Quantifying Inequalities in Childhood Immunization Using Summary Measures of Health Inequality: An Application of WHO Stata and R ‘Healthequal’ Packages
Abstract
1. Introduction
2. Materials and Methods
2.1. Data Sources
2.2. Immunization Indicators
2.3. Dimensions of Inequality
2.4. Country Selection
2.5. Statistical Analysis
3. Results
3.1. Place of Residence Inequality
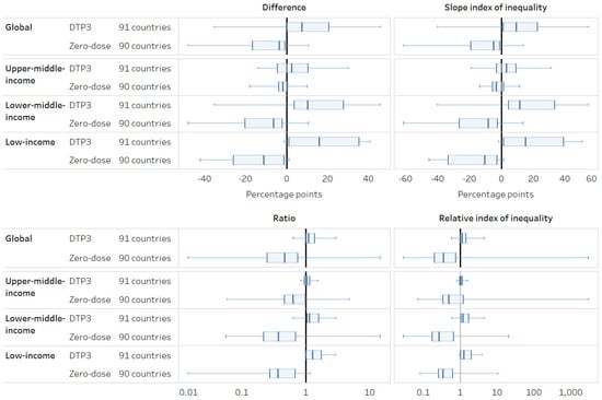
3.2. Economic-Related Inequality
3.3. Subnational Inequality
3.4. Subnational Inequality Ordered by HDI
3.5. Quantifying the Impact of Addressing Inequality
4. Discussion
4.1. Absolute vs. Relative Measures
4.2. Simple vs. Complex Measures
4.3. Choice of Complex Measure for Ordered Dimensions
4.4. Choice of Complex Measure for Non-Ordered Dimensions
4.5. Measuring the Impact of Eliminating Inequality
4.6. Limitations
5. Conclusions
Supplementary Materials
Author Contributions
Funding
Institutional Review Board Statement
Informed Consent Statement
Data Availability Statement
Conflicts of Interest
References
- World Health Organization. Handbook on Health Inequality Monitoring: With a Special Focus on Low- and Middle-Income Countries; World Health Organization: Geneva, Switzerland, 2013. [Google Scholar]
- Farrenkopf, B.A.; Zhou, X.; Shet, A.; Olayinka, F.; Carr, K.; Patenaude, B.; Chido-Amajuoyi, O.G.; Wonodi, C. Understanding Household-Level Risk Factors for Zero Dose Immunization in 82 Low- and Middle-Income Countries. PLoS ONE 2023, 18, e0287459. [Google Scholar] [CrossRef] [PubMed]
- Oyo-Ita, A.; Oduwole, O.; Arikpo, D.; Effa, E.E.; Esu, E.B.; Balakrishna, Y.; Chibuzor, M.T.; Oringanje, C.M.; Nwachukwu, C.E.; Wiysonge, C.S.; et al. Interventions for Improving Coverage of Childhood Immunisation in Low- and Middle-Income Countries. Cochrane Database Syst. Rev. 2023, 12, CD008145. [Google Scholar] [CrossRef] [PubMed]
- World Health Organization. Immunization Agenda 2030: A Global Strategy to Leave No One Behind. Available online: https://www.who.int/publications/m/item/immunization-agenda-2030-a-global-strategy-to-leave-no-one-behind (accessed on 9 May 2024).
- Schlotheuber, A.; Hosseinpoor, A.R. Summary Measures of Health Inequality: A Review of Existing Measures and Their Application. Int. J. Environ. Res. Public Health 2022, 19, 3697. [Google Scholar] [CrossRef] [PubMed]
- Cata-Preta, B.O.; Wehrmeister, F.C.; Santos, T.M.; Barros, A.J.D.; Victora, C.G. Patterns in Wealth-related Inequalities in 86 Low- and Middle-Income Countries: Global Evidence on the Emergence of Vaccine Hesitancy. Am. J. Prev. Med. 2021, 60 (Suppl. S1), S24–S33. [Google Scholar] [CrossRef] [PubMed]
- Arsenault, C.; Harper, S.; Nandi, A.; Mendoza Rodríguez, J.M.; Hansen, P.M.; Johri, M. Monitoring Equity in Vaccination Coverage: A Systematic Analysis of Demographic and Health Surveys from 45 Gavi-Supported Countries. Vaccine 2017, 35, 951–959. [Google Scholar] [CrossRef] [PubMed]
- Johns, N.E.; Blumenberg, C.; Kirkby, K.; Allorant, A.; Costa, F.D.S.; Danovaro-Holliday, M.C.; Lyons, C.; Yusuf, N.; Barros, A.J.D.; Hosseinpoor, A.R. Comparison of Wealth-Related Inequality in Tetanus Vaccination Coverage before and during Pregnancy: A Cross-Sectional Analysis of 72 Low- and Middle-Income Countries. Vaccines 2024, 12, 431. [Google Scholar] [CrossRef]
- Lyons, C.; Nambiar, D.; Johns, N.E.; Allorant, A.; Bergen, N.; Hosseinpoor, A.R. Inequality in Childhood Immunization Coverage: A Scoping Review of Data Sources, Analyses, and Reporting Methods. Vaccines 2024, 12, 850. [Google Scholar] [CrossRef]
- Wagstaff, A.; Paci, P.; van Doorslaer, E. On the Measurement of Inequalities in Health. Soc. Sci. Med. 1991, 33, 545–557. [Google Scholar] [CrossRef]
- Mackenbach, J.P.; Kunst, A.E. Measuring the Magnitude of Socio-Economic Inequalities in Health: An Overview of Available Measures Illustrated with Two Examples from Europe. Soc. Sci. Med. 1997, 44, 757–771. [Google Scholar] [CrossRef]
- Harper, S.; Lynch, J.; Reichman, M.E.; Reeve, B.; Breen, N. Selected Comparisons of Measures of Health Disparities; NCI Cancer Surveillance Monograph Series; National Cancer Institute: Bethesda, MD, USA, 2005.
- The R Foundation. R: The R Project for Statistical Computing. Available online: https://www.r-project.org/ (accessed on 12 September 2024).
- StataCorp. Stata: Statistical Software for Data Science. Available online: https://www.stata.com/ (accessed on 12 September 2024).
- Kirkby, K.; Schlotheuber, A.; Vidal Fuertes, C.; Ross, Z.; Hosseinpoor, A.R. Health Equity Assessment Toolkit (HEAT and HEAT Plus): Exploring Inequalities in the COVID-19 Pandemic Era. Int. J. Equity Health 2022, 21, 172. [Google Scholar] [CrossRef]
- Corsi, D.J.; Neuman, M.; Finlay, J.E.; Subramanian, S.V. Demographic and Health Surveys: A Profile. Int. J. Epidemiol. 2012, 41, 1602–1613. [Google Scholar] [CrossRef] [PubMed]
- Khan, S.; Hancioglu, A. Multiple Indicator Cluster Surveys: Delivering Robust Data on Children and Women across the Globe. Stud. Fam. Plan. 2019, 50, 279–286. [Google Scholar] [CrossRef] [PubMed]
- World Health Organization. Health Inequality Data Repository. Available online: https://www.who.int/data/inequality-monitor/data (accessed on 22 September 2023).
- Global Data Lab. Area Database. Available online: https://globaldatalab.org/areadata/ (accessed on 10 June 2024).
- Smits, J.; Permanyer, I. The Subnational Human Development Database. Sci. Data 2019, 6, 190038. [Google Scholar] [CrossRef] [PubMed]
- Filmer, D.; Pritchett, L.H. Estimating Wealth Effects without Expenditure Data—Or Tears: An Application to Educational Enrollments in States of India. Demography 2001, 38, 115–132. [Google Scholar] [CrossRef] [PubMed]
- O’Donnell, O.; Van Doorslaer, D.E.; Wagstaff, A.; Lindelow, M. Analyzing Health Equity Using Household Survey Data a Guide to Techniques and Their Implementation; The International Bank for Reconstruction and Development/The World Bank: Washington DC, USA, 2008; ISBN 9780821369333. [Google Scholar]
- The World Bank. World Bank Country and Lending Groups. Available online: https://datahelpdesk.worldbank.org/knowledgebase/articles/906519-world-bank-country-and-lending-groups (accessed on 9 May 2024).
- Schober, P.; Schwarte, L.A. Correlation Coefficients: Appropriate Use and Interpretation. Anesth. Analg. 2018, 126, 1763–1768. [Google Scholar] [CrossRef] [PubMed]
- Asada, Y. On the Choice of Absolute or Relative Inequality Measures. Milbank Q. 2010, 88, 616–622. [Google Scholar] [CrossRef]
- Harper, S.; King, N.B.; Meersman, S.C.; Reichman, M.E.; Breen, N.; Lynch, J. Implicit Value Judgments in the Measurement of Health Inequalities. Milbank Q. 2010, 88, 4. [Google Scholar] [CrossRef]
- Hosseinpoor, A.R.; Bergen, N. Area-Based Units of Analysis for Strengthening Health Inequality Monitoring. Bull. World Health Organ. 2016, 94, 856. [Google Scholar] [CrossRef]
- Koolman, X.; van Doorslaer, E. On the Interpretation of a Concentration Index of Inequality. Health Econ. 2004, 13, 649–656. [Google Scholar] [CrossRef]
- Conceicao, P.N.; Ferreira, P.M. The Young Person’s Guide to the Theil Index: Suggesting Intuitive Interpretations and Exploring Analytical Applications. UTIP Working Paper No. 14. 2000. Available online: https://ssrn.com/abstract=228703 (accessed on 11 June 2024).
- Schneider, M.C.; Castillo-Salgado, C.; Bacallao, J.; Loyola, E.; Mujica, O.J.; Vidaurre, M.; Roca, A. Methods for Measuring Inequalities in Health. Rev. Panam. Salud Publica/Pan Am. J. Public Health 2002, 12, 398–414. [Google Scholar] [CrossRef]
- Ahn, J.; Harper, S.; Yu, M.; Feuer, E.J.; Liu, B.; Luta, G. Variance Estimation and Confidence Intervals for 11 Commonly Used Health Disparity Measures. JCO Clin. Cancer Inform. 2018, 2, 1–19. [Google Scholar] [CrossRef] [PubMed]
- Kakwani, N.C. Income inequality and poverty: Methods of estimation and policy applications. Popul. Dev. Rev. 1980, 6, 673. [Google Scholar]
- Ahn, J.; Harper, S.; Yu, M.; Feuer, E.J.; Liu, B. Improved Monte Carlo methods for estimating confidence intervals for eleven commonly used health disparity measures. PLoS ONE 2019, 14, e0219542. [Google Scholar] [CrossRef] [PubMed]
- Pearcy, J.N.; Keppel, K.G. A summary measure of health disparity. Public Health Rep. 2002, 117, 273–280. [Google Scholar] [CrossRef] [PubMed]
- Walter, S.D. Calculation of Attributable Risks from Epidemiological Data. Int. J. Epidemiol. 1978, 7, 175–182. [Google Scholar] [CrossRef] [PubMed]







| Immunization Indicator | Place of Residence | Economic Status | Subnational Region | Subnational Region Ordered by HDI |
|---|---|---|---|---|
| DTP3 coverage | 92 | 91 | 87 | 45 |
| Zero-dose prevalence | 91 | 90 | 86 | 45 |
| Measure Type | Measure Name | Absolute or Relative | Dimension of Inequality |
|---|---|---|---|
| Simple measures | Difference (D) | Absolute | Place of residence Economic status Subnational region Subnational region ordered by HDI |
| Ratio (R) | Relative | Place of residence Economic status Subnational region Subnational region ordered by HDI | |
| Disproportionality measures (ordered dimensions) | Absolute concentration index (ACI) | Absolute | Economic status Subnational region ordered by HDI |
| Relative concentration index (RCI) | Relative | Economic status Subnational region ordered by HDI | |
| Regression-based measures (ordered dimensions) | Slope index of inequality (SII) | Absolute | Economic status Subnational region ordered by HDI |
| Relative index of inequality (RII) | Relative | Economic status Subnational region ordered by HDI | |
| Variance measures (non-ordered dimensions) | Between-group variance (BGV) | Absolute | Subnational region |
| Between-group standard deviation (BGSD) | Absolute | Subnational region | |
| Coefficient of variation (COV) | Relative | Subnational region | |
| Mean difference measures (non-ordered dimensions) | Unweighted mean difference from mean (MDMU) | Absolute | Subnational region |
| Weighted mean difference from mean (MDMW) | Absolute | Subnational region | |
| Unweighted index of disparity (IDISU) | Relative | Subnational region | |
| Weighted index of disparity (IDISW) | Relative | Subnational region | |
| Disproportionality measures (non-ordered dimensions) | Theil index (TI) | Relative | Subnational region |
| Impact measures | Population attributable risk (PAR) | Absolute | Economic status Subnational region Subnational region ordered by HDI |
| Population attributable fraction (PAF) | Relative | Economic status Subnational region Subnational region ordered by HDI |
| Indicator | Measure | D | R | ACI | RCI | SII | RII |
|---|---|---|---|---|---|---|---|
| DTP3 coverage | D | 1 | |||||
| R | 0.9913 ** | 1 | |||||
| ACI | 0.9799 ** | 0.9742 ** | 1 | ||||
| RCI | 0.9727 ** | 0.9827 ** | 0.9899 ** | 1 | |||
| SII | 0.9790 ** | 0.9725 ** | 0.9993 ** | 0.9881 ** | 1 | ||
| RII | 0.9738 ** | 0.9824 ** | 0.9908 ** | 0.9990 ** | 0.9902 ** | 1 | |
| Zero-dose prevalence | D | 1 | |||||
| R | 0.6523 ** | 1 | |||||
| ACI | 0.9654 ** | 0.6037 ** | 1 | ||||
| RCI | 0.6743 ** | 0.8247 ** | 0.6993 ** | 1 | |||
| SII | 0.9656 ** | 0.6098 ** | 0.9997 ** | 0.7061 ** | 1 | ||
| RII | 0.6770 ** | 0.8248 ** | 0.7022 ** | 0.9998 ** | 0.7090 ** | 1 |
| D | R | MDMU | MDMW | IDISU | IDISW | BGV | BGSD | COV | TI | ||
|---|---|---|---|---|---|---|---|---|---|---|---|
| DTP3 coverage | D | 1 | |||||||||
| R | 0.9819 ** | 1 | |||||||||
| MDMU | 0.9250 ** | 0.9311 ** | 1 | ||||||||
| MDMW | 0.8877 ** | 0.8891 ** | 0.9468 ** | 1 | |||||||
| IDISU | 0.9063 ** | 0.9435 ** | 0.9773 ** | 0.9400 ** | 1 | ||||||
| IDISW | 0.8806 ** | 0.9101 ** | 0.9427 ** | 0.9824 ** | 0.9690 ** | 1 | |||||
| BGV | 0.9329 ** | 0.9294 ** | 0.9579 ** | 0.9861 ** | 0.9462 ** | 0.9722 ** | 1 | ||||
| BGSD | 0.9329 ** | 0.9294 ** | 0.9579 ** | 0.9861 ** | 0.9462 ** | 0.9722 ** | 1.0000 ** | 1 | |||
| COV | 0.9093 ** | 0.9395 ** | 0.9488 ** | 0.9709 ** | 0.9770 ** | 0.9923 ** | 0.9770 ** | 0.9770 ** | 1 | ||
| TI | 0.9156 ** | 0.9459 ** | 0.9505 ** | 0.9678 ** | 0.9779 ** | 0.9902 ** | 0.9772 ** | 0.9772 ** | 0.9992 ** | 1 | |
| Zero-dose prevalence | D | 1 | |||||||||
| R | 0.3700 ** | 1 | |||||||||
| MDMU | 0.9695 ** | 0.2875 * | 1 | ||||||||
| MDMW | 0.9155 ** | 0.2368 | 0.9488 ** | 1 | |||||||
| IDISU | 0.3864 ** | 0.6732 ** | 0.3420 ** | 0.2548 | 1 | ||||||
| IDISW | 0.3096 * | 0.5625 ** | 0.2944 * | 0.3944 ** | 0.7694 ** | 1 | |||||
| BGV | 0.9542 ** | 0.2888 * | 0.9688 ** | 0.9858 ** | 0.3122 * | 0.3840 ** | 1 | ||||
| BGSD | 0.9542 ** | 0.2888 * | 0.9688 ** | 0.9858 ** | 0.3122 * | 0.3840 ** | 1.0000 ** | 1 | |||
| COV | 0.3134 * | 0.6695 ** | 0.2510 | 0.3092 * | 0.8462 ** | 0.9390 ** | 0.3369 ** | 0.3369 ** | 1 | ||
| TI | 0.3147 * | 0.7086 ** | 0.2759 * | 0.3513 ** | 0.8071 ** | 0.9590 ** | 0.3642 ** | 0.3642 ** | 0.9747 ** | 1 |
| DTP3 Coverage | Zero-Dose Prevalence | |||||||||||
|---|---|---|---|---|---|---|---|---|---|---|---|---|
| Economic Status | Subnational Region Ordered by HDI | Subnational Region | Economic Status | Subnational Region Ordered by HDI | Subnational Region | |||||||
| PAR | PAF | PAR | PAF | PAR | PAF | PAR | PAF | PAR | PAF | PAR | PAF | |
| D | 0.9427 ** | 0.9424 ** | 0.7673 ** | 0.7704 ** | 0.8739 ** | 0.8905 ** | 0.6214 ** | 0.9152 ** | 0.7038 ** | 0.8054 ** | −0.2180 | −0.9093 ** |
| R | 0.9325 ** | 0.9238 ** | 0.8072 ** | 0.7992 ** | 0.9025 ** | 0.8954 ** | 0.9517 ** | 0.6984 ** | 0.8097 ** | 0.6080 ** | −0.8882 ** | −0.2957 * |
| ACI | 0.9063 ** | 0.9060 ** | 0.7689 ** | 0.7565 ** | 0.5506 ** | 0.8554 ** | 0.6565 ** | 0.8313 ** | ||||
| RCI | 0.9052 ** | 0.8973 ** | 0.7951 ** | 0.7797 ** | 0.7046 ** | 0.5959 ** | 0.6547 ** | 0.4776 ** | ||||
| SII | 0.9056 ** | 0.9056 ** | 0.7695 ** | 0.7569 ** | 0.5573 ** | 0.8567 ** | 0.6620 ** | 0.8204 ** | ||||
| RII | 0.9075 ** | 0.9003 ** | 0.7928 ** | 0.7776 ** | 0.7051 ** | 0.5977 ** | 0.6529 ** | 0.4818 ** | ||||
| MDMU | 0.8873 ** | 0.8932 ** | −0.1798 | −0.9346 ** | ||||||||
| MDMW | 0.9090 ** | 0.9181 ** | −0.1835 | −0.9236 ** | ||||||||
| IDISU | 0.9247 ** | 0.9081 ** | −0.4185 ** | −0.1365 | ||||||||
| IDISW | 0.9389 ** | 0.9268 ** | −0.4456 ** | −0.179 | ||||||||
| BGV | 0.9097 ** | 0.9215 ** | −0.2073 | −0.9323 ** | ||||||||
| BGSD | 0.9097 ** | 0.9215 ** | −0.2073 | −0.9323 ** | ||||||||
| COV | 0.9422 ** | 0.9289 ** | −0.4805 ** | −0.1238 | ||||||||
| TI | 0.9382 ** | 0.9244 ** | −0.5796 ** | −0.1879 | ||||||||
Disclaimer/Publisher’s Note: The statements, opinions and data contained in all publications are solely those of the individual author(s) and contributor(s) and not of MDPI and/or the editor(s). MDPI and/or the editor(s) disclaim responsibility for any injury to people or property resulting from any ideas, methods, instructions or products referred to in the content. |
© World Health Organization 2024. Licensee MDPI. This article is distributed under the terms of the Creative Commons Attribution IGO License (https://creativecommons.org/licenses/by/3.0/igo/), which permits unrestricted use, distribution, and re-production in any medium, provided the original work is properly cited. In any reproduction of this article, there should not be any suggestion that the WHO or this article endorse any specific organization or products. The use of the WHO logo is not permitted.
Share and Cite
Kirkby, K.; Antiporta, D.A.; Schlotheuber, A.; Menéndez, P.; Danovaro-Holliday, M.C.; Hosseinpoor, A.R. Quantifying Inequalities in Childhood Immunization Using Summary Measures of Health Inequality: An Application of WHO Stata and R ‘Healthequal’ Packages. Vaccines 2024, 12, 1324. https://doi.org/10.3390/vaccines12121324
Kirkby K, Antiporta DA, Schlotheuber A, Menéndez P, Danovaro-Holliday MC, Hosseinpoor AR. Quantifying Inequalities in Childhood Immunization Using Summary Measures of Health Inequality: An Application of WHO Stata and R ‘Healthequal’ Packages. Vaccines. 2024; 12(12):1324. https://doi.org/10.3390/vaccines12121324
Chicago/Turabian StyleKirkby, Katherine, Daniel A. Antiporta, Anne Schlotheuber, Patricia Menéndez, M. Carolina Danovaro-Holliday, and Ahmad Reza Hosseinpoor. 2024. "Quantifying Inequalities in Childhood Immunization Using Summary Measures of Health Inequality: An Application of WHO Stata and R ‘Healthequal’ Packages" Vaccines 12, no. 12: 1324. https://doi.org/10.3390/vaccines12121324
APA StyleKirkby, K., Antiporta, D. A., Schlotheuber, A., Menéndez, P., Danovaro-Holliday, M. C., & Hosseinpoor, A. R. (2024). Quantifying Inequalities in Childhood Immunization Using Summary Measures of Health Inequality: An Application of WHO Stata and R ‘Healthequal’ Packages. Vaccines, 12(12), 1324. https://doi.org/10.3390/vaccines12121324

