Hydropinotherapy with Sulphurous Mineral Water as Complementary Treatment to Improve Glucose Metabolism, Oxidative Status, and Quality of Life
Abstract
1. Introduction
2. Methods
2.1. Study Population and Study Design
2.2. Measurements
2.3. Data Analysis
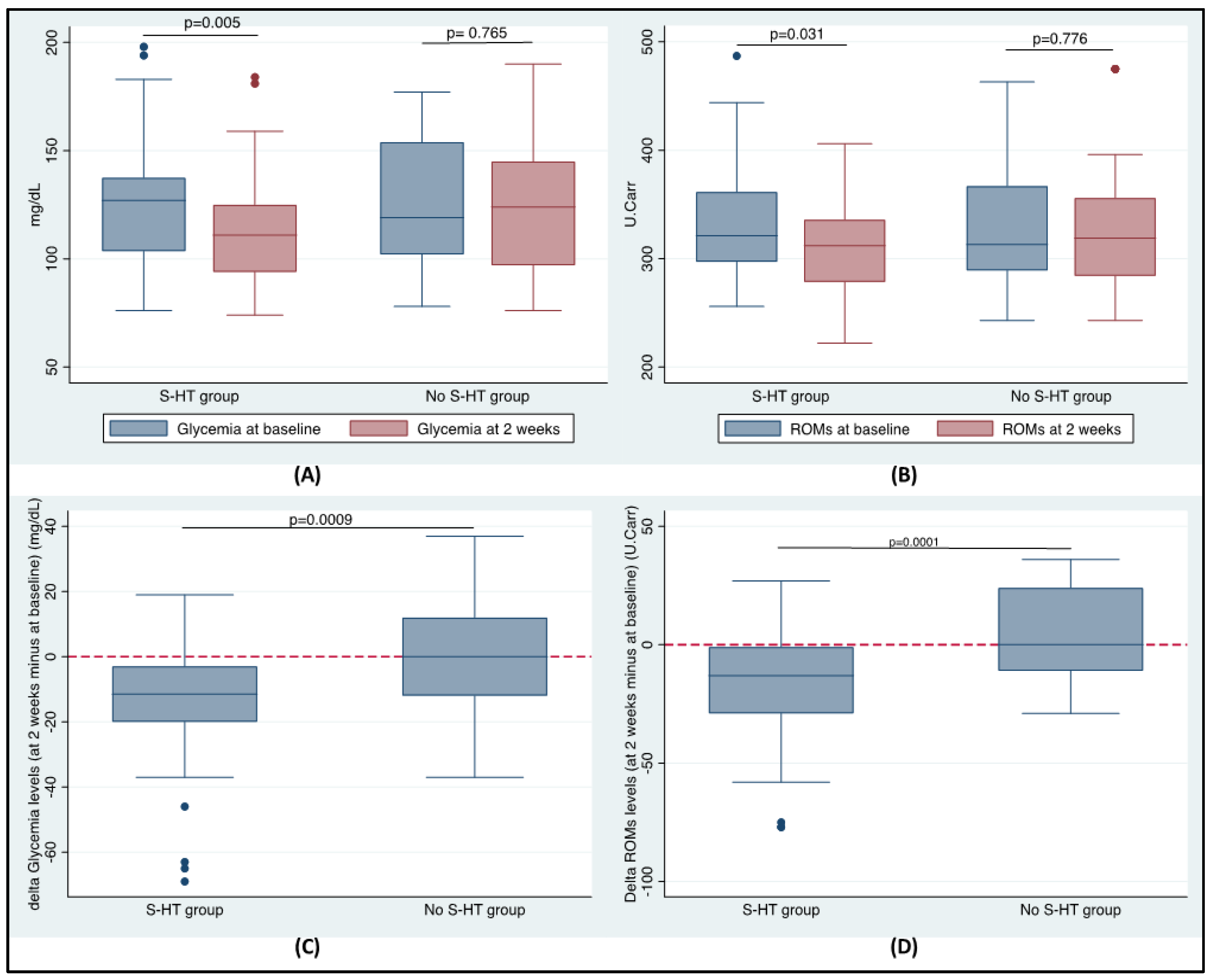
3. Results
3.1. Undesired Events
3.2. Effect of Hydropinotherapy on Glycaemic Levels and Plasma (ROMs)
3.3. Impact of Spa Treatment on the Quality of Life (QoL)
4. Discussion
5. Conclusions
Supplementary Materials
Author Contributions
Funding
Institutional Review Board Statement
Informed Consent Statement
Data Availability Statement
Conflicts of Interest
References
- Queneau, P.; Roques, C. La Médecine Thermale Données: Scientifiques; John Libbey Eurotext: Paris, France, 2018. [Google Scholar]
- Nappi, G. Medicina e Clinica Termale; Selecta Medica Editor: Pavia, Italy, 2001. [Google Scholar]
- Costantino, M.; Izzo, V.; Conti, V.; Manzo, V.; Filippelli, A. Sulphate mineral waters: A medical resource in several disorders. J. Tradit. Complementary Med. 2020, 10, 320–326. [Google Scholar] [CrossRef] [PubMed]
- Baynes, J.W. Perspective in diabetes: Role of oxidative stress in development complications in diabetes. Diabetes 1991, 40, 405–412. [Google Scholar]
- Costantino, M.; Giuberti, G.; Caraglia, M.; Lombardi, A.; Misso, G.; Abbruzzese, A.; Ciani, F.; Lampa, E. Possible antioxidant role of SPA therapy with chlorine-sulphur-bicarbonate mineral water. Amino Acids 2009, 36, 161–165. [Google Scholar] [PubMed]
- Costantino, M.; Giampaolo, C.; Filippelli, A. Effects of drinking spa therapy on oxidative stress. Clin. Ter. 2012, 163, e15–e19. [Google Scholar]
- Albertini, M.C.; Sammartino, V.; Canestrari, F.; Baldoni, F.; Galli, F.; Rovidati, S.; Dachà, M. Effets antioxydants du traitement hydromineral avec une eau sulfurée chez le lapin. Presse Therm. Clim. 1996, 133, 124–127. [Google Scholar]
- Albertini, M.C.; Canestrari, F.; Sammartino, V.; Rovidati, S.; Galli, F.; Dachà, M. Rat abreuvé d’eau sulfurée: Évaluation du stress oxidative. Presse Therm. Clim. 1999, 136, 31–35. [Google Scholar]
- Braga, P.C.; Sambataro, G.; Dal Sasso, M.; Culici, M.; Alfieri, M.; Nappi, G. Antioxidant effect of sulphurous thermal water on human neutrophil Bursts chemiluminescence evaluation. Respiration 2008, 75, 193–201. [Google Scholar] [CrossRef] [PubMed]
- Braga, P.C.; Ceci, C.; Marabini, L.; Nappi, G. The antioxidant activity of sulphureous thermal water protects against oxidative DNA damage: A comet assay investigation. Drug Res. 2013, 63, 198–202. [Google Scholar]
- Pagliarini, S.; Benedetti, G.; Fortunato, N.A.; Nappi, G.; Calcaterra, P.; Mazzone, D.; De Luca, S.; Benvenuti, F.; Francogli, S.; Canestrari, F. Antioxidant prophylactic role of sulphurous water by thermal center of Saturnia. Med. Clin. Termal. 2005, 58, 139–146. [Google Scholar]
- Benedetti, S.; Benvenuti, F.; Nappi, G.; Fortunati, N.A.; Marino, L.; Aureli, T.; De Luca, S.; Pagliarani, S.; Canestrari, F. Antioxidative effects of sulfurous mineral water: Protection against lipid and protein oxidation. Eur. J. Clin. Nutr. 2009, 63, 106–112. [Google Scholar] [CrossRef]
- Karagülle, M.Z.; Karagülle, M. Effects of drinking natural hydrogen sulfide (H2S) waters: A systematic review of in vivo animal studies. Int. J. Biometeorol. 2020, 64, 1011–1022. [Google Scholar] [CrossRef]
- López-Otín, C.; Blasco, M.A.; Partridge, L.; Serrano, M.; Kroemer, G. The hallmarks of aging. Cell 2013, 153, 1194–1217. [Google Scholar] [CrossRef] [PubMed]
- Conti, V.; Corbi, G.; Manzo, V.; Pelaia, G.; Filippelli, A.; Vatrella, A. Sirtuin 1 and aging theory for chronic obstructive pulmonary disease. Anal. Cell. Pathol. 2015, 2015, 897327. [Google Scholar] [CrossRef]
- Giacco, F.; Brownlee, M. Oxidative stress and diabetic complications. Circ. Res. 2010, 107, 1058–1070. [Google Scholar] [CrossRef]
- Eades, C.E.; France, E.F.; Evans, J.M. Prevalence of impaired glucose regulation in Europe: A meta-analysis. Eur. J. Public Health 2016, 26, 699–706. [Google Scholar] [CrossRef] [PubMed][Green Version]
- Costantino, M.; Filippelli, A.; Giampaolo, C.; Tiano, L.; Carlucci, D.M.; Coiro, V.; Rastrelli, L. Hypoglycemic and antioxidant activities of sulphureous mineral water. Pharmacol. Spec. ISSUE 2012, 1, 220–226. [Google Scholar]
- Coiro, V.; Saccani Jotti, G.; Bellarmino, A.; Manfredi, G.; Zanardi, G.; Strinati, F. Effects of hydropinic therapy with sulphur-sulphate-calcium water from tabiano on oxidative stress in diabetes mellitus. Prog. Nutr. 2004, 6, 169–177. [Google Scholar]
- Coiro, V.; Del Monaco, R.; Manfredi, G.; Zanardi, G.; Saccani Jotti, G. Effects of sulfurous mineral water Minieri-Telese on the kinetic of gastric and gallbladder emptying and intestinal transit in subjects with functional dyspepsia. Prog. Nutr. 2004, 4, 3–11. [Google Scholar]
- Costantino, M.; Conti, V.; Corbi, G.; Marongiu, F.; Marongiu, M.B.; Filippelli, A. Sulphurous mud-bath therapy for treatment of chronic low back pain caused by lumbar spine osteoarthritis. Intern. Emerg. Med. 2020, 14, 187–190. [Google Scholar] [CrossRef] [PubMed]
- Hong, Y.S.; Kim, H.; Zhao, D.; Cho, A. Chronic Kidney Disease on Health-Related Quality of Life in Patients with Diabetes Mellitus: A National Representative Study. J. Clin. Med. 2021, 10, 4639. [Google Scholar] [CrossRef] [PubMed]
- Maio, S.; Baldacci, S.; Simoni, M.; Angino, A.; Martini, F.; Cerrai, S.; Sarno, G.; Pala, A.; Bresciani, M.; Paggiaro, P.; et al. Impact of asthma and comorbid allergic rhinitis on quality of life and control in patients of Italian general practitioners. J. Asthma 2012, 49, 854–861. [Google Scholar] [CrossRef] [PubMed]
- Mizuno, H.; Ekuni, D.; Maruyama, T.; Kataoka, K.; Yoneda, T.; Fukuhara, D.; Sugiura, Y.; Tomofuji, T.; Wada, J.; Morita, M. The effects of non-surgical periodontal treatment on glycemic control, oxidative stress balance and quality of life in patients with type 2 di-abetes: A randomized clinical trial. PLoS ONE 2017, 12, e0188171. [Google Scholar] [CrossRef]
- Çetinkaya, F.N.; Koçak, F.A.; Kurt, E.E.; Güçlü, K.; Tuncay, F.; Şaş, S.; Erdem, H.R. The Effects of Balneotherapy on Oxidant/Antioxidant Status in Pa-tients With Fibromyalgia: An Observational Study. Arch Rheumatol. 2020, 35, 506–514. [Google Scholar] [CrossRef] [PubMed]
- The WHOQOL Group. The World health organization quality of life assessment, (WHOQOL): Position paper from the World health organization. Soc. Sci. Med. 1995, 41, 1403–1409. [Google Scholar] [CrossRef]
- The WHOQOL Group. The World Health Organization QoL Assessment (WHOQOL). Development and psychometric properties. Soc. Sci. Med. 1998, 46, 1569–1585. [Google Scholar] [CrossRef]
- Apolone, G.; Mosconi, P. The Italian SF-36 Health Survey: Translation, Validation and Norming. J. Clin. Epidemiol. 1998, 51, 1025–1036. [Google Scholar] [CrossRef]
- Steward, A.L.; Hais, R.D.; Ware, J.E. The most Short Form general Healt Survey: Reliability and validity in a patients population. Med. Care 1988, 26, 724–735. [Google Scholar] [CrossRef]
- Apolone, G.; Mosconi, P.; John, E.; Ware, J.E. Questionario sullo stato di salute SF-36. Manuale d’uso e guida all’interpretazione dei risultati. Guerini ed Associati, Milano. Spine 1997, 31, 2593–2599. [Google Scholar]
- Available online: http://lsi.marionegri.it/qdv/questionari/sf36/sf36v1ita.htm (accessed on 1 July 2020).
- Piscione, F.; Piccolo, R.; De Rosa, R.; Chiariello, M. La qualità della vita: Una valutazione spesso trascurata nei pazienti con arteriopatia periferica. G Ital. Cardiol. 2009, 10, 216–224. [Google Scholar]
- Flanagan, S.; Damery, S.; Combes, G. The effectiveness of integrated care interven-tions in improving patient quality of life (QoL) for patients with chronic conditions. An overview of the systematic review evidence. Health Qual. Life Outcomes 2017, 15, 188. [Google Scholar] [CrossRef]
- Tofas, T.; Draganidis, D.; Deli, C.K.; Georgakouli, K.; Fatouros, I.G.; Jamurtas, A.Z. Exercise-Induced Regulation of Redox Status in Cardiovascular Diseases: The Role of Exercise Training and Detraining. Antioxidants 2020, 9, 13. [Google Scholar] [CrossRef]
- Antonelli, M.; Donelli, D.; Fioravanti, A. Effects of balneotherapy and spa therapy on quality of life of patients with knee osteoarthritis: A systematic review and meta-analysis. Rheumatol. Int. 2018, 38, 1807–1824. [Google Scholar] [CrossRef] [PubMed]
- Costantino, M.; Filippelli, A. Impact of SPA therapy with sulphureous mineral water on quality of life and psychological distress in chronic plaque psoriasis. Clin. Ter. 2014, 165, e277–e284. [Google Scholar] [CrossRef] [PubMed]
- Iorio, E.L. The d-ROMs Test and the Evaluation of Oxidative Stress; Diacron International: Pistoia, Italy, 2004. [Google Scholar]
- Alberti, A.; Bolognini, L.; Macciantelli, D.; Carratelli, M. The radical cation of N, N- dietil-para-fenilendiammina: Un possibile indicatore di stress ossidativo in campioni biologici. Res. Chem. Intermed. 2000, 26, 253–267. [Google Scholar]
- Costantini, D.; Dell’Omo, G. Effects of T-cell-mediated immune response on avian oxidative stress. Comp. Biochem. Physiol. 2006, 145, 137–142. [Google Scholar] [CrossRef]
- Tanganelli, I.; Ciccoli, L.; Tassi, R.; Borgogni, P.; Rossi, V.; Gistri, M.; Pettinari, O.; Signorini, C.; Marisi, M. Markers of oxidative stress in diabetic patients. Diabetes Res. Clin. Pract. 2000, 50 (Suppl. S1), S1. [Google Scholar] [CrossRef]
- Kawahito, S.; Kitahata, H.; Oshita, S. Problems associated with glucose toxicity: Role of hyperglycemia-induced oxidative stress. World J. Gastroenterol. 2009, 15, 4137–4142. [Google Scholar] [CrossRef]
- Naumann, J.; Biehler, D.; Lüty, T.; Sadaghiani, C. Prevention and Therapy of Type 2 Diabetes—What Is the Potential of Daily Water Intake and Its Mineral Nutrients? Nutrients 2017, 9, 914. [Google Scholar] [CrossRef]
- Mennuni, G.; Petraccia, L.; Fontana, M.; Nocchi, S.; Stortini, E.; Romoli, M.; Esposito, E.; Priori, F.; Grassi, M.; Geraci, A.; et al. The therapeutic activity of sulphate-bicarbonate-calcium-magnesiac mineral water in the functional disorders of the biliary tract. Clin. Ter. 2014, 165, e346–e352. [Google Scholar]
- Bothe, G.; Coh, A.; Auinger, A. Efficacy and safety of a natural mineral water rich in magnesium and sulphate for bowel function: A double-blind, randomized, placebo-controlled study. Eur. J. Nutr. 2017, 56, 491–499. [Google Scholar] [CrossRef]
- Ketterer, B. Detoxication reactions of glutathione and glutathione tranferarses. Xenobiotica 1986, 16, 957. [Google Scholar]
- Orrenius, S.; Moldeus, P. The multiple roles of glutathione in drug metabolism. Trends Pharm. Sci. 1984, 5, 432–438. [Google Scholar]
- Bronzetti, G. Antimutagenesis studies of magnesium and calcium salts. J. Environ. Pathol. Toxicol. Oncol. 2000, 19, 401–413. [Google Scholar] [PubMed]
- Tsan, M.-F.; Danis, E.H.; Del Vecchio, P.J.; Rosano, C.L. Enhancements of intracellular glutathione protects endothelial cells against oxidant damage. Biochem. Biphys. Res. Commun. 1985, 127, 270–276. [Google Scholar] [CrossRef]
- Bertoni, M.; Aliveri, F.; Manghetti, M.; Boccolini, E.; Bellomini, M.G.; Blandizzi, C.; Bonino, F.; Del Tacca, M. Effects of a bicarbonate-alkaline mineral water on gastric functions and functional dyspepsia: A preclinical and clinical study. Pharmacol. Res. 2002, 46, 525–531. [Google Scholar]
- Wasserfurth, P.; Schneider, I.; Ströhle, A.; Nebl, J.; Bitterlich, N.; Hahn, A. Effects of mineral waters on acid–base status in healthy adults: Results of a randomized trial. Food Nutr. Res. 2019, 63, 3515. [Google Scholar] [CrossRef]
- Carbajo, J.M.; Maraver, F. Sulphurous mineral water: New applcations for Health. ECAM 2017, 2017, 11. [Google Scholar] [CrossRef] [PubMed]
- Shefa, U.; Kim, M.S.; Jeong, N.Y.; Jung, J. Antioxidant and Cell-Signaling Functions of Hydrogen Sulfide in the Central Nervous System. Oxid. Med. Cell Longev. 2018, 2018, 1873962. [Google Scholar] [CrossRef] [PubMed]
- Forte, M.; Conti, V.; Damato, A.; Ambrosio, M.; Puca, A.A.; Sciarretta, S.; Frati, G.; Vecchione, C.; Carrizzo, A. Targeting Nitric Oxide with Natural Derived Compounds as a Therapeutic Strategy in Vascular Diseases. Oxid. Med. Cell Longev. 2016, 2016, 7364138. [Google Scholar] [CrossRef] [PubMed]
- Schneider, I.; Greupner, T.; Hahn, A. Magnesium bioavailability from mineral waters with different mineralization levels in comparison to bread and a supplement. Food Nutr. Res. 2017, 61, 1384686. [Google Scholar] [CrossRef]
- Vieira, D.C.; Monteiro, R.; Martins, M.J. Metabolic Syndrome Features: Is There a Modulation Role by Mineral Water Consumption? A Review. Nutrients 2019, 11, 1141. [Google Scholar] [CrossRef] [PubMed]
- Cuomo, R.; Grasso, R.; Sarnelli, G.; Capuano, G.; Nicolai, E.; Nardone, G.; Pomponi, D.; Budillon, G.; Ierardi, E. Effects of carbonated water on functional dsyspepsia and constipation. Eur. J. Gastroenterol. Hepatol. 2002, 14, 991–999. [Google Scholar] [CrossRef] [PubMed]
- Trikkalinou, A.; Papazafiropoulou, A.K.; Melidonis, A. Type 2 diabetes and quality of life. World J. Diabetes 2017, 8, 120–129. [Google Scholar] [CrossRef] [PubMed]




| S-HT Group n = 90 | No S-HT Group n = 35 | p | |
|---|---|---|---|
| Age, years mean ± SD median (range) | 58.1 ± 10.9 57 [23–84] | 61.3 ± 10.7 61 [22–84] | 0.134 |
| Height, m mean ± SD (range) | 1.69 ± 0.08 (1.5–1.9) | 1.68 ± 0.07 (1.53–1.89) | 0.557 |
| Weight, Kg mean ± SD (range) | 75.9 ± 13.6 (50–118.5) | 75.5 ± 13.8 (53–124) | 0.874 |
| BMI, Kg/m2 mean ± SD (range) | 26.5 ± 3.6 (17.5–37.2) | 26.7 ± 4.3 (17.5–36.9) | 0.763 |
| SEX, n (%) Male Female | 66 (73) 24 (27) | 23 (66) 12 (34) | 0.398 |
| Chronic gastritis/gastroduodenitis, n (%) | 38 (42.22) | 16 (45.71) | 0.723 |
| Gastroesophageal reflux, n (%) | 25 (27.78) | 11 (31.43) | 0.686 |
| Hiatal hernia, n (%) | 27 (30.00) | 8 (22.85) | 0.425 |
| Number of drugs | |||
| mean ± SD | 0.93 ± 1.15 | 1.22 ± 1.06 | 0.193 |
| (range) | (0–5) | (0–4) |
| S-HT Group n = 60 | No S-HT Group n = 35 | p | |
|---|---|---|---|
| Age, years mean ± SD median (range) | 59.1 ± 11.2 58 [23–83] | 61.3 ± 10.7 61 [22–84] | 0.351 |
| Height, m mean ± SD (range) | 1.67 ± 0.07 (1.5–1.89) | 1.68 ± 0.07 (1.53–1.89) | 0.782 |
| Weight, Kg mean ± SD (range) | 73.5 ± 12.3 (50–118.5) | 75.5 ± 13.8 (53–124) | 0.469 |
| BMI, Kg/m2 mean ± SD (range) | 26.1 ± 3.5 (19.3–37.2) | 26.7 ± 4.3 (17.5–36.9) | 0.451 |
| Glycaemia at baseline, g/dL | |||
| mean ± SD | 125.97 ± 26.92 | 125.71 ± 27.71 | 0.965 |
| (range) | (76–198) | (78–177) | |
| ROMs at baseline, U.Carr. | |||
| mean ± SD | 331.25 ± 47.12 | 331.31 ± 66.15 | 0.996 |
| (range) | (256–487) | (243–463) | |
| Sex, n (%) Male Female | 41 (68.3) 19 (31.7) | 23 (66) 12 (34) | 0.398 |
| Chronic gastritis/gastroduodenitis, n (%) | 27 (45.00) | 16 (45.71) | 0.946 |
| Gastroesophageal reflux, n (%) | 16 (26.67) | 11 (31.43) | 0.620 |
| Hyatal hernia, n (%) | 17 (28.33) | 8 (22.86) | 0.559 |
| Number of drugs | |||
| mean ± SD | 1.08 ± 1.25 | 1.22 ± 1.06 | 0.566 |
| (range) | (0–5) | (0–4) |
| SF-36 Items | S-HT Group | No S-HT Group | ||||
|---|---|---|---|---|---|---|
| at Baseline | at 2 Weeks | p | at Baseline | at 2 Weeks | p | |
| Physical functioning | 86.25 ± 20.08 | 87.17 ± 19.62 | 0.801 | 86.28 ± 24.26 | 82.23 ± 29.41 | 0.531 |
| Physical role functioning | 75.00 ± 38.51 | 91.25 ± 23.84 | 0.006 | 77.86 ± 33.08 | 86.43 ± 32.28 | 0.277 |
| Body pain | 67.73 ± 28.17 | 79.90 ± 25.80 | 0.015 | 69.14 ± 23.77 | 74.31 ± 24.39 | 0.372 |
| General health perceptions | 57.73 ± 16.11 | 63.65 ± 15.84 | 0.045 | 49.77 ± 13.37 | 54.83 ± 11.20 | 0.091 |
| Vitality | 61.83 ± 20.50 | 68.50 ± 21.36 | 0.084 | 58.14 ± 11.19 | 59.14 ± 13.48 | 0.737 |
| Social role functioning | 73.35 ± 21.99 | 82.33 ± 20.79 | 0.023 | 70.4 ± 16.81 | 73.37 ± 20.29 | 0.507 |
| Emotional role functioning | 72.68 ± 40.04 | 88.82 ± 26.60 | 0.011 | 84.69 ± 32.73 | 86.63 ± 32.56 | 0.804 |
| Mental health | 62.60 ± 18.73 | 71.53 ± 20.10 | 0.013 | 56.11 ± 9.18 | 56.69 ± 10.60 | 0.810 |
Publisher’s Note: MDPI stays neutral with regard to jurisdictional claims in published maps and institutional affiliations. |
© 2021 by the authors. Licensee MDPI, Basel, Switzerland. This article is an open access article distributed under the terms and conditions of the Creative Commons Attribution (CC BY) license (https://creativecommons.org/licenses/by/4.0/).
Share and Cite
Costantino, M.; Conti, V.; Corbi, G.; Filippelli, A. Hydropinotherapy with Sulphurous Mineral Water as Complementary Treatment to Improve Glucose Metabolism, Oxidative Status, and Quality of Life. Antioxidants 2021, 10, 1773. https://doi.org/10.3390/antiox10111773
Costantino M, Conti V, Corbi G, Filippelli A. Hydropinotherapy with Sulphurous Mineral Water as Complementary Treatment to Improve Glucose Metabolism, Oxidative Status, and Quality of Life. Antioxidants. 2021; 10(11):1773. https://doi.org/10.3390/antiox10111773
Chicago/Turabian StyleCostantino, Maria, Valeria Conti, Graziamaria Corbi, and Amelia Filippelli. 2021. "Hydropinotherapy with Sulphurous Mineral Water as Complementary Treatment to Improve Glucose Metabolism, Oxidative Status, and Quality of Life" Antioxidants 10, no. 11: 1773. https://doi.org/10.3390/antiox10111773
APA StyleCostantino, M., Conti, V., Corbi, G., & Filippelli, A. (2021). Hydropinotherapy with Sulphurous Mineral Water as Complementary Treatment to Improve Glucose Metabolism, Oxidative Status, and Quality of Life. Antioxidants, 10(11), 1773. https://doi.org/10.3390/antiox10111773

