Antioxidant and Antimicrobial Activity of Algal and Cyanobacterial Extracts: An In Vitro Study
Abstract
1. Introduction
2. Materials and Methods
2.1. Algal and Cyanobacterial Material
2.2. Chemical Composition
2.3. Algae Extraction
2.4. HPLC-Exploris-Orbitrap®-MS Analysis
2.5. HPLC-Exactive-HRMS Untargeted Metabolomics Approach
2.6. Evaluation of Antioxidant Properties (ABTS Assay)
2.7. Molecular Characterization of Escherichia coli
2.8. Growth Inhibition Assay
2.9. Cell Treatment
2.10. Viability Assay on Intestinal IPEC-J2 Cell
2.11. Membrane Stability Assay on Intestinal IPEC-J2 Cells
2.12. Statistical Analysis
3. Results
3.1. Chemical Analysis
3.2. Evaluation of Molecules with Antioxidant Properties
3.3. Antioxidant Activity
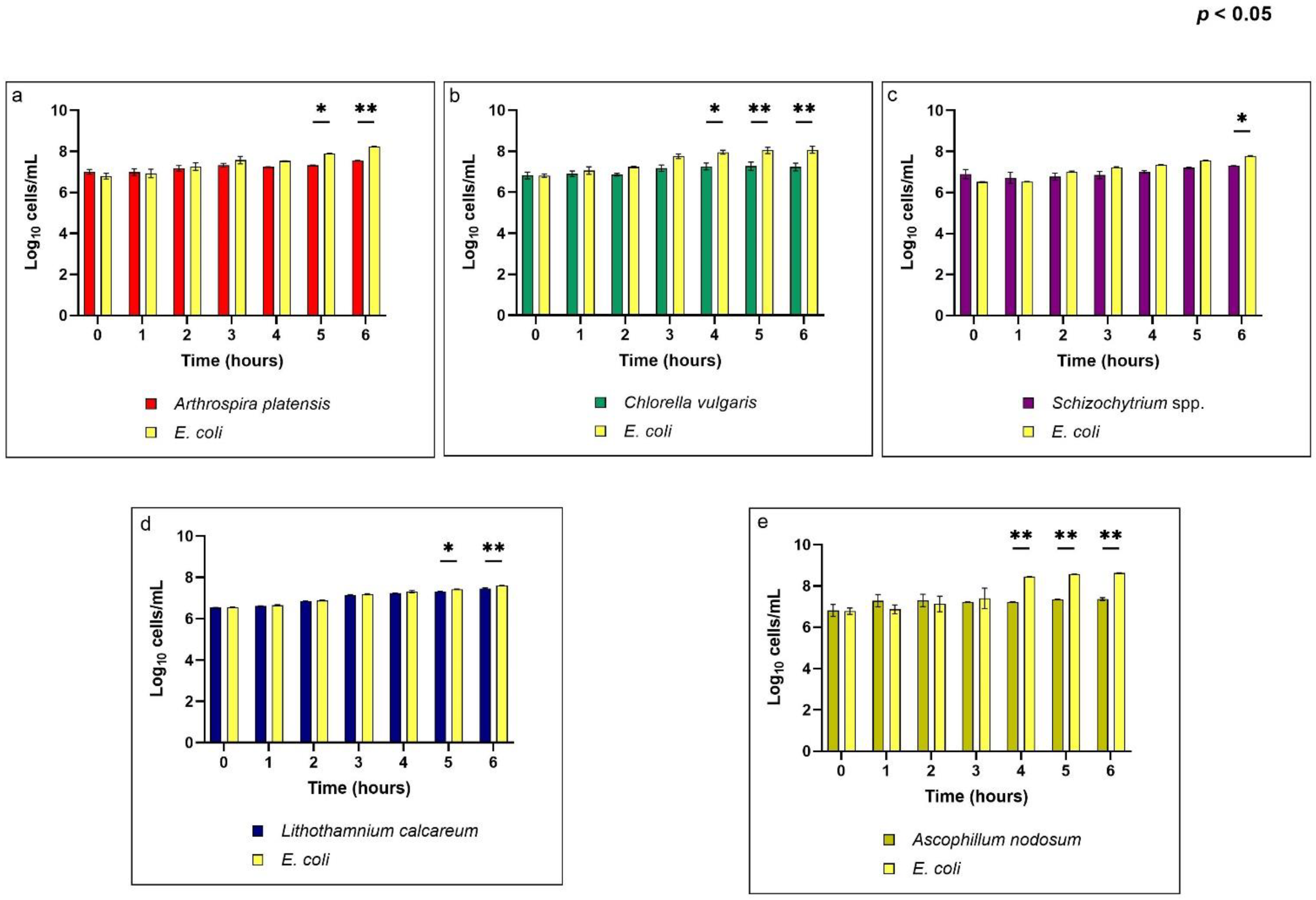
3.4. Growth Inhibition Activity
3.5. Viability and Membrane Integrity of Intestinal IPEC-J2 Cells
4. Discussion
4.1. Chemical Analysis
4.2. Antioxidant Activity
4.3. Growth Inhibitory Activity of O138 E. coli
4.4. Viability of Intestinal IPEC-J2 Cells
5. Conclusions
Supplementary Materials
Author Contributions
Funding
Institutional Review Board Statement
Informed Consent Statement
Data Availability Statement
Acknowledgments
Conflicts of Interest
References
- EFSA Panel on Animal Health and Welfare (AHAW). Guidance on Risk Assessment for Animal Welfare. EFSA J. 2012, 10, 2513. [Google Scholar] [CrossRef]
- Murphy, D.; Ricci, A.; Auce, Z.; Beechinor, J.G.; Bergendahl, H.; Breathnach, R.; Bureš, J.; Duarte Da Silva, J.P.; Hederová, J.; Hekman, P.; et al. EMA and EFSA Joint Scientific Opinion on Measures to Reduce the Need to Use Antimicrobial Agents in Animal Husbandry in the European Union, and the Resulting Impacts on Food Safety (RONAFA). EFSA J. 2017, 15, e04666. [Google Scholar] [CrossRef] [PubMed]
- Available online: https://Www.Who.Int/News-Room/Fact-Sheets/Detail/Antibiotic-Resistance (accessed on 27 March 2022).
- Amezcua, R.; Friendship, R.M.; Dewey, C.E.; Gyles, C.; Fairbrother, J.M. Presentation of Postweaning Escherichia Coli Diarrhea in Southern Ontario, Prevalence of Hemolytic E. Coli Serogroups Involved, and Their Antimicrobial Resistance Patterns. Can. J. Vet. Res. 2002, 66, 73–78. [Google Scholar] [PubMed]
- Verdonck, F.; Cox, E.; van Gog, K.; Van der Stede, Y.; Duchateau, L.; Deprez, P.; Goddeeris, B.M. Different Kinetic of Antibody Responses Following Infection of Newly Weaned Pigs with an F4 Enterotoxigenic Escherichia Coli Strain or an F18 Verotoxigenic Escherichia Coli Strain. Vaccine 2002, 20, 2995–3004. [Google Scholar] [CrossRef]
- Rossi, L.; Pinotti, L.; Agazzi, A.; Dell’Orto, V.; Baldi, A. Plant Bioreactors for the Antigenic Hook-Associated FlgK Protein Expression. Ital. J. Anim. Sci. 2014, 13, 2939. [Google Scholar] [CrossRef]
- Windisch, W.; Schedle, K.; Plitzner, C.; Kroismayr, A. Use of Phytogenic Products as Feed Additives for Swine and Poultry. J. Anim. Sci. 2008, 86, E140–E148. [Google Scholar] [CrossRef]
- Hejna, M.; Kovanda, L.; Rossi, L.; Liu, Y. Mint Oils: In Vitro Ability to Perform Anti-Inflammatory, Antioxidant, and Antimicrobial Activities and to Enhance Intestinal Barrier Integrity. Antioxidants 2021, 10, 1004. [Google Scholar] [CrossRef]
- EU Commission. Regulation EC 1831/2003 of the European Parliament and of the Council, of 22 September 2003 on Additives for Use in Animal Nutrition (Text with EEA Relevance); EU Commission: Brussels, Belgium, 2003.
- Gupta, S.; Abu-Ghannam, N. Recent Developments in the Application of Seaweeds or Seaweed Extracts as a Means for Enhancing the Safety and Quality Attributes of Foods. Innov. Food Sci. Emerg. Technol. 2011, 12, 600–609. [Google Scholar] [CrossRef]
- de Clerck, O.; Bogaert, K.A.; Leliaert, F. Diversity and evolution of algae: Primary endosymbiosis. Adv. Bot. Res. 2012, 64, 55–86. [Google Scholar]
- Guiry, M.D. How many species of algae are there? J. Phycol. 2012, 48, 1057–1063. [Google Scholar] [CrossRef]
- Chandini, S.K.; Ponesakki, G.; Suresh, P.V. Nimisha Bhaskar Seaweeds as a Source of Nutritionally Beneficial Compounds—A Review. J. Food Sci. Technol. 2008, 45, 1–13. [Google Scholar]
- Garcia-Vaquero, M.; Rajauria, G.; O’Doherty, J.V.; Sweeney, T. Polysaccharides from Macroalgae: Recent Advances, Innovative Technologies and Challenges in Extraction and Purification. Food Res. Int. 2017, 99, 1011–1020. [Google Scholar] [CrossRef] [PubMed]
- Larkum, A.W.D.; Ross, I.L.; Kruse, O.; Hankamer, B. Selection, Breeding and Engineering of Microalgae for Bioenergy and Biofuel Production. Trends Biotechnol. 2012, 30, 198–205. [Google Scholar] [CrossRef]
- Paniagua-Michel, J.; Olmos-Soto, J.; Ruiz, M.A. Pathways of Carotenoid Biosynthesis in Bacteria and Microalgae. Methods Mol. Biol. 2012, 892, 1–12. [Google Scholar] [PubMed]
- Pereira, L.; Morrison, L.; Shukla, P.S.; Critchley, A.T. A Concise Review of the Brown Macroalga Ascophyllum Nodosum (Linnaeus) Le Jolis. J. Appl. Phycol. 2020, 32, 3561–3584. [Google Scholar] [CrossRef]
- Montañez-Valdez, O.D.; Pinos-Rodriguez, J.; Rubio, R.R.; Salinas-Chavira, J.; Martíneztinajero, J.J.; Salem, A.Z.M.; Avellaneda, J.H. Effect of a Calcified-Seaweed Extract as Rumen Buffer on Ruminal Disappearance and Fermentation in Steers. Indian J. Anim. Sci. 2012, 82, 430–432. [Google Scholar]
- Morais, T.; Inácio, A.; Coutinho, T.; Ministro, M.; Cotas, J.; Pereira, L.; Bahcevandziev, K. Seaweed Potential in the Animal Feed: A Review. J. Mar. Sci. Eng. 2020, 8, 559. [Google Scholar] [CrossRef]
- Molino, A.; Iovine, A.; Casella, P.; Mehariya, S.; Chianese, S.; Cerbone, A.; Rimauro, J.; Musmarra, D. Microalgae Characterization for Consolidated and New Application in Human Food, Animal Feed and Nutraceuticals. Int. J. Environ. Res. Public Health 2018, 15, 2436. [Google Scholar] [CrossRef]
- Camacho, F.; Macedo, A.; Malcata, F. Potential Industrial Applications and Commercialization of Microalgae in the Functional Food and Feed Industries: A Short Review. Mar. Drugs 2019, 17, 312. [Google Scholar] [CrossRef]
- Pulz, O.; Gross, W. Valuable Products from Biotechnology of Microalgae. Appl. Microbiol. Biotechnol. 2004, 65, 635–648. [Google Scholar] [CrossRef]
- Spolaore, P.; Joannis-Cassan, C.; Duran, E.; Isambert, A. Commercial Applications of Microalgae. J. Biosci. Bioeng. 2006, 101, 87–96. [Google Scholar] [CrossRef] [PubMed]
- Liu, G.; Yu, X.; Li, S.; Shao, W.; Zhang, N. Effects of Dietary Microalgae (Schizochytrium Spp.) Supplement on milk Performance, Blood Parameters, and Milk Fatty Acid Composition in dairy Cows. Czech J. Anim. Sci. 2020, 65, 162–171. [Google Scholar] [CrossRef]
- Madeira, M.S.; Cardoso, C.; Lopes, P.A.; Coelho, D.; Afonso, C.; Bandarra, N.M.; Prates, J.A.M. Microalgae as Feed Ingredients for Livestock Production and Meat Quality: A Review. Livest. Sci. 2017, 205, 111–121. [Google Scholar] [CrossRef]
- AOAC. Official Methods of Analysis, 16th ed.; Association of Official Analytical Chemists: Washington, DC, USA, 2005. [Google Scholar]
- AOCS. Approved Procedure Ba 6a-05: Crude Fiber Analysis in Feeds by Filter Bag Technique. In Official Methods and Recommended Practices, 4th ed.; American Oil Chemists’ Society: Champaign, IL, USA, 2009. [Google Scholar]
- Gouvinhas, I.; Santos, R.A.; Queiroz, M.; Leal, C.; Saavedra, M.J.; Domínguez-Perles, R.; Rodrigues, M.; Barros, A.I.R.N.A. Monitoring the Antioxidant and Antimicrobial Power of Grape (Vitis vinifera L.) Stems Phenolics over Long-Term Storage. Ind. Crops Prod. 2018, 126, 83–91. [Google Scholar] [CrossRef]
- Leoni, V.; Giupponi, L.; Pavlovic, R.; Gianoncelli, C.; Cecati, F.; Ranzato, E.; Martinotti, S.; Pedrali, D.; Giorgi, A.; Panseri, S. Multidisciplinary Analysis of Italian Alpine Wildflower Honey Reveals Criticalities, Diversity and Value. Sci. Rep. 2021, 11, 19316. [Google Scholar] [CrossRef]
- Dell’Anno, M.; Sotira, S.; Rebucci, R.; Reggi, S.; Castiglioni, B.; Rossi, L. In Vitro Evaluation of Antimicrobial and Antioxidant Activities of Algal Extracts. Ital. J. Anim. Sci. 2020, 19, 103–113. [Google Scholar] [CrossRef]
- Rossi, L.; Turin, L.; Alborali, G.L.; Demartini, E.; Filipe, J.F.S.; Riva, F.; Riccaboni, P.; Scanziani, E.; Trevisi, P.; Dall’Ara, P.; et al. Translational Approach to Induce and Evaluate Verocytotoxic E. Coli O138 Based Disease in Piglets. Animals 2021, 11, 2415. [Google Scholar] [CrossRef]
- Myers, J.A.; Curtis, B.S.; Curtis, W.R. Improving Accuracy of Cell and Chromophore Concentration Measurements Using Optical Density. BMC Biophys. 2013, 6, 4. [Google Scholar] [CrossRef]
- Sundaram, T.S.; Giromini, C.; Rebucci, R.; Baldi, A. Omega-3 Polyunsaturated Fatty Acids Counteract Inflammatory and Oxidative Damage of Non-Transformed Porcine Enterocytes. Animals 2020, 10, 956. [Google Scholar] [CrossRef]
- Makkar, H.P.S.; Tran, G.; Heuzé, V.; Giger-Reverdin, S.; Lessire, M.; Lebas, F.; Ankers, P. Seaweeds for Livestock Diets: A Review. Anim. Feed. Sci. Technol. 2016, 212, 1–17. [Google Scholar] [CrossRef]
- Becker, W. Microalgae in Human and Animal Nutrition. In Handbook of Microalgal Culture; Blackwell Publishing Ltd.: Oxford, UK, 2013; pp. 312–351. [Google Scholar]
- Lourenço, S.O.; Barbarino, E.; Lavín, P.L.; Lanfer Marquez, U.M.; Aidar, E. Distribution of Intracellular Nitrogen in Marine Microalgae: Calculation of New Nitrogen-to-Protein Conversion Factors. Eur. J. Phycol. 2004, 39, 17–32. [Google Scholar] [CrossRef]
- Quideau, S.; Deffieux, D.; Douat-Casassus, C.; Pouységu, L. Plant Polyphenols: Chemical Properties, Biological Activities, and Synthesis. Angew. Chem. Int. Ed. 2011, 50, 586–621. [Google Scholar] [CrossRef] [PubMed]
- Machu, L.; Misurcova, L.; Vavra Ambrozova, J.; Orsavova, J.; Mlcek, J.; Sochor, J.; Jurikova, T. Phenolic Content and Antioxidant Capacity in Algal Food Products. Molecules 2015, 20, 1118–1133. [Google Scholar] [CrossRef] [PubMed]
- Gaucher, C.; Boudier, A.; Bonetti, J.; Clarot, I.; Leroy, P.; Parent, M. Glutathione: Antioxidant Properties Dedicated to Nanotechnologies. Antioxidants 2018, 7, 62. [Google Scholar] [CrossRef]
- Shanab, S.M.; Mostafa, S.S.; Shalaby, E.A.; Mahmoud, G.I. Aqueous Extracts of Microalgae Exhibit Antioxidant and Anticancer Activities. Asian Pac. J. Trop. Biomed. 2012, 2, 608–615. [Google Scholar] [CrossRef]
- Sabeena Farvin, K.H.; Jacobsen, C. Phenolic Compounds and Antioxidant Activities of Selected Species of Seaweeds from Danish Coast. Food Chem. 2013, 138, 1670–1681. [Google Scholar] [CrossRef]
- Rastian, Z.; Mehranian, M.; Vahabzadeh, F.; Sartavi, K. Antioxidant Activity of Extract from a Brown Alga, Sargassum Boveanum. Afr. J. Biotechnol. 2007, 6, 2740–2745. [Google Scholar] [CrossRef][Green Version]
- Yuan, Y.V.; Bone, D.E.; Carrington, M.F. Antioxidant Activity of Dulse (Palmaria Palmata) Extract Evaluated in Vitro. Food Chem. 2005, 91, 485–494. [Google Scholar] [CrossRef]
- Choochote, W.; Suklampoo, L.; Ochaikul, D. Evaluation of Antioxidant Capacities of Green Microalgae. J. Appl. Phycol. 2014, 26, 43–48. [Google Scholar] [CrossRef]
- Dong, J.W.; Cai, L.; Xing, Y.; Yu, J.; Ding, Z.T. Re-evaluation of ABTS*+ Assay for Total Antioxidant Capacity of Natural Products. Nat. Prod. Commun. 2015, 10, 2169–2172. [Google Scholar] [CrossRef]
- Xie, J.; Schaich, K.M. Re-Evaluation of the 2,2-Diphenyl-1-Picrylhydrazyl Free Radical (DPPH) Assay for Antioxidant Activity. J. Agric. Food Chem. 2014, 62, 4251–4260. [Google Scholar] [CrossRef] [PubMed]
- Sathya, R.; Kanaga, N.; Sankar, P.; Jeeva, S. Antioxidant Properties of Phlorotannins from Brown Seaweed Cystoseira Trinodis (Forsskål) C. Agardh. Arab. J. Chem. 2017, 10, S2608–S2614. [Google Scholar] [CrossRef]
- Kadam, S.U.; Tiwari, B.K.; O’Donnell, C.P. Extraction, Structure and Biofunctional Activities of Laminarin from Brown Algae. Int. J. Food Sci. Technol. 2015, 50, 24–31. [Google Scholar] [CrossRef]
- dos Santos Madeira, M.S.M.; Lopes, P.A.A.B.; Martins, C.F.; Assunção, J.M.P.; Alfaia, C.M.R.P.M.; Pinto, R.M.A.; Prates, J.A.M. Dietary Arthrospira Platensis Improves Systemic Antioxidant Potential and Changes Plasma Lipids without Affecting Related Hepatic Metabolic Pathways in Post-Weaned Piglets. BMC Vet. Res. 2021, 17, 158. [Google Scholar] [CrossRef] [PubMed]
- Park, J.H.; Lee, S.I.; Kim, I.H. Effect of Dietary Spirulina (Arthrospira) Platensis on the Growth Performance, Antioxidant Enzyme Activity, Nutrient Digestibility, Cecal Microflora, Excreta Noxious Gas Emission, and Breast Meat Quality of Broiler Chickens. Poult. Sci. 2018, 97, 2451–2459. [Google Scholar] [CrossRef]
- Mata, T.M.; Martins, A.A.; Caetano, N.S. Microalgae for Biodiesel Production and Other Applications: A Review. Renew. Sustain. Energy Rev. 2010, 14, 217–232. [Google Scholar] [CrossRef]
- Véricel, E.; Polette, A.; Bacot, S.; Calzada, C.; Lagarde, M. Pro- and Antioxidant Activities of Docosahexaenoic Acid on Human Blood Platelets. J. Thromb. Haemost. 2003, 1, 566–572. [Google Scholar] [CrossRef]
- Bogdanova, A.A.; Flerova, E.A. Biochemical and Hematological Composition of Blood of Cattle Fed with Chlorella. Regul. Mech. Biosyst. 2018, 9, 244–249. [Google Scholar] [CrossRef]
- Sikiru, A.B.; Arangasamy, A.; Alemede, I.C.; Guvvala, P.R.; Egena, S.S.A.; Ippala, J.R.; Bhatta, R. Chlorella Vulgaris Supplementation Effects on Performances, Oxidative Stress and Antioxidant Genes Expression in Liver and Ovaries of New Zealand White Rabbits. Heliyon 2019, 5, e02470. [Google Scholar] [CrossRef]
- Tsiplakou, E.; Abdullah, M.A.M.; Skliros, D.; Chatzikonstantinou, M.; Flemetakis, E.; Labrou, N.; Zervas, G. The Effect of Dietary Chlorella Vulgaris Supplementation on Micro-Organism Community, Enzyme Activities and Fatty Acid Profile in the Rumen Liquid of Goats. J. Anim. Physiol. Anim. Nutr. 2017, 101, 275–283. [Google Scholar] [CrossRef]
- Lee, J.-C.; Hou, M.-F.; Huang, H.-W.; Chang, F.-R.; Yeh, C.-C.; Tang, J.-Y.; Chang, H.-W. Marine Algal Natural Products with Anti-Oxidative, Anti-Inflammatory, and Anti-Cancer Properties. Cancer Cell Int. 2013, 13, 55. [Google Scholar] [CrossRef] [PubMed]
- Asker, M.; Mohamed, S.F.; Ali, F.M.; El-Sayed, O.H. Chemical Structure and Antiviral Activity of Water-Soluble Sulfated Polysaccharides from Sargassum Latifolium. J. Appl. Sci. Res. 2012, 3, 1178–1185. [Google Scholar]
- Wang, J.; Zhang, Q.; Zhang, Z.; Li, Z. Antioxidant Activity of Sulfated Polysaccharide Fractions Extracted from Laminaria Japonica. Int. J. Biol. Macromol. 2008, 42, 127–132. [Google Scholar] [CrossRef] [PubMed]
- Zvyagintseva, T.N.; Shevchenko, N.M.; Chizhov, A.O.; Krupnova, T.N.; Sundukova, E.; Isakov, V.V. Water-Soluble Polysaccharides of Some Far-Eastern Brown Seaweeds. Distribution, Structure, and Their Dependence on the Developmental Conditions. J. Exp. Mar. Biol. Ecol. 2003, 294, 1–13. [Google Scholar] [CrossRef]
- Agregán, R.; Munekata, P.; Franco, D.; Carballo, J.; Barba, F.; Lorenzo, J. Antioxidant Potential of Extracts Obtained from Macro- (Ascophyllum Nodosum, Fucus Vesiculosus and Bifurcaria Bifurcata) and Micro-Algae (Chlorella Vulgaris and Spirulina Platensis) Assisted by Ultrasound. Medicines 2018, 5, 33. [Google Scholar] [CrossRef]
- Costa, M.; Cardoso, C.; Afonso, C.; Bandarra, N.M.; Prates, J.A.M. Current knowledge and future perspectives of the use of seaweeds for livestock production and meat quality: A systematic review. J. Anim. Physiol. Anim. Nutr. 2021, 105, 1075–1102. [Google Scholar] [CrossRef]
- Assadi, I.; Elfalleh, W.; Benabderrahim, M.A.; Hannachi, H.; Chaalen, W.; Ferchichi, A. Nutritional Quality and Antioxidant Capacity of a Combination of Pomegranate and Date Juices. Int. J. Fruit Sci. 2019, 19, 300–314. [Google Scholar] [CrossRef]
- Liu, D.; Shi, J.; Colina Ibarra, A.; Kakuda, Y.; Jun Xue, S. The Scavenging Capacity and Synergistic Effects of Lycopene, Vitamin E, Vitamin C, and β-Carotene Mixtures on the DPPH Free Radical. LWT-Food Sci. Technol. 2008, 41, 1344–1349. [Google Scholar] [CrossRef]
- Makanjuola, S.A.; Enujiugha, V.N.; Omoba, O.S.; Sanni, D.M. Combination of Antioxidants from Different Sources Could Offer Synergistic Benefits: A Case Study of Tea and Ginger Blend. Nat. Prod. Commun. 2015, 10, 1829–1832. [Google Scholar] [CrossRef]
- da Silva Pereira, A.C.; Wurlitzer, N.J.; Dionísio, A.P.; Soares, M.V.L.; Bastos, M.D.S.R.; Alves, R.E.; Brasil, I.M. Synergistic, Additive and Antagonistic Effects of Fruit Mixtures on Total Antioxidant Capacities and Bioactive Compounds in Tropical Fruit Juices. Arch. Latinoam. Nutr. 2015, 62, 119–127. [Google Scholar]
- Freeman, B.L.; Eggett, D.L.; Parker, T.L. Synergistic and Antagonistic Interactions of Phenolic Compounds Found in Navel Oranges. J. Food Sci. 2010, 75, C570–C576. [Google Scholar] [CrossRef] [PubMed]
- Scott, A.M.; Beller, E.; Glasziou, P.; Clark, J.; Ranakusuma, R.W.; Byambasuren, O.; Bakhit, M.; Page, S.W.; Trott, D.; Del Mar, C. Is Antimicrobial Administration to Food Animals a Direct Threat to Human Health? A Rapid Systematic Review. Int. J. Antimicrob. Agents 2018, 52, 316–323. [Google Scholar] [CrossRef] [PubMed]
- Robinson, T.P.; Bu, D.P.; Carrique-Mas, J.; Fèvre, E.M.; Gilbert, M.; Grace, D.; Hay, S.I.; Jiwakanon, J.; Kakkar, M.; Kariuki, S.; et al. Antibiotic Resistance Is the Quintessential One Health Issue. Trans. R. Soc. Trop. Med. Hyg. 2016, 110, 377–380. [Google Scholar] [CrossRef]
- Sharma, C.; Rokana, N.; Chandra, M.; Singh, B.P.; Gulhane, R.D.; Gill, J.P.S.; Ray, P.; Puniya, A.K.; Panwar, H. Antimicrobial Resistance: Its Surveillance, Impact, and Alternative Management Strategies in Dairy Animals. Front. Vet. Sci. 2018, 4, 237. [Google Scholar] [CrossRef] [PubMed]
- Caprarulo, V.; Hejna, M.; Giromini, C.; Liu, Y.; Dell’Anno, M.; Sotira, S.; Reggi, S.; Sgoifo-Rossi, C.A.; Callegari, M.L.; Rossi, L. Evaluation of Dietary Administration of Chestnut and Quebracho Tannins on Growth, Serum Metabolites and Fecal Parameters of Weaned Piglets. Animals 2020, 10, 1945. [Google Scholar] [CrossRef] [PubMed]
- Brennan, E.; Martins, M.; McCusker, M.P.; Wang, J.; Alves, B.M.; Hurley, D.; el Garch, F.; Woehrlé, F.; Miossec, C.; McGrath, L.; et al. Multidrug-Resistant Escherichia Coli in Bovine Animals, Europe. Emerg. Infect. Dis. 2016, 22, 1650–1652. [Google Scholar] [CrossRef]
- Harada, K.; Shimizu, T.; Mukai, Y.; Kuwajima, K.; Sato, T.; Usui, M.; Tamura, Y.; Kimura, Y.; Miyamoto, T.; Tsuyuki, Y.; et al. Phenotypic and Molecular Characterization of Antimicrobial Resistance in Klebsiella Spp. Isolates from Companion Animals in Japan: Clonal Dissemination of Multidrug-Resistant Extended-Spectrum β-Lactamase-Producing Klebsiella Pneumoniae. Front. Microbiol. 2016, 7, 1021. [Google Scholar] [CrossRef]
- Daglia, M. Polyphenols as Antimicrobial Agents. Curr. Opin. Biotechnol. 2012, 23, 174–181. [Google Scholar] [CrossRef]
- Etahiri, S.; Bultel-Poncé, V.; Caux, C.; Guyot, M. New Bromoditerpenes from the Red Alga Sphaerococcus Coronopifolius. J. Nat. Prod. 2001, 64, 1024–1027. [Google Scholar] [CrossRef]
- Darias, J.; Rovirosa, J.; San Martin, A.; Díaz, A.-R.; Dorta, E.; Cueto, M. Furoplocamioids A−C, Novel Polyhalogenated Furanoid Monoterpenes from Plocamium c Artilagineum. J. Nat. Prod. 2001, 64, 1383–1387. [Google Scholar] [CrossRef]
- Barreto, M.; Meyer, J.J.M. Isolation and Antimicrobial Activity of a Lanosol Derivative from Osmundaria Serrata (Rhodophyta) and a Visual Exploration of Its Biofilm Covering. S. Afr. J. Bot. 2006, 72, 521–528. [Google Scholar] [CrossRef]
- Kavita, K.; Singh, V.K.; Jha, B. 24-Branched Δ5 Sterols from Laurencia Papillosa Red Seaweed with Antibacterial Activity against Human Pathogenic Bacteria. Microbiol. Res. 2014, 169, 301–306. [Google Scholar] [CrossRef] [PubMed]
- das Neves dos Santos Amorim, R.; Rodrigues, J.A.G.; Holanda, M.L.; Quinderé, A.L.G.; de Paula, R.C.M.; Melo, V.M.M.; Benevides, N.M.B. Antimicrobial Effect of a Crude Sulfated Polysaccharide from the Red Seaweed Gracilaria Ornata. Braz. Arch. Biol. Technol. 2012, 55, 171–181. [Google Scholar] [CrossRef]
- Stabili, L.; Acquaviva, M.I.; Biandolino, F.; Cavallo, R.A.; de Pascali, S.A.; Fanizzi, F.P.; Narracci, M.; Petrocelli, A.; Cecere, E. The Lipidic Extract of the Seaweed Gracilariopsis Longissima (Rhodophyta, Gracilariales): A Potential Resource for Biotechnological Purposes? New Biotechnol. 2012, 29, 443–450. [Google Scholar] [CrossRef]
- El-Sheekh, M.M.; Daboor, S.M.; Swelim, M.A.; Mohamed, S. Production and Characterization of Antimicrobial Active Substance from Spirulina Platensis. Iran. J. Microbiol. 2014, 6, 112–119. [Google Scholar]
- Abdel-Moneim, A.-M.E.; El-Saadony, M.T.; Shehata, A.M.; Saad, A.M.; Aldhumri, S.A.; Ouda, S.M.; Mesalam, N.M. Antioxidant and Antimicrobial Activities of Spirulina Platensis Extracts and Biogenic Selenium Nanoparticles against Selected Pathogenic Bacteria and Fungi. Saudi J. Biol. Sci. 2022, 29, 1197–1209. [Google Scholar] [CrossRef]
- Silva, A.; Rodrigues, C.; Garcia-Oliveira, P.; Lourenço-Lopes, C.; Silva, S.A.; Garcia-Perez, P.; Carvalho, A.P.; Domingues, V.F.; Barroso, M.F.; Delerue-Matos, C.; et al. Screening of Bioactive Properties in Brown Algae from the Northwest Iberian Peninsula. Foods 2021, 10, 1915. [Google Scholar] [CrossRef]
- Pina-Pérez, M.C.; Rivas, A.; Martínez, A.; Rodrigo, D. Antimicrobial Potential of Macro and Microalgae against Pathogenic and Spoilage Microorganisms in Food. Food Chem. 2017, 235, 34–44. [Google Scholar] [CrossRef]
- Curti, V.; di Lorenzo, A.; Dacrema, M.; Xiao, J.; Nabavi, S.M.; Daglia, M. In Vitro Polyphenol Effects on Apoptosis: An Update of Literature Data. Semin. Cancer Biol. 2017, 46, 119–131. [Google Scholar] [CrossRef]
- Reggi, S.; Giromini, C.; Dell’Anno, M.; Baldi, A.; Rebucci, R.; Rossi, L. In Vitro Digestion of Chestnut and Quebracho Tannin Extracts: Antimicrobial Effect, Antioxidant Capacity and Cytomodulatory Activity in Swine Intestinal IPEC-J2 Cells. Animals 2020, 10, 195. [Google Scholar] [CrossRef]
- Shixian, Q.; Dai, Y.; Kakuda, Y.; Shi, J.; Mittal, G.; Yeung, D.; Jiang, Y. Synergistic Anti-Oxidative Effects of Lycopene with Other Bioactive Compounds. Food Rev. Int. 2005, 21, 295–311. [Google Scholar] [CrossRef]
- Ford, L.; Stratakos, A.C.; Theodoridou, K.; Dick, J.T.A.; Sheldrake, G.N.; Linton, M.; Corcionivoschi, N.; Walsh, P.J. Polyphenols from Brown Seaweeds as a Potential Antimicrobial Agent in Animal Feeds. ACS Omega 2020, 5, 9093–9103. [Google Scholar] [CrossRef] [PubMed]





| Primers | Nucleotide Sequences |
|---|---|
| FedF-5′(F18) | CCATGGCTACTCTACAAGTAGACAAGTCTGTTTC |
| FedF-3′(F18) | GAGCTCTTACTGTATCTCGAAAACAATGGGCACCG |
| VT2e-B subunit-5′ | GGATCCATGAAGAAGATGTTTATAGCGG |
| VT2e-B subunit-3′ | AACGGGTCCACTTCAAATGATTCTCGAG |
| DM (%) | Ash (%) | CF (%) | CP (%) | EE (%) | |
|---|---|---|---|---|---|
| Arthrospira platensis | 95.58 | 7.11 | 0.67 | 62.00 | 0.61 |
| Ascophyllum nodosum | 91.44 | 25.33 | 8.92 | 6.93 | 1.79 |
| Chlorella vulgaris | 96.61 | 11.80 | 0.99 | 47.20 | 0.65 |
| Lithotamnium calcareum | 99.60 | 92.75 | 2.91 | 0.21 | 0.27 |
| Schizochytrium spp. | 99.20 | 5.42 | 0.18 | 2.62 | 9.06 |
| Biochemical Classification | Molecules | Arthrospira platensis | Ascophyllum nodosum | Chlorella vulgaris | Lithotamnium calcareum | Schizochytrium spp. |
|---|---|---|---|---|---|---|
| Polyphenol | Ferulic acid | 675.8 ± 68.8 | 520.8 ± 15.2 | 8282.6 ± 186.0 | 18.5 ± 0.0 | 174.1 ± 20.4 |
| 4-Coumaric acid | 1909.7 ± 73.3 | 2539.1 ± 181.8 | 7853 ± 54.7 | 31.6 ± 2.9 | 138.7 ± 3.6 | |
| Gallic acid | 13.4 ± 4.8 | 579.9 ± 56.8 | 10.5 ± 1.2 | 11.4 ± 3.3 | 19.5 ± 5.5 | |
| 4-Hydroxyphenyllactic acid | 56.7 ± 30.4 | 127.6 ± 54.1 | 58.5 ± 8.5 | 24.9 ± 2.8 | 139.6 ± 135.5 | |
| Dihydrocaffeic acid | 19.4 ± 1.1 | 48.4 ± 7.0 | 13.2 ± 1.2 | 31.8 ± 4.6 | 15.0 ± 2.2 | |
| Phloroglucionol | 13.5 ± 2.1 | 6554.2 ± 635.0 | 65.2 ± 3.3 | 4.0 ± 1.1 | 2.5 ± 2.0 | |
| Isoferulic acid | 6.8 ± 0.2 | 23.1 ± 4.1 | 3.2 ± 0.3 | 11.0 ± 2.5 | 0.4 ± 0.0 | |
| 2-Hydroxy-4-(4-hydroxyphenyl)butanoic acid | 17.7 ± 1.0 | 58.1 ± 4.1 | 20.9 ± 0.2 | 39.6 ± 7.4 | 42.9 ± 12.2 | |
| Sorbicillin | 36.6 ± 16.5 | 146.9 ± 96.2 | 129.4 ± 15.9 | 26.3 ± 3.6 | 139.7 ± 4.6 | |
| 2,6-Diphenylphenol | ND | ND | 37.6 ± 1.3 | ND | ND | |
| Tripeptide | Oxidized Glutathione | 40.5 ± 0.4 | 32,622.4 ± 2004.0 | 1168.1 ± 213.2 | 158.7 ± 39.5 | 64.9 ± 61.1 |
Publisher’s Note: MDPI stays neutral with regard to jurisdictional claims in published maps and institutional affiliations. |
© 2022 by the authors. Licensee MDPI, Basel, Switzerland. This article is an open access article distributed under the terms and conditions of the Creative Commons Attribution (CC BY) license (https://creativecommons.org/licenses/by/4.0/).
Share and Cite
Frazzini, S.; Scaglia, E.; Dell’Anno, M.; Reggi, S.; Panseri, S.; Giromini, C.; Lanzoni, D.; Sgoifo Rossi, C.A.; Rossi, L. Antioxidant and Antimicrobial Activity of Algal and Cyanobacterial Extracts: An In Vitro Study. Antioxidants 2022, 11, 992. https://doi.org/10.3390/antiox11050992
Frazzini S, Scaglia E, Dell’Anno M, Reggi S, Panseri S, Giromini C, Lanzoni D, Sgoifo Rossi CA, Rossi L. Antioxidant and Antimicrobial Activity of Algal and Cyanobacterial Extracts: An In Vitro Study. Antioxidants. 2022; 11(5):992. https://doi.org/10.3390/antiox11050992
Chicago/Turabian StyleFrazzini, Sara, Elena Scaglia, Matteo Dell’Anno, Serena Reggi, Sara Panseri, Carlotta Giromini, Davide Lanzoni, Carlo Angelo Sgoifo Rossi, and Luciana Rossi. 2022. "Antioxidant and Antimicrobial Activity of Algal and Cyanobacterial Extracts: An In Vitro Study" Antioxidants 11, no. 5: 992. https://doi.org/10.3390/antiox11050992
APA StyleFrazzini, S., Scaglia, E., Dell’Anno, M., Reggi, S., Panseri, S., Giromini, C., Lanzoni, D., Sgoifo Rossi, C. A., & Rossi, L. (2022). Antioxidant and Antimicrobial Activity of Algal and Cyanobacterial Extracts: An In Vitro Study. Antioxidants, 11(5), 992. https://doi.org/10.3390/antiox11050992

