Effects of Yeast Culture on Laying Performance, Antioxidant Properties, Intestinal Morphology, and Intestinal Flora of Laying Hens
Abstract
1. Introduction
2. Materials and Methods
2.1. Diets, Experimental Design, and Hens
2.2. Measurements of Laying Eggs
2.2.1. The Laying Rate of Eggs
2.2.2. The Quality of Eggs
2.3. Determination of Antioxidant Capacity
2.4. Analysis of Intestinal Mucosal Structure
2.5. Analysis of Gut Microbiota
2.6. Statistical Analysis
3. Results
3.1. Effects of Yeast Culture (YC) Supplementation to Diet on Egg Production Performance of Laying Hens
3.2. Effects of YC Supplementation to Diet on Egg Quality of Laying Hens
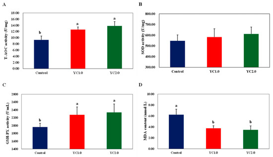
3.3. Effects of YC Supplementation to Diet on Serum Antioxidant Capacity of Laying Hens
3.4. Effects of YC Supplementation to Diet on Intestinal Mucosal Structure of Laying Hens
3.5. Effects of YC Supplementation to Diet on Cecal Microbiota Composition of Laying Hens
4. Discussion
4.1. Effects of YC Supplementation to Diet on Egg Production Performance of Laying Hens
4.2. Effects of YC Supplementation to Diet on Egg Quality of Laying Hens
4.3. Effects of YC Supplementation to Diet on Serum Antioxidant Capacity of Laying Hens
4.4. Effects of YC Supplementation to Diet on Intestinal Mucosal Structure of Laying Hens
4.5. Effects of YC Supplementation to Diet on Cecal Microbiota Composition of Laying Hens
5. Conclusions
Supplementary Materials
Author Contributions
Funding
Institutional Review Board Statement
Informed Consent Statement
Data Availability Statement
Conflicts of Interest
References
- Elahi, E.; Li, G.; Han, X.; Zhu, W.; Liu, Y.; Cheng, A.; Yang, Y. Decoupling Livestock and Poultry Pollution Emissions from Industrial Development: A Step Towards Reducing Environmental Emissions. J. Environ. Manag. 2024, 350, 119654. [Google Scholar] [CrossRef]
- Pandey, S.; Doo, H.; Keum, G.B.; Kim, E.S.; Kwak, J.; Ryu, S.; Choi, Y.; Kang, J.; Kim, S.; Lee, N.R.; et al. Antibiotic Resistance in Livestock, Environment and Humans: One Health Perspective. J. Anim. Sci. Technol. 2024, 66, 266–278. [Google Scholar] [CrossRef]
- Da Silva, R.A.; Arenas, N.E.; Luiza, V.L.; Bermudez, J.A.Z.; Clarke, S.E. Regulations on the Use of Antibiotics in Livestock Production in South America: A Comparative Literature Analysis. Antibiotics 2023, 12, 1303. [Google Scholar] [CrossRef]
- Cardinal, K.M.; Andretta, I.; da Silva, M.K.; Stefanello, T.B.; Schroeder, B.; Ribeiro, A.M.L. Estimation of Productive Losses Caused by Withdrawal of Antibiotic Growth Promoter from Pig Diets—Meta-Analysis. Sci. Agricola 2021, 78, e20200266. [Google Scholar] [CrossRef]
- Wang, C.; Fan, J.; Ma, K.; Wang, H.; Li, D.; Li, T.; Ma, Y. Effects of Adding Allium Mongolicum Regel Powder and Yeast Cultures to Diet on Rumen Microbial Flora of Tibetan Sheep (Ovis aries). Front. Veter- Sci. 2024, 11, 1283437. [Google Scholar] [CrossRef]
- Liu, Y.; Cheng, X.; Zhen, W.; Zeng, D.; Qu, L.; Wang, Z.; Ning, Z. Yeast Culture Improves Egg Quality and Reproductive Performance of Aged Breeder Layers by Regulating Gut Microbes. Front. Microbiol. 2021, 12, 633276. [Google Scholar] [CrossRef]
- Dias, J.D.; Silva, R.B.; Fernandes, T.; Barbosa, E.F.; Graças, L.E.; Araujo, R.C.; Pereira, R.A.; Pereira, M.N. Yeast Culture Increased Plasma Niacin Concentration, Evaporative Heat Loss, and Feed Efficiency of Dairy Cows in a Hot Environment. J. Dairy Sci. 2018, 101, 5924–5936. [Google Scholar] [CrossRef]
- Stella, A.; Paratte, R.; Valnegri, L.; Cigalino, G.; Soncini, G.; Chevaux, E.; Dell’orto, V.; Savoini, G. Effect of Administration of Live Saccharomyces Cerevisiae on Milk Production, Milk Composition, Blood Metabolites, and Faecal Flora in Early Lactating Dairy Goats. Small Rumin. Res. 2007, 67, 7–13. [Google Scholar] [CrossRef]
- Waititu, S.; Yin, F.; Patterson, R.; Yitbarek, A.; Rodriguez-Lecompte, J.; Nyachoti, C. Dietary Supplementation with a Nucleotide-Rich Yeast Extract Modulates Gut Immune Response and Microflora in Weaned Pigs in Response to a Sanitary Challenge. Animal 2017, 11, 2156–2164. [Google Scholar] [CrossRef]
- Attia, Y.A.; Al-Khalaifah, H.; Ibrahim, M.S.; Al-Hamid, A.E.A.; Al-Harthi, M.A.; El-Naggar, A. Blood Hematological and Biochemical Constituents, Antioxidant Enzymes, Immunity and Lymphoid Organs of Broiler Chicks Supplemented with Propolis, Bee Pollen and Mannan Oligosaccharides Continuously or Intermittently. Poult. Sci. 2017, 96, 4182–4192. [Google Scholar] [CrossRef]
- Shen, Y.B.; Piao, X.S.; Kim, S.W.; Wang, L.; Liu, P.; Yoon, I.; Zhen, Y.G. Effects of Yeast Culture Supplementation on Growth Performance, Intestinal Health, and Immune Response of Nursery Pigs. J. Anim. Sci. 2009, 87, 2614–2624. [Google Scholar] [CrossRef] [PubMed]
- Mukherjee, A.; Verma, J.P.; Gaurav, A.K.; Chouhan, G.K.; Patel, J.S.; Hesham, A.E.-L. Yeast a Potential Bio-Agent: Future for Plant Growth and Postharvest Disease Management for Sustainable Agriculture. Appl. Microbiol. Biotechnol. 2020, 104, 1497–1510. [Google Scholar] [CrossRef] [PubMed]
- Nandy, S.K.; Srivastava, R. A Review on Sustainable Yeast Biotechnological Processes and Applications. Microbiol. Res. 2018, 207, 83–90. [Google Scholar] [CrossRef] [PubMed]
- Alagawany, M.; Bilal, R.M.; Elnesr, S.S.; Elwan, H.A.M.; Farag, M.R.; Dhama, K.; Naiel, M.A.E. Yeast in Layer Diets: Its Effect on Production, Health, Egg Composition and Economics. World’s Poult. Sci. J. 2023, 79, 135–153. [Google Scholar] [CrossRef]
- Zhang, J.; Wan, K.; Xiong, Z.; Luo, H.; Zhou, Q.; Liu, A.; Cao, T.; He, H. Effects of Dietary Yeast Culture Supplementation on the Meat Quality and Antioxidant Capacity of Geese. J. Appl. Poult. Res. 2021, 30, 100116. [Google Scholar] [CrossRef]
- Özsoy, B.; Karadağoğlu, Ö.; Yakan, A.; Önk, K.; Çelik, E.; Şahin, T. The Role of Yeast Culture (Saccharomyces cerevisiae) on Performance, Egg Yolk Fatty Acid Composition, and Fecal Microflora of Laying Hens. Rev. Bras. Zootec. 2018, 47, e20170159. [Google Scholar] [CrossRef]
- Zhang, J.-C.; Chen, P.; Zhang, C.; Khalil, M.M.; Zhang, N.-Y.; Qi, D.-S.; Wang, Y.-W.; Sun, L.-H. Yeast Culture Promotes the Production of Aged Laying Hens by Improving Intestinal Digestive Enzyme Activities and the Intestinal Health Status. Poult. Sci. 2020, 99, 2026–2032. [Google Scholar] [CrossRef] [PubMed]
- Liu, J.; Jin, Y.; Yang, J. Influence of Spent Ginger Yeast Cultures on the Production Performance, Egg Quality, Serum Composition, and Intestinal Microbiota of Laying Hens. Anim. Biosci. 2022, 35, 1205–1214. [Google Scholar] [CrossRef] [PubMed]
- Zhong, S.; Liu, H.; Zhang, H.; Han, T.; Jia, H.; Xie, Y. Effects of Kluyveromyces Marxianus Isolated from Tibetan Mushrooms on the Plasma Lipids, Egg Cholesterol Level, Egg Quality and Intestinal Health of Laying Hens. Rev. Bras. Cienc. Avic. Braz. J. Poult. Sci. 2016, 18, 261–268. [Google Scholar] [CrossRef]
- Jensen, G.; Patterson, K.; Yoon, I. Yeast Culture Has Anti-Inflammatory Effects and Specifically Activates NK Cells. Comp. Immunol. Microbiol. Infect. Dis. 2008, 31, 487–500. [Google Scholar] [CrossRef]
- Bilal, R.M.; Elwan, H.A.M.; Elnesr, S.S.; Farag, M.R.; El-Shall, N.A.; Ismail, T.A.; Alagawany, M. Use of Yeast and Its Derived Products in Laying Hens: An Updated Review. World’s Poult. Sci. J. 2022, 78, 1087–1104. [Google Scholar] [CrossRef]
- Yalçin, S.; Özsoy, B.; Erol, H. Yeast Culture Supplementation to Laying Hen Diets Containing Soybean Meal or Sunflower Seed Meal and Its Effect on Performance, Egg Quality Traits, and Blood Chemistry. J. Appl. Poult. Res. 2008, 17, 229–236. [Google Scholar] [CrossRef]
- Ibtisham, F.; Nawab, A.; Niu, Y.; Wang, Z.; Wu, J.; Xiao, M.; An, L. The Effect of Ginger Powder and Chinese Herbal Medicine on Production Performance, Serum Metabolites and Antioxidant Status of Laying Hens under Heat-Stress Condition. J. Therm. Biol. 2019, 81, 20–24. [Google Scholar] [CrossRef]
- Tsikas, D. Assessment of Lipid Peroxidation by Measuring Malondialdehyde (MDA) and Relatives in Biological Samples: Analytical and Biological Challenges. Anal. Biochem. 2017, 524, 13–30. [Google Scholar] [CrossRef] [PubMed]
- Qin, L.; Ji, W.; Wang, J.; Li, B.; Hu, J.; Wu, X. Effects of Dietary Supplementation with Yeast Glycoprotein on Growth Performance, Intestinal Mucosal Morphology, Immune Response and Colonic Microbiota in Weaned Piglets. Food Funct. 2019, 10, 2359–2371. [Google Scholar] [CrossRef] [PubMed]
- He, W.; Gao, Y.; Guo, Z.; Yang, Z.; Wang, X.; Liu, H.; Sun, H.; Shi, B. Effects of Fermented Wheat Bran and Yeast Culture on Growth Performance, Immunity, and Intestinal Microflora in Growing-Finishing Pigs. J. Anim. Sci. 2021, 99, skab308. [Google Scholar] [CrossRef] [PubMed]
- Ogbuewu, I.P.; Okoro, V.M.; Mbajiorgu, E.F.; Mbajiorgu, C.A. Yeast (Saccharomyces cerevisiae) and Its Effect on Production Indices of Livestock and Poultry—A Review. Comp. Clin. Pathol. 2019, 28, 669–677. [Google Scholar] [CrossRef]
- Caspary, W.F. Physiology and Pathophysiology of Intestinal Absorption. Am. J. Clin. Nutr. 1992, 55 (Suppl. S1), 299S–308S. [Google Scholar] [CrossRef] [PubMed]
- Gao, J.; Zhang, H.J.; Yu, S.H.; Wu, S.G.; Yoon, I.; Quigley, J.; Gao, Y.P.; Qi, G.H. Effects of Yeast Culture in Broiler Diets on Performance and Immunomodulatory Functions. Poult. Sci. 2008, 87, 1377–1384. [Google Scholar] [CrossRef]
- Liu, G.; Yu, L.; Martínez, Y.; Ren, W.; Ni, H.; Al-Dhabi, N.A.; Duraipandiyan, V.; Yin, Y. Dietary Saccharomyces cerevisiae Cell Wall Extract Supplementation Alleviates Oxidative Stress and Modulates Serum Amino Acids Profiles in Weaned Piglets. Oxidative Med. Cell. Longev. 2017, 2017, 3967439. [Google Scholar] [CrossRef]
- Zhang, J.; Yuan, Y.; Wang, F.; He, H.; Wan, K.; Liu, A. Effect of Yeast Culture Supplementation on Blood Characteristics, Body Development, Intestinal Morphology, and Enzyme Activities in Geese. J. Anim. Physiol. Anim. Nutr. 2022, 107, 598–606. [Google Scholar] [CrossRef]
- Castillo, M.; Martín-Orúe, S.M.; Taylor-Pickard, J.A.; Pérez, J.F.; Gasa, J. Use of Mannanoligosaccharides and Zinc Chelate as Growth Promoters and Diarrhea Preventative in Weaning Pigs: Effects on Microbiota and Gut Function. J. Anim. Sci. 2008, 86, 94–101. [Google Scholar] [CrossRef]
- Wang, H.; Jia, G.; Chen, Z.-L.; Huang, L.; Wu, C.-M.; Wang, K.-N. The Effect of Glycyl-Glutamine Dipeptide Concentration on Enzyme Activity, Cell Proliferation and Apoptosis of Jejunal Tissues from Weaned Piglets. Agric. Sci. China 2011, 10, 1088–1095. [Google Scholar] [CrossRef]
- Che, L.; Hu, L.; Liu, Y.; Yan, C.; Peng, X.; Xu, Q.; Wang, R.; Cheng, Y.; Chen, H.; Fang, Z.; et al. Dietary Nucleotides Supplementation Improves the Intestinal Development and Immune Function of Neonates with Intra-Uterine Growth Restriction in a Pig Model. PLoS ONE 2016, 11, e0157314. [Google Scholar] [CrossRef]
- Sindaye, D.; Xiao, Z.; Wen, C.; Yang, K.; Zhang, L.; Liao, P.; Zhang, F.; Xin, Z.; He, S.; Ye, S.; et al. Exploring the Effects of Lysozyme Dietary Supplementation on Laying Hens: Performance, Egg Quality, and Immune Response. Front. Vet. Sci. 2023, 10, 1273372. [Google Scholar] [CrossRef]
- Videnska, P.; Sedlar, K.; Lukac, M.; Faldynova, M.; Gerzova, L.; Cejkova, D.; Sisak, F.; Rychlik, I. Succession and Replacement of Bacterial Populations in the Caecum of Egg Laying Hens over Their Whole Life. PLoS ONE 2014, 9, e115142. [Google Scholar] [CrossRef]
- Dai, D.; Qi, G.H.; Wang, J.; Zhang, H.J.; Qiu, K.; Wu, S.G. Intestinal Microbiota of Layer Hens and Its Association with Egg Quality and Safety. Poult. Sci. 2022, 101, 102008. [Google Scholar] [CrossRef]
- Hamid, H.; Zhang, J.; Li, W.; Liu, C.; Li, M.; Zhao, L.; Ji, C.; Ma, Q. Interactions between the Cecal Microbiota and Non-Alcoholic Steatohepatitis Using Laying Hens as the Model. Poult. Sci. 2019, 98, 2509–2521. [Google Scholar] [CrossRef]
- Joat, N.; Van, T.T.H.; Stanley, D.; Moore, R.J.; Chousalkar, K. Temporal dynamics of gut microbiota in caged laying hens: A field observation from hatching to end of lay. Appl. Microbiol. Biotechnol. 2021, 105, 4719–4730. [Google Scholar] [CrossRef]
- Miao, L.; Gong, Y.; Li, H.; Xie, C.; Xu, Q.; Dong, X.; Elwan, H.A.; Zou, X. Alterations in Cecal Microbiota and Intestinal Barrier Function of Laying Hens Fed on Fluoride Supplemented Diets. Ecotoxicol. Environ. Saf. 2020, 193, 110372. [Google Scholar] [CrossRef]
- Panasevich, M.R.; Meers, G.M.; Linden, M.A.; Booth, F.W.; Perfield, J.W., II; Fritsche, K.L.; Wankhade, U.D.; Chintapalli, S.V.; Shankar, K.; Ibdah, J.A.; et al. High-fat, high-fructose, high-cholesterol feeding causes severe Nash and cecal microbiota dysbiosis in juvenile Ossabaw swine. Am. J. Physiol. Endocrinol. Metab. 2018, 314, E78–E92. [Google Scholar] [CrossRef] [PubMed]
- Xu, X.; Dai, M.; Lao, F.; Chen, F.; Hu, X.; Liu, Y.; Wu, J. Effect of Glucoraphanin from Broccoli Seeds on Lipid Levels and Gut Microbiota in High-Fat Diet-Fed Mice. J. Funct. Foods 2020, 68, 103858. [Google Scholar] [CrossRef]
- Bi, Y.; Tu, Y.; Zhang, N.; Wang, S.; Zhang, F.; Suen, G.; Shao, D.; Li, S.; Diao, Q. Multiomics Analysis Reveals the Presence of a Microbiome in the Gut of Fetal Lambs. Gut 2021, 70, 853–864. [Google Scholar] [CrossRef]
- Tian, Y.; Li, G.; Zhang, S.; Zeng, T.; Chen, L.; Tao, Z.; Lu, L. Dietary Supplementation with Fermented Plant Product Modulates Production Performance, Egg Quality, Intestinal Mucosal Barrier, and Cecal Microbiota in Laying Hens. Front. Microbiol. 2022, 13, 955115. [Google Scholar] [CrossRef]
- Wu, C.-C.; Weng, W.-L.; Lai, W.-L.; Tsai, H.-P.; Liu, W.-H.; Lee, M.-H.; Tsai, Y.-C. Effect of Lactobacillus plantarum Strain K21 on High-Fat Diet-Fed Obese Mice. Evid.-Based Complement. Altern. Med. 2015, 2015, 391767. [Google Scholar] [CrossRef]



| Items | Content (%) |
|---|---|
| Ingredients | |
| Corn | 60.7 |
| Soybean | 23.5 |
| Soybean oil | 1 |
| CaCO3 | 9 |
| CaHPO4 | 0.8 |
| Premix | 5 |
| Total | 100 |
| Nutrient content | |
| Metabolizable energy (MJ/kg) | 10.93 |
| Crude protein | 16.09 |
| Lysine | 0.78 |
| Methionine and Cystine | 0.52 |
| Calcium | 3.55 |
| Available Phosphorus | 0.52 |
| Items | Control | YC1.0 | YC2.0 | SEM | p Value |
|---|---|---|---|---|---|
| Egg laying rate (%) | 90.25 ± 1.36 b | 91.78 ± 1.25 ab | 92.62 ± 1.33 a | 0.408 | 0.042 |
| Average daily feed intake (g) | 127.49 ± 3.87 | 124.56 ± 4.46 | 123.61 ± 3.13 | 1.023 | 0.290 |
| Average egg weight (g) | 61.54 ± 0.64 | 62.43 ± 0.30 | 62.05 ± 0.96 | 0.190 | 0.162 |
| Ratio of feed to egg | 2.29 ± 0.03 a | 2.19 ± 0.06 a | 2.15 ± 0.09 b | 0.022 | 0.019 |
| Broken egg rate (%) | 1.15 ± 0.23 a | 0.42 ± 0.23 b | 0.26 ± 0.18 b | 0.116 | <0.001 |
| Items | Control | YC1.0 | YC2.0 | SEM | p Value |
|---|---|---|---|---|---|
| Shape index | 1.32 ± 0.06 | 1.32 ± 0.04 | 1.32 ± 0.06 | 0.003 | 0.842 |
| Yolk ratio (%) | 27.84 ± 1.15 | 28.11 ± 1.58 | 28.97 ± 1.26 | 0.346 | 0.412 |
| Eggshell ratio (%) | 10.31 ± 0.21 | 10.48 ± 0.23 | 10.58 ± 0.83 | 0.126 | 0.693 |
| Albumen height (mm) | 6.78 ± 0.30 b | 7.44 ± 0.34 a | 7.48 ± 0.30 a | 0.114 | 0.007 |
| Haugh unit | 83.17 ± 1.96 b | 87.07 ± 1.51 a | 87.31 ± 1.98 a | 0.669 | 0.006 |
| Egg white moisture (%) | 87.46 ± 0.40 | 87.82 ± 0.53 | 87.37 ± 0.34 | 0.115 | 0.250 |
| Egg yolk moisture (%) | 45.81 ± 0.35 | 45.37 ± 0.35 | 44.99 ± 1.04 | 0.183 | 0.186 |
| Fat content (%) | 8.08 ± 0.37 | 8.34 ± 0.49 | 8.49 ± 0.52 | 0.121 | 0.402 |
| Protein content in egg white (%) | 9.54 ± 0.32 | 9.54 ± 0.37 | 9.99 ± 0.24 | 0.094 | 0.067 |
| Protein content in egg yolk (%) | 16.85 ± 0.18 b | 17.28 ± 0.55 ab | 17.57 ± 0.34 a | 0.121 | 0.039 |
| Items | Control | YC1.0 | YC2.0 | SEM | p Value | |
|---|---|---|---|---|---|---|
| Duodenum | Villus height (µm) | 1040.39 ± 93.32 b | 1226.71 ± 140.77 a | 1274.25 ± 108.21 a | 38.651 | 0.018 |
| Crypt depth (µm) | 139.77 ± 9.07 | 134.41 ± 10.59 | 131.04 ± 8.34 | 2.439 | 0.363 | |
| Villus/Crypt | 7.48 ± 0.99 b | 9.12 ± 0.73 a | 9.73 ± 0.70 a | 0.321 | 0.003 | |
| Jejunum | Villus height (µm) | 833.49 ± 120.03 | 932.63 ± 121.38 | 982.61 ± 90.40 | 31.386 | 0.141 |
| Crypt depth (µm) | 140.95 ± 13.69 | 129.24 ± 21.76 | 130.20 ± 8.72 | 4.006 | 0.447 | |
| Villus/Crypt | 5.95 ± 0.94 b | 7.30 ± 1.08 a | 7.55 ± 0.57 a | 0.285 | 0.031 | |
| Ileum | Villus height (µm) | 573.08 ± 106.65 | 659.34 ± 107.01 | 648.33 ± 102.28 | 27.185 | 0.399 |
| Crypt depth (µm) | 109.67 ± 19.07 | 103.45 ± 8.61 | 101.48 ± 9.94 | 3.330 | 0.612 | |
| Villus/Crypt | 5.33 ± 1.20 | 6.39 ± 0.99 | 6.40 ± 0.91 | 0.282 | 0.217 | |
Disclaimer/Publisher’s Note: The statements, opinions and data contained in all publications are solely those of the individual author(s) and contributor(s) and not of MDPI and/or the editor(s). MDPI and/or the editor(s) disclaim responsibility for any injury to people or property resulting from any ideas, methods, instructions or products referred to in the content. |
© 2024 by the authors. Licensee MDPI, Basel, Switzerland. This article is an open access article distributed under the terms and conditions of the Creative Commons Attribution (CC BY) license (https://creativecommons.org/licenses/by/4.0/).
Share and Cite
Qiu, Q.; Zhan, Z.; Zhou, Y.; Zhang, W.; Gu, L.; Wang, Q.; He, J.; Liang, Y.; Zhou, W.; Li, Y. Effects of Yeast Culture on Laying Performance, Antioxidant Properties, Intestinal Morphology, and Intestinal Flora of Laying Hens. Antioxidants 2024, 13, 779. https://doi.org/10.3390/antiox13070779
Qiu Q, Zhan Z, Zhou Y, Zhang W, Gu L, Wang Q, He J, Liang Y, Zhou W, Li Y. Effects of Yeast Culture on Laying Performance, Antioxidant Properties, Intestinal Morphology, and Intestinal Flora of Laying Hens. Antioxidants. 2024; 13(7):779. https://doi.org/10.3390/antiox13070779
Chicago/Turabian StyleQiu, Quan, Zhichun Zhan, Ying Zhou, Wei Zhang, Lingfang Gu, Qijun Wang, Jing He, Yunxiang Liang, Wen Zhou, and Yingjun Li. 2024. "Effects of Yeast Culture on Laying Performance, Antioxidant Properties, Intestinal Morphology, and Intestinal Flora of Laying Hens" Antioxidants 13, no. 7: 779. https://doi.org/10.3390/antiox13070779
APA StyleQiu, Q., Zhan, Z., Zhou, Y., Zhang, W., Gu, L., Wang, Q., He, J., Liang, Y., Zhou, W., & Li, Y. (2024). Effects of Yeast Culture on Laying Performance, Antioxidant Properties, Intestinal Morphology, and Intestinal Flora of Laying Hens. Antioxidants, 13(7), 779. https://doi.org/10.3390/antiox13070779

