Efficacy Studies against PCV-2 of a New Trivalent Vaccine including PCV-2a and PCV-2b Genotypes and Mycoplasma hyopneumoniae When Administered at 3 Weeks of Age
Abstract
1. Introduction
2. Materials and Methods
2.1. Pre-Clinical Studies
2.1.1. PCV-2a Challenge Study
2.1.2. PCV-2b Challenge Study
2.2. Field Studies
2.2.1. Farm Selection
2.2.2. Study Design
2.2.3. PCV-2 Genotyping
2.3. Laboratory Methods of Pre-Clinical and Field Studies
2.3.1. DNA Extraction and PCV-2 qPCR
- -
- Negative results or values below LOD were given a value equal to half of the LOD (log10 3.3 copies/mL for serum samples and log10 3.7 copies/mL for faecal swabs).
- -
- Values between LOD and LOQ were considered positive and were given a value equal to LOQ (log10 4.0 for serum and faecal swabs).
- -
- Values over LOQ were considered positive and were given the log10 qPCR result obtained.
2.3.2. PCV-2 Serology
2.3.3. Histopathology and PCV-2 IHC
2.4. Statistical Analyses
3. Results
3.1. Pre-Clinical Studies
3.1.1. PCV-2a Challenge
Clinical Evaluation
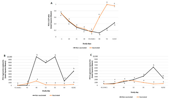
PCV-2 Antibody Detection
PCV-2 Viraemia and Faecal Shedding
PCV-2 Detection in Lymphoid Tissues and Microscopic Lymphoid Lesions
3.1.2. PCV-2b Challenge
Clinical Evaluation
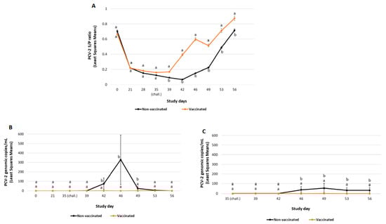
PCV-2 Antibody Detection
PCV-2 Viraemia and Faecal Shedding
PCV-2 Detection in Lymphoid Tissues and Microscopic Lymphoid Lesions
3.2. Field Studies
3.2.1. Clinical Evaluation
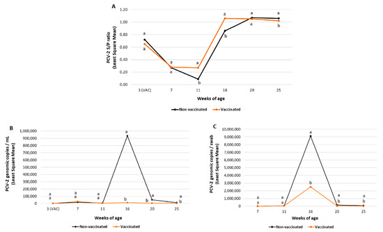
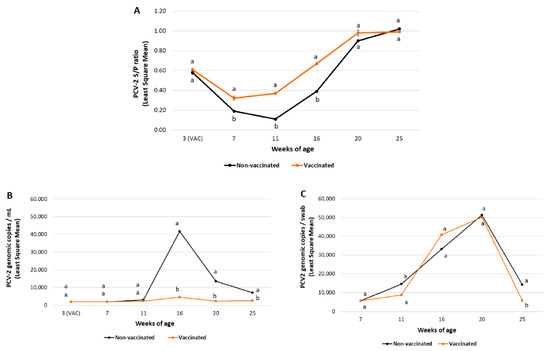
3.2.2. PCV-2 Antibody Detection
3.2.3. PCV-2 Viraemia
3.2.4. PCV-2 Faecal Shedding
3.2.5. PCV-2 Genotyping
3.2.6. Histopathology and PCV-2 IHC
4. Discussion
5. Conclusions
Supplementary Materials
Author Contributions
Funding
Institutional Review Board Statement
Informed Consent Statement
Data Availability Statement
Acknowledgments
Conflicts of Interest
References
- Segalés, J. Porcine circovirus type 2 (PCV-2) infections: Clinical signs, pathology and laboratory diagnosis. Virus Res. 2012, 164, 10–19. [Google Scholar] [CrossRef] [PubMed]
- Tassis, P.D.; Tsakmakidis, I.; Papatsiros, V.G.; Koulialis, D.; Nell, T.; Brellou, G.; Tzika, E.D. A randomized controlled study on the efficacy of a novel combination vaccine against enzootic pneumonia (Mycoplasma hyopneuoniae) and porcine Circovirus type 2 (PCV2) in the presence of strong maternally derived PCV2 immunity in pigs. BMC Vet. Res. 2017, 13, 91. [Google Scholar] [CrossRef] [PubMed]
- Young, M.G.; Cunningham, G.L.; Sanford, S.E. Circovirus vaccination in pigs with subclinical porcine circovirus type 2 infection complicated by ileitis. J. Swine Health Prod. 2011, 19, 175–180. [Google Scholar]
- Harding, J.C.S.; Clark, E.G. Recognizing and diagnosing postweaning multisystemic wasting syndrome (PMWS). Swine Health Prod. 1997, 5, 201–203. [Google Scholar]
- Rosell, C.; Segalés, J.; Plana-Durán, J.; Balasch, M.; Rodríguez-Arrioja, G.M.; Kennedy, S.; Allan, G.M.; McNeilly, F.; Latimer, K.S.; Domingo, M. Pathological, immunohistochemical, and in-situ hybridization studies of natural cases of postweaning multisystemic wasting syndrome (PMWS) in pigs. J. Comp. Pathol. 1999, 120, 59–78. [Google Scholar] [CrossRef] [PubMed]
- Mancera Gracia, J.C.; Smutzer, M.; Taylor, L.; Balasch, M.; Bandrick, M. One Dose of a Novel Vaccine Containing Two Genotypes of Porcine Circovirus (PCV2a and PCV2b) and Mycoplasma hyopneumoniae Conferred a Duration of Immunity of 23 Weeks. Vaccines 2021, 29, 834. [Google Scholar] [CrossRef] [PubMed]
- Franzo, G.; Cortey, M.; Segalés, J.; Hughes, J.; Drigo, M. Phylodynamic analysis of porcine circovirus type 2 reveals global waves of emerging genotypes and the circulation of recombinant forms. Mol. Phylogenet. Evol. 2016, 100, 269–280. [Google Scholar] [CrossRef]
- Franzo, G.; Segalés, J. Porcine circovirus 2 (PCV-2) genotype update and proposal of a new genotyping methodology. PloS ONE 2018, 13, e0208585. [Google Scholar] [CrossRef]
- Gerber, P.F.; Johnson, J.; Shen, H.; Striegel, D.; Xiao, C.T.; Halbur, P.G.; Opriessnig, T. Association of concurrent porcine circovirus (PCV) 2a and 2b infection with PCV associated disease in vaccinated pigs. Res. Vet. Sci. 2013, 95, 775–781. [Google Scholar] [CrossRef]
- Correa-Fiz, F.; Franzo, G.; Llorens, A.; Segalés, J.; Kekarainen, T. Porcine circovirus 2 (PCV-2) genetic variability under natural infection scenario reveals a complex network of viral quasispecies. Sci. Rep. 2018, 8, 15469. [Google Scholar] [CrossRef]
- Wang, Y.; Noll, L.; Lu, N.; Porter, E.; Stoy, C.; Zheng, W.; Liu, X.; Peddireddi, L.; Niederwerder, M.; Bai, J. Genetic diversity and prevalence of porcine circovirus type 3 (PCV3) and type 2 (PCV2) in the Midwest of the USA during 2016–2018. Transbound. Emerg. Dis. 2020, 67, 1284–1294. [Google Scholar] [CrossRef] [PubMed]
- Firth, C.; Charleston, M.A.; Duffy, S.; Shapiro, B.; Holmes, E.C. Insights into the evolutionary history of an emerging livestock pathogen: Porcine circovirus 2. J. Virol. 2009, 83, 12813–12821. [Google Scholar] [CrossRef] [PubMed]
- Carman, S.; Cai, H.Y.; Delay, J.; Youssef, S.A.; McEwen, B.J.; Gagnon, C.A.; Tremblay, D.; Hazlett, M.; Lusis, J.; Fairles, J.; et al. The emergence of a new strain of porcine circovirus-2 in Ontario and Quebec swine and its association with severe porcine circovirus associated disease 2004–2006. Can. J. Vet. Res. 2008, 72, 259–268. [Google Scholar] [PubMed]
- Cortey, M.; Pileri, E.; Sibila, M.; Pujols, J.; Balasch, M.; Plana, J.; Segales, J. Genotypic shift of porcine circovirus type 2 from PCV-2a to PCV-2b in Spain from 1985 to 2008. Vet. J. 2011, 187, 363–368. [Google Scholar] [CrossRef] [PubMed]
- Dupont, K.; Nielsen, E.O.; Baekbo, P.; Larsen, L.E. Genomic analysis of PCV2 isolates from Danish archives and a current PMWS case-control study supports a shift in genotypes with time. Vet. Microbiol. 2008, 128, 56–64. [Google Scholar] [CrossRef]
- Patterson, A.R.; Opriessnig, T. Epidemiology and horizontal transmission of porcine circovirus type 2 (PCV2). Anim. Health Res. Rev. 2010, 11, 217–234. [Google Scholar] [CrossRef]
- Timmusk, S.; Wallgren, P.; Brunborg, I.M.; Wikström, F.H.; Allan, G.; Meehan, B.; McMenamy, M.; McNeilly, F.; Fuxler, L.; Belák, K.; et al. Phylogenetic analysis of porcine circovirus type 2 (PCV2) pre- and post-epizootic postweaning multisystemic wasting syndrome (PMWS). Virus Genes 2008, 36, 509–520. [Google Scholar] [CrossRef]
- Tsai, G.T.; Lin, Y.C.; Lin, W.H.; Lin, J.H.; Chiou, M.T.; Liu, H.F.; Lin, C.N. Phylogeographic and genetic characterization of porcine circovirus type 2 in Taiwan from 2001–2017. Sci. Rep. 2019, 9, 10782. [Google Scholar] [CrossRef]
- Sibila, M.; Rocco, C.; Franzo, G.; Huerta, E.; Domingo, M.; Núñez, J.I.; Segalés, J. Genotyping of Porcine Circovirus 2 (PCV-2) in Vaccinated Pigs Suffering from PCV-2-Systemic Disease between 2009 and 2020 in Spain. Pathogens 2021, 10, 1016. [Google Scholar] [CrossRef]
- Xiao, C.T.; Halbur, P.G.; Opriessnig, T. Global molecular genetic analysis of Porcine circovirus type 2 (PCV2) sequences confirms the presence of four main PCV2 genotypes and reveals a rapid increase of PCV2d. J. Gen. Virol. 2015, 96, 1830–1841. [Google Scholar] [CrossRef]
- Bandrick, M.; Balasch, M.; Heinz, A.; Taylor, L.; King, V.; Toepfer, J.; Foss, D. A bivalent porcine circovirus type 2 (PCV2), PCV2a-PCV2b, vaccine offers biologically superior protection compared to monovalent PCV2 vaccines. Vet. Res. 2022, 53, 12. [Google Scholar] [CrossRef] [PubMed]
- Fort, M.; Sibila, M.; Allepuz, A.; Mateu, E.; Roerink, F.; Segalés, J. Porcine circovirus type 2 (PCV2) vaccination of conventional pigs prevents viremia against PCV2 isolates of different genotypes and geographic origins. Vaccine 2008, 26, 1063–1071. [Google Scholar] [CrossRef] [PubMed]
- Opriessnig, T.; Castro, A.M.M.G.; Karuppanan, A.K.; Gauger, P.C.; Halbur, P.G.; Matzinger, S.R.; Meng, X.J. A Porcine circovirus type 2b (PCV2b)-based experimental vaccine is effective in the PCV2b-Mycoplasma hyopneumoniae coinfection pig model. Vaccine 2019, 37, 6688–6695. [Google Scholar] [CrossRef] [PubMed]
- Segalés, J. Best practice and future challenges for vaccination against porcine circovirus type 2. Expert Rev. Vaccines 2015, 14, 473–487. [Google Scholar] [CrossRef]
- Bandrick, M.; Gutiérrez, A.H.; Desai, P.; Rincon, G.; Martin, W.D.; Terry, F.E.; De Groot, A.S.; Foss, D.L. T cell epitope content comparison (EpiCC) analysis demonstrates a bivalent PCV2 vaccine has greater T cell epitope overlap with field strains than monovalent PCV2 vaccines. Vet. Immunol. Immunopathol. 2020, 223, 110034. [Google Scholar] [CrossRef]
- Pleguezuelos, P.; Sibila, M.; Cuadrado-Matías, R.; López-Jiménez, R.; Pérez, D.; Huerta, E.; Pérez, M.; Correa-Fiz, F.; Mancera-Gracia, J.C.; Taylor, L.P.; et al. Efficacy Studies of a Trivalent Vaccine Containing PCV-2a, PCV-2b Genotypes and Mycoplasma hyopneumoniae when Administered at 3 Days of Age and 3 Weeks Later against Porcine Circovirus 2 (PCV-2) Infection. Vaccines 2022, 10, 1234. [Google Scholar] [CrossRef]
- Maes, D.; Segalés, J.; Meyns, T.; Sibila, M.; Pieters, M.; Haesebrouck, F. Control of Mycoplasma hyopneumoniae infections in pigs. Vet. Microbiol. 2008, 126, 297–309. [Google Scholar] [CrossRef]
- Opriessnig, T.; Giménez-Lirola, L.G.; Halbur, P.G. Polymicrobial respiratory disease in pigs. Anim. Health Res. Rev. 2011, 12, 133–148. [Google Scholar] [CrossRef]
- Sibila, M.; Nofrarías, M.; López-Soria, S.; Segalés, J.; Valero, O.; Espinal, A.; Calsamiglia, M. Chronological study of Mycoplasma hyopneumoniae infection, seroconversion and associated lung lesions in vaccinated and non-vaccinated pigs. Vet. Microbiol. 2007, 122, 97–107. [Google Scholar] [CrossRef]
- Thacker, E.L.; Minion, F.C. Mycoplasmosis. In Diseases of Swine, 10th ed.; Zimmerman, J.J., Karriker, L.A., Ramirez, A., Schwartz, K.J., Stevenson, G.W., Eds.; Wiley-Blackwell: Ames, IA, USA, 2012; pp. 779–797. [Google Scholar]
- Oh, T.; Park, K.H.; Yang, S.; Jeong, J.; Kang, I.; Park, C.; Chae, C. Evaluation of the efficacy of a trivalent vaccine mixture against a triple challenge with Mycoplasma hyopneumoniae, PCV2, and PRRSV and the efficacy comparison of the respective monovalent vaccines against a single challenge. BMC Vet. Res. 2019, 15, 342. [Google Scholar] [CrossRef]
- Park, C.; Jeong, J.; Choi, K.; Chae, C. Efficacy of a new bivalent vaccine of porcine circovirus type 2 and Mycoplasma hyopneumoniae (Fostera™ PCV MH) under experimental conditions. Vaccine 2016, 34, 270–275. [Google Scholar] [CrossRef] [PubMed]
- Sibila, M.; Guevara, G.; Cuadrado, R.; Pleguezuelos, P.; Pérez, D.; Pérez de Rozas, A.; Huerta, E.; Llorens, A.; Valero, O.; Pérez, M.; et al. Comparison of Mycoplasma hyopneumoniae and porcine circovirus 2 commercial vaccines efficacy when applied separate or combined under experimental conditions. Porc. Health Manag. 2020, 6, 11. [Google Scholar] [CrossRef] [PubMed]
- Segalés, J.; Urniza, A.; Alegre, A.; Bru, T.; Crisci, E.; Nofrarías, M.; López-Soria, S.; Balasch, M.; Sibila, M.; Xu, Z.; et al. A genetically engineered chimeric vaccine against porcine circovirus type 2 (PCV2) improves clinical, pathological and virological outcomes in postweaning multisystemic wasting syndrome affected farms. Vaccine 2009, 27, 7313–7321. [Google Scholar] [CrossRef] [PubMed]
- Park, C.; Seo, H.W.; Han, K.; Chae, C. Comparison of four commercial one-dose porcine circovirus type 2 (PCV2) vaccines administered to pigs challenged with PCV2 and porcine reproductive and respiratory syndrome virus at 17 weeks postvaccination to control porcine respiratory disease complex under Korean field conditions. Clin. Vaccine Immunol. 2014, 21, 399–406. [Google Scholar] [CrossRef] [PubMed]
- Fachinger, V.; Bischoff, R.; Jedidia, S.B.; Saalmuller, A.; Elbers, K. The effect of vaccination against porcine circovirus type 2 in pigs suffering from porcine respiratory disease complex. Vaccine 2008, 26, 1488–1499. [Google Scholar] [CrossRef]
- Horlen, K.P.; Dritz, S.S.; Nietfeld, J.C.; Henry, S.C.; Hesse, R.A.; Oberst, R.; Hays, M.; Anderson, J.; Rowland, R.R. A field evaluation of mortality rate and growth performance in pigs vaccinated against porcine circovirus type 2. J. Am. Vet. Med. Assoc. 2008, 232, 906–912. [Google Scholar] [CrossRef]
- Cline, G.; Wilt, V.; Diaz, E.; Edler, R. Efficacy of immunising pigs against porcine circovirus type 2 at three or six weeks of age. Vet. Rec. 2008, 163, 737–740. [Google Scholar]
- Desrosiers, R.; Clark, E.; Tremblay, D.; Tremblay, R.; Polson, D. Use of a one-dose subunit vaccine to prevent losses associated with porcine circovirus type 2. J. Swine Health Prod. 2009, 17, 148–154. [Google Scholar]
- Kixmoller, M.; Ritzmann, M.; Eddicks, M.; Saalmuller, A.; Elbers, K.; Fachinger, V. Reduction of PMWS-associated clinical signs and co-infections by vaccination against PCV2. Vaccine 2008, 26, 3443–3451. [Google Scholar] [CrossRef]
- Kurtz, S.; Grau-Roma, L.; Cortey, M.; Fort, M.; Rodríguez, F.; Sibila, M.; Segalés, J. Pigs naturally exposed to porcine circovirus type 2 (PCV2) generate antibody responses capable to neutralise PCV2 isolates of different genotypes and geographic origins. Vet. Res. 2014, 45, 29. [Google Scholar] [CrossRef]
- Opriessnig, T.; Gerber, P.F.; Xiao, C.T.; Halbur, P.G.; Matzinger, S.R.; Meng, X.J. Commercial PCV2a-based vaccines are effective in protecting naturally PCV2b-infected finisher pigs against experimental challenge with a 2012 mutant PCV2. Vaccine 2014, 32, 4342–4348. [Google Scholar] [CrossRef] [PubMed]
- Opriessnig, T.; Xiao, C.T.; Halbur, P.G.; Gerber, P.F.; Matzinger, S.R.; Meng, X.J. A commercial porcine circovirus (PCV) type 2a-based vaccine reduces PCV2d viremia and shedding and prevents PCV2d transmission to naïve pigs under experimental conditions. Vaccine 2017, 35, 248–254. [Google Scholar] [CrossRef] [PubMed]
- Park, K.H.; Oh, T.; Yang, S.; Cho, H.; Kang, I.; Chae, C. Evaluation of a Porcine circovirus type 2a (PCV2a) vaccine efficacy against experimental PCV2a, PCV2b, and PCV2d challenge. Vet. Microbiol. 2019, 231, 87–92. [Google Scholar] [CrossRef] [PubMed]
- Rose, N.; Andraud, M.; Bigault, L.; Jestin, A.; Grasland, B. A commercial PCV2a-based vaccine significantly reduces PCV2b transmission in experimental conditions. Vaccine 2016, 34, 3738–3745. [Google Scholar] [CrossRef]
- Alarcon, P.; Rushton, J.; Wieland, B. Cost of post-weaning multi-systemic wasting syndrome and porcine circovirus type-2 subclinical infection in England—An economic disease model. Prev. Vet. Med. 2013, 110, 88–102. [Google Scholar] [CrossRef]
- Duivon, D.; Corrégé, I.; Hémonic, A.; Rigaut, M.; Roudaut, D.; Jolie, R. Field evaluation of piglet vaccination with a Mycoplasma hyopneumoniae bacterin as compared to a ready-to-use product including porcine circovirus 2 and M. hyopneumoniae in a conventional French farrow-to-finish farm. Porc. Health Manag. 2018, 4, 4. [Google Scholar] [CrossRef]
- Jeong, J.; Park, C.; Choi, K.; Chae, C. A new single-dose bivalent vaccine of porcine circovirus type 2 and Mycoplasma hyopneumoniae elicits protective immunity and improves growth performance under field conditions. Vet. Microbiol. 2016, 182, 178–186. [Google Scholar] [CrossRef]
- Pagot, E.; Rigaut, M.; Roudaut, D.; Panzavolta, L.; Jolie, R.; Duivon, D. Field efficacy of Porcilis® PCV M Hyo versus a licensed commercially available vaccine and placebo in the prevention of PRDC in pigs on a French farm: A randomized controlled trial. Porc. Health Manag. 2017, 3, 3. [Google Scholar] [CrossRef]
- Tzika, E.D.; Tassis, P.D.; Koulialis, D.; Papatsiros, V.G.; Nell, T.; Brellou, G.; Tsakmakidis, I. Field efficacy study of a novel ready-to-use vaccine against Mycoplasma hyopneumoniae and porcine circovirus type 2 in a Greek farm. Porc. Health Manag. 2015, 1, 15. [Google Scholar] [CrossRef][Green Version]
- Witvliet, M.; Holtslag, H.; Nell, T.; Segers, R.; Fachinger, V. Efficacy and safety of a combined porcine Circovirus and Mycoplasma hyopneumoniae vaccine in finishing pigs. Trials Vaccinol. 2015, 4, 43–49. [Google Scholar] [CrossRef][Green Version]
- Fraile, L.; Sibila, M.; Nofrarías, M.; López-Jimenez, R.; Huerta, E.; Llorens, A.; López-Soria, S.; Pérez, D.; Segalés, J. Effect of sow and piglet porcine circovirus type 2 (PCV2) vaccination on piglet mortality, viraemia, antibody titre and production parameters. Vet. Microbiol. 2012, 161, 229–234. [Google Scholar] [CrossRef] [PubMed]
- Nielsen, G.B.; Haugegaard, J.; Jolie, R. Field evaluation of a ready-to-use combined Porcine circovirus type 2 and Mycoplasma hyopneumoniae vaccine in Denmark—A historical comparison of productivity parameters in 20 nursery and 23 finishing herds. Porc. Health Manag. 2018, 4, 29. [Google Scholar] [CrossRef] [PubMed]
- Kaalberg, L.; Geurts, V.; Jolie, R. A field efficacy and safety trial in the Netherlands in pigs vaccinated at 3 weeks of age with a ready-to-use porcine circovirus type 2 and Mycoplasma hyopneumoniae combined vaccine. Porc. Health Manag. 2017, 3, 23. [Google Scholar] [CrossRef] [PubMed]
- Oh, Y.; Seo, H.W.; Han, K.; Park, C.; Chae, C. Protective effect of the maternally derived porcine circovirus type 2 (PCV2)-specific cellular immune response in piglets by dam vaccination against PCV2 challenge. J. Gen. Virol. 2012, 93 Pt 7, 1556–1562. [Google Scholar] [CrossRef][Green Version]
- Poulsen Nautrup, B.; Van Vlaenderen, I.; Mah, C.; Angulo, J. Do High Levels of Maternally Derived Antibodies Interfere with the Vaccination of Piglets against Porcine Circovirus Type 2? A Literature Review and Data Analysis. Vaccines 2021, 9, 923. [Google Scholar] [CrossRef]
- Feng, H.; Segalés, J.; Fraile, L.; López-Soria, S.; Sibila, M. Effect of high and low levels of maternally derived antibodies on porcine circovirus type 2 (PCV2) infection dynamics and production parameters in PCV2 vaccinated pigs under field conditions. Vaccine 2016, 34, 3044–3050. [Google Scholar] [CrossRef]
- Haake, M.; Palzer, A.; Rist, B.; Weissenbacher-Lang, C.; Fachinger, V.; Eggen, A.; Ritzmann, M.; Eddicks, M. Influence of age on the effectiveness of PCV2 vaccination in piglets with high levels of maternally derived antibodies. Vet. Microbiol. 2014, 168, 272–280. [Google Scholar] [CrossRef]
- Fraile, L.; Grau-Roma, L.; Sarasola, P.; Sinovas, N.; Nofrarías, M.; López-Jimenez, R.; López-Soria, S.; Sibila, M.; Segalés, J. Inactivated PCV2 one shot vaccine applied in 3-week-old piglets: Improvement of production parameters and interaction with maternally derived immunity. Vaccine 2012, 30, 1986–1992. [Google Scholar] [CrossRef]
- Fort, M.; Sibila, M.; Pérez-Martín, E.; Nofrarías, M.; Mateu, E.; Segalés, J. One dose of a porcine circovirus 2 (PCV-2) sub-unit vaccine administered to 3-weekold conventional piglets elicits cell-mediated immunity and significantly reduces PCV2 viraemia in an experimental model. Vaccine 2009, 27, 4031–4037. [Google Scholar] [CrossRef]
- Oh, Y.; Seo, H.W.; Park, C.; Chae, C. Comparison of sow and/or piglet vaccination of 3 commercial porcine circovirus type 2 (PCV2) single-dose vaccines on pigs under experimental PCV2 challenge. Vet. Microbiol. 2014, 172, 371–380. [Google Scholar] [CrossRef]
- Figueras-Gourgues, S.; Fraile, L.; Segalés, J.; Hernández-Caravaca, I.; López-Úbeda, R.; García-Vázquez, F.A.; Gomez-Duran, O.; Grosse-Liesner, B. Effect of Porcine circovirus 2 (PCV-2) maternally derived antibodies on performance and PCV-2 viremia in vaccinated piglets under field conditions. Porc. Health Manag. 2019, 5, 21. [Google Scholar] [CrossRef] [PubMed]
- Hesse, R.; Kerrigan, M.; Rowland, R.R. Evidence for recombination between PCV2a and PCV2b in the field. Virus Res. 2008, 132, 201–207. [Google Scholar] [CrossRef] [PubMed]
- Saporiti, V.; Huerta, E.; Correa-Fiz, F.; Grosse Liesner, B.; Duran, O.; Segalés, J.; Sibila, M. Detection and genotyping of Porcine circovirus 2 (PCV-2) and detection of Porcine circovirus 3 (PCV-3) in sera from fattening pigs of different European countries. Transbound. Emerg. Dis. 2020, 67, 2521–2531. [Google Scholar] [CrossRef] [PubMed]





| Experimental Groups | Pre-Clinical Studies | |||||||||
|---|---|---|---|---|---|---|---|---|---|---|
| PCV-2a Challenge Experiment | PCV-2b Challenge Experiment | |||||||||
| Mean S/P Ratio ± SE (PCV-2 MDA) at SD0 | N | Vaccine or Placebo Administration | Challenge * | Necropsy | Mean S/P Ratio ± SE (PCV-2 MDA) at SD0 | N | Vaccine or Placebo Administration | Challenge * | Necropsy | |
| Non-vaccinated | 0.71 ± 0.02 (seropositive) | 24 | SD0 (20–21 days old) | SD35 | SD56 | 0.72 ± 0.01 (seropositive) | 19 | SD0 (18–23 days old) | SD41 | SD61–62 |
| Vaccinated | 0.67 ± 0.02 (seropositive) | 22 | 0.72 ± 0.01 (seropositive) | 16 | ||||||
| Field Trial | Farm | Treatment | Num. of Animals | Doses and Volume | Age at Vaccination |
|---|---|---|---|---|---|
| Field trial A | Farm A | Vaccinated | 1013 | 2 mL | 19–27 (ℜ = 24) |
| Non-vaccinated | 1011 | 2 mL | |||
| Field trial B | Farm B | Vaccinated | 1024 | 2 mL | 18–24 (ℜ = 23) |
| Non-vaccinated | 1028 | 2 mL |
| Group | PCV-2a Challenge Studies | PCV-2b Challenge Studies | ||
|---|---|---|---|---|
| Percentage of Ever Viraemic Pigs | Percentage of Ever Faecal Shedding Pigs | Percentage of Ever Viraemic Pigs | Percentage of Ever Faecal Shedding Pigs | |
| Non-vaccinated | 16/24 (66.6%) a | 14/24 (58.3%) a | 18/19 (94.7%) a | 18/19 (94.7%) a |
| Vaccinated | 1/22 (4.5%) b | 1/22 (4.5%) b | 13/16 (81.3) a | 10/16 (62.5) a |
| Group | PCV-2a Challenge Studies | PCV-2b Challenge Studies | ||||||
| HR | LD | HR + LD | IHC | HR | LD | HR + LD | IHC | |
| Non-vaccinated | 3/24 (12.5%) a | 4/24 (16.7%) a | 4/24 (16.7%) a | 2/24 (8.3%) a | 4/19 (21.1%) a | 1/19 (5.3%) a | 4/19 (21.1%) a | 5/19 (26.3%) a |
| Vaccinated | 0/22 (0.0%) a | 2/22 (9.1%) a | 2/22 (9.1%) a | 0/22 (0.0%) a | 1/16 (6.3) a | 0/16 (0.0) a | 1/16 (6.3) a | 0/16 (0.0) b |
| Study | Group | Body Weight (Kg ± SE) | ADWG (Kg/Day) | Mortality | |||||
|---|---|---|---|---|---|---|---|---|---|
| 3 WOA (vac) | 16 WOA | 24–27 WOA | 3 WOA to 16 WOA | 16 WOA to 24–27 WOA | 3 WOA to 24–27 WOA | Each Treatment Group | Total | ||
| Field trial A | Vaccinated | 5.9 ± 0.29 a | 51.1 ± 0.56 a | 100.7 ± 0.78 a | 0.49 a | 0.62 a | 0.78 a | 89/953 (9.3%) a | 181/1910 (9.5%) |
| Non-vaccinated | 5.9 ± 0.29 a | 50.3 ± 0.56 a | 99.1 ± 0.70 a | 0.48 a | 0.60 a | 0.76 a | 92/957 (9.6%) a | ||
| Field trial B | Vaccinated | 5.7 ± 0.07 a | 45.6 ± 0.45 a | 105.0 ± 0.70 a | 0.43 a | 0.59 a | 0.76 a | 194/899 (21.6%) a | 402/1797 (22.4%) |
| Non-vaccinated | 5.7 ± 0.07 a | 44.2 ± 0.45 b | 99.6 ± 0.70 b | 0.42 b | 0.56 b | 0.71 b | 208/898 (23.2%) a | ||
| Study | Group | Proportion (%) of Pigs Detected Viraemic per Sampling Point | Total Proportion (%) of Ever Viraemic Pigs * | |||||
|---|---|---|---|---|---|---|---|---|
| 3 WOA (vac) | 7 WOA | 11 WOA | 16 WOA | 20 WOA | 25 WOA | |||
| Field trial A | Vaccinated | 0/50 (0.0%) a | 0/48 (0.0%) a | 3/47 (6.4%) a | 13/45 (28.9%) a | 6/47 (12.8%) a | 4/45 (8.9%) a | 22/45 (48.9%) a |
| Non-vaccinated | 0/52 (0.0%) a | 0/51 (0.0%) a | 5/49 (10.2%) a | 30/46 (65.2%) b | 36/47 (76.6%) b | 22/46 (47.8%) b | 44/46 (95.7%) b | |
| Field trial B | Vaccinated | 0/51 (0.0%) a | 28/48 (58.3%) a | 5/39 (12.8%) a | 26/58 (44.8%) a | 18/58 (31.0%) a | 12/57 (21.1%) a | 45/64 (70.3%) a |
| Non-vaccinated | 0/51 (0.0%) a | 23/49 (46.9%) a | 8/39 (20.5%) a | 61/61 (100%) b | 57/59 (96.6%) b | 39/58 (67.2%) b | 65/65 (100%) b | |
| Study | Group | HR | LD | HR + LD | IHC |
|---|---|---|---|---|---|
| Field trial A | Vaccinated | 3/111 (2.7%) a | 6/111 (5.4%) a | 7/111 (6.3%) a | 4/110 (3.6%) a |
| Non-vaccinated | 12/116 (10.3%) b | 15/116 (12.9%) a | 19/116 (16.4%) b | 22/116 (19.0%) b | |
| Field trial B | Vaccinated | 4/218 (1.8%) a | 30/218 (13.8%) a | 30/218 (13.8%) a | 9/228 (3.9%) a |
| Non-vaccinated | 21/245 (8.6%) b | 39/245 (15.9%) a | 39/245 (15.9%) a | 43/253 (17.0%) b |
Publisher’s Note: MDPI stays neutral with regard to jurisdictional claims in published maps and institutional affiliations. |
© 2022 by the authors. Licensee MDPI, Basel, Switzerland. This article is an open access article distributed under the terms and conditions of the Creative Commons Attribution (CC BY) license (https://creativecommons.org/licenses/by/4.0/).
Share and Cite
Pleguezuelos, P.; Sibila, M.; Ramírez, C.; López-Jiménez, R.; Pérez, D.; Huerta, E.; Llorens, A.M.; Pérez, M.; Correa-Fiz, F.; Mancera Gracia, J.C.; et al. Efficacy Studies against PCV-2 of a New Trivalent Vaccine including PCV-2a and PCV-2b Genotypes and Mycoplasma hyopneumoniae When Administered at 3 Weeks of Age. Vaccines 2022, 10, 2108. https://doi.org/10.3390/vaccines10122108
Pleguezuelos P, Sibila M, Ramírez C, López-Jiménez R, Pérez D, Huerta E, Llorens AM, Pérez M, Correa-Fiz F, Mancera Gracia JC, et al. Efficacy Studies against PCV-2 of a New Trivalent Vaccine including PCV-2a and PCV-2b Genotypes and Mycoplasma hyopneumoniae When Administered at 3 Weeks of Age. Vaccines. 2022; 10(12):2108. https://doi.org/10.3390/vaccines10122108
Chicago/Turabian StylePleguezuelos, Patricia, Marina Sibila, Carla Ramírez, Rosa López-Jiménez, Diego Pérez, Eva Huerta, Anna Maria Llorens, Mónica Pérez, Florencia Correa-Fiz, José Carlos Mancera Gracia, and et al. 2022. "Efficacy Studies against PCV-2 of a New Trivalent Vaccine including PCV-2a and PCV-2b Genotypes and Mycoplasma hyopneumoniae When Administered at 3 Weeks of Age" Vaccines 10, no. 12: 2108. https://doi.org/10.3390/vaccines10122108
APA StylePleguezuelos, P., Sibila, M., Ramírez, C., López-Jiménez, R., Pérez, D., Huerta, E., Llorens, A. M., Pérez, M., Correa-Fiz, F., Mancera Gracia, J. C., Taylor, L. P., Smith, J., Bandrick, M., Borowski, S., Saunders, G., Segalés, J., López-Soria, S., Fort, M., & Balasch, M. (2022). Efficacy Studies against PCV-2 of a New Trivalent Vaccine including PCV-2a and PCV-2b Genotypes and Mycoplasma hyopneumoniae When Administered at 3 Weeks of Age. Vaccines, 10(12), 2108. https://doi.org/10.3390/vaccines10122108

