Body Concept and Quality of Life in Patients with Idiopathic Dystonia
Abstract
1. Introduction
2. Materials and Methods
2.1. Frankfurt Body Concept Scale (FKKS)
2.2. Short Form 36 Health Survey (SF-36)
2.3. Beck Depression Inventory (BDI)
2.4. Hamilton Depression Rating Scale (HDRS)
2.5. Social Phobia Inventory (SPIN)
2.6. Social Interaction Anxiety Scale (SIAS)
2.7. Statistical Analysis
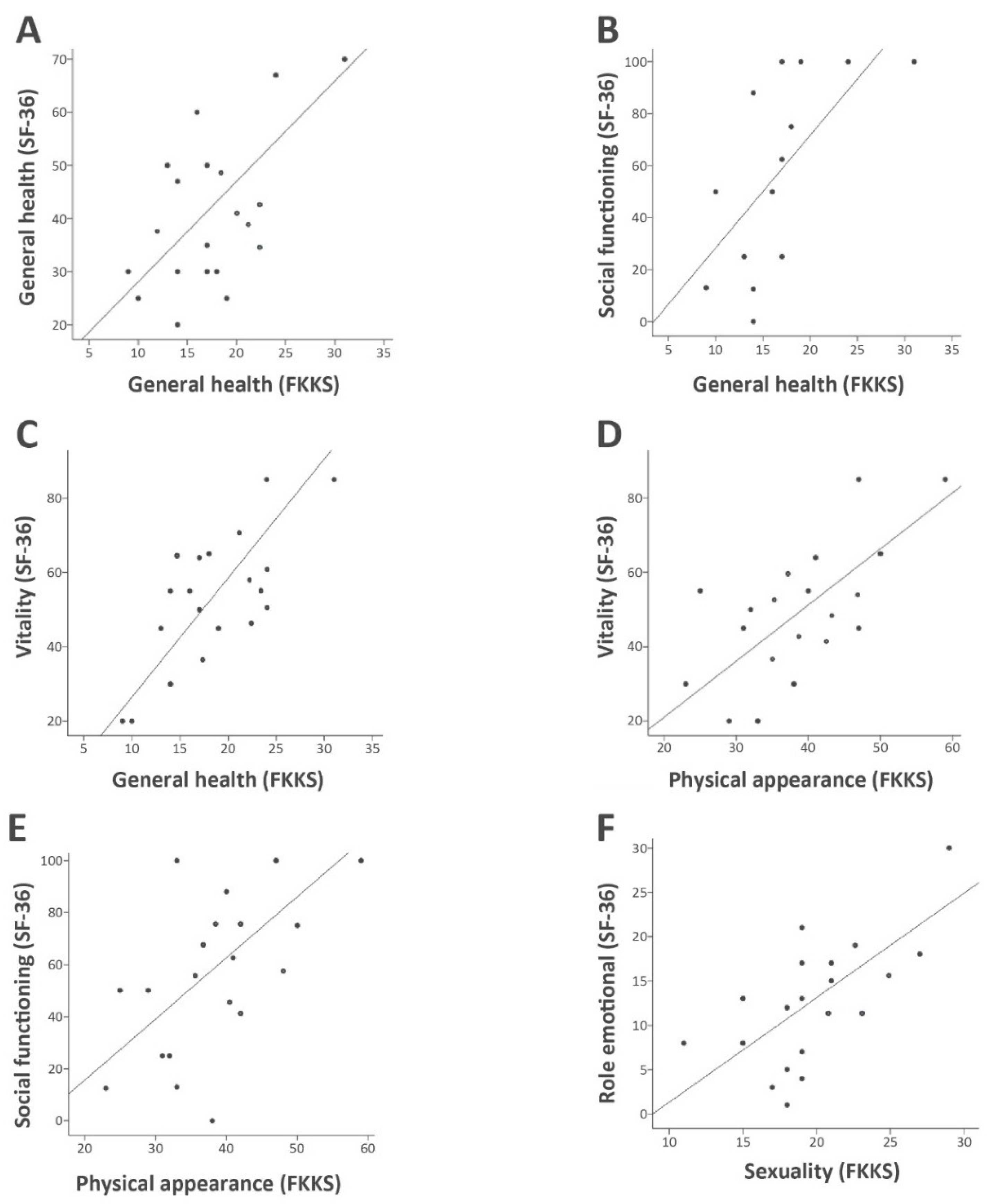
3. Results
4. Discussion
Author Contributions
Funding
Conflicts of Interest
References
- Albanese, A.; Bhatia, K.; Bressman, S.B.; Delong, M.R.; Fahn, S.; Fung, V.S.; Hallett, M.; Jankovic, J.; Jinnah, H.A.; Klein, C.; et al. Phenomenology and classification of dystonia: A consensus update. Mov. Disord. 2013, 28, 863–873. [Google Scholar] [CrossRef] [PubMed]
- Balint, B.; Bhatia, K.P. Dystonia: An update on phenomenology, classification, pathogenesis and treatment. Curr. Opin. Neurol. 2014, 27, 468–476. [Google Scholar] [CrossRef] [PubMed]
- Jahanshahi, M. Behavioural and psychiatric manifestations in dystonia. In Behavioural Neurology of Movement Disorders, 2nd ed.; Anderson, K., Weiner, W., Lang, A., Eds.; Lippincott, Williams & Wilkins: Philadelphia, PA, USA, 2005; pp. 291–319. [Google Scholar]
- Page, D.; Butler, A.; Jahanshahi, M. Quality of life in focal, segmental, and generalized dystonia. Mov. Disord. 2007, 22, 341–347. [Google Scholar] [CrossRef] [PubMed]
- Lewis, L.; Butler, A.; Jahanshahi, M. Depression in focal, segmental and generalized dystonia. J. Neurol. 2008, 255, 1750–1755. [Google Scholar] [CrossRef]
- Gündel, H.; Wolf, A.; Xidara, V.; Busch, R.; Ceballos-Baumann, A.O. Social phobia in spasmodic torticollis. J. Neurol. Neurosurg. Psychiatry 2001, 71, 499–504. [Google Scholar] [CrossRef]
- Fabbrini, G.; Berardelli, I.; Moretti, G.; Pasquini, M.; Bloise, M.C.; Colosimo, C.; Biondi, M.; Berardelli, A. Psychiatric disorders in adult-onset focal dystonia: A case-control study. Mov. Disord. 2010, 25, 459–465. [Google Scholar] [CrossRef]
- Zurowski, M.; McDonald, W.M.; Fox, S.; Marsh, L. Psychiatric comorbidities in dystonia: Emerging concepts. Mov. Disord. 2013, 28, 914–920. [Google Scholar] [CrossRef]
- Lencer, R.; Steinlechner, S.; Stahlberg, J.; Rehling, H.; Orth, M.; Baeumer, T.; Rump, H.J.; Meyer, C.; Klein, C.; Muenchau, A.; et al. Primary focal dystonia: Evidence for distinct neuropsychiatric and personality profiles. J. Neurol. Neurosurg. Psychiatry 2009, 80, 1176–1179. [Google Scholar] [CrossRef]
- Smit, M.; Kuiper, A.; Han, V.; Jiawan, V.C.; Douma, G.; Van Harten, B.; Oen, J.M.; Pouwels, M.E.; Dieks, H.J.; Bartels, A.L.; et al. Psychiatric co-morbidity is highly prevalent in idiopathic cervical dystonia and significantly influences health-related quality of life: Results of a controlled study. Park. Relat. Disord. 2016, 30, 7–12. [Google Scholar] [CrossRef]
- Van den Dool, J.; Tijsen, M.A.; Koelman, J.H.; Engelbert, R.H.; Visser, B. Determinants of disability in cervical dystonia. Park. Relat. Disord. 2016, 32, 48–53. [Google Scholar] [CrossRef]
- Blahak, C.; Wöhrle, J.C.; Capelle, H.H.; Bäzner, H.; Grips, E.; Weigel, R.; Kekelia, K.; Krauss, J.K. Health-related quality of life in segmental dystonia is improved by bilateral pallidal stimulation. J. Neurol. 2006, 255, 178–182. [Google Scholar] [CrossRef] [PubMed]
- Jahanshahi, M.; Marsden, C.D. Body concept, disability and depression in torticollis. Behav. Neurol. 1990, 3, 117–131. [Google Scholar] [CrossRef] [PubMed]
- Papathanasiou, I.; MacDonald, L.; Whurr, R.; Jahanshahi, M. Perceived stigma in Spasmodic Torticollis. Mov. Disord. 2001, 16, 280–285. [Google Scholar] [CrossRef]
- Paracka, L.; Wegner, F.; Blahak, C.; Abdallat, M.; Saryyeva, A.; Dressler, D.; Karst, M.; Krauss, J.K. Sensory Alterations in Patients with Isolated Idiopathic Dystonia: An Exploratory Quantitative Sensory Testing Analysis. Front. Neurol. 2017, 8, 553. [Google Scholar] [CrossRef] [PubMed]
- Krauss, J.K.; Yianni, J.; Loher, T.J.; Aziz, T.Z. Deep brain stimulation for dystonia. J. Clin. Neurophysiol. 2004, 21, 18–30. [Google Scholar] [CrossRef]
- Folstein, M.F.; Folstein, S.E.; McHugh, P.R. Mini-Mental State: A practical method for grading the state of patients for the clinician. J. Psychiatr. Res. 1975, 12, 189–198. [Google Scholar] [CrossRef]
- Burke, R.E.; Fahn, S.; Marsden, C.D.; Bressman, S.B.; Moskowitz, C.; Friedman, J. Validity and reliability of a rating scale for the primary torsion dystonias. Neurology 1985, 35, 73–77. [Google Scholar] [CrossRef]
- Consky, E.S.; Lang, A.E. Clinical assessments of patients with cervical dystonia. In Therapy with Botulinum Toxin, 2nd ed.; Jankovic, J., Hallett, M., Eds.; Marcel Dekker: New York, NY, USA, 1994; pp. 211–237. [Google Scholar]
- Deusinger, I.M. Die Frankfurter Körperkonzeptskalen: (FKKS); Handanweisung; mit Bericht über Vielfältige Validierungsstudien; Hogrefe, Verl. für Psychologie: Göttingen, Germany; Bern, Switzerland; Toronto, ON, Canada; Seattle, WA, USA, 1998. [Google Scholar]
- Hadolt, B.; Wallisch, A.; Egger, J.; Höllwarth, M.E. Body-image, self-concept and mental exposure in patients with pectus excavatum. Pediatr. Surg. Int. 2011, 27, 665–670. [Google Scholar] [CrossRef]
- Muenstedt, K.; Manthey, N.; Sachsse, S.; Vahrson, H. Changes in self-concept and body image during alopecia induced cancer chemotherapy. Support. Care Cancer 1997, 5, 139–143. [Google Scholar] [CrossRef]
- Kurek, A.; Peters, E.M.J.; Sabat, R.; Sterry, W.; Schneider-Burrus, S. Depression is a frequent co-morbidity in patients with acne inversa. JDDG J. Dtsch. Dermatol. Ges. 2012, 11, 743–749. [Google Scholar] [CrossRef]
- Gallagher, S. Body image and body schema: A conceptual clarification. J. Mind Behav. 1986, 7, 541–554. [Google Scholar]
- Ware, J.E.; Kosinski, M.; Gandek, B.; Aaronson, N.K.; Apolone, G.; Bech, P.; Brazier, J.; Bullinger, M.; Kaasa, S.; Leplège, A.; et al. The factor structure of the SF- 36 Health Survey in 10 countries: Results from the IQOLA project. J. Clin. Epidemiol. 1998, 51, 1159–1165. [Google Scholar] [CrossRef]
- Ware, J.E.; Sherbourne, C.D. The MOS 36-Item Short-Form Health Survey (SF-36): I. Conceptual Framework and Item Selection. In Medical Care; Lippincott, Williams & Wilkins: Philadephia, PA, USA, 1992; Volume 30, pp. 473–483. [Google Scholar]
- Ellert, U.; Bellach, B.M. Der SF-36 im Bundes-Gesundheitssurvey—Beschreibung einer aktuellen Normstichprobe (SF-36 Questionnaire in the Federal Health Survey—Description). Gesundheitswesen 1999, 61, 184–190. [Google Scholar]
- Beck, A.; Ward, C.H.; Mendelson, M.; Mock, J.; Erbaugh, J. An inventory for measuring depression. Arch. Gen. Psychiatry 1961, 4, 561–571. [Google Scholar] [CrossRef] [PubMed]
- Hamilton, M. A rating scale for depression. J. Neurol Neurosurg Psychiatry 1960, 23, 56–62. [Google Scholar] [CrossRef]
- Zimmerman, M.; Martinez, J.H.; Young, D.; Chelminski, I.; Dalrymple, K. Severity classification on the Hamilton Depression Rating Scale. J. Affect. Disord. 2013, 150, 384–388. [Google Scholar] [CrossRef]
- Connor, K.M.; Davidson, J.R.; Churchill, L.E.; Sherwood, A.; Foa, E.; Weisler, R.H. Psychometric Properties of the Social Phobia Inventory. Br. J. Psych. 2000, 176, 379–386. [Google Scholar] [CrossRef]
- Mattick, R.P.; Clarke, J.C. Development and validation of measures of social phobia scrutiny fear and social interaction anxiety. Behav. Res. Ther. 1998, 36, 455–470. [Google Scholar] [CrossRef]
- Girach, A.; Aragon, A.V.; Zis, P. Quality of life in idiopathic dystonia: A systematic review. J. Neurol. 2019, 266, 2897–2906. [Google Scholar] [CrossRef]
- Ben-Shlomo, Y.; Camfield, L.; Warner, T. What are the determinants of quality of life in people with cervical dystonia? J. Neurol. Neurosurg. Psychiatry 2002, 72, 608–614. [Google Scholar] [CrossRef]
- Grogan, S. Body Image: Understanding Body Dissatisfaction in Men, Women and Children; Routledge: London, UK, 1999. [Google Scholar]
- Legenbauer, T.; Thiemann, P.; Vocks, S. Body image disturbance in children and adolescents with eating disorders. Current evidence and future directions. Z. Kinder. Jugendpsychiatr. Psychother. 2014, 42, 51–59. [Google Scholar] [CrossRef] [PubMed]



| BFM (n = 20) | TWSTRS (n = 7) | |||
|---|---|---|---|---|
| Pearson r | p-Value | Pearson r | p-Value | |
| Mood scales | ||||
| Beck Depression Inventory | 0.34 | 0.04 * | 0.43 | 0.21 |
| Hamilton Depression Rating Scale | 0.70 | 0.008 ** | 0.52 | 0.08 |
| Anxiety scales | ||||
| Social Phobia Inventory | 0.21 | 0.30 | 0.76 | 0.12 |
| Social Interaction Anxiety Scale | 0.67 | 0.43 | 0.16 | 0.29 |
| Frankfurt Body Concept Scale | ||||
| General health | 0.08 | 0.79 | −0.62 | 0.54 |
| Body care and taking care of body functioning | 0.27 | 0.35 | 0.48 | 0.11 |
| Physical efficacy | 0.34 | 0.22 | 0.23 | 0.09 |
| Body contact | −0.14 | 0.96 | 0.56 | 0.16 |
| Sexuality | 0.16 | 0.57 | 0.26 | 0.09 |
| Self-acceptance of one’s body | −0.15 | 0.62 | 0.14 | 0.15 |
| Acceptance of one’s body by others | 0.35 | 0.15 | −0.28 | 0.52 |
| Physical appearance | −0.23 | 0.32 | 0.35 | 0.42 |
| Dissimilating body processes | 0.21 | 0.44 | 0.21 | 0.08 |
| SF-36 Quality of life scale | ||||
| Physical functioning | 0.42 | 0.23 | −0.22 | 0.17 |
| Role physical | 0.34 | 0.57 | 0.42 | 0.54 |
| Bodily pain | 0.23 | 0.66 | −0.35 | 0.54 |
| General health | −0.14 | 0.09 | 0.18 | 0.36 |
| Vitality | 0.23 | 0.65 | 0.24 | 0.09 |
| Social functioning | 0.34 | 0.72 | 0.52 | 0.12 |
| Role emotional | 0.43 | 0.08 | 0.22 | 0.11 |
| Mental health | 0.39 | 0.66 | 0.32 | 0.31 |
| BDI | HDRS | SPIN | SIAS | |||||
|---|---|---|---|---|---|---|---|---|
| Pearson r | p-Value | Pearson r | p-Value | Pearson r | p-Value | Pearson r | p-Value | |
| Quality of life scales | ||||||||
| Physical functioning | −0.49 | 0.09 | −0.31 | 0.29 | −0.46 | 0.10 | −0.02 | 0.94 |
| Role physical | −0.69 | 0.004 ** | −0.54 | 0.046 * | −0.13 | 0.66 | 0.27 | 0.32 |
| Bodily pain | −0.54 | 0.03 * | −0.59 | 0.026 * | −0.65 | 0.11 | −0.14 | 0.61 |
| General Health | −0.23 | 0.41 | 0.08 | 0.79 | 0.15 | 0.39 | −0.19 | 0.50 |
| Vitality | −0.42 | 0.12 | −0.02 | 0.94 | −0.38 | 0.17 | 0.03 | 0.91 |
| Social functioning | −0.67 | 0.006 ** | −0.43 | 0.12 | −0.08 | 0.80 | 0.52 | 0.15 |
| Role emotional | −0.60 | 0.017 * | −0.28 | 0.34 | −0.18 | 0.53 | 0.11 | 0.69 |
| Mental Health | −0.76 | 0.001 ** | −0.53 | 0.05 * | −0.40 | 0.15 | −0.10 | 0.72 |
| Frankfurt Body Concept Scale | ||||||||
| General health | 0.36 | 0.17 | −0.14 | 0.61 | 0.27 | 0.31 | 0.06 | 0.82 |
| Body care and taking care of body functioning | −0.10 | 0.71 | −0.37 | 0.18 | 0.12 | 0.67 | 0.18 | 0.50 |
| Physical efficacy | 0.11 | 0.67 | −0.40 | 0.13 | 0.33 | 0.21 | 0.61 | 0.11 |
| Body contact | 0.20 | 0.46 | −0.11 | 0.69 | 0.42 | 0.10 | −0.10 | 0.73 |
| Sexuality | −0.44 | 0.04 * | 0.01 | 0.98 | 0.31 | 0.25 | 0.08 | 0.76 |
| Self−acceptance of one’s body | 0.09 | 0.72 | −0.32 | 0.24 | 0.04 | 0.88 | 0.55 | 0.23 |
| Acceptance of one’s body by others | 0.03 | 0.91 | −0.07 | 0.80 | 0.03 | 0.92 | 0.05 | 0.86 |
| Physical appearance | −0.73 | 0.021 * | −0.50 | 0.06 | −0.15 | 0.57 | 0.29 | 0.27 |
| Dissimilating body processes | −0.07 | 0.79 | −0.02 | 0.92 | 0.08 | 0.77 | 0.02 | 0.94 |
© 2020 by the authors. Licensee MDPI, Basel, Switzerland. This article is an open access article distributed under the terms and conditions of the Creative Commons Attribution (CC BY) license (http://creativecommons.org/licenses/by/4.0/).
Share and Cite
Paracka, L.; Wegner, F.; Escher, C.; Klietz, M.; de Zwaan, M.; Abdallat, M.; Saryyeva, A.; Krauss, J.K. Body Concept and Quality of Life in Patients with Idiopathic Dystonia. Brain Sci. 2020, 10, 488. https://doi.org/10.3390/brainsci10080488
Paracka L, Wegner F, Escher C, Klietz M, de Zwaan M, Abdallat M, Saryyeva A, Krauss JK. Body Concept and Quality of Life in Patients with Idiopathic Dystonia. Brain Sciences. 2020; 10(8):488. https://doi.org/10.3390/brainsci10080488
Chicago/Turabian StyleParacka, Lejla, Florian Wegner, Claus Escher, Martin Klietz, Martina de Zwaan, Mahmoud Abdallat, Assel Saryyeva, and Joachim K. Krauss. 2020. "Body Concept and Quality of Life in Patients with Idiopathic Dystonia" Brain Sciences 10, no. 8: 488. https://doi.org/10.3390/brainsci10080488
APA StyleParacka, L., Wegner, F., Escher, C., Klietz, M., de Zwaan, M., Abdallat, M., Saryyeva, A., & Krauss, J. K. (2020). Body Concept and Quality of Life in Patients with Idiopathic Dystonia. Brain Sciences, 10(8), 488. https://doi.org/10.3390/brainsci10080488

