Abstract
Hydrogen sulfide (H2S) is an endogenous signaling molecule that greatly influences several important (patho)physiological processes related to cardiovascular health and disease, including vasodilation, angiogenesis, inflammation, and cellular redox homeostasis. Consequently, H2S supplementation is an emerging area of interest, especially for the treatment of cardiovascular-related diseases. To fully unlock the medicinal properties of hydrogen sulfide, however, the development and refinement of H2S releasing compounds (or donors) are required to augment its bioavailability and to better mimic its natural enzymatic production. Categorizing donors by the biological stimulus that triggers their H2S release, this review highlights the fundamental chemistry and releasing mechanisms of a range of H2S donors that have exhibited promising protective effects in models of myocardial ischemia-reperfusion (MI/R) injury and cancer chemotherapy-induced cardiotoxicity, specifically. Thus, in addition to serving as important investigative tools that further advance our knowledge and understanding of H2S chemical biology, the compounds highlighted in this review have the potential to serve as vital therapeutic agents for the treatment (or prevention) of various cardiomyopathies.
1. Introduction
Hydrogen sulfide (H2S) is a malodorous, toxic, and flammable gas that was once disregarded as a mere environmental and industrial pollutant [1,2,3]. Landmark studies near the turn of the 20th century [4,5,6], however, revealed that H2S is also a biologically active gas that is expressed in mammalian systems, primarily via the enzymatic metabolism of cysteine and homocysteine [7]. From these reports, a paradigm shift ensued, and today H2S is regarded as the third gasotransmitter, alongside nitric oxide (NO) and carbon monoxide (CO) [8,9,10,11].
H2S is soluble in water (~80 mM at 37 °C [12]) and exhibits weak acidity that gives rise to an equilibrium between its diprotic (H2S) and hydrosulfide (HS−) forms in an aqueous environment. With a pKa1 of 6.98 [12], its HS− form dominates at physiological pH and begets its high reactivity and strong nucleophilic character under biologically relevant conditions.
In its diprotic form, its lipophilicity, low molecular weight, and gaseous nature enable H2S to easily traverse the lipid bilayer, allowing it to act on intracellular targets that mediate numerous physiological and pathophysiological processes within the human body [13,14,15,16]. Its proven ability to reduce oxidative stress and inflammation [17,18,19], induce vasodilation [6], and promote angiogenesis [20] underscores the positive influence of H2S on the cardiovascular system, specifically. Not surprisingly, small molecule donors that improve the exogenous delivery and bioavailability of H2S are currently being investigated with great enthusiasm as potential cardioprotective agents [21].
This review will summarize the structure, reactivity, and mode of delivery for H2S donors that have displayed promising cardioprotective effects in myocardial ischemia-reperfusion (MI/R) injury and cancer chemotherapeutic-induced cardiotoxicity models, in particular. Thus, the compounds reported on herein not only represent important investigative tools for probing the chemical biology of hydrogen sulfide but may also serve to unlock its vast therapeutic potential for the treatment of cardiovascular-related diseases.
2. H2S Biosynthesis and Metabolism
In mammals, both enzymatic and nonenzymatic pathways are involved in H2S biosynthesis, with the former being the principal route towards its formation. The use of enzymes provides strict spatiotemporal control over the production of H2S, resulting in concentration variances in specific tissues and cellular compartments, and in response to certain physiological and pathophysiological events. The three enzymes primarily responsible for H2S biosynthesis are cystathionine β-synthase (CBS) [22], cystathionine γ-lyase (CSE) [23], and 3-mercaptopyruvate sulfurtransferase (3-MST) [24].
CBS and CSE are ubiquitous enzymes of the transsulfuration pathway that facilitate the conversion of homocysteine to cysteine via the intermediate cystathionine (Figure 1) [25,26]. Both are pyridoxal 5′-phosphate (PLP)-dependent enzymes that are primarily located in the cytosol and generate H2S via the direct desulfhydration of cysteine and homocysteine. In addition to being primarily responsible for H2S biosynthesis in the brain and central nervous system, CBS is amply expressed in the ileum, kidneys, liver, and uterus [5,27,28]. CSE, on the other hand, exhibits low expression levels in the central nervous system but is the principal H2S-producing enzyme of the cardiovascular system [29].
Figure 1.
Enzymatic and nonenzymatic production of H2S in mammalian systems. PLP: pyridoxal 5′-phosphate; CBS: cystathionine β-synthase; CSE: cystathionine γ-lyase; CAT: cysteine aminotransferase; 3-MST: 3-mercaptopyruvate sulfurtransferase; NADPH: nicotinamide adenine dinucleotide phosphate.
Unlike CBS and CSE, 3-MST is a PLP-independent enzyme that is chiefly expressed in mitochondria and produces H2S from the indirect desulfhydration of cysteine [30]. As depicted in Figure 1, in this pathway, cysteine must first be transformed into 3-mercaptopyruvate (3MP) via the enzyme cysteine aminotransferase (CAT). Then, using 3MP as a substrate, 3-MST transfers a sulfur atom onto itself forming a hydropersulfide (3-MST-SSH). In the presence of reductants, 3MST-SSH is reduced, releasing H2S in the process.
In addition to the enzymatic routes outlined above, nonenzymatic pathways also contribute to the endogenous production of H2S in mammals. In general, sulfane sulfur and other reactive sulfur species (RSS), including hydropersulfides (RSSH), polysulfides (RSSnR), and thiosulfate (S2O32−), serve as effective H2S precursors in the presence of glutathione and other reductants (Figure 1) [31,32,33]. To this end, processes that increase the production of nicotinamide adenine dinucleotide phosphate (NADPH), which facilitates the recycling of oxidized glutathione back to its reduced form, have been shown to enhance this nonenzymatic pathway and promote H2S biosynthesis [8].
While less is known about the metabolism and removal of H2S from mammalian systems, the primary pathways are believed to involve mitochondrial oxidation [34,35], cytosolic methylation [36], hemoglobin and metalloprotein binding [37], expiration via the lungs [38], and its storage in proteins as bound sulfane sulfur [39]. The majority of H2S is ultimately excreted via the kidneys in the form of sulfate (SO42−) [40]. This oxidation of H2S occurs in mitochondria and is facilitated by the enzymes sulfide quinone reductase (SQR) and rhodanese. This metabolic process also accentuates the biological activity of H2S and its ability to stimulate oxidative phosphorylation and ATP production through its donation of electrons to the mitochondrial electron transport chain through SQR and mitochondrial complex II [41,42].
3. H2S Bioactivity and Its Attenuation of Myocardial Ischemia-Reperfusion Injury
In addition to serving as a mitochondrial protectant and stimulator of mitochondrial bioenergetics, endogenous H2S has been shown to play a key role in several other physiological and pathophysiological processes [14,15,16,43,44,45,46,47]. The cardiovascular system, in particular, appears to be positively influenced by H2S given its involvement in vasodilation and blood pressure regulation [6,48]; its antioxidative [19], anti-inflammatory [17,49], and cytoprotective properties [50,51]; and its ability to promote angiogenesis [20]. Additionally, recent evidence suggests that the co-release of H2S (via the transsulfuration pathway) and adenosine (via the methionine cycle) may protect the myocardium from injury [52,53]. For these reasons it is theorized that the exogenous delivery of H2S may hold therapeutic value for the prevention and treatment of various cardiovascular-related diseases [54,55], including myocardial ischemia-reperfusion (MI/R) injury [56,57,58,59,60,61,62] (Figure 2).
Figure 2.
Molecular mechanisms that underscore the cardioprotective effects of H2S, including its ability to combat MI/R injury.
Myocardial ischemia occurs when blood flow to the heart is restricted due to the buildup of plaque in a coronary artery. If left unchecked, this may lead to myocardial infarction, or heart attack, which is the leading cause of death worldwide [63,64]. To repair myocardial structural damage and prevent ischemic progression, reperfusion therapy is typically employed. This rapid return of blood to ischemic tissue, however, often leads to (MI/R) injury caused by inflammation and oxidative damage [65,66]. Increased levels of reactive oxygen species (ROS), coupled with an overwhelmed antioxidant defense, play a major role in reperfusion injury and can exacerbate cardiac damage that occurs during ischemia [67].
Intracellular calcium overload, a hallmark of reperfusion injury, stimulates the translocation of CSE from the cytosol to mitochondria, which elevates the production of H2S within that subcellular space [68]. This innate response of the human body is produced in an effort to preserve mitochondrial function and protect the myocardium from oxidative damage, highlighting the potential for therapeutic intervention with H2S delivery. Indeed, recent studies have highlighted the protective effects of exogenous hydrogen sulfide during MI/R. One of the earliest examples in vitro was a study conducted by Johansen and co-workers [69]. Using an isolated perfused heart assay with rats, preconditioning with 1 μM NaHS (an H2S equivalent in buffer) 10 min prior to coronary occlusion and up until 10 min post reperfusion, they observed a 20% reduction in infarct size. Pretreatment with Glibenclamide (KATP blocker) nullified the effect of exogenous H2S, which supports its involvement in KATP channel opening as a primary mechanism of alleviation. Later studies have shown that H2S promotes the persulfidation (protein-SSH) of Cys43 of the KATP protein, resulting in channel opening, an influx of K+, and vascular smooth muscle relaxation.
Additionally, sulfide salts have been used to demonstrate the protective effects of H2S against MI/R injury in vivo. In an early study by Sivarajah et al. [70], mice were exposed to 25 min of regional myocardial ischemia and 2 h of subsequent reperfusion. When NaHS (3 mg/kg) was delivered 15 min prior to ischemia, a 26% reduction in infarct size was reported in comparison to the vehicle control. Subsequently, Elrod and co-workers investigated the impact of exogenous H2S being delivered at the time of reperfusion rather than prior to the ischemic event [71]. In their study, mice were subjected to 30 min of left coronary artery ischemia followed by a 24 h period of reperfusion in the presence of Na2S (50 μg/kg). Remarkably, they observed a 72% reduction in infarct size under these conditions.
While sulfide salts, such as NaHS and Na2S, serve as convenient H2S precursors, their addition to buffered solutions results in a rapid surge in H2S concentration, followed by a swift decline due to the instability and transient nature of hydrogen sulfide [72]. Moreover, these characteristics poorly mimic the slow and steady enzymatic production of H2S, which often leads to adverse side effects when sulfide salts are employed. For these reasons, small molecule donors designed to release H2S in a controlled fashion, and under biologically relevant conditions, have been sought to harness the medicinal properties of H2S [73,74,75,76,77].
In the ensuing section, we will highlight examples of small molecule donors that better mimic the natural biosynthesis of H2S and exhibit promising cardioprotective effects, especially against myocardial ischemia-reperfusion injury.
4. H2S Donors That Protect against Myocardial Ischemia-Reperfusion Injury
Hydrogen sulfide donors with success at protecting against MI/R injury are highlighted in Table 1 and arranged by their mechanism for H2S release. In this section, the H2S releasing mechanism of each donor will be detailed, and their resulting therapeutic effects in various MI/R injury models will be summarized.
Table 1.
Synthetic H2S donors with documented protective effects against MI/R injury.
4.1. Hydrolysis-Triggered Donors
Morpholin-4-ium 4-methoxyphenyl (morpholino) phosphinodithioate (GYY4137) is the first and most-researched H2S donor ever developed [78,79]. It was accessed by treating Lawesson’s reagent with morpholine to impart high water solubility (~30 mg/mL at pH 7.4), which facilitates its use in biological studies. The proposed H2S releasing mechanism for GYY4137 is depicted in Figure 3. From detailed mechanistic work carried out by Alexander and co-workers [80], a two-step hydrolysis was put forth, which ultimately yields an arylphosphonate and 2 equiv of H2S. The second hydrolysis step, however, was deemed to be too slow to be responsible for any of its observed biological activity, suggesting that GYY4137 primarily undergoes a single hydrolytic P–S bond cleavage event in water to release 1 equiv of H2S.
Figure 3.
Hydrolysis-triggered H2S release from GYY4137.
In stark contrast to sulfide salts, GYY4137 is recognized for its ability to provide the slow and continuous release of H2S for up to a week after its introduction to water. In its first reported study, GYY4137 was shown to relax rat aortic rings due to its activation of vascular smooth muscle KATP channels [78]. Moreover, unlike sulfide salts whose effects were brief, GYY4137 was found to be a far more potent vasorelaxant, presumably due to its sustained release of H2S and extended interaction with aortic rings. Perhaps not surprisingly, GYY4137 has also exhibited protective effects against MI/R injury [81,82,83]. Beyond its activation of vascular smooth muscle KATP channels [78,84], additional mechanisms have been invoked which include the ability of GYY4137 to attenuate oxidative stress and apoptosis through increased Bcl-2 expression and its activation of the Nrf2 signaling pathway [81,82].
Aside from GYY4137, 1,2-dithiole-3-thiones (DTTs) represent another important H2S donating scaffold that operates via chemical hydrolysis (Figure 4) [85]. Although detailed mechanistic studies have yet to be carried out, conventional wisdom suggests that, in water, DTTs are converted into their corresponding 1,2-dithiole-3-one structure with the concurrent liberation of H2S.
Figure 4.
Hydrolysis-triggered H2S release from DTTs.
ADT and ADT-OH are the most common among this donor class, and their biological properties have been assessed in numerous disease models [86,87,88,89,90,91]. Perhaps most notably, several interesting H2S donor hybrids have been obtained by coupling ADT-OH through its phenol onto other therapeutically useful drugs [92], yielding compounds such as MADTOH and ACS14 (Figure 5).
Figure 5.
Chemical structures of DTTs and donor hybrids with protective effects against MI/R injury.
Impressive drug synergism was observed with MADTOH, a monastrol-H2S-releasing hybrid, as increased inhibitory effects against L-type calcium channels were observed with this compound in comparison to both monastrol and ADT-OH alone [93]. L-type calcium channel blockers hold promise as an effective therapy for several cardiovascular disorders, including myocardial ischemia [94]. Thus, hybrid molecules, such as MADTOH, may be especially advantageous in treating MI/R injury and warrant further studies.
Along those lines, ACS14 is an H2S-releasing, nonsteroidal anti-inflammatory hybrid that combines aspirin and donor ADT-OH. Originally reported on in 2009 [95], ACS14 was first developed in an effort to reduce the gastric toxicity of aspirin by combatting redox imbalance through its release of H2S and subsequent increase in heme oxygenase-1 expression. Since this initial report, the cardioprotective effects of ACS14 have also been highlighted in later studies, including its ability to reduce MI/R injury in buthionine sulfoximine-treated rats [96,97].
Similarly, AP39 is an ADT-OH conjugate with impressive therapeutic effects in cardiovascular disease models (Figure 5) [98,99]. By combining ADT-OH with a triphenylphosphonium moiety through an ester linkage, AP39 effectively targets mitochondria, which significantly improves its potency. This was first established in a study aimed at assessing its effects on mitochondrial bioenergetics, which noted that only nanomolar concentrations of AP39 were required to observe stimulatory effects whereas micromolar doses of other H2S donors are typically required to evoke similar results. The selective delivery of H2S to mitochondria may also heighten its cardioprotective qualities. Indeed, later studies have showcased the ability of AP39 to protect myocardium from ischemia-reperfusion injury by significantly attenuating mitochondrial ROS production and through its stabilization of mitochondrial membrane potentials [100,101,102].
4.2. pH-Triggered Donors
JK donors are a class of pH-triggered, H2S-releasing compounds developed by Xian and co-workers [103]. By appending different amino acids, a series of phosphorothioate-based donors were accessed that undergo an intramolecular cyclization reaction that liberates H2S with high efficiency in weakly acidic (pH 5–6) environments (Figure 6). This pathway, however, appears to be inoperable under neutral to slightly basic conditions (pH 7–8), which provides greater spatiotemporal control over their delivery of hydrogen sulfide. These observations are likely to stem from the fact that under weakly acidic conditions, the phosphorothiol moiety is protonated and functions as a good leaving group, while the carboxylate component still resides in its deprotonated, nucleophilic form.
Figure 6.
pH-triggered H2S release from JK donors.
Since numerous pathological conditions are known to lead to a reduction in pH (inflammation, cancer, and cardiovascular disorders), JK donors have the potential to selectively deliver H2S under conditions in which a therapeutic benefit is likely to arise. In their original study, the authors successfully demonstrated that both JK-1 and JK-2 (Figure 7) could provide significant cardioprotection in both cellular and in vivo murine models of MI/R injury [103].
Figure 7.
JK donors with established cardioprotective effects in MI/R injury models.
It is worth noting that additional donors of this type have been prepared by further modifying the amino acid substituent. Phosphorothioate 18 (Figure 7), for example, was recently accessed and found to protect H9c2 cardiomyocytes from hypoxia-reoxygenation (H/R) injury [104]. In addition, JK-1 was shown to exhibit low toxicity and good pharmacokinetic properties, accentuating the fact that further structure–activity relationship (SAR) studies and additional therapeutic and preclinical profiling within this series is likely to be advantageous.
4.3. Thiol-Triggered Donors
H2S donors selectively responsive to biologically abundant thiols, such as cysteine and glutathione, have also exhibited promising cardioprotective effects. Figure 8 outlines specific compounds within this series that have displayed promising protective effects in MI/R injury models.
Figure 8.
Thiol-triggered donors with established cardioprotective effects in H/R and MI/R injury models.
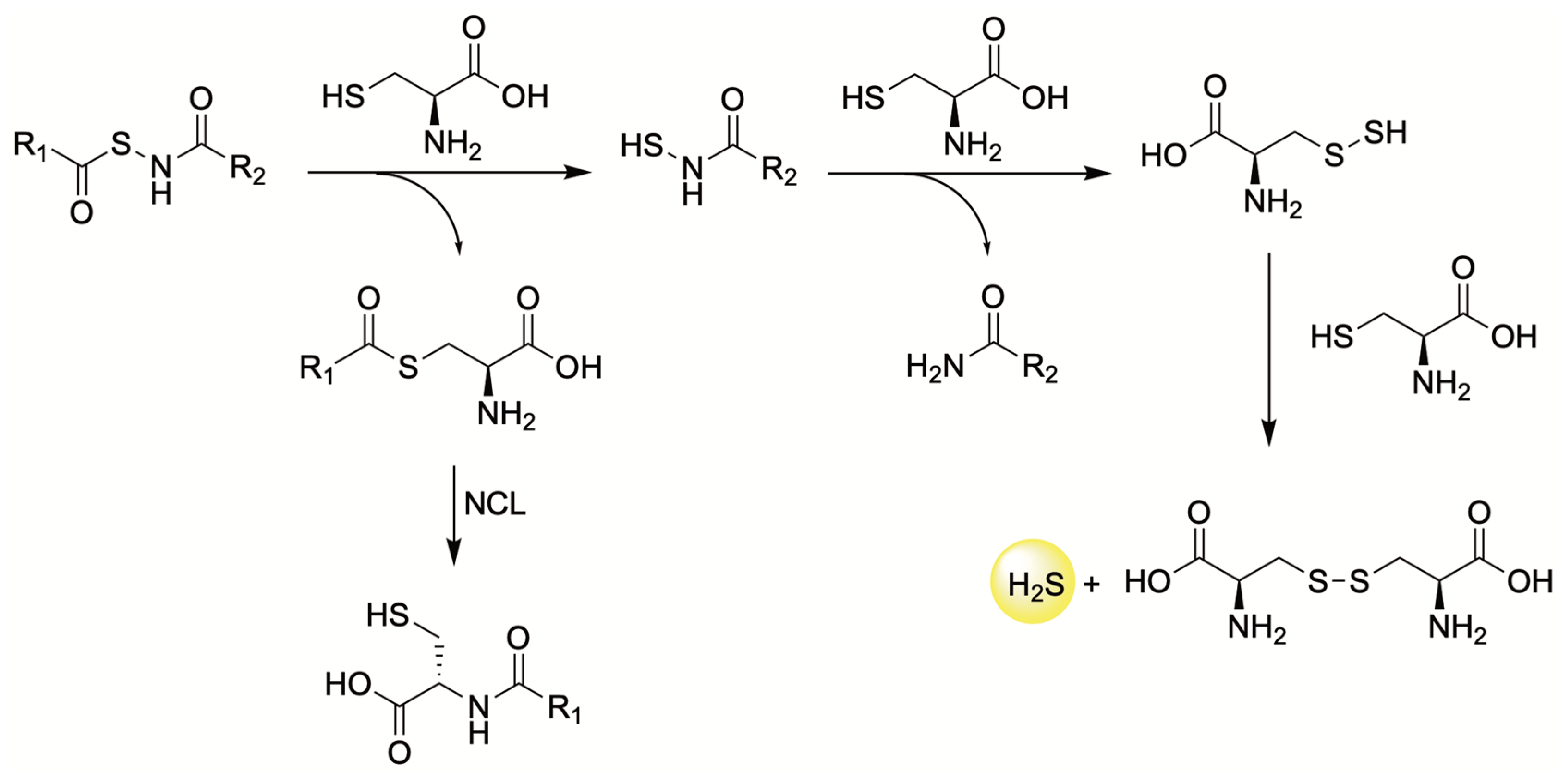
Among the first to be examined were a series of N-mercapto-based donors (NSHDs) developed by Zhao et al. (Figure 8) [105]. These compounds were shown to be stable in buffer and require the presence of cysteine to effectively deliver H2S in aqueous media. Specifically, within this donor class, NSHD-1, NSHD-2, and NSHD-6 demonstrated cytoprotective effects against H2O2-induced damage in H9c2 cardiomyocytes. Furthermore, NSHD-1 and NSHD-2 also exhibited potent cardioprotective effects in a murine model of MI/R injury.
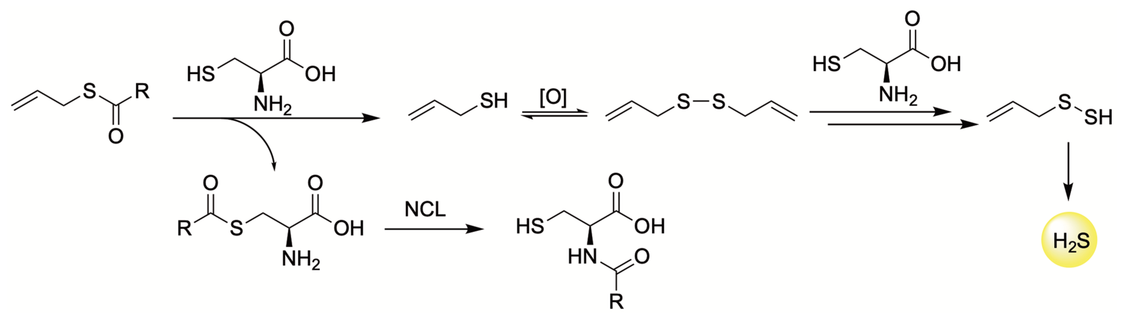
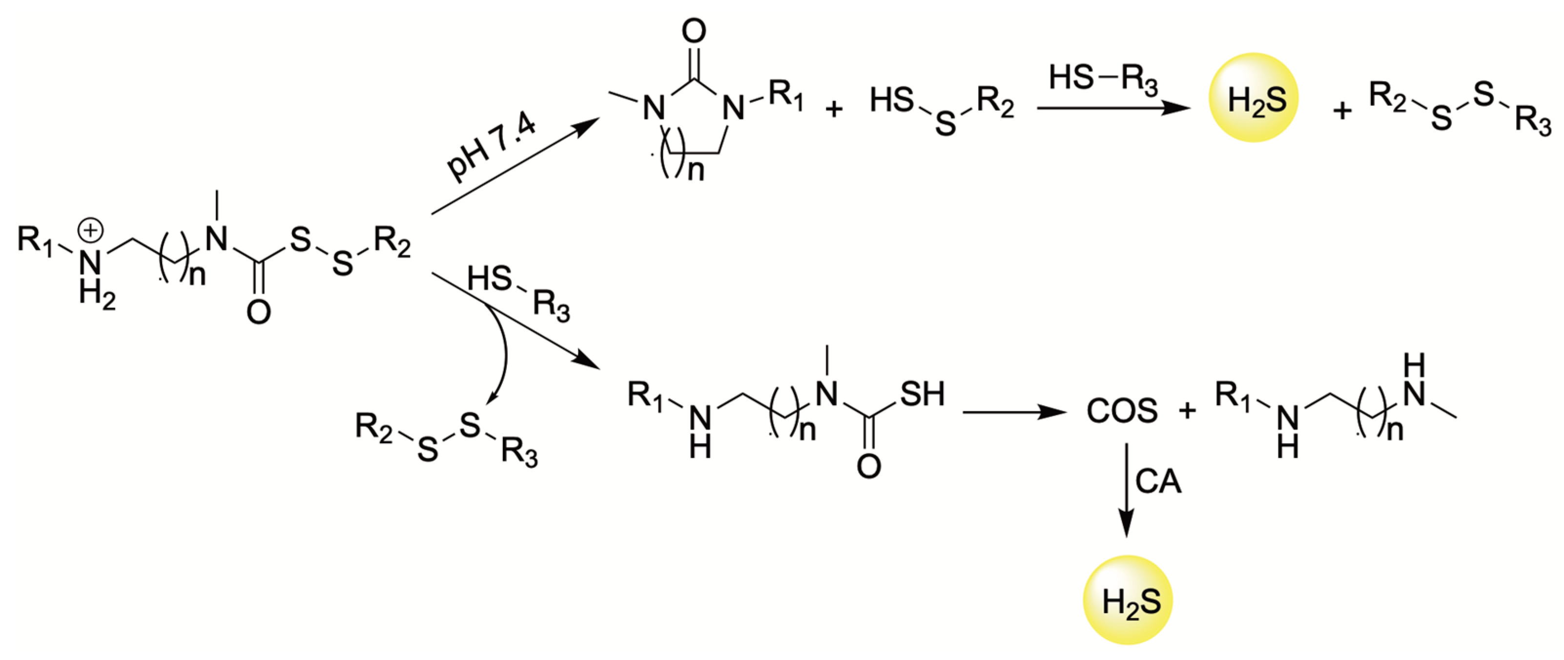
Additionally, acyl perthiols, allyl thioesters, and perthiocarbamates are responsive to cellular thiols and have established cardioprotective effects in H9c2 cardiomyocytes and other MI/R injury models as a result of their H2S release. In the case of acyl perthiols, compounds 8a and 8l demonstrated notable reductions in infarct size relative to vehicle-treated mice in a murine MI/R injury model [58]. Moreover, a significant reduction in circulating cardiac troponin I was observed in both 8a- and 8l-treated mice, which supports the involvement of an H2S-related mechanism in their cardioprotection. Within the allyl thioester series, 5e was shown to be the most potent donor in cardiomyocyte (H9c2) models of oxidative damage [106]. It also displayed protective qualities in an in vivo mouse model, reducing infarct size and cardiomyocyte apoptosis. Similarly, perthiocarbamate 7b showcased impressive cardioprotective effects in a Langendorff model of MI/R [107].
Although very electrophilic, isothiocyanates are another class of thiol-activated donors with promising cardioprotective characteristics. In Langendorff-perfused rat hearts, 4CPI was shown to improve post-ischemic recovery through its attenuation of oxidative stress and activation of mitoKATP channels [108]. Through an extensive SAR study, 3-pyridyl-isothiocynante was identified as another potent donor within this series, exhibiting maximum myocardial protection in an in vivo rat model for acute myocardial infarction at a dose of just 20 µg/kg and from its activation of mitoKATP channels [109].
Arylthioamides are the final donor class that we will touch upon within this section. What makes arylthioamides distinct from the donors mentioned above is that their release of H2S is extremely slow and inefficient, even with the addition of nucleophilic thiols [110]. Moreover, the release of H2S from this scaffold proceeds through an unidentified mechanistic pathway. Nevertheless, two hybrid adenine-containing donors, arylthioamide 4 and 11, appear to show synergistic cardioprotective effects by activating the PKG/PLN pathway in ischemic myocardium [111].
Pathways for thiol-triggered release of H2S have been explored with these donors. Plausible mechanisms put forth by the authors, based on detailed mechanistic studies, the identification of reaction intermediates, and established organic reactivity, are presented below.
As depicted in Figure 9, NSHDs initially undergo a nucleophilic acyl substitution with cysteine to form a thioester and an N-mercapto (N-SH) species. Although this first step is reversible, the ensuing thioester undergoes a rapid S-to-N-acyl transfer that essentially renders this step irreversible. In the presence of excess cysteine, the N-mercapto species is transformed into a primary amide, forming cysteine persulfide in the process. Cysteine persulfide then reacts further with cysteine to generate cystine and free H2S. From a detailed SAR analysis, it was discovered that both electronic and steric effects at R1 (but not R2) influence the rate of H2S release [105]. In general, NSHDs with smaller electron-withdrawing substituents at this position exhibited faster kinetics.
Figure 9.
Thiol-triggered H2S release from NSHDs.
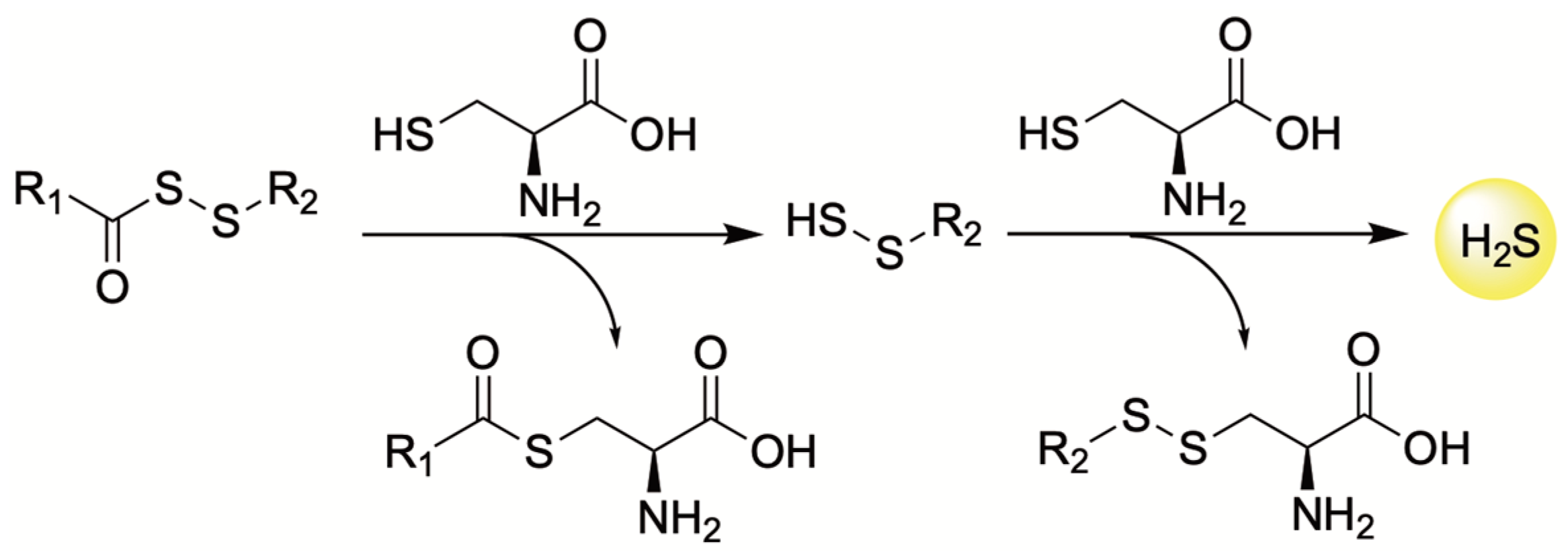
H2S can be released from acyl perthiols through an initial thioester exchange reaction that liberates a persulfide [58] (Figure 10). The ensuing hydropersulfide can then undergo an additional thiol exchange reaction to form a disulfide while generating H2S.
Figure 10.
Thiol-triggered H2S release from acyl perthiols.
Similarly, allyl thioesters liberate H2S by undergoing an initial thioester exchange reaction to generate an allylic thiol, which then oxidizes to form a diallyl disulfide (Figure 11). Diallyl disulfides are known H2S donors that are likely to operate through a hydropersulfide intermediate [112,113,114,115,116,117,118].
Figure 11.
Thiol-triggered H2S release from allyl thioesters.
Within this series of donors, perthiocarbamates are unique in their ability to generate H2S from two distinct pathways: hydropersulfide formation and carbonyl sulfide (COS) liberation [107]. As outlined in Figure 12, the COS delivery pathway is initiated by a thiol–disulfide exchange reaction that yields an unstable carbamic thioacid that quickly decomposes and gives rise to COS. In the presence of the ubiquitous enzyme carbonic anhydrase (CA), COS is quickly transformed into H2S [119]. Alternatively, perthiocarbamates can liberate H2S from a hydropersulfide intermediate that is generated from an intramolecular cyclization reaction that bypasses the need for a specific stimulus to trigger the event.
Figure 12.
Thiol-triggered H2S release from perthiocarbamates.
The mechanism of H2S liberation from isothiocyanates has been carefully investigated by Lin and co-workers [120]. As delineated in Figure 13, they propose that the reaction commences with the nucleophilic attack by cysteine to form a dithiocarbamate. This intermediate then undergoes an intramolecular cyclization that forms a 5-membered ring and assists in the elimination of H2S.
Figure 13.
Thiol-triggered H2S release from isothiocyanates.
4.4. Enzyme-Triggered Donors
Hydrogen sulfide donors that are selectively responsive to specific enzymes have also been developed. Those that have displayed promising protective effects in MI/R injury models are featured below.
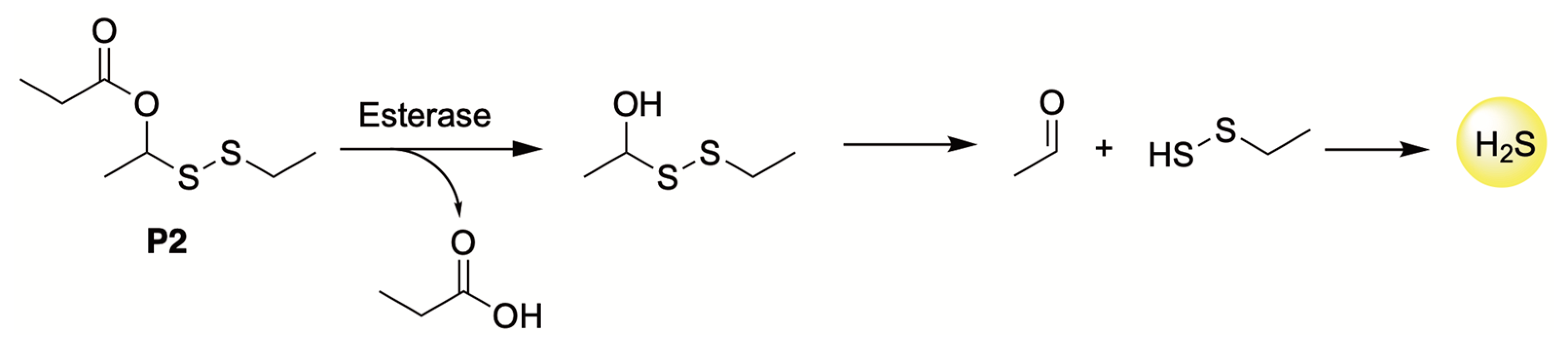
Esterase enzymes are omnipresent in human cells and, as their name implies, catalyze the hydrolysis of esters [121]. Not surprisingly, H2S liberation from a donor that is initiated by esterase-catalyzed hydrolysis is a common approach [122,123,124,125,126,127]. In general, the molecular framework is designed in such a way that upon ester hydrolysis, the resultant alcohol undergoes a self-immolative step that results in the eventual release of H2S. Donor P2 (Figure 14) illustrates this approach, as an unstable hydroxymethyl persulfide is unveiled after esterase-catalyzed hydrolysis [128]. This intermediate quickly decomposes to generate acetaldehyde and a hydropersulfide, which serves as an effective H2S precursor under biological conditions. Donor P2 was used in a murine model of MI/R injury and displayed promising protective effects with a bell-shaped therapeutic profile.
Figure 14.
Esterase-triggered H2S release from P2, a donor with cardioprotective effects in MI/R injury models.
Donors selectively responsive to the enzyme β-galactosidase have also displayed favorable cardioprotective effects. The NO-H2S donor hybrid depicted in Figure 15 is an example of such a design [129]. In the presence of β-galactosidase, the glycosidic bonds in the molecule are cleaved, producing an unstable intermediate that further unravels to liberate H2S (via COS hydrolysis) and nitric oxide (NO). To underline its cardioprotective effects, this hybrid prodrug was used in a rat model of heart failure. In general, it was shown that administration of the NO-H2S donor hybrid noticeably improved cardiac function post myocardial infarction, and especially in comparison to NO or H2S treatment alone, highlighting the effectiveness of a hybrid approach.
Figure 15.
β-galactosidase-triggered H2S release from an NO-H2S donor hybrid, a compound with cardioprotective effects in MI/R injury models.
4.5. ROS-Triggered Donors
H2S donors selectively responsive to elevated levels of ROS have been shown to be especially advantageous at combatting oxidative stress-related diseases [130,131,132,133,134], including MI/R injury. Within the structural framework of these donors, an O- or S-alkyl thiocarbamate is often linked to an aryl boronate ester, which serves as an ROS-responsive trigger [135,136,137]. In the presence of ROS (especially hydrogen peroxide or peroxynitrite), the aryl boronate ester is quickly oxidized to an unstable phenol that undergoes a 1,6-elimination to provide H2S through carbonic anhydrase catalyzed COS hydrolysis (Figure 16).
Figure 16.
General mechanism for H2S release from ROS-triggered, O-alkyl thiocarbamate-based donors.
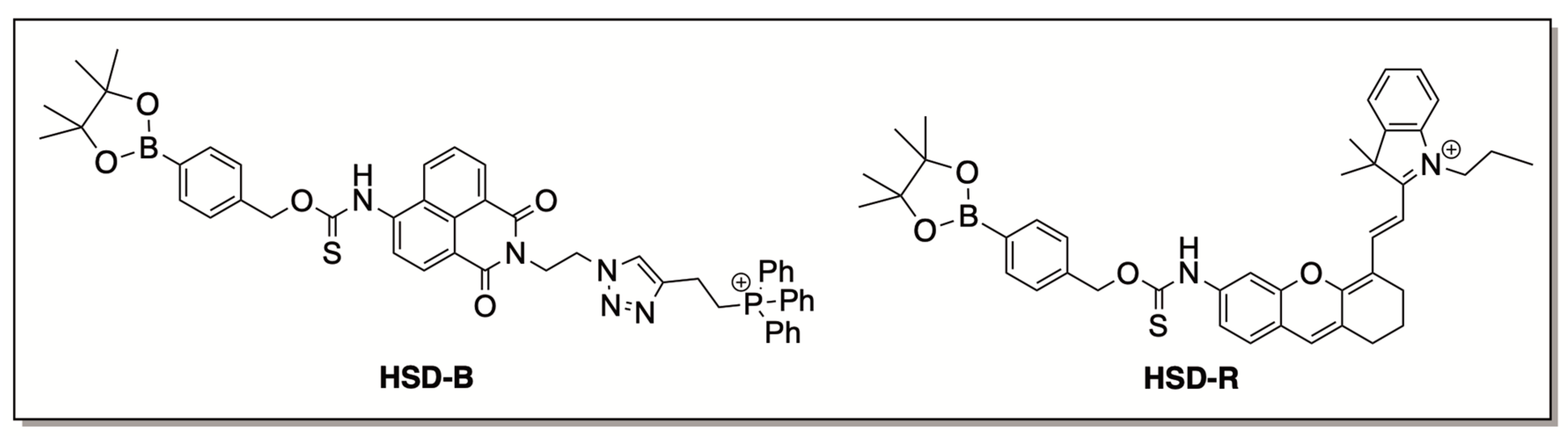
An advantage of donors that proceed through the COS/H2S pathway is their concurrent release of an aryl amine (or aryl alcohol) which affords an easy opportunity to access self-reporting donors that can track their H2S delivery via fluorescence spectroscopy and other imaging techniques [134,138,139,140]. HSD-B and HSD-R (Figure 17) serve as examples of this, due to there being a latent fluorescent reporter embedded within their O-alkyl thiocarbamate framework. Moreover, these compounds were rationally designed to target mitochondria, thanks to their lipophilicity and cationic charge, which are likely to contribute to their pronounced cardioprotective effects that have been observed in H/R injury models [139,140]. HSD-B, for example, was shown to provide protection in a H9c2 cellular model of H/R injury, while HSD-R exhibited anti-apoptotic (inhibition of pro-apoptotic genes, including Bid, Apaf-1, and P53), anti-inflammatory, and pro-angiogenic effects in a rat MI/R injury model.
Figure 17.
ROS-triggered donors with cardioprotective effects in H/R and MI/R injury models.
5. Chemotherapy-Induced Cardiotoxicity
Chemotherapy-induced cardiotoxicity is a serious complication that affects the long-term survival of cancer patients and often manifests itself several years to several decades after the completion of treatment [141,142]. By convention, chemotherapy-induced cardiotoxicity is sorted into two distinct categories: type I, which is more severe, dose-dependent, and triggered by anthracycline-based drugs [143,144,145], and type II, which is less severe, believed to be reversible upon the cessation of treatment, and associated with cisplatin, alkylating agents, antimetabolites, and other non-anthracycline-based chemotherapeutics [146].
Anthracyclines, such as doxorubicin (DOX) and daunorubicin, are among the most effective anticancer agents in clinical use [147]. Their planar anthraquinone tetracyclic structure allows them to insert between DNA base pairs and interfere with the enzyme topoisomerase II, which, in turn, prevents the DNA unwinding and replication that ultimately induces apoptosis in proliferating cancer cells [148]. However, the same chemical features that give rise to DNA intercalation also predispose anthracyclines to redox cycling that generates superfluous levels of ROS within a cellular environment and, specifically, in mitochondria [149,150]. With increased mitochondrial density and a relatively deficient antioxidant defense system in place, cardiomyocytes are especially susceptible to oxidative injury [151,152]. Therefore, while other mechanisms may be in play, the uncontrolled production of ROS is believed to be primarily responsible for the dose-dependent, irreversible heart damage that is observed with anthracycline-based chemotherapeutics [153,154,155].
Given the significance of anthracyclines in the fight against cancer, it comes as no surprise that new therapeutic strategies are being extensively explored in an effort to diminish their cardiotoxic side effects. To this end, it has been suggested that the co-administration of H2S—with its impressive antioxidative, anti-inflammatory, and anti-apoptotic effects—may offer an effective solution [156]. This hypothesis was first explored by Su and co-workers in 2009, using a DOX-treated rat model [157]. Employing NaHS as an H2S donor, the attenuation of DOX-induced mitochondrial injury was in fact observed, along with significant improvements in overall cardiac function. Subsequent investigations have corroborated these initial findings, and the beneficial effects of H2S are now well-established for combatting chemotherapy-induced cardiotoxicity of both type 1 and type 2 through various mechanisms (Figure 18) [158,159,160,161,162].
Figure 18.
Protective mechanisms of H2S against chemotherapy-induced cardiotoxicity.
While the co-administration of H2S appears to be a promising approach for reducing the cardiotoxic profile of drug molecules, efforts to improve absorption and target delivery have led to the emergence of a new codrug design in which a known H2S-donating moiety is directly linked to a chemotherapeutic agent of interest. This strategy is akin to the ABT-OH donor hybrids discussed earlier (Section 4.1) and has proven to be especially beneficial for mitigating DOX-induced cardiotoxicity, in particular. Therefore, given their obvious translational potential and clever chemical design, these hybrid DOX molecules are detailed below.
6. H2S Conjugated Codrugs That Combat Anthracycline-Induced Cardiotoxicity
Chegaev and co-workers were the first to synthesize and assess a series of H2S-releasing, DOX hybrid codrugs (termed H2S-DOXOs) [163]. To accomplish this, they appended known H2S-donating motifs via an ester bond at C-14 of DOX. As seen in Figure 19, the affixed H2S-donating moieties included DTT derivative (H2S-DOXOs 10–13), allyl sulfide (H2S-DOXO 14), allyl disulfide (H2S-DOXO 15), and an aryl thioamide (H2S-DOXO 16).
Figure 19.
H2S-donating, doxorubicin hybrid codrugs with protective effects against anthracycline-induced cardiotoxicity.
After verifying H2S liberation from H2S-DOXOs in cell culture media, an LDH assay was used to assess their cytotoxic effects in H9c2 cardiomyocytes in culture. Compared to DOX, H2S-DOXOs 10–14 were found to be significantly less cytotoxic, and the addition of the H2S scavenger hydroxocobalamin confirmed that their release of hydrogen sulfide was responsible for their reduced cardiotoxicity.
Perhaps most notably, however, H2S-DOXOs 10 and 11 simultaneously displayed impressive anticancer activity in human osteosarcoma cells (U-20S), even compared to the parent drug. Follow-up studies with H2S-DOXO 10 indicated that the increased potency is likely to stem from their disruption of drug efflux by Pgp [164], which increases their cellular concentration. Thus, the appendage of an H2S donor to DOX appears to impart several distinct advantages, including improved functional activity against multidrug-resistant cancers in addition to a reduced cardiotoxic profile.
Since this initial study, H2S-DOXO 10 (or Sdox) has undergone additional preclinical studies (Table 2) [165,166,167]. In a DOX-resistant prostate cancer mouse model, treatment with Sdox led to significantly reduced tumor volumes and improved safety. Conversely, DOX-treated mice exhibited reduced body weight and cardiotoxicity, which was assessed by measuring troponin plasma levels and left-ventricular-wall thickness.
Table 2.
H2S-releasing hybrid codrugs with protective effects against anthracycline-induced cardiotoxicity.
In a similar fashion, Hu et al. recently reported on an H2S-releasing, DOX hybrid codrug (c1, Figure 20) [168]. However, unlike H2S-DOXOs, c1 is a prodrug that only liberates active DOX and H2S under conditions of oxidative stress.
Figure 20.
ROS-triggered H2S release from c1, an ROS-responsive DOX hybrid prodrug with reduced cardiotoxicity in rat cardiomyocytes in culture.
Elevated levels of ROS are found in most cancers for a variety of reasons [169]. Consequently, ROS-inducible anticancer prodrugs have emerged as a promising design strategy for improving the therapeutic index of anticancer chemotherapeutic agents [170,171,172,173]. Thus, the design of c1 represents a novel strategy that imparts both tumor-selective activation and H2S delivery in combination to further reduce the cardiotoxic side effects of DOX.
As highlighted in Figure 20, c1 utilizes an aryl boronate ester as an H2O2-selective trigger. Upon its oxidation by peroxide, the ensuing phenol undergoes a 1,6-elimination that releases both H2S (by way of COS hydrolysis) and DOX. The authors confirmed this mechanism through LCMS studies and verified the selective release of both DOX and H2S in response to H2O2.
The toxicity of c1 was assessed in rat cardiomyocytes in culture (Table 2). Using this model, c1 exhibited reduced cardiotoxicity compared to that of DOX. By enlisting an H2O2-activated DOX prodrug as a control, which provided CO2 release rather than COS, it was concluded that the protective effects of c1 are likely to stem from its co-release of H2S. Cells treated with c1 also evinced significantly higher Nrf2 activation and heme oxygenase-1 expression compared to controls, providing a likely mechanism of cellular protection [174,175,176,177].
Notably, c1 also appeared to maintain the antitumor effects of DOX in a 4T1 mouse breast-cancer cell line. Therefore, while further preclinical profiling—especially in vivo—is required, the selective tumor activation and H2S liberation provided by c1 offer further promising options for overcoming DOX-derived cardiotoxicity in the clinic.
7. Conclusions
Once regarded as merely a toxic and foul-smelling gas, H2S has more recently been recognized as a key signaling molecule and important endogenous mediator of numerous physiological and pathophysiological processes within mammalian systems. Its positive influence on the cardiovascular system, in particular, is rooted in its involvement in vasodilation (activation of KATP channels and the PI3K/Akt signaling pathway) [178,179,180,181], as well as its anti-inflammatory (inhibition of the p38 MAPK/NF-κB pathway) [182,183], antioxidative (activation of the Nrf2 signaling pathway) [59,168,184], and anti-apoptotic (suppression of pro-apoptotic genes Bid, Apaf-1, and p53) [140] properties, which have been extensively reviewed elsewhere in the literature [54,55,116,185].
Exogenous supplementation with H2S has been shown to vastly improve outcomes in various in vitro and in vivo cardiovascular disease models. In this review, its effectiveness at combating MI/R injury and chemotherapy-induced cardiotoxicity was explored, along with the fundamental chemistry and H2S releasing mechanism of the donor molecules that were utilized in these studies. The continued development and refinement of H2S-releasing compounds is critical to unlocking the translational therapeutic potential of hydrogen sulfide, by augmenting its delivery and bioavailability while better mimicking its natural and prolonged enzymatic production. Thus, the compounds reported on herein not only represent important investigative tools for probing the chemical biology of hydrogen sulfide but may also one day serve as important therapeutic agents for the treatment of MI/R injury and anthracycline-induced cardiotoxicity.
Author Contributions
Conceptualization, Q.H. and J.C.L.III; writing—original draft preparation, Q.H.; writing—review and editing, J.C.L.III; supervision, J.C.L.III. All authors have read and agreed to the published version of the manuscript.
Funding
This research was funded by the National Science Foundation, grant number 2143826.
Conflicts of Interest
The authors declare no conflict of interest.
References
- Beauchamp, R.O.; Bus, J.S.; Popp, J.A.; Boreiko, C.J.; Andjelkovich, D.A.; Leber, P. A Critical Review of the Literature on Hydrogen Sulfide Toxicity. CRC Crit. Rev. Toxicol. 1984, 13, 25–97. [Google Scholar] [CrossRef]
- Tomlin, S. Smelly Cats. Nature 1998, 396, 628. [Google Scholar] [CrossRef]
- Fiedler, N.; Kipen, H.; Ohman-Strickland, P.; Zhang, J.; Weisel, C.; Laumbach, R.; Kelly-McNeil, K.; Olejeme, K.; Lioy, P. Sensory and Cognitive Effects of Acute Exposure to Hydrogen Sulfide. Environ. Health Perspect. 2008, 116, 78–85. [Google Scholar] [CrossRef] [PubMed]
- Abe, K.; Kimura, H. The Possible Role of Hydrogen Sulfide as an Endogenous Neuromodulator. J. Neurosci. 1996, 16, 1066–1071. [Google Scholar] [CrossRef] [PubMed]
- Kimura, H. Hydrogen Sulfide as a Neuromodulator. Mol. Neurobiol. 2002, 26, 013–020. [Google Scholar] [CrossRef] [PubMed]
- Bhatia, M. Hydrogen Sulfide as a Vasodilator. IUBMB Life Int. Union Biochem. Mol. Biol. Life 2005, 57, 603–606. [Google Scholar] [CrossRef] [PubMed]
- Kabil, O.; Banerjee, R. Redox Biochemistry of Hydrogen Sulfide. J. Biol. Chem. 2010, 285, 21903–21907. [Google Scholar] [CrossRef]
- Wang, R. Two’s Company, Three’s a Crowd: Can H2S Be the Third Endogenous Gaseous Transmitter? FASEB J. 2002, 16, 1792–1798. [Google Scholar] [CrossRef]
- Wang, R. The Gasotransmitter Role of Hydrogen Sulfide. Antioxid. Redox Signal. 2003, 5, 493–501. [Google Scholar] [CrossRef]
- Wang, R. Shared Signaling Pathways among Gasotransmitters. Proc. Natl. Acad. Sci. USA 2012, 109, 8801–8802. [Google Scholar] [CrossRef]
- Papapetropoulos, A.; Foresti, R.; Ferdinandy, P. Pharmacology of the ‘Gasotransmitters’ NO, CO and H2S: Translational Opportunities. Br. J. Pharmacol. 2015, 172, 1395–1396. [Google Scholar] [CrossRef]
- Hughes, M.N.; Centelles, M.N.; Moore, K.P. Making and Working with Hydrogen Sulfide. Free Radic. Biol. Med. 2009, 47, 1346–1353. [Google Scholar] [CrossRef]
- Fukuto, J.M.; Carrington, S.J.; Tantillo, D.J.; Harrison, J.G.; Ignarro, L.J.; Freeman, B.A.; Chen, A.; Wink, D.A. Small Molecule Signaling Agents: The Integrated Chemistry and Biochemistry of Nitrogen Oxides, Oxides of Carbon, Dioxygen, Hydrogen Sulfide, and Their Derived Species. Chem. Res. Toxicol. 2012, 25, 769–793. [Google Scholar] [CrossRef]
- Cao, X.; Ding, L.; Xie, Z.; Yang, Y.; Whiteman, M.; Moore, P.K.; Bian, J.-S. A Review of Hydrogen Sulfide Synthesis, Metabolism, and Measurement: Is Modulation of Hydrogen Sulfide a Novel Therapeutic for Cancer? Antioxid. Redox Signal. 2019, 31, 1–38. [Google Scholar] [CrossRef] [PubMed]
- Kimura, H. Hydrogen Sulfide: Its Production, Release and Functions. Amino Acids 2011, 41, 113–121. [Google Scholar] [CrossRef] [PubMed]
- Filipovic, M.R.; Zivanovic, J.; Alvarez, B.; Banerjee, R. Chemical Biology of H2S Signaling through Persulfidation. Chem. Rev. 2018, 118, 1253–1337. [Google Scholar] [CrossRef]
- Li, M.; Mao, J.; Zhu, Y. New Therapeutic Approaches Using Hydrogen Sulfide Donors in Inflammation and Immune Response. Antioxid. Redox Signal. 2021, 35, 341–356. [Google Scholar] [CrossRef]
- Whiteman, M.; Winyard, P.G. Hydrogen Sulfide and Inflammation: The Good, the Bad, the Ugly and the Promising. Expert Rev. Clin. Pharmacol. 2011, 4, 13–32. [Google Scholar] [CrossRef] [PubMed]
- Zhang, H.-X.; Liu, S.-J.; Tang, X.-L.; Duan, G.-L.; Ni, X.; Zhu, X.-Y.; Liu, Y.-J.; Wang, C.-N. H2S Attenuates LPS-Induced Acute Lung Injury by Reducing Oxidative/Nitrative Stress and Inflammation. Cell. Physiol. Biochem. 2016, 40, 1603–1612. [Google Scholar] [CrossRef]
- Papapetropoulos, A.; Pyriochou, A.; Altaany, Z.; Yang, G.; Marazioti, A.; Zhou, Z.; Jeschke, M.G.; Branski, L.K.; Herndon, D.N.; Wang, R.; et al. Hydrogen Sulfide Is an Endogenous Stimulator of Angiogenesis. Proc. Natl. Acad. Sci. USA 2009, 106, 21972–21977. [Google Scholar] [CrossRef] [PubMed]
- Corvino, A.; Frecentese, F.; Magli, E.; Perissutti, E.; Santagada, V.; Scognamiglio, A.; Caliendo, G.; Fiorino, F.; Severino, B. Trends in H2S-Donors Chemistry and Their Effects in Cardiovascular Diseases. Antioxidants 2021, 10, 429. [Google Scholar] [CrossRef] [PubMed]
- Miles, E.W.; Kraus, J.P. Cystathionine β-Synthase: Structure, Function, Regulation, and Location of Homocystinuria-Causing Mutations. J. Biol. Chem. 2004, 279, 29871–29874. [Google Scholar] [CrossRef] [PubMed]
- Pan, L.L.; Liu, X.H.; Gong, Q.H.; Yang, H.B.; Zhu, Y.Z. Role of Cystathionine γ -Lyase/Hydrogen Sulfide Pathway in Cardiovascular Disease: A Novel Therapeutic Strategy? Antioxid. Redox Signal. 2012, 17, 106–118. [Google Scholar] [CrossRef]
- Shibuya, N.; Tanaka, M.; Yoshida, M.; Ogasawara, Y.; Togawa, T.; Ishii, K.; Kimura, H. 3-Mercaptopyruvate Sulfurtransferase Produces Hydrogen Sulfide and Bound Sulfane Sulfur in the Brain. Antioxid. Redox Signal. 2009, 11, 703–714. [Google Scholar] [CrossRef]
- Sbodio, J.I.; Snyder, S.H.; Paul, B.D. Regulators of the Transsulfuration Pathway: Modulating the Transsulfuration Pathway in Disease. Br. J. Pharmacol. 2019, 176, 583–593. [Google Scholar] [CrossRef] [PubMed]
- Kabil, O.; Vitvitsky, V.; Xie, P.; Banerjee, R. The Quantitative Significance of the Transsulfuration Enzymes for H2S Production in Murine Tissues. Antioxid. Redox Signal. 2011, 15, 363–372. [Google Scholar] [CrossRef] [PubMed]
- Kaneko, Y.; Kimura, Y.; Kimura, H.; Niki, I. l-Cysteine Inhibits Insulin Release from the Pancreatic β-Cell. Diabetes 2006, 55, 1391–1397. [Google Scholar] [CrossRef] [PubMed]
- Patel, P.; Vatish, M.; Heptinstall, J.; Wang, R.; Carson, R.J. The Endogenous Production of Hydrogen Sulphide in Intrauterine Tissues. Reprod. Biol. Endocrinol. 2009, 7, 10. [Google Scholar] [CrossRef] [PubMed]
- Hosoki, R.; Matsuki, N.; Kimura, H. The Possible Role of Hydrogen Sulfide as an Endogenous Smooth Muscle Relaxant in Synergy with Nitric Oxide. Biochem. Biophys. Res. Commun. 1997, 237, 527–531. [Google Scholar] [CrossRef] [PubMed]
- Nagahara, N.; Ito, T.; Kitamura, H.; Nishino, T. Tissue and Subcellular Distribution of Mercaptopyruvate Sulfurtransferase in the Rat: Confocal Laser Fluorescence and Immunoelectron Microscopic Studies Combined with Biochemical Analysis. Histochem. Cell Biol. 1998, 110, 243–250. [Google Scholar] [CrossRef]
- Olson, K.R.; DeLeon, E.R.; Gao, Y.; Hurley, K.; Sadauskas, V.; Batz, C.; Stoy, G.F. Thiosulfate: A Readily Accessible Source of Hydrogen Sulfide in Oxygen Sensing. Am. J. Physiol.-Regul. Integr. Comp. Physiol. 2013, 305, R592–R603. [Google Scholar] [CrossRef]
- Kolluru, G.K.; Shen, X.; Bir, S.C.; Kevil, C.G. Hydrogen Sulfide Chemical Biology: Pathophysiological Roles and Detection. Nitric Oxide 2013, 35, 5–20. [Google Scholar] [CrossRef]
- Zuhra, K.; Augsburger, F.; Majtan, T.; Szabo, C. Cystathionine-β-Synthase: Molecular Regulation and Pharmacological Inhibition. Biomolecules 2020, 10, 697. [Google Scholar] [CrossRef] [PubMed]
- Jackson, M.R.; Melideo, S.L.; Jorns, M.S. Human Sulfide:Quinone Oxidoreductase Catalyzes the First Step in Hydrogen Sulfide Metabolism and Produces a Sulfane Sulfur Metabolite. Biochemistry 2012, 51, 6804–6815. [Google Scholar] [CrossRef] [PubMed]
- Jackson, M.R.; Melideo, S.L.; Jorns, M.S. Role of Human Sulfide. In Methods in Enzymology; Elsevier: Amsterdam, The Netherlands, 2015; Volume 554, pp. 255–270. ISBN 978-0-12-801512-4. [Google Scholar]
- Weisiger, R.A.; Pinkus, L.M.; Jakoby, W.B. Thiol S-Methyltransferase: Suggested Role in Detoxication of Intestinal Hydrogen Sulfide. Biochem. Pharmacol. 1980, 29, 2885–2887. [Google Scholar] [CrossRef]
- Cerda-Colón, J.F.; Silfa, E.; López-Garriga, J. Unusual Rocking Freedom of the Heme in the Hydrogen Sulfide-Binding Hemoglobin from Lucina pectinata. J. Am. Chem. Soc. 1998, 120, 9312–9317. [Google Scholar] [CrossRef]
- Insko, M.A.; Deckwerth, T.L.; Hill, P.; Toombs, C.F.; Szabo, C. Detection of Exhaled Hydrogen Sulphide Gas in Rats Exposed to Intravenous Sodium Sulphide. Br. J. Pharmacol. 2009, 157, 944–951. [Google Scholar] [CrossRef] [PubMed]
- Ishigami, M.; Hiraki, K.; Umemura, K.; Ogasawara, Y.; Ishii, K.; Kimura, H. A Source of Hydrogen Sulfide and a Mechanism of Its Release in the Brain. Antioxid. Redox Signal. 2009, 11, 205–214. [Google Scholar] [CrossRef]
- Bartholomew, T.C.; Powell, G.M.; Dodgson, K.S.; Curtis, C.G. Oxidation of Sodium Sulphide by Rat Liver, Lungs and Kidney. Biochem. Pharmacol. 1980, 29, 2431–2437. [Google Scholar] [CrossRef]
- Módis, K.; Ju, Y.; Ahmad, A.; Untereiner, A.A.; Altaany, Z.; Wu, L.; Szabo, C.; Wang, R. S-Sulfhydration of ATP Synthase by Hydrogen Sulfide Stimulates Mitochondrial Bioenergetics. Pharmacol. Res. 2016, 113, 116–124. [Google Scholar] [CrossRef]
- Szabo, C. Hydrogen Sulfide, an Endogenous Stimulator of Mitochondrial Function in Cancer Cells. Cells 2021, 10, 220. [Google Scholar] [CrossRef]
- Kimura, H. Hydrogen Sulfide (H2S) and Polysulfide (H2Sn) Signaling: The First 25 Years. Biomolecules 2021, 11, 896. [Google Scholar] [CrossRef] [PubMed]
- Filipovic, M.R. Persulfidation (S-Sulfhydration) and H2S. In Chemistry, Biochemistry and Pharmacology of Hydrogen Sulfide; Moore, P.K., Whiteman, M., Eds.; Handbook of Experimental Pharmacology; Springer International Publishing: Cham, Switzerland, 2015; Volume 230, pp. 29–59. ISBN 978-3-319-18143-1. [Google Scholar]
- Kabil, O.; Motl, N.; Banerjee, R. H2S and Its Role in Redox Signaling. Biochim. Biophys. Acta BBA Proteins Proteomics 2014, 1844, 1355–1366. [Google Scholar] [CrossRef] [PubMed]
- di Masi, A.; Ascenzi, P. H2S: A “Double Face” Molecule in Health and Disease. BioFactors 2013, 39, 186–196. [Google Scholar] [CrossRef]
- Paul, B.D.; Snyder, S.H. H2S: A Novel Gasotransmitter That Signals by Sulfhydration. Trends Biochem. Sci. 2015, 40, 687–700. [Google Scholar] [CrossRef] [PubMed]
- Benavides, G.A.; Squadrito, G.L.; Mills, R.W.; Patel, H.D.; Isbell, T.S.; Patel, R.P.; Darley-Usmar, V.M.; Doeller, J.E.; Kraus, D.W. Hydrogen Sulfide Mediates the Vasoactivity of Garlic. Proc. Natl. Acad. Sci. USA 2007, 104, 17977–17982. [Google Scholar] [CrossRef]
- Benedetti, F.; Curreli, S.; Krishnan, S.; Davinelli, S.; Cocchi, F.; Scapagnini, G.; Gallo, R.C.; Zella, D. Anti-Inflammatory Effects of H2S during Acute Bacterial Infection: A Review. J. Transl. Med. 2017, 15, 100. [Google Scholar] [CrossRef]
- Gemici, B.; Elsheikh, W.; Feitosa, K.B.; Costa, S.K.P.; Muscara, M.N.; Wallace, J.L. H2S-Releasing Drugs: Anti-Inflammatory, Cytoprotective and Chemopreventative Potential. Nitric Oxide 2015, 46, 25–31. [Google Scholar] [CrossRef]
- Gemici, B.; Wallace, J.L. Anti-Inflammatory and Cytoprotective Properties of Hydrogen Sulfide. In Methods in Enzymology; Elsevier: Amsterdam, The Netherlands, 2015; Volume 555, pp. 169–193. ISBN 978-0-12-801511-7. [Google Scholar]
- Paganelli, F.; Mottola, G.; Fromonot, J.; Marlinge, M.; Deharo, P.; Guieu, R.; Ruf, J. Hyperhomocysteinemia and Cardiovascular Disease: Is the Adenosinergic System the Missing Link? Int. J. Mol. Sci. 2021, 22, 1690. [Google Scholar] [CrossRef]
- Fromonot, J.; Deharo, P.; Bruzzese, L.; Cuisset, T.; Quilici, J.; Bonatti, S.; Fenouillet, E.; Mottola, G.; Ruf, J.; Guieu, R. Adenosine Plasma Level Correlates with Homocysteine and Uric Acid Concentrations in Patients with Coronary Artery Disease. Can. J. Physiol. Pharmacol. 2016, 94, 272–277. [Google Scholar] [CrossRef]
- Szabó, G.; Veres, G.; Radovits, T.; Gerő, D.; Módis, K.; Miesel-Gröschel, C.; Horkay, F.; Karck, M.; Szabó, C. Cardioprotective Effects of Hydrogen Sulfide. Nitric Oxide 2011, 25, 201–210. [Google Scholar] [CrossRef]
- Shen, Y.; Shen, Z.; Luo, S.; Guo, W.; Zhu, Y.Z. The Cardioprotective Effects of Hydrogen Sulfide in Heart Diseases: From Molecular Mechanisms to Therapeutic Potential. Oxid. Med. Cell. Longev. 2015, 2015, 1–13. [Google Scholar] [CrossRef]
- Chen, Y.; Zhang, F.; Yin, J.; Wu, S.; Zhou, X. Protective Mechanisms of Hydrogen Sulfide in Myocardial Ischemia. J. Cell. Physiol. 2020, 235, 9059–9070. [Google Scholar] [CrossRef]
- Wen, Y.-D.; Wang, H.; Zhu, Y.-Z. The Drug Developments of Hydrogen Sulfide on Cardiovascular Disease. Oxid. Med. Cell. Longev. 2018, 2018, 1–21. [Google Scholar] [CrossRef] [PubMed]
- Zhao, Y.; Bhushan, S.; Yang, C.; Otsuka, H.; Stein, J.D.; Pacheco, A.; Peng, B.; Devarie-Baez, N.O.; Aguilar, H.C.; Lefer, D.J.; et al. Controllable Hydrogen Sulfide Donors and Their Activity against Myocardial Ischemia-Reperfusion Injury. ACS Chem. Biol. 2013, 8, 1283–1290. [Google Scholar] [CrossRef] [PubMed]
- Calvert, J.W.; Jha, S.; Gundewar, S.; Elrod, J.W.; Ramachandran, A.; Pattillo, C.B.; Kevil, C.G.; Lefer, D.J. Hydrogen Sulfide Mediates Cardioprotection Through Nrf2 Signaling. Circ. Res. 2009, 105, 365–374. [Google Scholar] [CrossRef] [PubMed]
- Sodha, N.R.; Clements, R.T.; Feng, J.; Liu, Y.; Bianchi, C.; Horvath, E.M.; Szabo, C.; Sellke, F.W. The Effects of Therapeutic Sulfide on Myocardial Apoptosis in Response to Ischemia–Reperfusion Injury. Eur. J. Cardiothorac. Surg. 2008, 33, 906–913. [Google Scholar] [CrossRef] [PubMed]
- Osipov, R.M.; Robich, M.P.; Feng, J.; Liu, Y.; Clements, R.T.; Glazer, H.P.; Sodha, N.R.; Szabo, C.; Bianchi, C.; Sellke, F.W. Effect of Hydrogen Sulfide in a Porcine Model of Myocardial Ischemia-Reperfusion: Comparison of Different Administration Regimens and Characterization of the Cellular Mechanisms of Protection. J. Cardiovasc. Pharmacol. 2009, 54, 287–297. [Google Scholar] [CrossRef]
- Ji, Y.; Pang, Q.; Xu, G.; Wang, L.; Wang, J.; Zeng, Y. Exogenous Hydrogen Sulfide Postconditioning Protects Isolated Rat Hearts against Ischemia-Reperfusion Injury. Eur. J. Pharmacol. 2008, 587, 1–7. [Google Scholar] [CrossRef]
- Ahmed, N. Myocardial Ischemia. In Pathophysiology of Ischemia Reperfusion Injury and Use of Fingolimod in Cardioprotection; Elsevier: Amsterdam, The Netherlands, 2019; pp. 41–56. ISBN 978-0-12-818023-5. [Google Scholar]
- Crossman, D.C. The Pathophysiology of Myocardial Ischaemia. Heart 2004, 90, 576–580. [Google Scholar] [CrossRef]
- Heusch, G. Myocardial Ischaemia–Reperfusion Injury and Cardioprotection in Perspective. Nat. Rev. Cardiol. 2020, 17, 773–789. [Google Scholar] [CrossRef] [PubMed]
- Parlakpinar, H.; Orum, M.; Sagir, M. Pathophysiology of Myocardial Ischemia Reperfusion Injury: A Review. Med. Sci. Int. Med. J. 2013, 2, 935. [Google Scholar] [CrossRef]
- Pei, H.; Yang, Y.; Zhao, H.; Li, X.; Yang, D.; Li, D.; Yang, Y. The Role of Mitochondrial Functional Proteins in ROS Production in Ischemic Heart Diseases. Oxid. Med. Cell. Longev. 2016, 2016, 1–8. [Google Scholar] [CrossRef]
- Andreadou, I.; Schulz, R.; Papapetropoulos, A.; Turan, B.; Ytrehus, K.; Ferdinandy, P.; Daiber, A.; Di Lisa, F. The Role of Mitochondrial Reactive Oxygen Species, NO and H2S in Ischemia/Reperfusion Injury and Cardioprotection. J. Cell. Mol. Med. 2020, 24, 6510–6522. [Google Scholar] [CrossRef] [PubMed]
- Johansen, D.; Ytrehus, K.; Baxter, G.F. Exogenous Hydrogen Sulfide (H2S) Protects against Regional Myocardial Ischemia–Reperfusion Injury: Evidence for a Role of KATP Channels. Basic Res. Cardiol. 2006, 101, 53–60. [Google Scholar] [CrossRef]
- Sivarajah, A.; McDonald, M.C.; Thiemermann, C. The production of hydrogen sulfide limits myocardial ischemia and reperfusion injury and contributes to the cardioprotective effects of preconditioning with endotoxin, but not ischemia in the rat. Shock 2006, 26, 154–161. [Google Scholar] [CrossRef]
- Elrod, J.W.; Calvert, J.W.; Morrison, J.; Doeller, J.E.; Kraus, D.W.; Tao, L.; Jiao, X.; Scalia, R.; Kiss, L.; Szabo, C.; et al. Hydrogen Sulfide Attenuates Myocardial Ischemia-Reperfusion Injury by Preservation of Mitochondrial Function. Proc. Natl. Acad. Sci. USA 2007, 104, 15560–15565. [Google Scholar] [CrossRef]
- Moore, P.K.; Whiteman, M. (Eds.) Chemistry, Biochemistry and Pharmacology of Hydrogen Sulfide. In Handbook of Experimental Pharmacology, 1st ed.; Springer International Publishing: Cham, Switzerland, 2015; ISBN 978-3-319-18144-8. [Google Scholar]
- Bora, P.; Chauhan, P.; Pardeshi, K.A.; Chakrapani, H. Small Molecule Generators of Biologically Reactive Sulfur Species. RSC Adv. 2018, 8, 27359–27374. [Google Scholar] [CrossRef]
- Hartle, M.D.; Pluth, M.D. A Practical Guide to Working with H2S at the Interface of Chemistry and Biology. Chem. Soc. Rev. 2016, 45, 6108–6117. [Google Scholar] [CrossRef]
- Levinn, C.M.; Cerda, M.M.; Pluth, M.D. Activatable Small-Molecule Hydrogen Sulfide Donors. Antioxid. Redox Signal. 2020, 32, 96–109. [Google Scholar] [CrossRef]
- Powell, C.R.; Dillon, K.M.; Matson, J.B. A Review of Hydrogen Sulfide (H2S) Donors: Chemistry and Potential Therapeutic Applications. Biochem. Pharmacol. 2018, 149, 110–123. [Google Scholar] [CrossRef] [PubMed]
- Xu, S.; Hamsath, A.; Neill, D.L.; Wang, Y.; Yang, C.; Xian, M. Strategies for the Design of Donors and Precursors of Reactive Sulfur Species. Chem.-Eur. J. 2019, 25, 4005–4016. [Google Scholar] [CrossRef]
- Li, L.; Whiteman, M.; Guan, Y.Y.; Neo, K.L.; Cheng, Y.; Lee, S.W.; Zhao, Y.; Baskar, R.; Tan, C.-H.; Moore, P.K. Characterization of a Novel, Water-Soluble Hydrogen Sulfide–Releasing Molecule (GYY4137): New Insights Into the Biology of Hydrogen Sulfide. Circulation 2008, 117, 2351–2360. [Google Scholar] [CrossRef] [PubMed]
- Rose, P.; Dymock, B.W.; Moore, P.K. GYY4137, a Novel Water-Soluble, H2S-Releasing Molecule. In Methods in Enzymology; Elsevier: Amsterdam, The Netherlands, 2015; Volume 554, pp. 143–167. ISBN 978-0-12-801512-4. [Google Scholar]
- Alexander, B.E.; Coles, S.J.; Fox, B.C.; Khan, T.F.; Maliszewski, J.; Perry, A.; Pitak, M.B.; Whiteman, M.; Wood, M.E. Investigating the Generation of Hydrogen Sulfide from the Phosphonamidodithioate Slow-Release Donor GYY4137. MedChemComm 2015, 6, 1649–1655. [Google Scholar] [CrossRef]
- GYY4137 Protects against Myocardial Ischemia and Reperfusion Injury by Attenuating Oxidative Stress and Apoptosis in Rats. J. Biomed. Res. 2015, 29, 203–213. [CrossRef]
- Qiu, Y.; Wu, Y.; Meng, M.; Luo, M.; Zhao, H.; Sun, H.; Gao, S. GYY4137 Protects against Myocardial Ischemia/Reperfusion Injury via Activation of the PHLPP-1/Akt/Nrf2 Signaling Pathway in Diabetic Mice. J. Surg. Res. 2018, 225, 29–39. [Google Scholar] [CrossRef]
- Karwi, Q.G.; Whiteman, M.; Wood, M.E.; Torregrossa, R.; Baxter, G.F. Pharmacological Postconditioning against Myocardial Infarction with a Slow-Releasing Hydrogen Sulfide Donor, GYY4137. Pharmacol. Res. 2016, 111, 442–451. [Google Scholar] [CrossRef]
- Robinson, H.; Wray, S. A New Slow Releasing, H2S Generating Compound, GYY4137 Relaxes Spontaneous and Oxytocin-Stimulated Contractions of Human and Rat Pregnant Myometrium. PLoS ONE 2012, 7, e46278. [Google Scholar] [CrossRef]
- Landis, P.S. The Chemistry of 1,2-Dithiole-3-Thiones. Chem. Rev. 1965, 65, 237–245. [Google Scholar] [CrossRef]
- Hamada, T.; Nakane, T.; Kimura, T.; Arisawa, K.; Yoneda, K.; Yamamoto, T.; Osaki, T. Treatment of Xerostomia with the Bile Secretion-Stimulating Drug Anethole Trithione: A Clinical Trial. Am. J. Med. Sci. 1999, 318, 146–151. [Google Scholar] [CrossRef]
- Perrino, E.; Cappelletti, G.; Tazzari, V.; Giavini, E.; Soldato, P.D.; Sparatore, A. New Sulfurated Derivatives of Valproic Acid with Enhanced Histone Deacetylase Inhibitory Activity. Bioorg. Med. Chem. Lett. 2008, 18, 1893–1897. [Google Scholar] [CrossRef]
- Tazzari, V.; Cappelletti, G.; Casagrande, M.; Perrino, E.; Renzi, L.; Del Soldato, P.; Sparatore, A. New Aryldithiolethione Derivatives as Potent Histone Deacetylase Inhibitors. Bioorg. Med. Chem. 2010, 18, 4187–4194. [Google Scholar] [CrossRef] [PubMed]
- Sen, C.K.; Traber, K.E.; Packer, L. Inhibition of NF-ΚB Activation in Human T-Cell Lines by Anetholdithiolthione. Biochem. Biophys. Res. Commun. 1996, 218, 148–153. [Google Scholar] [CrossRef] [PubMed]
- Zanatta, S.D.; Jarrott, B.; Williams, S.J. Synthesis and Preliminary Pharmacological Evaluation of Aryl Dithiolethiones with Cyclooxygenase-2-Selective Inhibitory Activity and Hydrogen Sulfide-Releasing Properties. Aust. J. Chem. 2010, 63, 946. [Google Scholar] [CrossRef]
- Qandil, A. Prodrugs of Nonsteroidal Anti-Inflammatory Drugs (NSAIDs), More Than Meets the Eye: A Critical Review. Int. J. Mol. Sci. 2012, 13, 17244–17274. [Google Scholar] [CrossRef]
- Caliendo, G.; Cirino, G.; Santagada, V.; Wallace, J.L. Synthesis and Biological Effects of Hydrogen Sulfide (H2S): Development of H2S-Releasing Drugs as Pharmaceuticals. J. Med. Chem. 2010, 53, 6275–6286. [Google Scholar] [CrossRef]
- Braga, T.C.; de Jesus, I.C.G.; Soares, K.V.; Guatimosim, S.; da Silva Neto, L.; da-Silva, C.J.; Modolo, L.V.; Menezes Filho, J.E.R.; Rhana, P.; Cruz, J.S.; et al. A Novel H2S Releasing-Monastrol Hybrid (MADTOH) Inhibits L-Type Calcium Channels. New J. Chem. 2021, 45, 671–678. [Google Scholar] [CrossRef]
- Majid, P.A.; De Jong, J. Acute Hemodynamic Effects of Nifedipine in Patients with Ischemic Heart Disease. Circulation 1982, 65, 1114–1118. [Google Scholar] [CrossRef]
- Sparatore, A.; Perrino, E.; Tazzari, V.; Giustarini, D.; Rossi, R.; Rossoni, G.; Erdman, K.; Schröder, H.; Soldato, P.D. Pharmacological Profile of a Novel H2S-Releasing Aspirin. Free Radic. Biol. Med. 2009, 46, 586–592. [Google Scholar] [CrossRef]
- Huang, Q.; Sparatore, A.; Del Soldato, P.; Wu, L.; Desai, K. Hydrogen Sulfide Releasing Aspirin, ACS14, Attenuates High Glucose-Induced Increased Methylglyoxal and Oxidative Stress in Cultured Vascular Smooth Muscle Cells. PLoS ONE 2014, 9, e97315. [Google Scholar] [CrossRef]
- Rossoni, G.; Manfredi, B.; Tazzari, V.; Sparatore, A.; Trivulzio, S.; Del Soldato, P.; Berti, F. Activity of a New Hydrogen Sulfide-Releasing Aspirin (ACS14) on Pathological Cardiovascular Alterations Induced by Glutathione Depletion in Rats. Eur. J. Pharmacol. 2010, 648, 139–145. [Google Scholar] [CrossRef] [PubMed]
- Gerő, D.; Torregrossa, R.; Perry, A.; Waters, A.; Le-Trionnaire, S.; Whatmore, J.L.; Wood, M.; Whiteman, M. The Novel Mitochondria-Targeted Hydrogen Sulfide (H2S) Donors AP123 and AP39 Protect against Hyperglycemic Injury in Microvascular Endothelial Cells in Vitro. Pharmacol. Res. 2016, 113, 186–198. [Google Scholar] [CrossRef] [PubMed]
- Szczesny, B.; Módis, K.; Yanagi, K.; Coletta, C.; Le Trionnaire, S.; Perry, A.; Wood, M.E.; Whiteman, M.; Szabo, C. AP39, a Novel Mitochondria-Targeted Hydrogen Sulfide Donor, Stimulates Cellular Bioenergetics, Exerts Cytoprotective Effects and Protects against the Loss of Mitochondrial DNA Integrity in Oxidatively Stressed Endothelial Cells in Vitro. Nitric Oxide 2014, 41, 120–130. [Google Scholar] [CrossRef] [PubMed]
- Ikeda, K.; Marutani, E.; Hirai, S.; Wood, M.E.; Whiteman, M.; Ichinose, F. Mitochondria-Targeted Hydrogen Sulfide Donor AP39 Improves Neurological Outcomes after Cardiac Arrest in Mice. Nitric Oxide 2015, 49, 90–96. [Google Scholar] [CrossRef]
- Ahmad, A.; Olah, G.; Szczesny, B.; Wood, M.E.; Whiteman, M.; Szabo, C. AP39, a Mitochondrially Targeted Hydrogen Sulfide Donor, Exerts Protective Effects in Renal Epithelial Cells Subjected to Oxidative Stress in Vitro and in Acute Renal Injury in Vivo. Shock 2016, 45, 88–97. [Google Scholar] [CrossRef]
- Karwi, Q.G.; Bornbaum, J.; Boengler, K.; Torregrossa, R.; Whiteman, M.; Wood, M.E.; Schulz, R.; Baxter, G.F. AP39, a Mitochondria-Targeting Hydrogen Sulfide (H2S) Donor, Protects against Myocardial Reperfusion Injury Independently of Salvage Kinase Signalling: Cardioprotection with AP39. Br. J. Pharmacol. 2017, 174, 287–301. [Google Scholar] [CrossRef]
- Kang, J.; Li, Z.; Organ, C.L.; Park, C.-M.; Yang, C.; Pacheco, A.; Wang, D.; Lefer, D.J.; Xian, M. PH-Controlled Hydrogen Sulfide Release for Myocardial Ischemia-Reperfusion Injury. J. Am. Chem. Soc. 2016, 138, 6336–6339. [Google Scholar] [CrossRef]
- Zhang, J.; Zhang, Q.; Wang, Y.; Li, J.; Bai, Z.; Zhao, Q.; He, D.; Wang, Z.; Zhang, J.; Chen, Y. Toxicity, Bioactivity, Release of H2S in Vivo and Pharmaco-Kinetics of H2S-Donors with Thiophosphamide Structure. Eur. J. Med. Chem. 2019, 176, 456–475. [Google Scholar] [CrossRef]
- Zhao, Y.; Yang, C.; Organ, C.; Li, Z.; Bhushan, S.; Otsuka, H.; Pacheco, A.; Kang, J.; Aguilar, H.C.; Lefer, D.J.; et al. Design, Synthesis, and Cardioprotective Effects of N -Mercapto-Based Hydrogen Sulfide Donors. J. Med. Chem. 2015, 58, 7501–7511. [Google Scholar] [CrossRef]
- Yao, H.; Luo, S.; Liu, J.; Xie, S.; Liu, Y.; Xu, J.; Zhu, Z.; Xu, S. Controllable Thioester-Based Hydrogen Sulfide Slow-Releasing Donors as Cardioprotective Agents. Chem. Commun. 2019, 55, 6193–6196. [Google Scholar] [CrossRef]
- Khodade, V.S.; Pharoah, B.M.; Paolocci, N.; Toscano, J.P. Alkylamine-Substituted Perthiocarbamates: Dual Precursors to Hydropersulfide and Carbonyl Sulfide with Cardioprotective Actions. J. Am. Chem. Soc. 2020, 142, 4309–4316. [Google Scholar] [CrossRef] [PubMed]
- Testai, L.; Marino, A.; Piano, I.; Brancaleone, V.; Tomita, K.; Di Cesare Mannelli, L.; Martelli, A.; Citi, V.; Breschi, M.C.; Levi, R.; et al. The Novel H2S-Donor 4-Carboxyphenyl Isothiocyanate Promotes Cardioprotective Effects against Ischemia/Reperfusion Injury through Activation of MitoK ATP Channels and Reduction of Oxidative Stress. Pharmacol. Res. 2016, 113, 290–299. [Google Scholar] [CrossRef]
- Citi, V.; Corvino, A.; Fiorino, F.; Frecentese, F.; Magli, E.; Perissutti, E.; Santagada, V.; Brogi, S.; Flori, L.; Gorica, E.; et al. Structure-Activity Relationships Study of Isothiocyanates for H2S Releasing Properties: 3-Pyridyl-Isothiocyanate as a New Promising Cardioprotective Agent. J. Adv. Res. 2021, 27, 41–53. [Google Scholar] [CrossRef] [PubMed]
- Hu, Q.; Suarez, S.I.; Hankins, R.A.; Lukesh, J.C. Intramolecular Thiol- and Selenol-Assisted Delivery of Hydrogen Sulfide. Angew. Chem. Int. Ed. 2022, 61, e202210754. [Google Scholar] [CrossRef] [PubMed]
- Lougiakis, N.; Papapetropoulos, A.; Gikas, E.; Toumpas, S.; Efentakis, P.; Wedmann, R.; Zoga, A.; Zhou, Z.; Iliodromitis, E.K.; Skaltsounis, A.-L.; et al. Synthesis and Pharmacological Evaluation of Novel Adenine–Hydrogen Sulfide Slow Release Hybrids Designed as Multitarget Cardioprotective Agents. J. Med. Chem. 2016, 59, 1776–1790. [Google Scholar] [CrossRef]
- Ried, K.; Frank, O.R.; Stocks, N.P. Aged Garlic Extract Reduces Blood Pressure in Hypertensives: A Dose–Response Trial. Eur. J. Clin. Nutr. 2013, 67, 64–70. [Google Scholar] [CrossRef]
- Jacob, C.; Anwar, A.; Burkholz, T. Perspective on Recent Developments on Sulfur-Containing Agents and Hydrogen Sulfide Signaling. Planta Med. 2008, 74, 1580–1592. [Google Scholar] [CrossRef]
- Kashfi, K.; Olson, K.R. Biology and Therapeutic Potential of Hydrogen Sulfide and Hydrogen Sulfide-Releasing Chimeras. Biochem. Pharmacol. 2013, 85, 689–703. [Google Scholar] [CrossRef]
- Li, L.; Hsu, A.; Moore, P.K. Actions and Interactions of Nitric Oxide, Carbon Monoxide and Hydrogen Sulphide in the Cardiovascular System and in Inflammation—A Tale of Three Gases! Pharmacol. Ther. 2009, 123, 386–400. [Google Scholar] [CrossRef]
- Nicholson, C.K.; Calvert, J.W. Hydrogen Sulfide and Ischemia–Reperfusion Injury. Pharmacol. Res. 2010, 62, 289–297. [Google Scholar] [CrossRef]
- Olson, K.R. The Therapeutic Potential of Hydrogen Sulfide: Separating Hype from Hope. Am. J. Physiol.-Regul. Integr. Comp. Physiol. 2011, 301, R297–R312. [Google Scholar] [CrossRef] [PubMed]
- Predmore, B.L.; Lefer, D.J.; Gojon, G. Hydrogen Sulfide in Biochemistry and Medicine. Antioxid. Redox Signal. 2012, 17, 119–140. [Google Scholar] [CrossRef] [PubMed]
- Levinn, C.M.; Cerda, M.M.; Pluth, M.D. Development and Application of Carbonyl Sulfide-Based Donors for H2S Delivery. Acc. Chem. Res. 2019, 52, 2723–2731. [Google Scholar] [CrossRef]
- Lin, Y.; Yang, X.; Lu, Y.; Liang, D.; Huang, D. Isothiocyanates as H2S Donors Triggered by Cysteine: Reaction Mechanism and Structure and Activity Relationship. Org. Lett. 2019, 21, 5977–5980. [Google Scholar] [CrossRef] [PubMed]
- Wang, D.; Zou, L.; Jin, Q.; Hou, J.; Ge, G.; Yang, L. Human Carboxylesterases: A Comprehensive Review. Acta Pharm. Sin. B 2018, 8, 699–712. [Google Scholar] [CrossRef]
- Chauhan, P.; Bora, P.; Ravikumar, G.; Jos, S.; Chakrapani, H. Esterase Activated Carbonyl Sulfide/Hydrogen Sulfide (H2S) Donors. Org. Lett. 2017, 19, 62–65. [Google Scholar] [CrossRef]
- Fosnacht, K.G.; Cerda, M.M.; Mullen, E.J.; Pigg, H.C.; Pluth, M.D. Esterase-Activated Perthiocarbonate Persulfide Donors Provide Insights into Persulfide Persistence and Stability. ACS Chem. Biol. 2022, 17, 331–339. [Google Scholar] [CrossRef]
- Shyaka, C.; Xian, M.; Park, C.-M. Esterase-Sensitive Trithiane-Based Hydrogen Sulfide Donors. Org. Biomol. Chem. 2019, 17, 9999–10003. [Google Scholar] [CrossRef]
- Steiger, A.K.; Marcatti, M.; Szabo, C.; Szczesny, B.; Pluth, M.D. Inhibition of Mitochondrial Bioenergetics by Esterase-Triggered COS/H2S Donors. ACS Chem. Biol. 2017, 12, 2117–2123. [Google Scholar] [CrossRef]
- Yuan, Z.; Zheng, Y.; Yu, B.; Wang, S.; Yang, X.; Wang, B. Esterase-Sensitive Glutathione Persulfide Donor. Org. Lett. 2018, 20, 6364–6367. [Google Scholar] [CrossRef]
- Zheng, Y.; Yu, B.; Ji, K.; Pan, Z.; Chittavong, V.; Wang, B. Esterase-Sensitive Prodrugs with Tunable Release Rates and Direct Generation of Hydrogen Sulfide. Angew. Chem. Int. Ed. 2016, 55, 4514–4518. [Google Scholar] [CrossRef]
- Zheng, Y.; Yu, B.; Li, Z.; Yuan, Z.; Organ, C.L.; Trivedi, R.K.; Wang, S.; Lefer, D.J.; Wang, B. An Esterase-Sensitive Prodrug Approach for Controllable Delivery of Persulfide Species. Angew. Chem. 2017, 129, 11911–11915. [Google Scholar] [CrossRef]
- Liu, Q.; Ji, G.; Chu, Y.; Hao, T.; Qian, M.; Zhao, Q. Enzyme-Responsive Hybrid Prodrug of Nitric Oxide and Hydrogen Sulfide for Heart Failure Therapy. Chem. Commun. 2022, 58, 7396–7399. [Google Scholar] [CrossRef] [PubMed]
- Zhao, Y.; Pluth, M.D. Hydrogen Sulfide Donors Activated by Reactive Oxygen Species. Angew. Chem. 2016, 128, 14858–14862. [Google Scholar] [CrossRef]
- Powell, C.R.; Dillon, K.M.; Wang, Y.; Carrazzone, R.J.; Matson, J.B. A Persulfide Donor Responsive to Reactive Oxygen Species: Insights into Reactivity and Therapeutic Potential. Angew. Chem. Int. Ed. 2018, 57, 6324–6328. [Google Scholar] [CrossRef] [PubMed]
- Bora, P.; Chauhan, P.; Manna, S.; Chakrapani, H. A Vinyl-Boronate Ester-Based Persulfide Donor Controllable by Hydrogen Peroxide, a Reactive Oxygen Species (ROS). Org. Lett. 2018, 20, 7916–7920. [Google Scholar] [CrossRef]
- Hankins, R.A.; Suarez, S.I.; Kalk, M.A.; Green, N.M.; Harty, M.N.; Lukesh, J.C. An Innovative Hydrogen Peroxide-Sensing Scaffold and Insight Towards Its Potential as an ROS-Activated Persulfide Donor. Angew. Chem. Int. Ed. 2020, 59, 22238–22245. [Google Scholar] [CrossRef]
- Zhu, C.; Suarez, S.I.; Lukesh, J.C. Illuminating and Alleviating Cellular Oxidative Stress with an ROS-Activated, H2S-Donating Theranostic. Tetrahedron Lett. 2021, 69, 152944. [Google Scholar] [CrossRef]
- Lippert, A.R.; Van de Bittner, G.C.; Chang, C.J. Boronate Oxidation as a Bioorthogonal Reaction Approach for Studying the Chemistry of Hydrogen Peroxide in Living Systems. Acc. Chem. Res. 2011, 44, 793–804. [Google Scholar] [CrossRef]
- Bezner, B.J.; Ryan, L.S.; Lippert, A.R. Reaction-Based Luminescent Probes for Reactive Sulfur, Oxygen, and Nitrogen Species: Analytical Techniques and Recent Progress. Anal. Chem. 2020, 92, 309–326. [Google Scholar] [CrossRef]
- Ye, H.; Zhou, Y.; Liu, X.; Chen, Y.; Duan, S.; Zhu, R.; Liu, Y.; Yin, L. Recent Advances on Reactive Oxygen Species-Responsive Delivery and Diagnosis System. Biomacromolecules 2019, 20, 2441–2463. [Google Scholar] [CrossRef] [PubMed]
- Hu, Y.; Li, X.; Fang, Y.; Shi, W.; Li, X.; Chen, W.; Xian, M.; Ma, H. Reactive Oxygen Species-Triggered off-on Fluorescence Donor for Imaging Hydrogen Sulfide Delivery in Living Cells. Chem. Sci. 2019, 10, 7690–7694. [Google Scholar] [CrossRef]
- Zhang, N.; Hu, P.; Wang, Y.; Tang, Q.; Zheng, Q.; Wang, Z.; He, Y. A Reactive Oxygen Species (ROS) Activated Hydrogen Sulfide (H2S) Donor with Self-Reporting Fluorescence. ACS Sens. 2020, 5, 319–326. [Google Scholar] [CrossRef] [PubMed]
- Yao, M.; Lu, Y.; Shi, L.; Huang, Y.; Zhang, Q.; Tan, J.; Hu, P.; Zhang, J.; Luo, G.; Zhang, N. A ROS-Responsive, Self-Immolative and Self-Reporting Hydrogen Sulfide Donor with Multiple Biological Activities for the Treatment of Myocardial Infarction. Bioact. Mater. 2022, 9, 168–182. [Google Scholar] [CrossRef] [PubMed]
- Buzdar, A.U.; Marcus, C.; Blumenschein, G.R.; Smith, T.L. Early and Delayed Clinical Cardiotoxicity of Doxorubicin. Cancer 1985, 55, 2761–2765. [Google Scholar] [CrossRef]
- Swain, S.M.; Whaley, F.S.; Ewer, M.S. Congestive Heart Failure in Patients Treated with Doxorubicin: A Retrospective Analysis of Three Trials. Cancer 2003, 97, 2869–2879. [Google Scholar] [CrossRef] [PubMed]
- Ai, D.; Banchs, J.; Owusu-Agyemang, P.; Cata, J.P. Chemotherapy-Induced Cardiovascular Toxicity: Beyond Anthracyclines. Minerva Anestesiol. 2014, 80, 586–594. [Google Scholar] [PubMed]
- Lipshultz, S.E.; Franco, V.I.; Cochran, T.R. Cardiotoxicity in Childhood Cancer Survivors: A Problem with Long-Term Consequences in Need of Early Detection and Prevention: Cardiotoxicity in Childhood Cancer Survivors. Pediatr. Blood Cancer 2013, 60, 1395–1396. [Google Scholar] [CrossRef]
- Zamorano, J.L.; Lancellotti, P.; Rodriguez Muñoz, D.; Aboyans, V.; Asteggiano, R.; Galderisi, M.; Habib, G.; Lenihan, D.J.; Lip, G.Y.H.; Lyon, A.R.; et al. 2016 ESC Position Paper on Cancer Treatments and Cardiovascular Toxicity Developed under the Auspices of the ESC Committee for Practice Guidelines: The Task Force for Cancer Treatments and Cardiovascular Toxicity of the European Society of Cardiology (ESC). Eur. Heart J. 2016, 37, 2768–2801. [Google Scholar] [CrossRef]
- O’Hare, M.; Sharma, A.; Murphy, K.; Mookadam, F.; Lee, H. Cardio-Oncology Part I: Chemotherapy and Cardiovascular Toxicity. Expert Rev. Cardiovasc. Ther. 2015, 13, 511–518. [Google Scholar] [CrossRef]
- Minotti, G.; Menna, P.; Salvatorelli, E.; Cairo, G.; Gianni, L. Anthracyclines: Molecular Advances and Pharmacologic Developments in Antitumor Activity and Cardiotoxicity. Pharmacol. Rev. 2004, 56, 185–229. [Google Scholar] [CrossRef] [PubMed]
- Gewirtz, D. A Critical Evaluation of the Mechanisms of Action Proposed for the Antitumor Effects of the Anthracycline Antibiotics Adriamycin and Daunorubicin. Biochem. Pharmacol. 1999, 57, 727–741. [Google Scholar] [CrossRef] [PubMed]
- Doroshow, J.H.; Davies, K.J. Redox Cycling of Anthracyclines by Cardiac Mitochondria. II. Formation of Superoxide Anion, Hydrogen Peroxide, and Hydroxyl Radical. J. Biol. Chem. 1986, 261, 3068–3074. [Google Scholar] [CrossRef] [PubMed]
- Wallace, K.B.; Sardão, V.A.; Oliveira, P.J. Mitochondrial Determinants of Doxorubicin-Induced Cardiomyopathy. Circ. Res. 2020, 126, 926–941. [Google Scholar] [CrossRef]
- Granados-Principal, S.; Quiles, J.L.; Ramirez-Tortosa, C.L.; Sanchez-Rovira, P.; Ramirez-Tortosa, M.C. New Advances in Molecular Mechanisms and the Prevention of Adriamycin Toxicity by Antioxidant Nutrients. Food Chem. Toxicol. 2010, 48, 1425–1438. [Google Scholar] [CrossRef]
- Doroshow, J.H.; Locker, G.Y.; Myers, C.E. Enzymatic Defenses of the Mouse Heart Against Reactive Oxygen Metabolites. J. Clin. Investig. 1980, 65, 128–135. [Google Scholar] [CrossRef]
- Octavia, Y.; Tocchetti, C.G.; Gabrielson, K.L.; Janssens, S.; Crijns, H.J.; Moens, A.L. Doxorubicin-Induced Cardiomyopathy: From Molecular Mechanisms to Therapeutic Strategies. J. Mol. Cell. Cardiol. 2012, 52, 1213–1225. [Google Scholar] [CrossRef]
- Upadhayay, S.; Sharma, N.; Mantha, A.K.; Dhiman, M. Anti-Cancer Drug Doxorubicin Induced Cardiotoxicity: Understanding The Mechanisms Involved In Ros Generation Resulting In Mitochondrial Dysfunction. Rasayan J. Chem. 2020, 13, 1042–1053. [Google Scholar] [CrossRef]
- Rawat, P.S.; Jaiswal, A.; Khurana, A.; Bhatti, J.S.; Navik, U. Doxorubicin-Induced Cardiotoxicity: An Update on the Molecular Mechanism and Novel Therapeutic Strategies for Effective Management. Biomed. Pharmacother. 2021, 139, 111708. [Google Scholar] [CrossRef]
- Du, S.; Huang, Y.; Jin, H.; Wang, T. Protective Mechanism of Hydrogen Sulfide against Chemotherapy-Induced Cardiotoxicity. Front. Pharmacol. 2018, 9, 32. [Google Scholar] [CrossRef]
- Su, Y.-W.; Liang, C.; Jin, H.-F.; Tang, X.-Y.; Han, W.; Chai, L.-J.; Zhang, C.-Y.; Geng, B.; Tang, C.-S.; Du, J.-B. Hydrogen Sulfide Regulates Cardiac Function and Structure in Adriamycin-Induced Cardiomyopathy. Circ. J. 2009, 73, 741–749. [Google Scholar] [CrossRef]
- Guo, R.; Lin, J.; Xu, W.; Shen, N.; Mo, L.; Zhang, C.; Feng, J. Hydrogen Sulfide Attenuates Doxorubicin-Induced Cardiotoxicity by Inhibition of the P38 MAPK Pathway in H9c2 Cells. Int. J. Mol. Med. 2013, 31, 644–650. [Google Scholar] [CrossRef] [PubMed]
- Wang, X.-Y.; Yang, C.-T.; Zheng, D.-D.; Mo, L.-Q.; Lan, A.-P.; Yang, Z.-L.; Hu, F.; Chen, P.-X.; Liao, X.-X.; Feng, J.-Q. Hydrogen Sulfide Protects H9c2 Cells against Doxorubicin-Induced Cardiotoxicity through Inhibition of Endoplasmic Reticulum Stress. Mol. Cell. Biochem. 2012, 363, 419–426. [Google Scholar] [CrossRef]
- Liu, M.-H.; Lin, X.-L.; Zhang, Y.; He, J.; Tan, T.-P.; Wu, S.-J.; Liu, J.; Tian, W.; Chen, L.; Yu, S.; et al. Hydrogen Sulfide Attenuates Doxorubicin-Induced Cardiotoxicity by Inhibiting Reactive Oxygen Species-Activated Extracellular Signal-Regulated Kinase 1/2 in H9c2 Cardiac Myocytes. Mol. Med. Rep. 2015, 12, 6841–6848. [Google Scholar] [CrossRef]
- Waz, S.; Heeba, G.H.; Hassanin, S.O.; Abdel-latif, R.G. Nephroprotective Effect of Exogenous Hydrogen Sulfide Donor against Cyclophosphamide-Induced Toxicity Is Mediated by Nrf2/HO-1/NF-ΚB Signaling Pathway. Life Sci. 2021, 264, 118630. [Google Scholar] [CrossRef]
- Azarbarz, N.; Shafiei Seifabadi, Z.; Moaiedi, M.Z.; Mansouri, E. Assessment of the Effect of Sodium Hydrogen Sulfide (Hydrogen Sulfide Donor) on Cisplatin-Induced Testicular Toxicity in Rats. Environ. Sci. Pollut. Res. 2020, 27, 8119–8128. [Google Scholar] [CrossRef]
- Chegaev, K.; Rolando, B.; Cortese, D.; Gazzano, E.; Buondonno, I.; Lazzarato, L.; Fanelli, M.; Hattinger, C.M.; Serra, M.; Riganti, C.; et al. H2S-Donating Doxorubicins May Overcome Cardiotoxicity and Multidrug Resistance. J. Med. Chem. 2016, 59, 4881–4889. [Google Scholar] [CrossRef]
- Persidis, A. Cancer Multidrug Resistance. Nat. Biotechnol. 1999, 17, 94–95. [Google Scholar] [CrossRef] [PubMed]
- Bigagli, E.; Luceri, C.; De Angioletti, M.; Chegaev, K.; D’Ambrosio, M.; Riganti, C.; Gazzano, E.; Saponara, S.; Longini, M.; Luceri, F.; et al. New NO- and H2S-Releasing Doxorubicins as Targeted Therapy against Chemoresistance in Castration-Resistant Prostate Cancer: In Vitro and in Vivo Evaluations. Invest. New Drugs 2018, 36, 985–998. [Google Scholar] [CrossRef] [PubMed]
- Durante, M.; Frosini, M.; Chiaino, E.; Fusi, F.; Gamberucci, A.; Gorelli, B.; Chegaev, K.; Riganti, C.; Saponara, S. Sdox, a H2S Releasing Anthracycline, with a Safer Profile than Doxorubicin toward Vasculature. Vascul. Pharmacol. 2022, 143, 106969. [Google Scholar] [CrossRef]
- Gazzano, E.; Buondonno, I.; Marengo, A.; Rolando, B.; Chegaev, K.; Kopecka, J.; Saponara, S.; Sorge, M.; Hattinger, C.M.; Gasco, A.; et al. Hyaluronated Liposomes Containing H2S-Releasing Doxorubicin Are Effective against P-Glycoprotein-Positive/Doxorubicin-Resistant Osteosarcoma Cells and Xenografts. Cancer Lett. 2019, 456, 29–39. [Google Scholar] [CrossRef]
- Hu, Q.; Yammani, R.D.; Brown-Harding, H.; Soto-Pantoja, D.R.; Poole, L.B.; Lukesh, J.C. Mitigation of Doxorubicin-Induced Cardiotoxicity with an H2O2-Activated, H2S-Donating Hybrid Prodrug. Redox Biol. 2022, 53, 102338. [Google Scholar] [CrossRef]
- Liou, G.-Y.; Storz, P. Reactive Oxygen Species in Cancer. Free Radic. Res. 2010, 44, 479–496. [Google Scholar] [CrossRef]
- Wang, L.; Xie, S.; Ma, L.; Chen, Y.; Lu, W. 10-Boronic Acid Substituted Camptothecin as Prodrug of SN-38. Eur. J. Med. Chem. 2016, 116, 84–89. [Google Scholar] [CrossRef] [PubMed]
- Kuang, Y.; Balakrishnan, K.; Gandhi, V.; Peng, X. Hydrogen Peroxide Inducible DNA Cross-Linking Agents: Targeted Anticancer Prodrugs. J. Am. Chem. Soc. 2011, 133, 19278–19281. [Google Scholar] [CrossRef] [PubMed]
- Ai, Y.; Obianom, O.N.; Kuser, M.; Li, Y.; Shu, Y.; Xue, F. Enhanced Tumor Selectivity of 5-Fluorouracil Using a Reactive Oxygen Species-Activated Prodrug Approach. ACS Med. Chem. Lett. 2019, 10, 127–131. [Google Scholar] [CrossRef] [PubMed]
- Skarbek, C.; Serra, S.; Maslah, H.; Rascol, E.; Labruère, R. Arylboronate Prodrugs of Doxorubicin as Promising Chemotherapy for Pancreatic Cancer. Bioorganic Chem. 2019, 91, 103158. [Google Scholar] [CrossRef]
- Mirzaei, S.; Zarrabi, A.; Hashemi, F.; Zabolian, A.; Saleki, H.; Azami, N.; Hamzehlou, S.; Farahani, M.V.; Hushmandi, K.; Ashrafizadeh, M.; et al. Nrf2 Signaling Pathway in Chemoprotection and Doxorubicin Resistance: Potential Application in Drug Discovery. Antioxidants 2021, 10, 349. [Google Scholar] [CrossRef]
- Nordgren, K.K.S.; Wallace, K.B. Disruption of the Keap1/Nrf2-Antioxidant Response System After Chronic Doxorubicin Exposure In Vivo. Cardiovasc. Toxicol. 2020, 20, 557–570. [Google Scholar] [CrossRef]
- Alzahrani, A.M.; Rajendran, P.; Veeraraghavan, V.P.; Hanieh, H. Cardiac Protective Effect of Kirenol against Doxorubicin-Induced Cardiac Hypertrophy in H9c2 Cells through Nrf2 Signaling via PI3K/AKT Pathways. Int. J. Mol. Sci. 2021, 22, 3269. [Google Scholar] [CrossRef]
- Gu, J.; Huang, H.; Liu, C.; Jiang, B.; Li, M.; Liu, L.; Zhang, S. Pinocembrin Inhibited Cardiomyocyte Pyroptosis against Doxorubicin-Induced Cardiac Dysfunction via Regulating Nrf2/Sirt3 Signaling Pathway. Int. Immunopharmacol. 2021, 95, 107533. [Google Scholar] [CrossRef]
- Pan, T.-T.; Feng, Z.-N.; Lee, S.W.; Moore, P.K.; Bian, J.-S. Endogenous Hydrogen Sulfide Contributes to the Cardioprotection by Metabolic Inhibition Preconditioning in the Rat Ventricular Myocytes. J. Mol. Cell. Cardiol. 2006, 40, 119–130. [Google Scholar] [CrossRef] [PubMed]
- Mazza, R.; Pasqua, T.; Cerra, M.C.; Angelone, T.; Gattuso, A. Akt/ENOS Signaling and PLN S-Sulfhydration Are Involved in H2S-Dependent Cardiac Effects in Frog and Rat. Am. J. Physiol.-Regul. Integr. Comp. Physiol. 2013, 305, R443–R451. [Google Scholar] [CrossRef] [PubMed]
- Hu, Y.; Chen, X.; Pan, T.-T.; Neo, K.L.; Lee, S.W.; Khin, E.S.W.; Moore, P.K.; Bian, J.-S. Cardioprotection Induced by Hydrogen Sulfide Preconditioning Involves Activation of ERK and PI3K/Akt Pathways. Pflüg. Arch.—Eur. J. Physiol. 2007, 455, 607–616. [Google Scholar] [CrossRef] [PubMed]
- Liu, M.-H.; Zhang, Y.; He, J.; Tan, T.-P.; Wu, S.-J.; Guo, D.-M.; He, H.; Peng, J.; Tang, Z.-H.; Jiang, Z.-S. Hydrogen Sulfide Protects H9c2 Cardiac Cells against Doxorubicin-Induced Cytotoxicity through the PI3K/Akt/FoxO3a Pathway. Int. J. Mol. Med. 2016, 37, 1661–1668. [Google Scholar] [CrossRef] [PubMed]
- Guo, R.; Wu, K.; Chen, J.; Mo, L.; Hua, X.; Zheng, D.; Chen, P.; Chen, G.; Xu, W.; Feng, J. Exogenous Hydrogen Sulfide Protects against Doxorubicin-Induced Inflammation and Cytotoxicity by Inhibiting P38MAPK/NFκB Pathway in H9c2 Cardiac Cells. Cell. Physiol. Biochem. 2013, 32, 1668–1680. [Google Scholar] [CrossRef]
- Xu, W.; Chen, J.; Lin, J.; Liu, D.; Mo, L.; Pan, W.; Feng, J.; Wu, W.; Zheng, D. Exogenous H2S Protects H9c2 Cardiac Cells against High Glucose-Induced Injury and Inflammation by Inhibiting the Activation of the NF-ΚB and IL-1β Pathways. Int. J. Mol. Med. 2015, 35, 177–186. [Google Scholar] [CrossRef]
- Yarmohammadi, F.; Hayes, A.W.; Karimi, G. The Cardioprotective Effects of Hydrogen Sulfide by Targeting Endoplasmic Reticulum Stress and the Nrf2 Signaling Pathway: A Review. BioFactors 2021, 47, 701–712. [Google Scholar] [CrossRef]
- Wu, D.; Gu, Y.; Zhu, D. Cardioprotective Effects of Hydrogen Sulfide in Attenuating Myocardial Ischemia-reperfusion Injury (Review). Mol. Med. Rep. 2021, 24, 875. [Google Scholar] [CrossRef]
Disclaimer/Publisher’s Note: The statements, opinions and data contained in all publications are solely those of the individual author(s) and contributor(s) and not of MDPI and/or the editor(s). MDPI and/or the editor(s) disclaim responsibility for any injury to people or property resulting from any ideas, methods, instructions or products referred to in the content. |
© 2023 by the authors. Licensee MDPI, Basel, Switzerland. This article is an open access article distributed under the terms and conditions of the Creative Commons Attribution (CC BY) license (https://creativecommons.org/licenses/by/4.0/).
































