Abstract
Left ventricular assist device (LVAD) is well established as an alternative treatment for end-stage heart failure (HF) patients. The aim of the study was to determine the prognostic value of oxidative stress markers and the modified Model for End-Stage Liver Disease (modMELD) in patients receiving bridged therapy with continuous-flow LVAD. We prospectively analyzed 36 end-stage HF patients who received LVAD therapy between 2015 and 2018. The total antioxidant capacity (TAC) and total oxidant status (TOS) were measured by the methods described by Erel. The oxidative stress index (OSI) was defined as the ratio of the TOS to TAC levels. The modMELD scores were calculated based on the serum bilirubin, creatinine, and albumin levels. The patients’ median age was 58 (50–63.0) years. During the 1.5-years follow-up, a major adverse cardiac event—MACE (death, stroke, or pump thrombosis) was observed in 17 patients (47.2%). The area under the receiver operating characteristics curves (AUCs) indicated a good prognostic power of TAC (AUC 0.7183 (0.5417–0.8948)), TOS (AUC 0.9149 (0.8205–0.9298)), OSI (AUC 0.9628 (0.9030–0.9821)), and modMELD (AUC 0.87 (0.7494–0.9905)) to predict a MACE. Oxidative stress markers serum concentrations, as well as the modMELD score, allow the identification of patients with a risk of MACE.
1. Introduction
Despite continuous advances in medicine, heart transplantation (HT) is the most effective treatment for end-stage heart failure (HF) patients who are refractory to medical therapy. However, because of a limited number of suitable donor organs available, the mortality on waiting lists remains high [1,2]. Over the last decades, implantable left ventricular assist devices (LVADs) have become an alternative treatment for advanced HF patients, and their use as a bridge to transplant has been widely increasing [3,4]. The shift away from pulsatile flow technology and toward continuous technology (the second and third-generation LVADs) is associated with the improvement of outcomes. The continuous-flow LVADs are smaller in size and require less surgical dissection and less time for implantation than the pulsatile LVADs. Furthermore, favorable outcomes after an LVAD implantation still depend on patient selection, perioperative risk stratification, and long-term clinical management. Therefore, noninvasive sensitive tools are necessary to select patients with worse clinical outcomes after the procedure [5].
Considering the underlying pathophysiological mechanisms of HF as well as the possible changes in myocardial oxidative stress in patients with the support of an LVAD, we aimed to determine the prognostic value of oxidative stress markers in patients receiving bridged therapy with continuous-flow LVADs. Furthermore, we sought to analyse the utility of the modified Model for End-Stage Liver Disease (modMELD) scores in the assessment of outcomes in the analyzed group of patients.
2. Materials and Methods
2.1. Study Population and Data Collection
The study is a prospective analysis of 36 end-stage HF patients (Interagency Registry for Mechanically Assisted Circulatory Support [INTERMACS] 2 and 3, NYHA [New York Heart Association] IV) who were hospitalized in the Cardiology Department and received LVAD therapy as a bridge to HT between 2015 and 2018. All of the included patients were eligible for LVAD implantation in accordance with European and American guidelines [3,6]. The patients were supported by continuous-flow devices—the axial-flow left ventricular assist systems (HeartMate III, St. Jude Medical, Inc., St. Paul, MN, USA) or the magnetically levitated, centrifugal flow pump (the HeartWare HVAD (Medtronic, Inc., Framingham, MA, USA). All patients were considered transplant candidates at the time of the LVAD implantation.
Data on clinical characteristics and medical treatment were collected by interviewing the patients, as well as reviewing the electronic records. Preoperative laboratory values were defined as the last available set of results prior to the LVAD implantation. Before the LVAD implantation, a panel of laboratory tests were performed in all patients, along with transthoracic echocardiography with the evaluation of right ventricular (RV) function based on the following parameters: tricuspid annular plane systolic excursion (TAPSE), RV dimensions, qualitative assessment of RV systolic function, and right ventricular systolic pressure (RVSP). After device implantation, the routine management included early extubation and, depending on clinical conditions, mobilization. After the discharge, all patients underwent cardiac rehabilitation and were then periodically evaluated at our dedicated outpatient clinic.
The composite end-point of the study included death, cerebral event, or pump thrombosis during a 1.5-year follow-up. A cerebral event included an ischemic or hemorrhagic stroke. The study protocol conforms to the Declaration of Helsinki, and it was approved by the appropriate ethics review board.
2.2. Pharmacological Treatment
All of the included patients received optimal HF therapy for at least three months before entering the study. [6]. In addition, after the LVAD implantation, patients were initially treated with a standard anticoagulant regimen consisting of unfractionated or low molecular weight heparin in the early postoperative period, followed by warfarin (with the international normalized ratio [INR] between 2 and 3). On the first postoperative day, antiplatelet treatment with aspirin or clopidogrel (used only in the case of resistance to aspirin or other indications for this drug) was started at a dose of 75 mg/day.
2.3. Laboratory Measurements
Peripheral blood was collected twice on admission and 6 months after inclusion in the study. Blood samples were obtained after 12 h or more of fasting. Standard laboratory tests were measured as soon as possible. The hematologic parameters of patients have been analyzed using automated blood cell counters (Sysmex XS1000i and XE2100, Sysmex Corporation, Kobe, Japan). Biochemical parameters such as creatinine, bilirubin, cholesterol and albumin plasma concentrations were determined with a COBAS Integra 800 analyzer (Roche Instrument Center AG, Rotkreuz, Switzerland). The N-terminal pro-brain natriuretic peptide (NT-proBNP) plasma concentrations were measured with a commercially available kit (Roche Diagnostics, Mannheim, Germany) on an Elecsys 2010 analyzer with the analytical sensitivity of <5 pg/mL).
The fibrinogen plasma concentrations were measured using the STA Compact analyzer (Roche). A highly sensitive latex-based immunoassay was used to detect the C-reactive protein (CRP) plasma concentrations with the Cobas Integra 70 analyzer (Roche Diagnostics, Ltd., Rotkreuz, Switzerland). The CRP levels were determined with a typical detection limit of 0.0175 mg/dL.
For oxidative–antioxidative parameters measurements, a 5-mL blood sample was additionally collected into a plastic tube containing potassium EDTA. Serum samples were centrifuged at 2000× g for 10 min and stored in aliquots at −80 °C pending a biochemical examination. The concentration of malondialdehyde (MDA) concentration was determined according to the method described by Ohkawa et al. [7]. The total oxidant status (TOS) and total antioxidant capacity (TAC) were determined using the methods developed by Erel [8,9].
2.4. Scales
Based on the obtained data, the modMELD score and oxidative stress index (OSI) were calculated using the appropriate formulas:
- −
- OSI = (TOS, μmol/L)/(TAC, mmol/L) [10];
- −
- modMELD = 1.12 × (ln 1) + 0.378 × (ln total bilirubin, in mg/dL) + 0.957 × (ln creatinine, in mg/dL) + 0.643; for an albumin concentration ≥4.1 g/dL;
- −
- modMELD = 1.12 × (ln [1 + 4.1—albumin, g/dL)]) + 0.378 × (ln total bilirubin, in mg/dL) + 0.957 × (ln creatinine, in mg/dL) + 0.643, for an albumin concentration <4.1 g/dL [11].
For the calculation of the modMELD score, the lower limit for creatinine, bilirubin, and albumin concentrations was set to 1.0, and the upper limit for the creatinine concentration was set to 4.0 mg/dL.
2.5. Statistical Analysis
The statistical analysis was calculated with SAS software, version 9.4 (SAS Institute Inc., Cary, NC, USA). Continuous variables are expressed as the median (upper and lower quartiles) for normal distribution data or mean ± standard deviation (SD) for nonnormal distribution data. Categorical variables are presented as frequency tables. The groups were compared using the Student’s t-test, the Mann–Whitney test, or the χ2 test. The discriminatory power of modMELD and oxidative stress markers for predicting composite end-point was evaluated by calculating the area under the curve (AUC) from the receiver operating characteristic (ROC) analysis. An AUC > 0.7 was considered clinically relevant [12]. The Youden criterion was used to determine the optimal cutoff value for the analyzed parameters. The utility of each parameter to determine the composite end-point was evaluated by sensitivity, specificity, the positive predictive value (PPV), the negative predictive value (NPV), and accuracy. p < 0.05 was considered as a statistically significant.
3. Results
In total, 36 patients received an LVAD: 28 patients (77.8%) were supported by axial continuous-flow devices (Heartmate III, St. Jude Medical), while eight patients (22.2%) received centrifugal continuous-flow devices (Heartware International Inc., Framingham, MA, USA). All included patient were classified in New York Heart Association (NYHA) functional class IV and profiles 2 to 3 according to the INTERMACS classification (14 patients in INTERMACS 2 and 22 patients in INTERMACS 3). During a 1.5-year follow-up, 17 patients (47.2%) reached a composite end-point of the study (10 died, four had cerebral events, and three had pump thrombosis).
The characteristics of the study population are summarized in Table 1. None of the implanted patients had significant bleeding, pump dysfunction requiring replacement, or right HF during a 1.5 years follow-up.
Table 1.
Baseline characteristics of the patients before LVAD implantation.
The comparison of laboratory parameters before and 6 months after the LVAD implantation is presented in Table 2. There were significant differences in the improvement of the kidney and liver function parameters, as well as a reduction in the NT-proBNP levels within six months from the LVAD implantation, although there were no differences in the oxidative stress parameters in this respect.
Table 2.
Laboratory parameters before and 6 months after LVAD implantation.
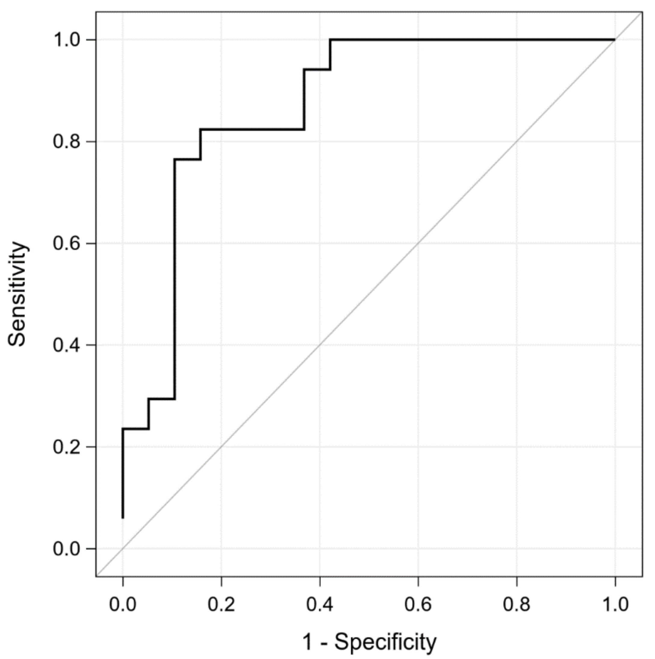
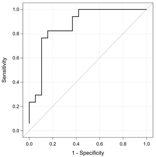
The summary of the ROC curves analysis for biomarkers predicting a composite end-point during the 1.5-year follow-up is presented in Table 3. The ROC curve for modMELD is shown in Figure 1. The comparison of ROC curves for oxidative stress parameters is presented in Figure 2A–C.
Table 3.
A summary of the ROC curves analysis of biomarkers predicting composite end-point during 1.5-years follow-up.
Figure 1.
The ROC curve for modMELD score. Abbreviations: modMELD, modified Model for End-Stage Liver Disease; ROC, receiver operating characteristic.
Figure 2.
The ROC curves for TAC (A), TOS (B), OSI (C) levels. Abbreviations: OSI, oxidative stress index; TAC, total antioxidant capacity; TOS, total oxidant status.
4. Discussion
This single-center, prospective study is the first one to have found the association between a higher modMELD score and a higher risk of death, cerebral event, or pump thrombosis in patients with end-stage HF undergoing an LVAD implantation during a 1.5-year follow-up. The modMELD score has excellent prognostic power, as well as high sensitivity and specificity, allowing for a successful selection of patients with worse clinical outcomes during a 1.5-year follow-up.
The Model for End-stage Liver Disease (MELD) scoring system is commonly used as a prognostic tool in patients after a transjugular intrahepatic portosystemic shunt procedure [13]. The classic MELD score is calculated on the basis of serum bilirubin and serum creatinine levels as well as international normalized ratio value. However, patients with end-stage HF after an LVAD implantation require treatment with oral anticoagulants, and the usefulness of the classical MELD score may be limited. In order to exclude the impact of oral anticoagulation on INR, we used a modified version of the classical MELD scale—the modMELD score—replacing INR with albumin levels. This scoring system is a more reliable marker of risk in patients with elevated INR secondary to anticoagulation and may offer improved prognostic efficacy in patients undergoing an LVAD implantation. As indicated in several reports, the assessment of liver and kidney dysfunction according to the MELD and its modifications provides important information regarding the outcomes in patients with end-stage HF undergoing an LVAD implantation [14,15,16]. Critsinelis et al. showed that a higher MELD-XI score (MELD without INR) was associated with a lower postoperative survival rate and an increased risk of early right HF and infections compared with a lower MELD-XI score in patients with end-stage HF undergoing a continuous-flow LVAD implantation [14]. In turn, Bonde et al. demonstrated that a rising preoperative MELD score was a significant independent predictor for respiratory dysfunction, renal dysfunction, and mortality at six months after a VAD implantation [15]. Another study also showed that an LVAD implantation in patients with INTERMACS profile 2 or 1 and an increasing MELD score is associated with a high risk of death during a one-year follow-up [16].
Furthermore, we have observed a significant improvement in all parameters of liver and kidney function in patients after 6 months from the LVAD implantation. Yunus et al. also found that patients after an LVAD implantation who survived the first year showed an excellent recovery of their liver markers [17]. Other studies also showed an improvement in estimated glomerular filtration rate and other measures of kidney function over the first 3–6 months after an LVAD implantation [18,19,20]. In turn, Yoshioka et al. demonstrated that continuous-flow LVADs improve renal and hepatic function in patients with advanced HF, although in most patients, the initial improvement in renal function is largely transient, and the function returns to baseline after a prolonged support period [21]. Many patients with advanced HF before an LVAD implantation have symptoms of hepatopathy systemic hypoperfusion and passive congestion of the liver, which results from increased systemic venous pressure [17,22]. Similarly, kidney dysfunction secondary to HF also develops in response to chronically elevated central venous pressures, and the transmission of venous congestion to the renal veins impairs the glomerular filtration rate. [23,24]. In addition, a decrease in cardiac output in end-stage HF results in poor kidney perfusion, reduced renal autoregulation, increased renin–angiotensin system activation, and renal arterial vasoconstriction, which consequently further leads to kidney dysfunction [25]. These negative changes in peripheral organs secondary to HF can be reversed after the LVAD implantation. The LVAD therapy provides adequate perfusion to maintain normal end-organ function and may facilitate the recovery of liver and kidney dysfunction in patients with end-stage HF.
Another interesting finding of the present study is the association between higher TOS and OSI levels, as well as lower TAC levels, and the worse clinical outcomes in patients after the LVAD implantation. Among the analyzed oxidative stress parameters, OSI has the highest strength, sensitivity, and specificity to predict a composite endpoint in patients after an LVAD implantation during a 1.5-year follow-up.
Oxidative stress is essentially an imbalance between an increase in the formation of reactive oxygen species and the cells’ ability to remove or neutralize them by antioxidant systems [26]. Under conditions of prolonged exposure of cells to free radicals, antioxidant mechanisms are gradually depleted and play a crucial role in the initiation of cell damage and the following cascade of changes [26]. The deleterious effects of reactive oxygen species (ROS) are mainly due to the ability of ROS to produce changes in subcellular organelles and induce intracellular Ca2, modulating intracellular enzyme activity. ROS also have the ability to interact with proteins, lipids, and the genetic material of the nucleus and mitochondria, contributing to a change in their conformation, cell membrane integration, and, as a consequence, the impairment of normal cell function [26,27,28,29]. Those adverse effects of oxidative stress in the heart cause myocyte hypertrophy and contractile dysfunction, premature apoptosis, interstitial fibrosis, as well as endothelial vascular dysfunction [27,29]. Previous studies have demonstrated that ROS are associated with the development and progression of HF [29,30]. Increasing oxidative stress, along with a gradual decrease in the activity of antioxidant enzymes, leads to a disturbance of the oxidative–antioxidant balance towards the prooxidative state, which leads to the deterioration of heart function [26,27,28,29,30,31]. Our study has shown that patients with initially higher levels of oxidative stress identified as higher TOS and OSI levels, as well as lower TAC levels, have worse clinical outcomes after an LVAD implantation in a 1.5-year follow-up, despite comparable oxidative stress parameters after 6 months in both analyzed groups. The study by Caruso showed that an efficient pre-implant anti-oxidant system is associated with improved survival of the patients after an LVAD implantation [31]. However, the same authors also demonstrated that LV unloading and improved multi-organ function after 1 month from the LVAD implantation were not associated with a decrease in the oxidative stress markers serum levels [31]. It seems that a properly functioning e anti-oxidant system before surgery may play a protective role against vascular and organ damage in the perioperative and postoperative period, thus preventing adverse events [30]. In turn, an oxidative–antioxidative imbalance towards prooxidation may promote the development of multiple organ dysfunction in patients with HF [29,30,32]. That may explain worse clinical outcomes in patients after an LVAD implantation with initially worse parameters of oxidative stress.
The study has some limitations. Firstly, it is a single-center study with a relatively small number of patients undergoing an LVAD implantation. Further larger studies with validation samples are needed to assess the ability of the modMELD score and oxidative stress parameters to predict the clinical outcomes in patients after an LVAD implantation. The clinical utility of the presented results requires confirmation in larger, multicenter and prospective studies.
5. Conclusions
Our findings suggest that a modMELD score above the cut-off value is associated with a higher risk of death, cerebral event, and pump thrombosis within a 1.5-year follow-up. The modMELD score has excellent prognostic power, as well as high sensitivity and specificity, allowing for a successful selection of patients with worse clinical outcomes within a 1.5-year follow-up. The modMELD scoring system may be a useful predictor of worse outcomes in patients with end-stage HF undergoing an LVAD implantation. Furthermore, our study showed that higher TOS and OSI levels, as well as lower TAC levels, are associated with worse clinical outcomes in patients after an LVAD implantation. The holistic assessment of oxidative stress by OSI with excellent discriminatory power as well as acceptable sensitivity and specificity identifies patients with a higher risk of death, cerebral event, and pump thrombosis after an LVAD implantation within a 1.5-year follow-up.
Author Contributions
B.S.-J., W.S.-W., M.G., J.M.-T., M.S., M.Z. (Michał Zembala), M.Z. (Marian Zembala), and P.P.; Data curation, B.S.-J., W.S.-W., M.G., I.C., J.M.-T., M.S., E.R., M.Z. (Michał Zembala), M.Z. (Marian Zembala), and P.P.; Formal analysis, B.S.-J., W.S.-W., and M.S.; Funding acquisition, P.P.; Investigation, B.S.-J., W.S.-W., M.G., I.C., J.M.-T., M.S., E.R., M.Z. (Michał Zembala), M.Z. (Marian Zembala), and P.P.; Methodology, B.S.-J., W.S.-W., M.G., M.Z. (Michał Zembala), M.Z. (Marian Zembala), and P.P.; Project administration, B.S.-J., M.Z. (Michał Zembala), M.Z. (Marian Zembala), and P.P.; Resources, P.P.; Visualization, B.S.-J. and W.S.-W.; Writing—original draft, B.S.-J. and W.S.-W.; Writing—review and editing, B.S.-J. and W.S.-W. All authors have read and agreed to the published version of the manuscript.
Funding
This publication is a part of the RH-ROT project carried out in our institution (STRATEGMED2/266798/15/NCBR/2015).
Institutional Review Board Statement
The study was conducted according to the guidelines of the Declaration of Helsinki and approved by the Local Ethics Committee of the Medical University of Silesia in Katowice (protocol code: KNW/0022 /KB1/88/15 and date of approval: 7 July 2015).
Informed Consent Statement
Informed consent was obtained from all subjects involved in the study.
Data Availability Statement
The data presented in this study are available on request from the corresponding author. The data are not publicly available due to privacy restrictions related to the rules in our institution.
Conflicts of Interest
The authors declare that they have no conflict of interest.
References
- Hsich, E.M.; Rogers, J.G.; McNamara, D.M.; Taylor, D.O.; Starling, R.C.; Blackstone, E.H.; Schold, J.D. Does survival on the heart transplant waiting list depend on the underlying heart disease? JACC Heart Fail. 2016, 4, 689–697. [Google Scholar] [CrossRef]
- Nguyen, V.P.; Mahr, C.; Mokadam, N.A.; Pal, J.; Smith, J.W.; Dardas, T.F. The benefit of donor-recipient matching for patients undergoing heart transplantation. J. Am. Coll. Cardiol. 2017, 69, 1707–1714. [Google Scholar] [CrossRef] [PubMed]
- Kirklin, J.K.; Cantor, R.; Mohacsi, P.; Gummert, J.; De By, T.; Hannan, M.M.; Kormos, R.L.; Schueler, S.; Lund, L.H.; Nakatani, T.; et al. First Annual IMACS report: A global International Society for Heart and Lung Transplantation Registry for Mechanical Circulatory Support. J. Heart Lung Transpl. 2016, 35, 407–412. [Google Scholar] [CrossRef]
- Kirklin, J.K.; Pagani, F.D.; Kormos, R.L.; Stevenson, L.W.; Blume, E.D.; Myers, S.L.; Miller, M.A.; Baldwin, J.T.; Young, J.B.; Naftel, D.C. Eighth annual INTERMACS report: Special focus on framing the impact of adverse events. J. Heart Lung Transpl. 2017, 36, 1080–1086. [Google Scholar] [CrossRef] [PubMed]
- Kirklin, J.K.; Naftel, D.C.; Pagani, F.D.; Kormos, R.L.; Stevenson, L.W.; Blume, E.D.; Myers, S.L.; Miller, M.A.; Baldwin, J.T.; Young, J.B. Seventh INTERMACS annual report: 15,000 patients and counting. J. Heart Lung Transpl. 2015, 34, 1495–1504. [Google Scholar] [CrossRef]
- Ponikowski, P.; Voors, A.A.; Anker, S.D.; Bueno, H.; Cleland, J.G.; Coats, A.J.; Falk, V.; González-Juanatey, J.R.; Harjola, V.P.; Jankowska, E.A.; et al. 2016 ESC Guidelines for the diagnosis and treatment of acute and chronic heart failure: The Task Force for the diagnosis and treatment of acute and chronic heart failure of the European Society of Cardiology (ESC). Developed with the special contribution of the Heart Failure Association (HFA) of the ESC. Eur. J. Heart Fail. 2016, 18, 891–975. [Google Scholar] [PubMed]
- Ohkawa, H.; Ohishi, N.; Yagi, K. Assay for lipid peroxides in animal tissues by thiobarbituric acid reaction. Anal. Biochem. 1979, 95, 351–358. [Google Scholar] [CrossRef]
- Erel, O. A new automated colorimetric method for measuring total oxidant status. Clin. Biochem. 2005, 38, 1103–1111. [Google Scholar] [CrossRef]
- Erel, O. A novel automated method to measure total antioxidant response against potent free radical reactions. Clin. Biochem. 2004, 37, 112–119. [Google Scholar] [CrossRef]
- Romuk, E.; Wojciechowska, C.; Jacheć, W.; Nowak, J.; Niedziela, J.; Malinowska-Borowska, J.; Głogowska-Gruszka, A.; Birkner, E.; Rozentryt, P. Comparison of Oxidative Stress Parameters in Heart Failure Patients Depending on Ischaemic or Nonischaemic Aetiology. Oxid. Med. Cell. Longev. 2019, 2019, 7156038. [Google Scholar] [CrossRef]
- Szczurek, W.; Gąsior, M.; Romuk, E.; Skrzypek, M.; Szyguła-Jurkiewicz, B. Usefulness of combining prognostic scores to predict survival in patients with advanced heart failure. J. Heart Lung Transpl. 2019, 38, 1224–1227. [Google Scholar] [CrossRef]
- Mandrekar, J.N. Receiver operating characteristic curve in diagnostic test assessment. J. Thorac. Oncol. 2010, 5, 1315–1316. [Google Scholar] [CrossRef] [PubMed]
- Malinchoc, M.; Kamath, P.S.; Gordon, F.D.; Peine, C.J.; Rank, J.; ter Borg, P.C. A model to predict poor survival in patients undergoing transjugular intrahepatic portosystemic shunts. Hepatology 2000, 31, 864871. [Google Scholar] [CrossRef]
- Critsinelis, A.; Kurihara, C.; Volkovicher, N.; Kawabori, M.; Sugiura, T.; Manon, M.; Wang, S.; Civitello, A.B.; Morgan, J.A. Model of End-Stage Liver Disease-eXcluding International Normalized Ratio (MELD-XI) Scoring System to Predict Outcomes in Patients Who Undergo Left Ventricular Assist Device Implantation. Ann. Thorac. Surg. 2018, 106, 513–519. [Google Scholar] [CrossRef] [PubMed]
- Bonde, P.; Ku, N.C.; Genovese, E.A.; Bermudez, C.A.; Bhama, J.K.; Ciarleglio, M.M.; Cong, X.; Teuteberg, J.J.; Kormos, R.L. Model for end-stage liver disease score predicts adverse events related to ventricular assist device therapy. Ann. Thorac. Surg. 2012, 93, 1541–1547. [Google Scholar] [CrossRef] [PubMed]
- Amione-Guerra, J.; Cruz-Solbes, A.S.; Gonzalez Bonilla, H.; Estep, J.D.; Guha, A.; Bhimaraj, A.; Suarez, E.E.; Bruckner, B.A.; Torre-Amione, G.; Park, M.H.; et al. Melding a High-Risk Patient for Continuous Flow Left Ventricular Assist Device into a Low-Risk Patient. ASAIO J. 2017, 63, 704–712. [Google Scholar] [CrossRef]
- Yalcin, Y.C.; Muslem, R.; Veen, K.M.; Soliman, O.I.; Manintveld, O.C.; Darwish Murad, S.; Kilic, A.; Constantinescu, A.A.; Brugts, J.J.; Alkhunaizi, F.; et al. Impact of preoperative liver dysfunction on outcomes in patients with left ventricular assist devices. Eur. J. Cardiothorac. Surg. 2020, 57, 920–928. [Google Scholar] [CrossRef]
- Hasin, T.; Topilsky, Y.; Schirger, J.A.; Li, Z.; Zhao, Y.; Boilson, B.A.; Clavell, A.L.; Rodeheffer, R.J.; Frantz, R.P.; Edwards, B.S.; et al. Changes in renal function after implantation of continuous-flow left ventricular assist devices. J. Am. Coll. Cardiol. 2012, 59, 26–36. [Google Scholar] [CrossRef]
- Sandner, S.E.; Zimpfer, D.; Zrunek, P.; Rajek, A.; Schima, H.; Dunkler, D.; Grimm, M.; Wolner, E.; Wieselthaler, G.M. Renal function and outcome after continuous flow left ventricular assist device implantation. Ann. Thorac. Surg. 2009, 87, 1072–1078. [Google Scholar] [CrossRef]
- Kamdar, F.; Boyle, A.; Liao, K.; Colvin-adams, M.; Joyce, L.; John, R. Effects of centrifugal, axial, and pulsatile left ventricular assist device support on end-organ function in heart failure patients. J. Heart Lung Transpl. 2009, 28, 352–359. [Google Scholar] [CrossRef]
- Yoshioka, D.; Takayama, H.; Colombo, P.C.; Yuzefpolskaya, M.; Garan, A.R.; Topkara, V.K.; Han, J.; Kurlansky, P.; Naka, Y.; Takeda, K. Changes in End-Organ Function in Patients With Prolonged Continuous-Flow Left Ventricular Assist Device Support. Ann. Thorac. Surg. 2017, 103, 717–724. [Google Scholar] [CrossRef] [PubMed]
- Wadia, Y.; Etheridge, W.; Smart, F.; Wood, R.P.; Frazier, O.H. Pathophysiology of hepatic dysfunction and intrahepatic cholestasis in heart failure and after left ventricular assist device suport. J. Heart Lung Transpl. 2005, 24, 361–370. [Google Scholar] [CrossRef]
- Szygula-Jurkiewicz, B.; Szczurek, W.; Skrzypek, M.; Zakliczyński, M.; Siedlecki, Ł.; Przybyłowski, P.; Zembala, M.; Gąsior, M. One-year survival of ambulatory patients with end-stage heart failure: The analysis of prognostic factors. Pol. Arch. Intern. Med. 2017, 127, 254–260. [Google Scholar] [CrossRef][Green Version]
- Jessup, M.; Constanzo, M.R. The cardiorenal syndrome: Do we need a change strategy or a change tactics? J. Am. Coll. Cardiol. 2009, 53, 597–599. [Google Scholar] [CrossRef] [PubMed]
- Coffin, S.T.; Waguespack, D.R.; Haglund, N.A.; Maltais, S.; Dwyer, J.P.; Keebler, M.E. Kidney dysfunction and left ventricular assist device support: A comprehensive perioperative review. Cardiorenal. Med. 2015, 5, 48–60. [Google Scholar] [CrossRef] [PubMed]
- Schieber, M.; Chandel, N.S. ROS function in redox signaling and oxidative stress. Curr. Biol. 2014, 24, R453–R462. [Google Scholar] [CrossRef]
- Takimoto, E.; Kass, D.A. Role of oxidative stress in cardiac hypertrophy and remodeling. Hypertension 2007, 49, 241–248. [Google Scholar] [CrossRef]
- Tsutsui, H.; Kinugawa, S.; Matsushima, S. Oxidative stress and heart failure. Am. J. Physiol-Heart Circ. Physiol. 2011, 301, 2181–2190. [Google Scholar] [CrossRef] [PubMed]
- van der Pol, A.; van Gilst, W.H.; Voors, A.A.; van der Meer, P. Treating oxidative stress in heart failure: Past, present and future. Eur. J. Heart Fail. 2019, 21, 425–435. [Google Scholar] [CrossRef]
- Keith, M.; Geranmayegan, A.; Sole, M.J.; Kurian, R.; Robinson, A.; Omran, A.S.; Jeejeebhoy, K.N. Increased oxidative stress in patients with congestive heart failure. J. Am. Coll. Cardiol. 1998, 31, 1352–1356. [Google Scholar] [CrossRef]
- Caruso, R.; Garatti, A.; Sedda, V.; Milazzo, F.; Campolo, J.; Colombo, T.; Catena, E.; Cighetti, G.; Russo, C.; Frigerio, M.; et al. Pre-operative redox state affects 1-month survival in patients with advanced heart failure undergoing left ventricular assist device implantation. J. Heart Lung Transpl. 2007, 26, 1177–1181. [Google Scholar] [CrossRef] [PubMed]
- Motoyama, T.; Okamoto, K.; Kukita, I.; Hamaguchi, M.; Kinoshita, Y.; Ogawa, H. Possible role of increased oxidant stress in multiple organ failure after systemic inflammatory response syndrome. Crit. Care Med. 2003, 31, 1048–1052. [Google Scholar] [CrossRef] [PubMed]
Publisher’s Note: MDPI stays neutral with regard to jurisdictional claims in published maps and institutional affiliations. |
© 2021 by the authors. Licensee MDPI, Basel, Switzerland. This article is an open access article distributed under the terms and conditions of the Creative Commons Attribution (CC BY) license (https://creativecommons.org/licenses/by/4.0/).

