Changes in Browning Degree and Reducibility of Polyphenols during Autoxidation and Enzymatic Oxidation
Abstract
:1. Introduction
2. Materials and Methods
2.1. Chemicals
2.2. Oxidation Simulation System
2.2.1. Autoxidation System
2.2.2. Enzymatic Oxidation System
2.2.3. Preparation of Eugenol Emulsion
2.3. Browning Degree Analysis
2.4. Reducing Power Analysis
2.5. Molecular Docking
2.6. Statistical Analysis
3. Results
3.1. Oxidation of Four Polyphenols at Different pH Values
3.1.1. Autoxidation
3.1.2. Enzymatic Oxidation
3.2. Oxidation of Four Polyphenols at Different Concentration
3.2.1. Autoxidation
3.2.2. Enzymatic Oxidation
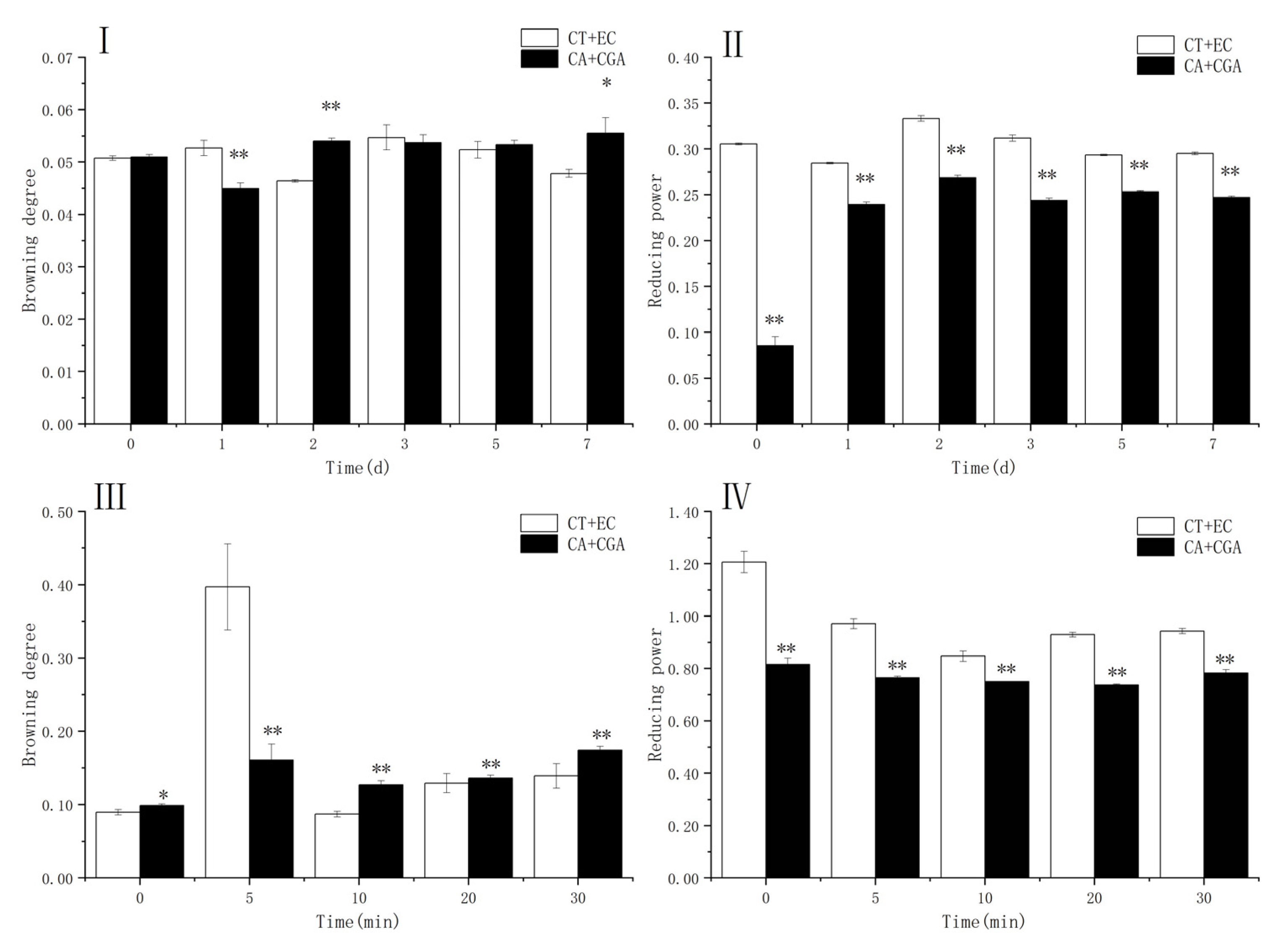
3.3. Oxidation of Mixed Substrates
3.4. Oxidation of Four Polyphenols with Eugenol
3.4.1. Autoxidation
3.4.2. Enzymatic Oxidation
3.5. Computational Docking Simulation of Polyphenols Binding to Tyrosinase
4. Discussion
5. Conclusions
Author Contributions
Funding
Institutional Review Board Statement
Informed Consent Statement
Data Availability Statement
Conflicts of Interest
References
- Carbone, K.; Giannini, B.; Picchi, V.; Lo Scalzo, R.; Cecchini, F. Phenolic composition and free radical scavenging activity of different apple varieties in relation to the cultivar, tissue type and storage. Food Chem. 2011, 127, 493–500. [Google Scholar] [CrossRef]
- Mercado-Mercado, G.; de la Rosa, L.A.; Alvarez-Parrilla, E. Effect of pectin on the interactions among phenolic compounds determined by antioxidant capacity. J. Mol. Struct. 2020, 1199, 126967. [Google Scholar] [CrossRef]
- Robards, K.; Prenzler, P.; Tucker, G.; Swatsitang, P.; Glover, W. Phenolic compounds and their role in oxidative processes in fruits. Food Chem. 1999, 66, 401–436. [Google Scholar] [CrossRef]
- Murtaza, A.; Muhammad, Z.; Iqbal, A.; Ramzan, R.; Liu, Y.; Pan, S.; Hu, W. Aggregation and Conformational Changes in Native and Thermally Treated Polyphenol Oxidase From Apple Juice (Malus domestica). Front. Chem. 2018, 6, 203. [Google Scholar] [CrossRef]
- Jiménez, M.; García-Carmona, F. The effect of sodium dodecyl sulphate on polyphenol oxidase. Phytochemistry 1996, 42, 1503–1509. [Google Scholar] [CrossRef]
- Maria-Solano, M.A.; Ortiz-Ruiz, C.V.; Munoz-Munoz, J.L.; Teruel-Puche, J.A.; Berna, J.; Garcia-Ruiz, P.A.; Gar-cia-Canovas, F. Further insight into the pH effect on the catalysis of mushroom tyrosinasee. J. Mol. Catal. B Enzym. 2016, 125, 6–15. [Google Scholar] [CrossRef]
- Lutter, M.; Clark, A.; Prenzler, P.; Scollary, G. Oxidation of caffeic acid in a wine-like medium: Production of dihydroxybenzaldehyde and its subsequent reactions with (+)-catechin. Food Chem. 2007, 105, 968–975. [Google Scholar] [CrossRef]
- Wang, C.; Zhang, X.; Gao, Y.; Han, Y.; Wu, X. Path analysis of non-enzymatic browning in Dongbei Suancai during storage caused by different fermentation conditions. Food Chem. 2021, 335, 127620. [Google Scholar] [CrossRef]
- Behboodi-Sadabad, F.; Zhang, H.; Trouillet, V.; Welle, A.; Plumere, N.; Levkin, P.A. Bioinspired Strategy for Con-trolled Polymerization and Photopatterning of Plant Polyphenols. Chem. Mater. 2018, 30, 1937–1946. [Google Scholar] [CrossRef]
- Mochizuki, M.; Yamazaki, S.; Kano, K.; Ikeda, T. Kinetic analysis and mechanistic aspects of autoxidation of cate-chins. Biochim. Biophys. Acta-Gen. Subj. 2002, 1569, 35–44. [Google Scholar] [CrossRef]
- Schieber, A. Reactions of Quinones—Mechanisms, Structures, and Prospects for Food Research. J. Agric. Food Chem. 2018, 66, 13051–13055. [Google Scholar] [CrossRef]
- Jiménez-Atiénzar, M.; Cabanes, J.; Gandía-Herrero, F.; García-Carmona, F. Kinetic analysis of catechin oxidation by polyphenol oxidase at neutral pH. Biochem. Biophys. Res. Commun. 2004, 319, 902–910. [Google Scholar] [CrossRef] [PubMed]
- Li, Z.; Teng, J.; Lyu, Y.; Hu, X.; Zhao, Y.; Wang, M. Enhanced Antioxidant Activity for Apple Juice Fermented with Lactobacillus plantarum ATCC14917. Molecules 2018, 24, 51. [Google Scholar] [CrossRef] [Green Version]
- Wright, J.S.; Johnson, A.E.R.; DiLabio, G.A. Predicting the Activity of Phenolic Antioxidants: Theoretical Method, Analysis of Substituent Effects, and Application to Major Families of Antioxidants. J. Am. Chem. Soc. 2001, 123, 1173–1183. [Google Scholar] [CrossRef]
- Hotta, H.; Nagano, S.; Ueda, M.; Tsujino, Y.; Koyama, J.; Osakai, T. Higher radical scavenging activities of poly-phenolic antioxidants can be ascribed to chemical reactions following their oxidation. Biochim. Biophys. Acta. Gen. Subj. 2002, 1572, 123–132. [Google Scholar] [CrossRef]
- Zhang, H.; Qi, R.; Mine, Y. The impact of oolong and black tea polyphenols on human health. Food Biosci. 2019, 29, 55–61. [Google Scholar] [CrossRef]
- Kerio, L.C.; Wachira, F.N.; Wanyoko, J.K.; Rotich, M.K. Total polyphenols, catechin profiles and antioxidant ac-tivity of tea products from purple leaf coloured tea cultivars. Food Chem. 2013, 136, 1405–1413. [Google Scholar] [CrossRef] [PubMed]
- Le Bourvellec, C.; Le Quere, J.M.; Sanoner, P.; Drilleau, J.F.; Guyot, S. Inhibition of apple polyphenol oxidase ac-tivity by procyanidins and polyphenol oxidation products. J. Agric. Food Chem. 2004, 52, 122–130. [Google Scholar] [CrossRef]
- Hidalgo, M.; Sanchez-Moreno, C.; de Pascual-Teresa, S. Flavonoid-flavonoid interaction and its effect on their anti-oxidant activity. Food Chem. 2010, 121, 691–696. [Google Scholar] [CrossRef]
- Xiangning, C.; Lupei, R.; Menglin, L.; Jia, Q.; Junfeng, F.; Bin, D. Effects of clove essential oil and eugenol on quali-ty and browning control of fresh-cut lettuce. Food Chem. 2017, 214, 432–439. [Google Scholar]
- Teng, Y.; Murtaza, A.; Iqbal, A.; Fu, J.; Ali, S.W.; Iqbal, M.A.; Xu, X.; Pan, S.; Hu, W. Eugenol emulsions affect the browning processes, and microbial and chemical qualities of fresh-cut Chinese water chestnut. Food Biosci. 2020, 38, 100716. [Google Scholar] [CrossRef]
- Klim, M.; Nagy, S. An improved method to determine nonenzymic browning in citrus juices. J. Agric. Food Chem. 1988, 36, 1271–1274. [Google Scholar] [CrossRef]
- Oyaizu, M. Studies on products of the browning reaction. Antioxidative activities of browning reaction products prepared from glucosamine. Jpn. J. Nutr. [Eiyogaku Zasshi] 1986, 44, 307–315. [Google Scholar] [CrossRef] [Green Version]
- Dong, X.; Zhang, Y.L.; Wang, F.; Pang, M.X.; Qi, J.H. Relationship in between Chemical Oxidation and Browning of Flavanols. In Proceedings of the 2nd International Conference on Agricultural and Biological Sciences; Shanghai, China, 23–26 July; Iop Publishing Ltd.: Shanghai, China, 2016. [Google Scholar]
- Guyot, S.; Vercauteren, J.; Cheynier, V. Structural determination of colourless and yellow dimers resulting from (+)-catechin coupling catalysed by grape polyphenoloxidase. Phytochemistry 1996, 42, 1279–1288. [Google Scholar] [CrossRef]
- Sileika, T.S.; Barrett, D.G.; Zhang, R.; Lau, K.H.A.; Messersmith, P.B. Colorless Multifunctional Coatings Inspired by Polyphenols Found in Tea, Chocolate, and Wine. Angew. Chem. Int. Ed. 2013, 52, 10766–10770. [Google Scholar] [CrossRef] [PubMed] [Green Version]
- Kong, F.S.; Zhang, Y.F.; Bi, Y.G. Determination of Reducing Force of Litsea Cubeba Oil and Its Comparison with Antioxidant Capacity of Other Vegetable Oils. In Proceedings of the 7th International Conference on Mechatronics, Proceedings of the Computer and Education Informationization, Shenyang, China, 3–5 November 2017; Kun, Z., Wang, Z., Miracle, J., Eds.; Atlantis Press: Paris, France, 2017; Volume 75, pp. 943–947. [Google Scholar]
- Yang, H.; Xue, X.; Li, H.; Apandi, S.N.; Tay-Chan, S.C.; Ong, S.P.; Tian, E.F. The relative antioxidant activity and steric structure of green tea catechins—A kinetic approach. Food Chem. 2018, 257, 399–405. [Google Scholar] [CrossRef] [PubMed]
- Ionita, E.; Stanciuc, N.; Aprodu, I.; Rapeanu, G.; Bahrim, G. pH-induced structural changes of tyrosinase from Agaricus bisporus using fluorescence and in silico methods. J. Sci. Food Agric. 2014, 94, 2338–2344. [Google Scholar] [CrossRef]
- Segovia-Bravo, K.; Jarén-Galán, M.; García-García, P.; Fernández, A.G. Browning reactions in olives: Mechanism and polyphenols involved. Food Chem. 2009, 114, 1380–1385. [Google Scholar] [CrossRef]
- Şener, A.; Ünal, M.Ü.; Aksay, S. Purification and Characterization of Polyphenol Oxidase from Goldnugget Loquat (Eriobotrya Japonica cv. Goldnugget). J. Food Biochem. 2011, 35, 1568–1575. [Google Scholar] [CrossRef]
- Gülşen, A.; Turan, B.; Makris, D.P.; Kefalas, P. Copper(II)-mediated biomimetic oxidation of quercetin: Generation of a naturally occurring oxidation product and evaluation of its in vitro antioxidant properties. Eur. Food Res. Technol. 2007, 225, 435–441. [Google Scholar] [CrossRef]
- Łuczaj, W.; Skrzydlewska, E. Antioxidative properties of black tea. Prev. Med. 2005, 40, 910–918. [Google Scholar] [CrossRef]
- Chen, J.X.; Yang, J.; Ma, L.L.; Li, J.; Shahzad, N.; Kim, C.K. Structure-antioxidant activity relationship of methoxy, phenolic hydroxyl, and carboxylic acid groups of phenolic acids. Sci. Rep. 2020, 10, 1. [Google Scholar]
- Wang, Y.; Liu, S.; Yang, M.; Taha, A.A.; Wang, J.; Ma, C. Interaction effects on a gold nanoparticle-based colori-metric assay for antioxidant capacity evaluation of polyphenols. RSC Adv. 2020, 10, 14705–14713. [Google Scholar] [CrossRef]
- Nagababu, E.; Rifkind, J.M.; Boindala, S.; Nakka, L. Assessment of antioxidant activity of eugenol in vitro and in vivo. In Methods in Molecular Biology (Clifton, N.J.); Humana Press: Totowa, NJ, USA, 2010; p. 610. [Google Scholar]
- Aara, A.; Chappidi, V.; Ramadas, M.N. Antioxidant activity of eugenol in Piper betel leaf extract. J. Fam. Med. Prim. Care 2020, 9, 327–331. [Google Scholar] [CrossRef] [PubMed]
- Bortolomeazzi, R.; Verardo, G.; Liessi, A.; Callea, A. Formation of dehydrodiisoeugenol and dehydrodieugenol from the reaction of isoeugenol and eugenol with DPPH radical and their role in the radical scavenging activity. Food Chem. 2010, 118, 256–265. [Google Scholar] [CrossRef]
- Yu, Q.; Fan, L.; Duan, Z. Five individual polyphenols as tyrosinase inhibitors: Inhibitory activity, synergistic effect, action mechanism, and molecular docking. Food Chem. 2019, 297, 124910. [Google Scholar] [CrossRef]
- Xuejiao, S.; Rubing, B.; Ya, Z.; Qiang, W.; Xuerong, F.; Jiugang, Y.; Li, C.; Ping, W. Laccase-catalyzed oxidative polymerization of phenolic compounds. Appl. Biochem. Biotechnol. 2013, 171, 1673–1680. [Google Scholar]
- Kusano, R.; Matsuo, Y.; Saito, Y.; Tanaka, T. Oxidation mechanism of black tea pigment theaflavin by peroxidase. Tetrahedron Lett. 2015, 56, 5099–5102. [Google Scholar] [CrossRef] [Green Version]















| Absorbance Value at Day 0 | Maximum | Maximum Corresponding Time/Day | Largest Increase Rate | Increase Rate at Day 7 | |
|---|---|---|---|---|---|
| CT | |||||
| pH = 3.5 | 0.29 ± 0.0014 a | 0.31 ± 0.0077 c | 2 | 7% | −7% |
| pH = 7.0 | 0.09 ± 0.0013 c | 0.53 ± 0.0197 a | 2 | 494% | 295% |
| pH = 9.0 | 0.11 ± 0.0059 b | 0.37 ± 0.0278 b | 2 | 231% | 153% |
| EC | |||||
| pH = 3.5 | 0.09 ± 0.0011 a | 0.23 ± 0.0036 b | 2 | 204% | 167% |
| pH = 7.0 | 0.05 ± 0.0008 b | 0.35 ± 0.0095 a | 2 | 680% | 603% |
| pH = 9.0 | 0.10 ± 0.0016 a | 0.51 ± 0.0232 c | 1 | 432% | 218% |
| CA | |||||
| pH = 3.5 | 0.13 ± 0.0005 a | 0.35 ± 0.0042 b | 2 | 168% | 154% |
| pH = 7.0 | 0.05 ± 0.0016 c | 0.61 ± 0.0087 a | 5 | 1041% | 929% |
| pH = 9.0 | 0.10 ± 0.0006 b | 0.32 ± 0.0093 c | 3 | 233% | 139% |
| CGA | |||||
| pH = 3.5 | 0.07 ± 0.0022 b | 0.22 ± 0.0207 a | 1 | 230% | 186% |
| pH = 7.0 | 0.05 ± 0.0012 c | 0.39 ± 0.0133 c | 2 | 673% | 616% |
| pH = 9.0 | 0.09 ± 0.0017 a | 0.19 ± 0.0042 b | 2 | 117% | 90% |
| Ligands | Affinity (kJ mol−1) | Number of Hydrophobic Interactions | Amino Acid Residues Involved in Hydrophobic Interactions | Number of Hydrogen Bonds | Amino acid Residues Involved in Hydrogen Bonding |
|---|---|---|---|---|---|
| CT | −7.0 | 7 | His61, His85, His263, Phe264, Ser282, Val283, Ala286 | 3 | His244, Asn260, Met280 |
| EC | −6.7 | 8 | His61, Val248, His263, Phe264, Asn260, Val283, Ser282, Ala286 | 2 | Met280CuB |
| CA | −6.3 | 8 | Val248, Asn260, His263, Phe264, Gly281, Ser282, Val283, Ala286 | 2 | His244, Met280 |
| CGA | −6.9 | 8 | His61, Asn260, His263, Phe264, Pro277, Ser282 Val283, Ala286 | 3 | Gly281, Arg268, Met280 |
| Eugenol | −6.1 | 8 | Gly280, Asn260, Phe264, His259, His263, His85, Val283, Ser282 | 1 | Met280 |
Publisher’s Note: MDPI stays neutral with regard to jurisdictional claims in published maps and institutional affiliations. |
© 2021 by the authors. Licensee MDPI, Basel, Switzerland. This article is an open access article distributed under the terms and conditions of the Creative Commons Attribution (CC BY) license (https://creativecommons.org/licenses/by/4.0/).
Share and Cite
Zhou, X.; Iqbal, A.; Li, J.; Liu, C.; Murtaza, A.; Xu, X.; Pan, S.; Hu, W. Changes in Browning Degree and Reducibility of Polyphenols during Autoxidation and Enzymatic Oxidation. Antioxidants 2021, 10, 1809. https://doi.org/10.3390/antiox10111809
Zhou X, Iqbal A, Li J, Liu C, Murtaza A, Xu X, Pan S, Hu W. Changes in Browning Degree and Reducibility of Polyphenols during Autoxidation and Enzymatic Oxidation. Antioxidants. 2021; 10(11):1809. https://doi.org/10.3390/antiox10111809
Chicago/Turabian StyleZhou, Xuan, Aamir Iqbal, Jiaxing Li, Chang Liu, Ayesha Murtaza, Xiaoyun Xu, Siyi Pan, and Wanfeng Hu. 2021. "Changes in Browning Degree and Reducibility of Polyphenols during Autoxidation and Enzymatic Oxidation" Antioxidants 10, no. 11: 1809. https://doi.org/10.3390/antiox10111809
APA StyleZhou, X., Iqbal, A., Li, J., Liu, C., Murtaza, A., Xu, X., Pan, S., & Hu, W. (2021). Changes in Browning Degree and Reducibility of Polyphenols during Autoxidation and Enzymatic Oxidation. Antioxidants, 10(11), 1809. https://doi.org/10.3390/antiox10111809
