri=SWD%3A2020%3A249%3AFIN (accessed on 23 July 2024).
  6. Yamaki, T. Quantum-Beam Technology: A Versatile Tool for Developing Polymer Electrolyte Fuel-Cell Membranes. J. Power Sources 2010, 195, 5848–5855. [Google Scholar] [CrossRef]
  7. Gubler, L. Polymer Design Strategies for Radiation-Grafted Fuel Cell Membranes. Adv. Energy Mater. 2014, 4, 1300827. [Google Scholar] [CrossRef]
  8. Septiani, U.; Chen, J.; Asano, M.; Maekawa, Y.; Yoshida, M.; Kubota, H. Influence of Pre-Irradiation Atmosphere on the Properties of Polymer Electrolyte Membranes Prepared Using Radiation Grafting Method. J. Mater. Sci. 2007, 42, 1330–1335. [Google Scholar] [CrossRef]
  9. Nasef, M.M. Radiation-Grafted Membranes for Polymer Electrolyte Fuel Cells: Current Trends and Future Directions. Chem. Rev. 2014, 114, 12278–12329. [Google Scholar] [CrossRef]
  10. Gubler, L.; Bonorand, L.; Thut, J.; Scherer, G.G. PSI Electrochemistry Laboratory—Annual Report; Villigen PSI: Villigen, Switzerland, 2011. [Google Scholar] [CrossRef]
  11. Danks, T.N.; Slade, R.C.T.; Varcoe, J.R. Alkaline Anion-Exchange Radiation-Grafted Membranes for Possible Electrochemical Application in Fuel Cells. J. Mater. Chem. 2003, 13, 712–721. [Google Scholar] [CrossRef]
  12. Varcoe, J.R.; Slade, R.C.T. Prospects for Alkaline Anion-Exchange Membranes in Low Temperature Fuel Cells. Fuel Cells 2005, 5, 187–200. [Google Scholar] [CrossRef]
  13. Ben Youcef, H.; Alkan Gürsel, S.; Buisson, A.; Gubler, L.; Wokaun, A.; Scherer, G.G. Influence of Radiation-Induced Grafting Process on Mechanical Properties of ETFE-Based Membranes for Fuel Cells. Fuel Cells 2010, 10, 401–410. [Google Scholar] [CrossRef]
  14. Kampker, A.; Heimes, H.; Kehrer, M.; Hagedorn, S.; Reims, P.; Kaul, O. Fuel Cell System Production Cost Modeling and Analysis. Energy Rep. 2023, 9, 248–255. [Google Scholar] [CrossRef]
  15. Ameduri, B. From Vinylidene Fluoride (VDF) to the Applications of VDF-Containing Polymers and Copolymers: Recent Developments and Future Trends. Chem. Rev. 2009, 109, 6632–6686. [Google Scholar] [CrossRef] [PubMed]
  16. Dumas, L.; Fleury, E.; Portinha, D. Wettability Adjustment of PVDF Surfaces by Combining Radiation-Induced Grafting of (2,3,4,5,6)-Pentafluorostyrene and Subsequent Chemoselective “Click-Type” Reaction. Polymer 2014, 55, 2628–2634. [Google Scholar] [CrossRef]
  17. Chen, J.; Asano, M.; Maekawa, Y.; Yoshida, M. Suitability of Some Fluoropolymers Used as Base Films for Preparation of Polymer Electrolyte Fuel Cell Membranes. J. Membr. Sci. 2006, 277, 249–257. [Google Scholar] [CrossRef]
  18. Chen, J.; Septiani, U.; Asano, M.; Maekawa, Y.; Kubota, H.; Yoshida, M. Comparative Study on the Preparation and Properties of Radiation-grafted Polymer Electrolyte Membranes Based on Fluoropolymer Films. J. Appl. Polym. Sci. 2007, 103, 1966–1972. [Google Scholar] [CrossRef]
  19. Kallio, T.; Slevin, C.; Sundholm, G.; Holmlund, P.; Kontturi, K. Proton Transport in Radiation-Grafted Membranes for Fuel Cells as Detected by SECM. Electrochem. Commun. 2003, 5, 561–565. [Google Scholar] [CrossRef]
  20. Gubler, L.; Slaski, M.; Wallasch, F.; Wokaun, A.; Scherer, G.G. Radiation Grafted Fuel Cell Membranes Based on Co-Grafting of α-Methylstyrene and Methacrylonitrile into a Fluoropolymer Base Film. J. Membr. Sci. 2009, 339, 68–77. [Google Scholar] [CrossRef]
  21. Zhang, Z.; Jetsrisuparb, K.; Wokaun, A.; Gubler, L. Study of Nitrile-Containing Proton Exchange Membranes Prepared by Radiation Grafting: Performance and Degradation in the Polymer Electrolyte Fuel Cell. J. Power Sources 2013, 243, 306–316. [Google Scholar] [CrossRef]
  22. Rager, T. Pre-Irradiation Grafting of Styrene/Divinylbenzene onto Poly(Tetrafluoroethylene-Co-hexafluoropropylene) from Non-Solvents. Helv. Chim. Acta 2003, 86, 1966–1981. [Google Scholar] [CrossRef]
  23. Aymes-Chodur, C.; Betz, N.; Porte-Durrieu, M.-C.; Baquey, C.; Le Moël, A. A FTIR and SEM Study of PS Radiation Grafted Fluoropolymers: Influence of the Nature of the Ionizing Radiation on the Film Structure. Nucl. Instrum. Methods Phys. Res. Sect. B Beam Interact. Mater. At. 1999, 151, 377–385. [Google Scholar] [CrossRef]
  24. Buchmüller, Y.; Wokaun, A.; Gubler, L. Polymer-Bound Antioxidants in Grafted Membranes for Fuel Cells. J. Mater. Chem. A 2014, 2, 5870–5882. [Google Scholar] [CrossRef]
  25. Bormashenko, Y.; Pogreb, R.; Stanevsky, O.; Bormashenko, E. Vibrational Spectrum of PVDF and Its Interpretation. Polym. Test. 2004, 23, 791–796. [Google Scholar] [CrossRef]
  26. Higashihara, T.; Matsumoto, K.; Ueda, M. Sulfonated Aromatic Hydrocarbon Polymers as Proton Exchange Membranes for Fuel Cells. Polymer 2009, 50, 5341–5357. [Google Scholar] [CrossRef]
  27. Jetsrisuparb, K.; Balog, S.; Bas, C.; Perrin, L.; Wokaun, A.; Gubler, L. Proton Conducting Membranes Prepared by Radiation Grafting of Styrene and Various Comonomers. Eur. Polym. J. 2014, 53, 75–89. [Google Scholar] [CrossRef]
  28. Golubenko, D.V.; Korchagin, O.V.; Voropaeva, D.Y.; Bogdanovskaya, V.A.; Yaroslavtsev, A.B. Membranes Based on Polyvinylidene Fluoride and Radiation-Grafted Sulfonated Polystyrene and Their Performance in Proton-Exchange Membrane Fuel Cells. Polymers 2022, 14, 3833. [Google Scholar] [CrossRef]
  29. Schmidt, T.J.; Simbeck, K.; Scherer, G.G. Influence of Cross-Linking on Performance of Radiation-Grafted and Sulfonated FEP 25 Membranes in H2O2 PEFC. J. Electrochem. Soc. 2005, 152, A93. [Google Scholar] [CrossRef]
  30. De Wild, T.; Wurm, J.; Becker, P.; Günther, D.; Nauser, T.; Schmidt, T.J.; Gubler, L.; Nemeth, T. A Nature-Inspired Antioxidant Strategy Based on Porphyrin for Aromatic Hydrocarbon Containing Fuel Cell Membranes. ChemSusChem 2023, 16, e202300775. [Google Scholar] [CrossRef]
  31. Danilczuk, M.; Coms, F.D.; Schlick, S. Visualizing Chemical Reactions and Crossover Processes in a Fuel Cell Inserted in the ESR Resonator: Detection by Spin Trapping of Oxygen Radicals, Nafion-Derived Fragments, and Hydrogen and Deuterium Atoms. J. Phys. Chem. B 2009, 113, 8031–8042. [Google Scholar] [CrossRef]
  32. Nolte, T.M.; Nauser, T.; Gubler, L. Attack of Hydroxyl Radicals to α-Methyl-Styrene Sulfonate Polymers and Cerium-Mediated Repair via Radical Cations. Phys. Chem. Chem. Phys. 2020, 22, 4516–4525. [Google Scholar] [CrossRef]
  33. De Wild, T.; Nemeth, T.; Becker, P.; Günther, D.; Nauser, T.; Schmidt, T.J.; Gubler, L. Repair of Aromatic Hydrocarbon-Based Membranes Tested under Accelerated Fuel Cell Conditions. J. Power Sources 2023, 560, 232525. [Google Scholar] [CrossRef]
  34. Fuel Cell Technologies Office. Multi-Year Research, Development, and Demonstration Plan. Available online: https://www.energy.gov/sites/prod/files/2016/06/f32/fcto_myrdd_fuel_cells.pdf (accessed on 10 September 2024).
  35. Borup, R.; Meyers, J.; Pivovar, B.; Kim, Y.S.; Mukundan, R.; Garland, N.; Myers, D.; Wilson, M.; Garzon, F.; Wood, D.; et al. Scientific Aspects of Polymer Electrolyte Fuel Cell Durability and Degradation. Chem. Rev. 2007, 107, 3904–3951. [Google Scholar] [CrossRef]
  36. Garland, N.; Benjamin, T.; Kopasz, J. DOE Fuel Cell Program: Durability Technical Targets and Testing Protocols. ECS Trans. 2007, 11, 923. [Google Scholar] [CrossRef]
  37. Madden, T.; Weiss, D.; Cipollini, N.; Condit, D.; Gummalla, M.; Burlatsky, S.; Atrazhev, V. Degradation of Polymer-Electrolyte Membranes in Fuel Cells. J. Electrochem. Soc. 2009, 156, B657. [Google Scholar] [CrossRef]
  38. Coms, F.D.; Xu, H.; McCallum, T.; Mittelsteadt, C. Mechanism of Perfluorsulfonic Acid Membrane Chemical Degradation Under Low RH Conditions. ECS Trans. 2013, 50, 907. [Google Scholar] [CrossRef]
  39. Venkatesan, S.V.; Lim, C.; Rogers, E.; Holdcroft, S.; Kjeang, E. Evolution of Water Sorption in Catalyst Coated Membranes Subjected to Combined Chemical and Mechanical Degradation. Phys. Chem. Chem. Phys. 2015, 17, 13872–13881. [Google Scholar] [CrossRef]
  40. Gubler, L.; Bonorand, L. Radiation Grafted Membranes for Fuel Cells: Strategies to Compete with PFSA Membranes. ECS Trans. 2013, 58, 149–162. [Google Scholar] [CrossRef]
  41. Baker, A.M.; Komini Babu, S.; Chintam, K.; Kusoglu, A.; Mukundan, R.; Borup, R.L. Ce Cation Migration and Diffusivity in Perfluorosulfonic Acid Fuel Cell Membranes. Meet. Abstr. 2019, MA2019-02, 1502. [Google Scholar] [CrossRef]
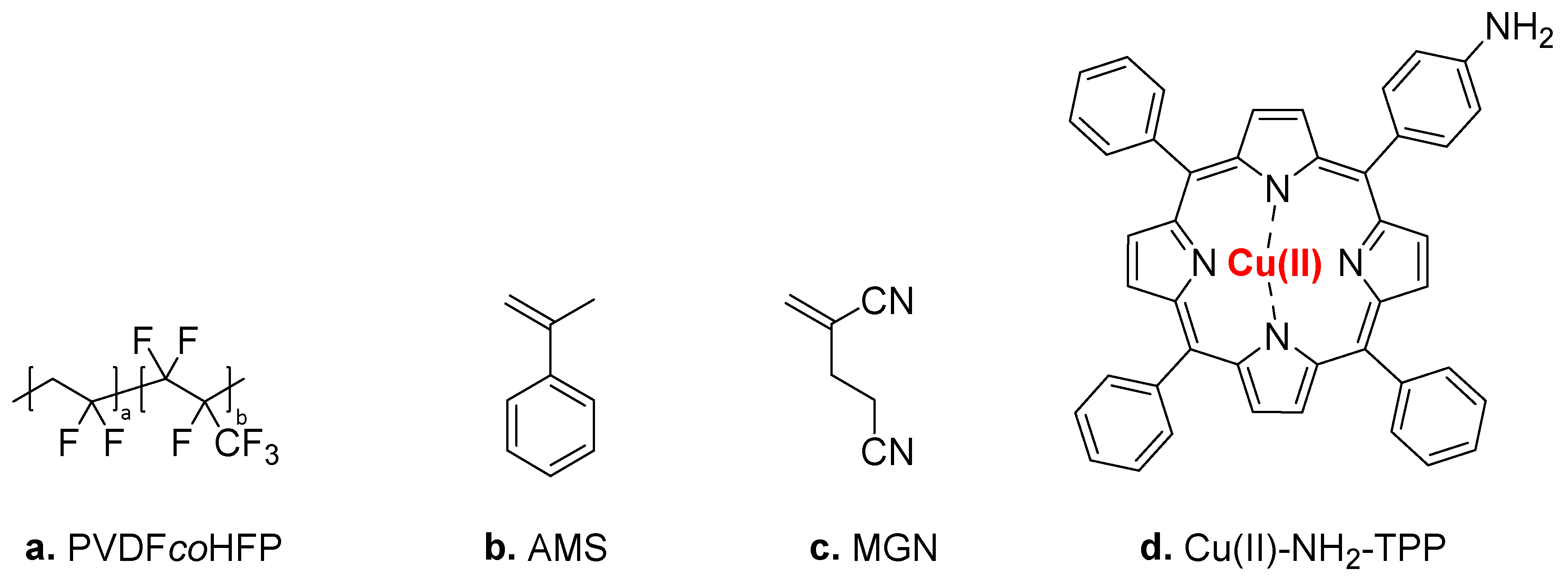
Figure 1. Chemical structure of (a) the PVDF base film, (b) the AMS, (c) MGN monomers, and of (d) Cu(II)-NH2-tetraphenylporphyrin (TPP), the radical repair agent used in this study.
Figure 1. Chemical structure of (a) the PVDF base film, (b) the AMS, (c) MGN monomers, and of (d) Cu(II)-NH2-tetraphenylporphyrin (TPP), the radical repair agent used in this study.
Membranes 14 00263 g001
Scheme 1. Preparation of the PVDF-g-poly(AMS-co-MGN) films.
Scheme 1. Preparation of the PVDF-g-poly(AMS-co-MGN) films.
Membranes 14 00263 sch001
Figure 2. Reaction kinetics for co-grafting the monomers α-methylstyrene and 2-methylene glutaronitrile into 12 µm PVDF base film with irradiation doses of 25 (blue triangles), 50 (green triangles), and 100 kGy (red circles), at 65 °C.
Figure 2. Reaction kinetics for co-grafting the monomers α-methylstyrene and 2-methylene glutaronitrile into 12 µm PVDF base film with irradiation doses of 25 (blue triangles), 50 (green triangles), and 100 kGy (red circles), at 65 °C.
Membranes 14 00263 g002
Figure 3. Left: transmission FT-IR spectra of pristine PVDF films (black), grafted films (red), and sulfonated membranes (blue). Right: expanded spectra of characteristic peaks for S-O and SO2 stretching vibration.
Figure 3. Left: transmission FT-IR spectra of pristine PVDF films (black), grafted films (red), and sulfonated membranes (blue). Right: expanded spectra of characteristic peaks for S-O and SO2 stretching vibration.
Membranes 14 00263 g003
Figure 4. FTIR as a tool to quantify the graft level. Left: the peak area at around 3000 cm−1 is normalized to the peak area at around 614 cm−1. Right: the obtained linear correlation between the normalized peak area at around 3000 cm−1 and the graft level.
Figure 4. FTIR as a tool to quantify the graft level. Left: the peak area at around 3000 cm−1 is normalized to the peak area at around 614 cm−1. Right: the obtained linear correlation between the normalized peak area at around 3000 cm−1 and the graft level.
Membranes 14 00263 g004
Figure 5. SEM image (a) and EDX mapping (b) of a cross-section of an ETFE-g-poly(AMSSA-co-MGN) membrane with a graft level of 37%.
Figure 5. SEM image (a) and EDX mapping (b) of a cross-section of an ETFE-g-poly(AMSSA-co-MGN) membrane with a graft level of 37%.
Membranes 14 00263 g005
Figure 6. Left y-axis: polarization curves of the tested membranes, 43% GL (blue squares), 52% GL (black circles), 63% GL (red triangles), and of the reference N211 (green diamonds). Right y-axis: high-frequency resistance (HFR) of the tested membranes. Data were recorded at 80 °C with 2.5 bara back pressure, fully humidified gases at the inlet, a minimum flow of 200 mLn min−1, and a stoichiometry of 1.5 for both H2 and O2. Commercial Pt-coated gas diffusion electrodes featuring a PFSA-based binder (Johnson Matthey ELE 0244, 0.4 mg Pt cm−2) were used.
Figure 6. Left y-axis: polarization curves of the tested membranes, 43% GL (blue squares), 52% GL (black circles), 63% GL (red triangles), and of the reference N211 (green diamonds). Right y-axis: high-frequency resistance (HFR) of the tested membranes. Data were recorded at 80 °C with 2.5 bara back pressure, fully humidified gases at the inlet, a minimum flow of 200 mLn min−1, and a stoichiometry of 1.5 for both H2 and O2. Commercial Pt-coated gas diffusion electrodes featuring a PFSA-based binder (Johnson Matthey ELE 0244, 0.4 mg Pt cm−2) were used.
Membranes 14 00263 g006
Figure 7. AST at high relative humidity: decay of cell potential (left y-axis) and changes in high-frequency resistance (right y-axis) of the tested membranes with 43% GL (blue squares), 52% GL (black circles), 63% GL (red triangles). Data were recorded at OCV, 80 °C with 2.5 bara back pressure and fully humidified H2 and O2 at the inlet.
Figure 7. AST at high relative humidity: decay of cell potential (left y-axis) and changes in high-frequency resistance (right y-axis) of the tested membranes with 43% GL (blue squares), 52% GL (black circles), 63% GL (red triangles). Data were recorded at OCV, 80 °C with 2.5 bara back pressure and fully humidified H2 and O2 at the inlet.
Membranes 14 00263 g007
Figure 8. Effect of antioxidant doping on performance. Polarization curves of the tested membranes, 52% GL (black circles) w/o antioxidant and w/ antioxidant (golden triangles), and of the reference N211 (green diamonds). Data were recorded at 80 °C with 2.5 bara back pressure, fully humidified gases at the inlet, a minimum flow of 200 mLn min−1, and a stoichiometry of 1.5 for both H2 and O2.
Figure 8. Effect of antioxidant doping on performance. Polarization curves of the tested membranes, 52% GL (black circles) w/o antioxidant and w/ antioxidant (golden triangles), and of the reference N211 (green diamonds). Data were recorded at 80 °C with 2.5 bara back pressure, fully humidified gases at the inlet, a minimum flow of 200 mLn min−1, and a stoichiometry of 1.5 for both H2 and O2.
Membranes 14 00263 g008
Figure 9. AST at high relative humidity: decay of cell potential (left y-axis) and changes in high-frequency resistance (right y-axis) of the tested membranes with 52% GL w/o doped antioxidant (black circles) and w/ doped antioxidant (golden triangles). Data were recorded at OCV, 80 °C with 2.5 bara back pressure and fully humidified H2 and O2 at the inlet.
Figure 9. AST at high relative humidity: decay of cell potential (left y-axis) and changes in high-frequency resistance (right y-axis) of the tested membranes with 52% GL w/o doped antioxidant (black circles) and w/ doped antioxidant (golden triangles). Data were recorded at OCV, 80 °C with 2.5 bara back pressure and fully humidified H2 and O2 at the inlet.
Membranes 14 00263 g009
Figure 10. AST under DOE-like conditions. Left y-axis: decay of cell potential of the tested membranes with 50% GL w/o doped antioxidant (black circles), w/ doped antioxidant (golden triangles), and N211 reference. Right y-axis: changes in hydrogen crossover current density. Data were recorded at OCV, 90 °C at ambient pressure, 30% RH at the inlet for H2 and air.
Figure 10. AST under DOE-like conditions. Left y-axis: decay of cell potential of the tested membranes with 50% GL w/o doped antioxidant (black circles), w/ doped antioxidant (golden triangles), and N211 reference. Right y-axis: changes in hydrogen crossover current density. Data were recorded at OCV, 90 °C at ambient pressure, 30% RH at the inlet for H2 and air.
Membranes 14 00263 g010
Table 1. Properties of the prepared PEMs with 43, 52, and 63% graft level, and of the reference Nafion™ 211.
Table 1. Properties of the prepared PEMs with 43, 52, and 63% graft level, and of the reference Nafion™ 211.
SampleWet Thickness 1
(µm)
In-Plane Conductivity 1
(mS cm−1)
IECBOT
(mmol g−1)
IECEOT
(mmol g−1)
IEC Loss Rate 2
(% h−1)
H2p 3
(mA cm−2)
Water
Uptake 1 (%)
N21125.2 ± 0.555 ± 10.92 ± 0.020.88 ± 0.030.07 ± 0.062.9 ± 0.115 ± 2
43% GL19.7 ± 0.264 ± 21.23 ± 0.040.37 ± 0.021.22 ± 0.031.4 ± 0.254 ± 7
52% GL20.2 ± 1.777 ± 21.44 ± 0.020.15 ± 0.041.46 ± 0.041.8 ± 0.259 ± 1
63% GL24.2 ± 0.289 ± 41.54 ± 0.070.73 ± 0.012.09 ± 0.094.5 ± 0.165 ± 10
52% GL-AO 420.3 ± 0.371 ± 21.33 ± 0.040.84 ± 0.010.62 ± 0.032.7 ± 0.275 ± 3
1 Measured at 25 °C. 2 Estimated from the beginning of test (BOT) and end of test (EOT) IEC, and the AST time. 3 Hydrogen crossover at BOT. 4 Doped with antioxidant.
Table 2. PEMs used in the DOE-like AST.
Table 2. PEMs used in the DOE-like AST.
SampleWet Thickness 1
(µm)
In-Plane Conductivity 1
(mS cm−1)
IECBOT
(mmol g−1)
IECEOT
(mmol g−1)
IEC Loss Rate
(% h−1)
H2p 2
(mA cm−2)
N21125.2 ± 0.555 ± 10.92 ± 0.020.74 ± 0.040.07 ± 0.021.6 ± 0.1
50% GL17.5 ± 0.558 ± 21.16 ± 0.05 0.46 ± 0.11 0.32 ± 0.05<0.1 ± 0.1
50% GL-AO19.0 ± <0.163 ± 61.07 ± 0.10.44 ± 0.080.20 ± 0.030.8 ± 0.1
1 Measured at 25 °C. 2 Hydrogen crossover at BOT.
Table 3. Changes in Cu-content determined by XRF method a.
Table 3. Changes in Cu-content determined by XRF method a.
TypeCu to S Ratio bCu-Content/AUAST Type
52% GL-AO at BOT(5 ± 1) × 10−3 430 ± 60Hydrocarbon-specific
52% GL-AO at EOT(4 ± 1) × 10−3210 ± 40Hydrocarbon-specific
50% GL-AO at BOT(5 ± <1) × 10−3320 ± 50DOE-like
50% GL-AO at EOT(3 ± <1) × 10−3100 ± 20DOE-like
a the estimation method is described in the Supplementary Materials. b calculated from the relative fluorescence intensity of each element (Cu Kα and Kβ and S Kα).
Disclaimer/Publisher’s Note: The statements, opinions and data contained in all publications are solely those of the individual author(s) and contributor(s) and not of MDPI and/or the editor(s). MDPI and/or the editor(s) disclaim responsibility for any injury to people or property resulting from any ideas, methods, instructions or products referred to in the content.

Share and Cite

MDPI and ACS Style

Nemeth, T.; Han, Z.; Gubler, L. High-Performance Fluorine-Lean Thin Aromatic Hydrocarbon Membranes Based on Polyvinylidene Fluoride for Hydrogen Fuel Cells. Membranes 2024, 14, 263. https://doi.org/10.3390/membranes14120263

AMA Style

Nemeth T, Han Z, Gubler L. High-Performance Fluorine-Lean Thin Aromatic Hydrocarbon Membranes Based on Polyvinylidene Fluoride for Hydrogen Fuel Cells. Membranes. 2024; 14(12):263. https://doi.org/10.3390/membranes14120263

Chicago/Turabian Style

Nemeth, Tamas, Zongyi Han, and Lorenz Gubler. 2024. "High-Performance Fluorine-Lean Thin Aromatic Hydrocarbon Membranes Based on Polyvinylidene Fluoride for Hydrogen Fuel Cells" Membranes 14, no. 12: 263. https://doi.org/10.3390/membranes14120263

APA Style

Nemeth, T., Han, Z., & Gubler, L. (2024). High-Performance Fluorine-Lean Thin Aromatic Hydrocarbon Membranes Based on Polyvinylidene Fluoride for Hydrogen Fuel Cells. Membranes, 14(12), 263. https://doi.org/10.3390/membranes14120263

Note that from the first issue of 2016, this journal uses article numbers instead of page numbers. See further details here.

Article Metrics

Back to TopTop