Vaccinating Meat Chickens against Campylobacter and Salmonella: A Systematic Review and Meta-Analysis
Abstract
1. Introduction
2. Materials and Methods
2.1. Scope
2.2. Eligibility Criteria
2.3. Information Sources
2.4. Screening Procedures
2.5. Data Extraction
2.6. Risk of Bias
2.7. Data Synthesis
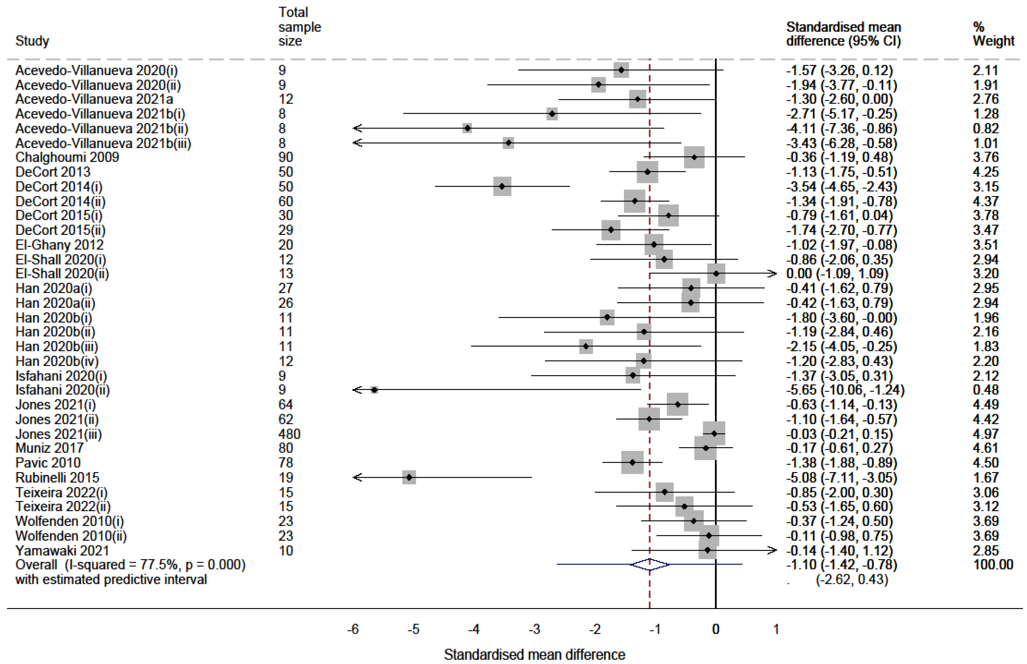
3. Results
3.1. Search Result
3.2. Characteristics of the Included Studies
| Reference | Country | Population | Intervention | Vaccine Type | Age at Assessment | Challenge | RoB 1 | Overall RoB |
|---|---|---|---|---|---|---|---|---|
| Annamalai et al., 2013 [35] | USA | 7 days old Sex and breed not specified | C. jejuni outer membrane protein with nanoparticle encapsulation administered via oral gavage | Subunit vaccine | 42 days | C. jejuni | ![]() | Unclear |
| Gorain et al., 2020 [36] | India | 7 days old Sex not specified Vencobb | (i) Lactococcus lactis expressing functionally active Campylobacter JlpA protein administered via oral gavage or (ii) Campylobacter JLpA protein emulsified in incomplete Freund’s adjuvant administered via subcutaneous injection | (i and ii) Subunit vaccine | 35 days | C. jejuni | (i and ii)![]() | (i and ii) High |
| Hodgins et al., 2015 [37] | Canada | 7 days old Female Ross | Capsular polysaccharide from C. jejuni conjugate (i) alone, or with (ii) Addavax™ adjuvant or (iii) CpG adjuvant administered via subcutaneous injection | (i to iii) Subunit vaccine | 38 days | C. jejuni | (i to iii)![]() | (i to iii) Unclear |
| Laniewski et al., 2014 [38] 2 | Poland | 1 day old As hatched Cobb | C. jejuni cjaA protein carried by S. Typhimurium administered via oral gavage | Subunit vaccine | 35 and 42 days | C. jejuni | ![]() | Unclear |
| Meunier et al., 2018 [39] | France | 1 day old Mixed sex Ross | C. jejuni (i) pcDNA3-flaA or (ii and iii) recFlaA carried by E. coli administered via (i) subcutaneous or (ii and iii) intramuscular injection | (i to iii) Subunit vaccine | 28 and 42 days | C. jejuni | (i to iii)![]() | (i to iii) High |
| Neal-McKinney et al., 2014 [40] | USA | 6 days old Sex not specified Cornish Cross | GST-tagged 90 mer peptides boosted with C. jejuni surface-exposed colonisation proteins (i) CadF, (ii) FlaA, (iii) FlpA, (iv) Trifecta or (v) CmeC administered via subcutaneous injection | (i to v) Subunit vaccine | 27 days | C. jejuni | (i to v)![]() | (i to v) High |
| Nothaft et al., 2017 [41] | Canada | 7 days old Sex not specified Ross 308 | E. coli expressing C. jejuni protein administered via oral gavage | Subunit vaccine | 35 days | C. jejuni | ![]() | Unclear |
| Nothaft et al., 2021 [42] 2 | Canada | 7 days old Sex not specified Ross 308 | E. coli expressing the C. jejuni N-glycan administered via oral gavage | Subunit vaccine | 35 days | C. jejuni | ![]() | Unclear |
| Radomska et al., 2016 [43] 2 | Netherlands | 18d egg incubation As hatched Ross 308 | C. jejuni flagellin-based vaccine administered in ovo | Subunit vaccine | 25 days | C. jejuni | ![]() | Unclear |
| Singh et al., 2019 [44] | India | 7 days old Sex not specified Vencobb | E. coli expressing C. jejuni hcp protein (i) entrapped in chitosan cross-linked with sodium tripolyphosphate nanoparticles administered via oral gavage or (ii) emulsified with IFA and administered via subcutaneous injection | (i and ii) Subunit vaccine | 28 days | C. jejuni | (i) ![]() (ii) ![]() | (i) Unclear(ii) High |
| Taha-Abdelaziz et al., 2018 [45] | Canada | 14 days old Sex not specified Ross 708 | C. jejuni lysate protein (i) without or (ii) with PLGA-encapsulated CpG administered via oral gavage | (i and ii) Inactivated vaccine | 23, 30 and 37 days | C. jejuni | (i and ii)![]() | (i and ii) Unclear |
| Vandeputte et al., 2019 [46] 2 | Belgium | 15d egg incubation As hatched Ross 308 | (i) C. jejuni bacterin vaccine or (ii) a subunit vaccine containing 6 Campylobacter antigens administered in ovo | (i) Inactivated vaccine(ii) Subunit vaccine | 24 days | C. jejuni | (i and ii)![]() | (i and ii) Unclear |
| Vandeputte et al., 2020 [47] 2 | Belgium | Day of hatch As hatched Ross 308 | Hyperimmune egg yolk powder against C. jejuni and C. coli strains administered in feed | Passive immunisation | 16 days | C. jejuni | ![]() | Unclear |
(low risk of bias), yellow
(unclear risk of bias) and red
(high risk of bias). 2 Studies that did not have a unit of analysis error. Note: Population age refers to the bird’s age at the beginning of the intervention.| Reference | Country | Population | Intervention | Vaccine Type | Age at Assessment | Challenge | RoB 1 | Overall RoB |
|---|---|---|---|---|---|---|---|---|
| Acevedo-Villanueva et al., 2020 [48] 2 | USA | 1 day old Sex not specified Cobb-500 | (i) S. Enteritidis chitosan-nanoparticle vaccine or (ii) Poulvac® ST administered orally and challenged with S. Heidelberg or S. Enteritidis | (i) Subunit vaccine (ii) Live vaccine | 16 days | Salmonella Enteritidisor Heidelberg | (i and ii)![]() | (i and ii) High |
| Acevedo-Villanueva et al., 2021a [49] 2 | USA | 18d egg incubation Sex N/A Cobb | S. Enteritidis chitosan-nanoparticle vaccine administered in ovo | Subunit vaccine | 14 days and 21 days | Salmonella Enteritidis | ![]() | Unclear |
| Acevedo-Villanueva et al., 2021b [50] 2 | USA | 1 day old Sex not specified Cobb | (i) S. Enteritidis chitosan-nanoparticle (CNP) vaccine, or (ii) Poulvac® ST, or (iii) Poulvac® ST boosted with CNP vaccine, all administered orally | (i) Subunit vaccine (ii) Live vaccine (iii) Subunit and live vaccine | 28 days | Salmonella Enteritidis | (i to iii)![]() | (i to iii) Unclear |
| Chalghoumi et al., 2009 [51] 2 | Belgium | 1 day old Male Ross | Hyperimmune egg yolk powder administered in feed | Passive immunisation | 7, 14, 21 and 28 days | Salmonella Enteritidis and Typhimurium | ![]() | Unclear |
| De Cort et al., 2013 [52] | Belgium | 1 day old Sex not specified Ross | S. Enteritidis 76Sa88 hilAssrAfliG deletion mutant administered via oral gavage | Live vaccine | 7, 21 and 42 days | Salmonella Enteritidis | ![]() | Unclear |
| De Cort et al., 2014 [53] | Belgium | 1 day old Sex not specified Ross | (i) hilAssrAfliG deletion mutant (S. Typhimurium) or (ii) hilAssrAfliG deletion mutant (S. Typhimurium and S. Enteritidis) administered via oral gavage | (i and ii) Live vaccine | (i) 7, 21 and 42 days old or (ii) 7 days | Salmonella Typhimurium, Enteritidis and Paratyphi Java | (i and ii)![]() | (i and ii) Unclear |
| De Cort et al., 2015 [54] | Belgium | 1 day old Sex not specified Ross 308 | S. Enteritidis Delta hilAssrAfliG strain administered in (i) drinking water or (ii) sprayed | (i and ii) Live vaccine | 7, 21 and 42 days | Salmonella Enteritidis | (i) (ii) | (i) Unclear(ii) High |
| El-Ghany et al., 2012 [55] | Egypt | 1 day old Mixed sex Hubbard | S. Enteritidis bacterin administered via intramuscular injection | Inactivated vaccine | 27, 34 and 41 days | S. Enteritidis | ![]() | Unclear |
| El-Shall et al., 2020 [56] | Egypt | 7 days old Sex not specified Cobb | S. Enteritidis vaccine administered via drinking water (i) with and (ii) without S. Enteritidis challenge | (i and ii) Live vaccine | 35 days and 42 days | Salmonella Enteritidis | (i and ii)![]() | (i and ii) Unclear |
| Han et al., 2020a [57] | USA | 3 days old or 3 weeks old Sex not specified Cornish Criss | S. Enteritidis chitosan-nanoparticle vaccine administered at (i) 3 days or (ii) 3 weeks of age via oral gavage | (i and ii) Subunit vaccine | 45 days | Salmonella Enteritidis | (i and ii)![]() | (i and ii) Unclear |
| Han et al., 2020b [58] | USA | 3 days old Sex not specified Cornish Cross | S. Enteritidis chitosan-nanoparticle vaccine (i) with flagellin surface-coating or (ii) mannose-ligand-modification instead of flagellin surface-coating or (iii) with both flagellin surface-coating and mannose-ligand modification or (iv) Poulvac® ST administered orally | (i to iii) Subunit vaccine (iv) Live vaccine | 45 days | Salmonella Enteritidis | (i to iv)![]() | (i to iv) Unclear |
| Isfahani et al., 2020 [59] 2 | Iran | 1 day old Male Cobb-500 | (i) Salmonella immune powdered yolk or (ii) Salmonella capsulated immune yolk administered in feed | (i and ii) Passive immunisation | 7, 14 and 21 days | Salmonella Infantis | (i and ii)![]() | (i and ii) Unclear |
| Jones et al., 2021 [60] | USA | Day of hatch Straight run (i and iii) Ross 708 (ii) Cobb 500 | (i and ii) Poulvac® ST boosted by gavage, or (iii) Poulvac® ST boosted via drinking water | (i to iii) Live vaccine | (i) 46 days (ii) 43 days (iii) 40 and 41 days | Salmonella Infantis | (i to iii)![]() | (i to iii) High |
| Muniz et al., 2017 [61] 2 | Brazil | 1 day old Mixed sex Cobb slow growing | Poulvac®—ST sprayed | Live vaccine | 28 days | Salmonella Heidelberg | ![]() | High |
| Pavic et al., 2010 [62] | Australia | 1 day old AH Cobb | Parent bird injected with trivalent inactivated vaccine | Passive immunisation | 21 days | Salmonella Typhimurium | ![]() | Unclear |
| Rubinelli et al., 2015 [63] | USA | Day of hatch Male Cobb | Pbad-mviN Salmonella vaccine administered via oral gavage | Live vaccine | 42 days | Salmonella Typhimurium | ![]() | Unclear |
| Teixeira et al., 2022 [64] | Brazil | 1 day old As hatched Cobb-500 | Birds were progeny from breeders vaccinated with (i) Gallimune® SE + ST or (ii) Nobilis® Salenvac T | (i and ii) Passive immunisation | 4, 6, 9, 15 and 23 days | Salmonella Heidelberg | (i and ii)![]() | (i and ii) Unclear |
| Wolfenden et al., 2010 [65] | USA | Day of hatch Sex not specified Cobb | S. Enteritidis vector strain (ΔSEEV) with modified variants expressing (i) a flagellar filament protein (fliC) antigen alone (SEΔFliC) or (ii) with a putative immunopotentiating compound CD154 (SEΔfliC-CD154C) administered via oral gavage | (i and ii) Live vaccine | 10, 19 and 30 days | Salmonella Typhimurium | (i and ii)![]() | (i and ii) Unclear |
| Yamawaki et al., 2021 [66] | Brazil | 1 day old As hatched Breed not specified | Birds were progeny from breeders vaccinated with recombinant vaccine | Passive immunisation | 3 and 6 days | Salmonella Enteritidis | ![]() | Unclear |
(low risk of bias), yellow
(unclear risk of bias) and red
(high risk of bias). 2 Studies that did not have a unit of analysis error. Note: Population age refers to the bird’s age at the beginning of the intervention.3.3. Risk of Bias
3.4. Intervention Effects


| Meta-Analysis | N | SMD | 95% Confidence Interval | τ2 * | Z-Test p Value † | I2 (%) ‡ | Chi2 p Value § | |
|---|---|---|---|---|---|---|---|---|
| Campylobacter | ||||||||
| Primary random effects analysis | 25 | −0.93 | −1.275 to −0.585 | 0.365 | <0.001 | 52.4 | 0.001 | |
| Sensitivity random effects analysis (ICC = 0.1) | 25 | −0.86 | −1.187 to −0.523 | 0.171 | <0.001 | 25.3 | 0.123 | |
| Group | Subunit vaccine | 21 | −1.04 | −1.444 to −0.645 | 0.452 | <0.001 | 57.8 | 0.001 |
| Inactivated vaccine | 3 | −0.39 | −0.987 to 0.218 | <0.001 | 0.211 | <0.1 | 0.624 | |
| Passive immunisation | 1 | −0.85 | −2.652 to 0.947 | <0.001 | 0.353 | N/A | N/A | |
| Salmonella | ||||||||
| Primary random effects analysis | 34 | −1.10 | −1.419 to −0.776 | 0.533 | <0.001 | 77.5 | <0.001 | |
| Sensitivity random effects analysis (ICC = 0.1) | 34 | −0.86 | −1.176 to −0.539 | 0.254 | <0.001 | 43.6 | <0.001 | |
| Group | Subunit vaccine | 8 | −1.15 | −1.685 to −0.605 | <0.001 | <0.001 | <0.1 | 0.512 |
| Inactivated vaccine | 1 | −1.02 | −1.970 to −0.078 | <0.001 | 0.034 | N/A | N/A | |
| Passive immunisation | 7 | −0.88 | −1.462 to −0.300 | 0.260 | 0.003 | 48.1 | 0.073 | |
| Live vaccine | 17 | −1.10 | −1.541 to −0.648 | 0.614 | <0.001 | 85.5 | <0.001 | |
| Subunit and Live vaccine | 1 | −3.43 | −6.283 to −0.580 | <0.001 | 0.018 | N/A | N/A | |
3.4.1. Heterogeneity
3.4.2. Reporting Bias
3.4.3. Subgroup Analysis
| Intervention Type | Difference in SMDs | 95% Confidence Interval | p value |
|---|---|---|---|
| Campylobacter | |||
| Subunit vaccine (Reference intervention type) | - | - | - |
| Inactivated vaccine | 0.73 | −0.382 to 1.838 | 0.19 |
| Passive immunisation | 0.18 | −2.158 to 2.519 | 0.87 |
| Salmonella | |||
| Subunit vaccine (Reference intervention type) | - | - | - |
| Inactivated vaccine | 0.25 | −1.994 to 2.499 | 0.82 |
| Passive immunisation | 0.37 | −0.872 to 1.622 | 0.54 |
| Live vaccine | 0.19 | −0.846 to 1.222 | 0.71 |
| Subunit and live vaccine | −2.16 | −6.000 to 1.690 | 0.26 |
3.4.4. Sensitivity Analysis
3.5. Confidence in the Body of Evidence
4. Discussion
5. Conclusions
Author Contributions
Funding
Institutional Review Board Statement
Informed Consent Statement
Data Availability Statement
Acknowledgments
Conflicts of Interest
References
- WHO. Food Safety, Fact Sheets. 2022. Available online: https://www.who.int/news-room/fact-sheets/detail/food-safety (accessed on 1 September 2022).
- Ray, L.C.; Collins, J.P.; Griffin, P.M.; Shah, H.J.; Boyle, M.M.; Cieslak, P.R.; Dunn, J.; Lathrop, S.; McGuire, S.; Rissman, T.; et al. Decreased Incidence of Infections Caused by Pathogens Transmitted Commonly through Food during the COVID-19 Pandemic—Foodborne Diseases Active Surveillance Network, 10 U.S. Sites, 2017–2020. Morb. Mortal. Wkly. Rep. Sept. 2021, 70, 1332. [Google Scholar] [CrossRef] [PubMed]
- EFSA and ECDC. The European Union summary report on trends and sources of zoonoses, zoonotic agents and food-borne outbreaks in 2017. EFSA J. 2018, 16, e05500. [Google Scholar] [CrossRef]
- Bell, R.; Draper, A.; Fearnley, E.; Franklin, N.; Glasgow, K.; Gregory, J.; Harlock, M.; Hope, K.; Kane, S.; Miller, M.; et al. Monitoring the incidence and causes of disease potentially transmitted by food in Australia: Annual report of the OzFoodNet network, 2016. Commun. Dis. Intell. 2018 2021, 45, 5–30. [Google Scholar] [CrossRef]
- Codex. Codex Alimentarius: Guidelines for the Control of Campylobacter and Salmonella in Chicken Meat, CAC/GL 78-2011; Joint FAO: Rome, Italy; WHO Codex Alimentarius Commission: Geneva, Switzerland, 2011. [Google Scholar]
- FSANZ. Baseline Survey on the Prevalence and Concentration of Salmonella and Campylobacter in Chicken Meat on-Farm and at Primary Processing; FSANZ: Canberra, Australia, 2010. [Google Scholar]
- WHO. Campylobacter. 2020. Available online: https://www.who.int/news-room/fact-sheets/detail/campylobacter (accessed on 1 September 2022).
- Chinivasagam, N. On-Farm Food Safety—Assisting Industry to Produce Safe Food in a Sustainable Manner; AgriFutures Australia: Wagga Wagga, Australia, 2019. [Google Scholar]
- Natsos, G.; Mouttotou, N.K.; Ahmad, S.; Kamran, Z.; Ioannidis, A.; Koutoulis, K.C. The genus Campylobacter: Detection and isolation methods, species identification & typing techniques. J. Hell. Vet. Med. Soc. 2019, 70, 1327–1338. [Google Scholar] [CrossRef]
- Skarp, C.P.A.; Hänninen, M.L.; Rautelin, H.I.K. Campylobacteriosis: The role of poultry meat. Clin. Microbiol. Infect. 2016, 22, 103–109. [Google Scholar] [CrossRef]
- Jajere, S.M. A review of Salmonella enterica with particular focus on the pathogenicity and virulence factors, host specificity and antimicrobial resistance including multidrug resistance. Vet. World 2019, 12, 504–521. [Google Scholar] [CrossRef]
- Bailey, M.A.; Taylor, R.M.; Brar, J.S.; Corkran, S.C.; Velasquez, C.; Rama, E.N.; Oliver, H.F.; Singh, M. Prevalence and antimicrobial resistance of Campylobacter from antibiotic-free broilers during organic and conventional processing. Poult. Sci. 2019, 98, 1447–1454. [Google Scholar] [CrossRef]
- Abraham, S.; O’Dea, M.; Sahibzada, S.; Hewson, K.; Pavic, A.; Veltman, T.; Abraham, R.; Harris, T.; Jordan, D. Escherichia coli and Salmonella spp. isolated from Australian meat chickens remain susceptible to critically important antimicrobial agents. PLoS ONE 2019, 14, e0224281. [Google Scholar] [CrossRef]
- Codex. Discussion Paper on Risk Management Strategies for Campylobacter spp. in Poultry (CX/FH 03/5-Add.2); FAO: Rome, Italy; WHO: Geneva, Switzerland, 2003. [Google Scholar]
- Codex. Discussion Paper on Risk Management Strategies for Salmonella spp. in Poultry (CX/FH 04/10-Add.3); FAO: Rome, Italy; WHO: Geneva, Switzerland, 2004. [Google Scholar]
- FSIS. FSIS Guideline for Controlling Salmonella in Raw Poultry; U.S. Department of Agriculture, Food Safety and Inspection Service; FSIS: Washington, DC, USA, 2021. [Google Scholar]
- FSIS. FSIS Guideline for Controlling Campylobacter in Raw Poultry; U.S. Department of Agriculture, Food Safety and Inspection Service; FSIS: Washington, DC, USA, 2021. [Google Scholar]
- Cox, J.M.; Pavic, A. Advances in enteropathogen control in poultry production. J. Appl. Microbiol. 2010, 108, 745–755. [Google Scholar] [CrossRef]
- Pumtang-On, P.; Mahony, T.J.; Hill, R.A.; Vanniasinkam, T. A Systematic Review of Campylobacter jejuni Vaccine Candidates for Chickens. Microorganisms 2021, 9, 397. [Google Scholar] [CrossRef]
- Totton, S.C.; Farrar, A.M.; Wilkins, W.; Bucher, O.; Waddell, L.A.; Wilhelm, B.J.; McEwen, S.A.; Rajić, A. A systematic review and meta-analysis of the effectiveness of biosecurity and vaccination in reducing Salmonella spp. in broiler chickens. Food Res. Int. 2012, 45, 617–627. [Google Scholar] [CrossRef]
- VHI. Covidence Systematic Review Software; Veritas Health Innovation Melbourne: Melbourne, Australia, 2019. [Google Scholar]
- Gross, A.; Schirm, S.; Scholz, M. Ycasd—A tool for capturing and scaling data from graphical representations. BMC Bioinform. 2014, 15, 219. [Google Scholar] [CrossRef]
- Higgins, J.; Altman, D.; Gøtzsche, P.; Jüni, P.; Moher, D.; Oxman, A.; Savović, J.; Schulz, K.F.; Weeks, L.; Sterne, J.A.C.; et al. The Cochrane Collaboration’s tool for assessing risk of bias in randomised trials. BMJ 2011, 343, d5928. [Google Scholar] [CrossRef] [PubMed]
- Higgins, J.; Eldridge, S.; Li, T. Chapter 23: Including variants on randomized trials. In Cochrane Handbook for Systematic Reviews of Interventions, version 6.1 (updated September 2020); John Wiley & Sons: Hoboken, NJ, USA, 2020. [Google Scholar]
- Hooijmans, C.R.; Rovers, M.M.; de Vries, R.B.M.; Leenaars, M.; Ritskes-Hoitinga, M.; Langendam, M.W. SYRCLE’s Risk of Bias Tool for Animal Studies. BMC Med. Res. Methodol. 2014, 14, 43. [Google Scholar] [CrossRef] [PubMed]
- Schünemann, H.B.J.; Guyatt, G.; Oxman, A. Handbook for Grading the Quality of Evidence and the Strength of Recommendations Using the GRADE Approach; Updated October 2013; GRADE Working Group: Rome, Italy, 2013. [Google Scholar]
- Bradburn, M.; Deeks, J.J.; Altman, D.G. Metan—An alternative meta-analysis command. Stata Tech. Bull. 1998, 44, 4–15. [Google Scholar]
- StataCorp. Stata Statistical Software: Release 13; StataCorp LP.: College Station, TX, USA, 2013. [Google Scholar]
- Higgins, J.P.T.; Li, T.; Deeks, J.J. Chapter 6: Effect measures and computing estimates of effect. In Cochrane Handbook for Systematic Reviews of Interventions, version 6.1 (updated September 2020); John Wiley & Sons: Hoboken, NJ, USA, 2020. [Google Scholar]
- López-López, J.A.; Page, M.; Lipsey, M.W.; Higgins, J. Dealing with effect size multiplicity in systematic reviews and meta-analyses. Res. Synth. Methods 2018, 9, 336–351. [Google Scholar] [CrossRef] [PubMed]
- DerSimonian, R.; Laird, N. Meta-analysis in clinical trials. Control. Clin. Trials 1986, 7, 177–188. [Google Scholar] [CrossRef]
- Deeks, J.J.; Higgins, J.; Altman, D.G. Chapter 10: Analysing data and undertaking meta-analyses. In Cochrane Handbook for Systematic Reviews of Interventions, version 6.0 (updated July 2019); John Wiley & Sons: Hoboken, NJ, USA, 2019. [Google Scholar]
- Ukoumunne, O.; Gulliford, M.; Chinn, S.; Sterne, J.; Burney, P. Method for evaluating area-wide and organisation-based interventions in health and health care: A systematic review. Health Technol. Assess. 1999, 3, iii-92. [Google Scholar] [CrossRef]
- Liberati, A.; Altman, D.G.; Tetzlaff, J.; Mulrow, C.; Gotzsche, P.C.; Ioannidis, J.P.A.; Clarke, M.; Devereaux, P.J.; Kleijnen, J.; Moher, D. The PRISMA Statement for Reporting Systematic Reviews and Meta-Analyses of Studies That Evaluate Healthcare Interventions: Explanation and Elaboration. BMJ 2009, 339, b2700. [Google Scholar] [CrossRef]
- Annamalai, T.; Pina-Mimbela, R.; Kumar, A.; Binjawadagi, B.; Liu, Z.; Renukaradhya, G.J.; Rajashekara, G. Evaluation of nanoparticle-encapsulated outer membrane proteins for the control of Campylobacter jejuni colonization in chickens. Poult. Sci. 2013, 92, 2201–2211. [Google Scholar] [CrossRef]
- Gorain, C.; Singh, A.; Bhattacharyya, S.; Kundu, A.; Lahiri, A.; Gupta, S.; Mallick, A.I. Mucosal delivery of live Lactococcus lactis expressing functionally active JlpA antigen induces potent local immune response and prevent enteric colonization of Campylobacter jejuni in chickens. Vaccine 2020, 38, 1630–1642. [Google Scholar] [CrossRef] [PubMed]
- Hodgins, D.C.; Barjesteh, N.; St Paul, M.; Ma, Z.; Monteiro, M.A.; Sharif, S. Evaluation of a polysaccharide conjugate vaccine to reduce colonization by Campylobacter jejuni in broiler chickens. BMC Res. Notes 2015, 8, 204. [Google Scholar] [CrossRef] [PubMed]
- Laniewski, P.; Kuczkowski, M.; Chrzastek, K.; Wozniak, A.; Wyszynska, A.; Wieliczko, A.; Jagusztyn-Krynicka, E.K. Evaluation of the immunogenicity of Campylobacter jejuni CjaA protein delivered by Salmonella enterica sv. Typhimurium strain with regulated delayed attenuation in chickens. World J. Microbiol. Biotechnol. 2014, 30, 281–292. [Google Scholar] [CrossRef] [PubMed]
- Meunier, M.; Guyard-Nicodeme, M.; Vigouroux, E.; Poezevara, T.; Beven, V.; Quesne, S.; Amelot, M.; Parra, A.; Chemaly, M.; Dory, D. A DNA prime/protein boost vaccine protocol developed against Campylobacter jejuni for poultry. Vaccine 2018, 36, 2119–2125. [Google Scholar] [CrossRef] [PubMed]
- Neal-McKinney, J.M.; Samuelson, D.R.; Eucker, T.P.; Nissen, M.S.; Crespo, R.; Konkel, M.E. Reducing Campylobacter jejuni Colonization of Poultry via Vaccination. PLoS ONE 2014, 9, 19. [Google Scholar] [CrossRef]
- Nothaft, H.; Perez-Munoz, M.E.; Gouveia, G.J.; Duar, R.M.; Wanford, J.J.; Lango-Scholey, L.; Panagos, C.G.; Srithayakumar, V.; Plastow, G.S.; Coros, C.; et al. Coadministration of the Campylobacter jejuni N-Glycan-Based Vaccine with Probiotics Improves Vaccine Performance in Broiler Chickens. Appl. Environ. Microbiol. 2017, 83, 21. [Google Scholar] [CrossRef]
- Nothaft, H.; Perez-Munoz, M.E.; Yang, T.F.; Murugan, A.V.M.; Miller, M.; Kolarich, D.; Plastow, G.S.; Walter, J.; Szymanski, C.M. Improving Chicken Responses to Glycoconjugate Vaccination against Campylobacter Jejuni. Front. Microbiol. 2021, 12, 734526. [Google Scholar] [CrossRef]
- Radomska, K.A.; Vaezirad, M.M.; Verstappen, K.M.; Wosten, M.; Wagenaar, J.A.; van Putten, J.P.M. Chicken Immune Response after In Ovo Immunization with Chimeric TLR5 Activating Flagellin of Campylobacter jejuni. PLoS ONE 2016, 11, 15. [Google Scholar] [CrossRef]
- Singh, A.; Nisaa, K.; Bhattacharyya, S.; Mallick, A.I. Immunogenicity and protective efficacy of mucosal delivery of recombinant hcp of Campylobacter jejuni Type VI secretion system (T6SS) in chickens. Mol. Immunol. 2019, 111, 182–197. [Google Scholar] [CrossRef]
- Taha-Abdelaziz, K.; Hodgins, D.C.; Alkie, T.N.; Quinteiro, W.; Yitbarek, A.; Astill, J.; Sharif, S. Oral administration of PLGA-encapsulated CpG ODN and Campylobacter jejuni lysate reduces cecal colonization by Campylobacter jejuni in chickens. Vaccine 2018, 36, 388–394. [Google Scholar] [CrossRef]
- Vandeputte, J.; Martel, A.; Van Rysselberghe, N.; Antonissen, G.; Verlinden, M.; De Zutter, L.; Heyndrickx, M.; Haesebrouck, F.; Pasmans, F.; Garmyn, A. In ovo vaccination of broilers against Campylobacter jejuni using a bacterin and subunit vaccine. Poult. Sci. 2019, 98, 5999–6004. [Google Scholar] [CrossRef] [PubMed]
- Vandeputte, J.; Martel, A.; Antonissen, G.; Verlinden, M.; De Zutter, L.; Heyndrickx, M.; Haesebrouck, F.; Pasmans, F.; Garmyn, A. Research Note: Lyophilization of hyperimmune egg yolk: Effect on antibody titer and protection of broilers against Campylobacter colonization. Poult. Sci. 2020, 99, 2157–2161. [Google Scholar] [CrossRef] [PubMed]
- Acevedo-Villanueva, K.Y.; Lester, B.; Renu, S.; Han, Y.; Shanmugasundaram, R.; Gourapura, R.; Selvaraj, R. Efficacy of chitosan-based nanoparticle vaccine administered to broiler birds challenged with Salmonella. PLoS ONE 2020, 15, e0231998. [Google Scholar] [CrossRef] [PubMed]
- Acevedo-Villanueva, K.; Renu, S.; Gourapura, R.; Selvaraj, R. Efficacy of a nanoparticle vaccine administered in-ovo against Salmonella in broilers. PLoS ONE 2021, 16, e0247938. [Google Scholar] [CrossRef] [PubMed]
- Acevedo-Villanueva, K.Y.; Renu, S.; Shanmugasundaram, R.; Akerele, G.O.; Gourapura, R.J.; Selvaraj, R.K. Slmonella chitosan nanoparticle vaccine administration is protective against Salmonella Enteritidis in broiler birds. PLoS ONE 2021, 16, e0259334. [Google Scholar] [CrossRef]
- Chalghoumi, R.; Marcq, C.; Thewis, A.; Portetelle, D.; Beckers, Y. Effects of feed supplementation with specific hen egg yolk antibody (immunoglobin Y) on Salmonella species cecal colonization and growth performances of challenged broiler chickens. Poult. Sci. 2009, 88, 2081–2092. [Google Scholar] [CrossRef]
- De Cort, W.; Geeraerts, S.; Balan, V.; Elroy, M.; Haesebrouck, F.; Ducatelle, R.; Van Immerseel, F. A Salmonella Enteritidis hilAssrAfliG deletion mutant is a safe live vaccine strain that confers protection against colonization by Salmonella Enteritidis in broilers. Vaccine 2013, 31, 5104–5110. [Google Scholar] [CrossRef] [PubMed]
- De Cort, W.; Mot, D.; Haesebrouck, F.; Ducatelle, R.; Van Immerseel, F. A colonisation-inhibition culture consisting of Salmonella Enteritidis and Typhimurium Delta hilAssrAfliG strains protects against infection by strains of both serotypes in broilers. Vaccine 2014, 32, 4633–4638. [Google Scholar] [CrossRef][Green Version]
- De Cort, W.; Haesebrouck, F.; Ducatelle, R.; van Immerseel, F. Administration of a Salmonella Enteritidis Delta hilAssrAfliG strain by coarse spray to newly hatched broilers reduces colonization and shedding of a Salmonella Enteritidis challenge strain. Poult. Sci. 2015, 94, 131–135. [Google Scholar] [CrossRef] [PubMed]
- El-Ghany, W.A.A.; El-Shafii, S.S.A.; Hatem, M.E.; Dawood, R.E. A trial to prevent Salmonella Enteritidis infection in broiler chickens using autogenous bacterin compared with probiotic preparation. J. Agric. Sci. 2012, 4, 91–108. [Google Scholar] [CrossRef]
- El-Shall, N.A.; Awad, A.M.; Abd El-Hack, M.E.; Naiel, M.A.E.; Othman, S.I.; Allam, A.A.; Sedeik, M.E. The Simultaneous Administration of a Probiotic or Prebiotic with Live Salmonella Vaccine Improves Growth Performance and Reduces Fecal Shedding of the Bacterium in Salmonella-Challenged Broilers. Animals 2020, 10, 70. [Google Scholar] [CrossRef] [PubMed]
- Han, Y.; Renu, S.; Patil, V.; Schrock, J.; Feliciano-Ruiz, N.; Selvaraj, R.; Renukaradhya, G.J. Immune Response to Salmonella Enteritidis Infection in Broilers Immunized Orally With Chitosan-Based Salmonella Subunit Nanoparticle Vaccine. Front. Immunol. 2020, 11, 935. [Google Scholar] [CrossRef] [PubMed]
- Han, Y.; Renu, S.; Patil, V.; Schrock, J.; Feliciano-Ruiz, N.; Selvaraj, R.; Renukaradhya, G.J. Mannose-Modified Chitosan-Nanoparticle-Based Salmonella Subunit OralVaccine-Induced Immune Response and Efficacy in a Challenge Trial in Broilers. Vaccines 2020, 8, 299. [Google Scholar] [CrossRef] [PubMed]
- Isfahani, N.H.; Rahimi, S.; Rasaee, M.J.; Torshizi, M.A.K.; Salehi, T.Z.; Grimes, J.L. The effect of capsulated and noncapsulated egg-yolk-specific antibody to reduce colonization in the intestine of Salmonella enterica ssp. enterica serovar Infantis-challenged broiler chickens. Poult. Sci. 2020, 99, 1387–1394. [Google Scholar] [CrossRef]
- Jones, M.K.; Da Costa, M.; Hofacre, C.L.; Baxter, V.A.; Cookson, K.; Schaeffer, J.; Barker, A.; Dickson, J.; Berghaus, R.D. Evaluation of a modified live Salmonella Typhimurium vaccination efficacy against Salmonella enterica serovar Infantis in broiler chickens at processing age. J. Appl. Poult. Res. 2021, 30, 100156. [Google Scholar] [CrossRef]
- Muniz, E.C.; Verdi, R.; Leao, J.A.; Back, A.; do Nascimento, V.P. Evaluation of the effectiveness and safety of a genetically modified live vaccine in broilers challenged with Salmonella Heidelberg. Avian Pathol. 2017, 46, 676–682. [Google Scholar] [CrossRef]
- Pavic, A.; Groves, P.J.; Cox, J.M. Utilization of a novel autologous killed tri-vaccine (serogroups B Typhimurium, C Mbandaka and E Orion) for Salmonella control in commercial poultry breeders. Avian Pathol. 2010, 39, 31–39. [Google Scholar] [CrossRef]
- Rubinelli, P.M.; Lee, S.I.; Roto, S.M.; Park, S.H.; Ricke, S.C. Regulated expression of virulence gene mviN provides protective immunity and colonization control of Salmonella in poultry. Vaccine 2015, 33, 5365–5370. [Google Scholar] [CrossRef]
- Teixeira, M.D.; Lages, D.H.; Alves, V.V.; Martins, N.R.D.; Neto, O.C.D. Assessment of maternal immunity against Salmonella enterica serovar Heidelberg in progeny of broiler breeders vaccinated with different formulations of bacterins. Avian Pathol. 2022, 51, 197–205. [Google Scholar] [CrossRef]
- Wolfenden, R.E.; Layton, S.L.; Wolfenden, A.D.; Khatiwara, A.; Gaona-Ramirez, G.; Pumford, N.R.; Cole, K.; Kwon, Y.M.; Tellez, G.; Bergman, L.R.; et al. Development and evaluation of candidate recombinant Salmonella-vectored Salmonella vaccines. Poult. Sci. 2010, 89, 2370–2379. [Google Scholar] [CrossRef]
- Yamawaki, R.A.; Rubio, M.D.; Alves, L.B.R.; de Almeida, A.M.; Ferreira, T.S.; Berchieri, A.; Penha, R.A.C. Evaluation of transfer of maternal immunity to the offspring of broiler breeders vaccinated with a candidate recombinant vaccine against Salmonella Enteritidis. Vaccine 2021, 39, 2408–2415. [Google Scholar] [CrossRef] [PubMed]
- Berghaus, R.D.; Baxter, V.A.; Jones, M.K.; Hofacre, C.L. Intra-cluster correlations for ceca Salmonella prevalence and enumeration from 40 experimental floor pen trials in broiler chickens using a seeder bird challenge model. Poult. Sci. 2022, 101, 102102. [Google Scholar] [CrossRef] [PubMed]
- CDC. Campylobacter (Campylobacteriosis). 2022. Available online: https://www.cdc.gov/campylobacter/index.html (accessed on 1 September 2022).
- Rabie, N.S.; Girh, Z.M.S.A. Bacterial vaccines in poultry. Bull Natl Res Cent 2020, 44, 15. [Google Scholar] [CrossRef] [PubMed]
- Desin, T.S.; Köster, W.; Potter, A.A. Salmonella vaccines in poultry: Past, present and future. Expert Rev. Vaccines 2013, 12, 87–96. [Google Scholar] [CrossRef] [PubMed]
- Kang, X.; Huang, T.; Shen, H.; Meng, C.; Jiao, X.; Pan, Z. Salmonella Enteritidis Subunit Vaccine Candidate Based on SseB Protein Co-Delivered with Simvastatin as Adjuvant. Pathogens 2022, 11, 443. [Google Scholar] [CrossRef] [PubMed]
- Borenstein, M.; Hedges, L.V.; Higgins, J.P.T.; Rothstein, H.R. Introduction to Meta-Analysis; John Wiley & Sons, Ltd.: Hoboken, NJ, USA, 2009. [Google Scholar]
- Thompson, S.; Higgins, J. How should meta-regression analyses be undertaken and interpreted? Stat. Med. 2002, 21, 1559–1573. [Google Scholar] [CrossRef] [PubMed]
- O’Connor, A.; Sargeant, J.; Gardner, I.; Dickson, J.S.; Torrence, M.E.; Dewey, C.; Dohoo, I.R.; Evans, R.; Gray, J.T.; Greiner, M.; et al. The REFLECT Statement: Methods and Processes of Creating Reporting Guidelines for Randomized Controlled Trials for Livestock and Food Safety. J. Vet. Intern. Med. / Am. Coll. Vet. Intern. Med. 2009, 24, 57–64. [Google Scholar] [CrossRef] [PubMed]
- Monya, B. Animal registries aim to reduce bias. Nature 2019, 527, 297–298. [Google Scholar] [CrossRef]
- Bert, B.; Heinl, C.; Chmielewska, J.; Schwarz, F.; Grune, B.; Hensel, A.; Greiner, M.; Schönfelder, G. Refining animal research: The Animal Study Registry. PLoS Biol. 2019, 17, e3000463. [Google Scholar] [CrossRef]



| Number of Studies Excluded | Justification for Exclusion of Study |
|---|---|
| 6 | Duplicate Study |
| 31 | Not in English |
| 6 | Article Type: Not Primary Research |
| 121 | Full Text Unobtainable |
| 143 | [POPULATION] Population Irrelevant |
| 56 | [POPULATION] Setting Irrelevant (Not Production/Processing) |
| 32 | [INTERVENTION] No or Wrong Intervention |
| 33 | [COMPARATOR] No Concurrent Comparator or Control |
| 61 | [OUTCOME] Outcome Irrelevant (Not Campylobacter and Salmonella) |
| 38 | [OUTCOME] Reported outcomes insufficiently detailed |
| 39 | [METHODS] Insufficient Detail for Replication of Study |
| 13 | [METHODS] Laboratory Methods Inappropriate |
| 579 | Total number of studies excluded during full-text screening |
Publisher’s Note: MDPI stays neutral with regard to jurisdictional claims in published maps and institutional affiliations. |
© 2022 by the authors. Licensee MDPI, Basel, Switzerland. This article is an open access article distributed under the terms and conditions of the Creative Commons Attribution (CC BY) license (https://creativecommons.org/licenses/by/4.0/).
Share and Cite
Castelo Taboada, A.C.; Pavic, A. Vaccinating Meat Chickens against Campylobacter and Salmonella: A Systematic Review and Meta-Analysis. Vaccines 2022, 10, 1936. https://doi.org/10.3390/vaccines10111936
Castelo Taboada AC, Pavic A. Vaccinating Meat Chickens against Campylobacter and Salmonella: A Systematic Review and Meta-Analysis. Vaccines. 2022; 10(11):1936. https://doi.org/10.3390/vaccines10111936
Chicago/Turabian StyleCastelo Taboada, Adriana C., and Anthony Pavic. 2022. "Vaccinating Meat Chickens against Campylobacter and Salmonella: A Systematic Review and Meta-Analysis" Vaccines 10, no. 11: 1936. https://doi.org/10.3390/vaccines10111936
APA StyleCastelo Taboada, A. C., & Pavic, A. (2022). Vaccinating Meat Chickens against Campylobacter and Salmonella: A Systematic Review and Meta-Analysis. Vaccines, 10(11), 1936. https://doi.org/10.3390/vaccines10111936































































