Phase Diagrams of Fatty Acids as Biosourced Phase Change Materials for Thermal Energy Storage
Abstract
:Featured Application
Abstract
1. Introduction
2. Materials and Methods
2.1. Samples
2.2. Experimental Setup
2.3. Experiment Protocols
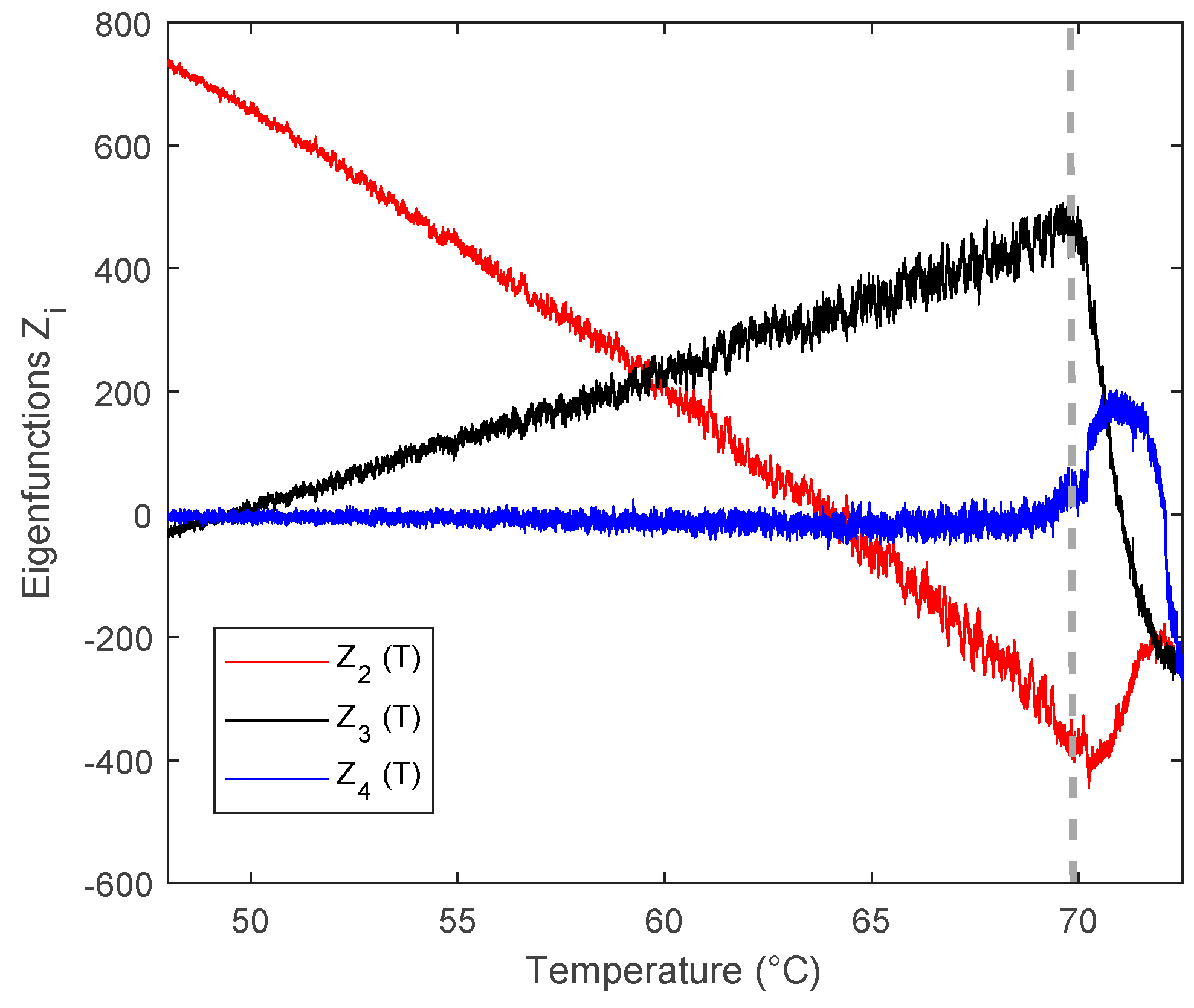
2.4. Image Treatment and Data Processing
2.5. Experimental and Theoretical Validations
2.5.1. DSC Analysis
2.5.2. Thermodynamic Modeling of the Solid–Liquid Equilibrium
3. Results and Discussion
4. Conclusions
Author Contributions
Funding
Acknowledgments
Conflicts of Interest
References
- International Energy Agency (2019). Buildings: Tracking Clean Energy Progress. Available online: https://www.iea.org/tcep/buildings/ (accessed on 2 March 2019).
- Agyenim, F.; Hewitt, N.; Eames, P.; Smyth, M. A review of materials, heat transfer and phase change problems formulation for latent heat thermal energy storage systems. Renew. Sustain. Energy Rev. 2010, 14, 615–628. [Google Scholar] [CrossRef]
- Duquesne, M.; Toutain, J.; Sempey, A.; Ginestet, S.; Palomo del Barrio, E. Modeling of a non-linear thermochemical energy storage by adsorption on zeolites. Appl. Therm. Eng. 2014, 71, 469–480. [Google Scholar] [CrossRef]
- Alva, G.; Lin, Y.; Fang, G. An overview of thermal energy storage systems: A review. Energy 2018, 144, 341–378. [Google Scholar] [CrossRef]
- Zalba, B.; Marin, J.M.; Cabeza, L.F.; Mehling, H. Review on thermal energy storage with phase change: Materials, heat transfer analysis and applications. Appl. Therm. Eng. 2003, 23, 251–283. [Google Scholar] [CrossRef]
- Yuan, Y.; Zhang, N.; Tao, W.; Cao, X.; He, Y. Fatty acids as phase change materials: A review. Renew. Sustain. Energy Rev. 2014, 29, 482–498. [Google Scholar] [CrossRef]
- D’Avignon, K.; Kummert, M. Experimental assessment as a phase change material storage tank. Appl. Therm. Eng. 2016, 99, 880–891. [Google Scholar] [CrossRef]
- Castellani, B.; Morini, E.; Filipponi, M.; Nicolini, A.; Palombo, M.; Cotana, F.; Rossi, F. Clathrate hydrates for thermal energy storage in buildings: Overview of proper hydrate-forming compounds. Sustainability 2014, 6, 6815. [Google Scholar] [CrossRef]
- Ning-Wei Chiu, J.; Martin, V.; Setterwall, F. A Review of Thermal Energy Storage Systems with Salt Hydrate Phase Change Materials for Comfort Cooling. In Proceedings of the 11th International Conference on Thermal Energy Storage, Stockholm, Sweden, 14–17 June 2009. [Google Scholar]
- Maximo, G.J.; Costa, M.C.; Coutinho, J.A.P.; Meirelles, A.J.A. Trends and Demands in the Solid–liquid Equilibrium of Lipidic Mixtures. RSC Adv. 2014, 4, 31840–31850. [Google Scholar] [CrossRef]
- Palomo Del Barrio, E.; Cadoret, R.; Daranlot, J.; Achchaq, F. Infrared thermography method for fast estimation of phase diagrams. Thermochim. Acta 2016, 625, 9–19. [Google Scholar] [CrossRef]
- Lligadas, G.; Ronda, J.C.; Galia, M.; Cadiz, V. Renewable polymeric materials from vegetable oils: A perspective. Materials Today 2013, 16, 337–343. [Google Scholar] [CrossRef]
- Pielichowska, K.; Pielichowski, K. Phase change materials for thermal energy storage. Prog. Mater. Sci. 2014, 65, 67–123. [Google Scholar] [CrossRef]
- Kenisarin, M.M. Thermophysical properties of some organic phase change materials for latent heat storage. A review. Sol. Energy 2014, 107, 553–575. [Google Scholar] [CrossRef]
- Costa, M.C.; Sardo, M.; Rolemberg, M.P.; Meirelles, A.J.A.; Coutinho, J.A.P.; Ribeiro-Claro, P.; Krähenbühl, M.A. The Solid–liquid Phase Diagrams of Binary Mixtures of Even Saturated Fatty Acids. Chem. Phys. Lipids 2009, 160, 85–97. [Google Scholar] [CrossRef]
- Oleoline (2018). OLEOCHEMICALS’ MARKET PRICES. Available online: http://www.hbint.com/datas/media/5b7d6eb55e3e88fa6677fa28/two-weekly-oleochimicals.pdf (accessed on 2 March 2019).
- Boettinger, W.J.; Kattner, U.R.; Moon, K.W.; Perepezko, J. Chapter V—DTA and Heat-Flux DSC Measurements of Alloy Melting and Freezing. In Methods for Phase Diagram Determination; Elsevier Science Ltd.: Oxford, UK, 2007; pp. 151–221. [Google Scholar]
- Maximo, G.J.; Costa, M.C.; Meirelles, A.J.A. The Crystal-T Algorithm: A New Approach to Calculate the SLE of Lipidic Mixtures Presenting Solid Solutions. Phys. Chem. Chem. Phys. 2014, 16, 16740–16754. [Google Scholar] [CrossRef]
- Barbosa, D.F.; de Alcântara Pessôa Filho, P. On the Description of the Liquidus Line of Systems Presenting Peritectic Reactions. Fluid Phase Equilibria 2013, 337, 379–383. [Google Scholar] [CrossRef]
- Moreno, E.; Cordobilla, R.; Calvet, T.; Cuevas-Diarte, M.A.; Gbabode, G.; Negrier, P.; Mondieig, D.; Oonk, H.A.J. Polymorphism of even saturated carboxylic acids from n-decanoic to n-eicosanoic acid. New J. Chem. 2007, 31, 947–957. [Google Scholar] [CrossRef]
- Hoerr, C.W.; Balsto, A.W. The solubilities of the normal saturated fatty acids. II. J. Org. Chem. 1944, 9, 329–337. [Google Scholar] [CrossRef]
- Maximo, G.J.; Carareto, N.; Costa, M.C.; dos Santos, A.O.; Cardoso, L.P.; Krähenbühl, M.A.; Meirelles, A.J.A. On the solid–liquid equilibrium of binary mixtures of fatty alcohols and fatty acids. Fluid Phase Equilibria 2014, 366, 88–98. [Google Scholar] [CrossRef]
- Maximo, G.J.; Aquino, R.T.; Meirelles, A.J.A.; Krähenbühl, M.A.; Costa, M.C. Enhancing the description of SSLE data for binary and ternary fatty mixtures. Fluid Phase Equilibria 2016, 426, 119–130. [Google Scholar] [CrossRef]
- Gmehling, J.; Li, J.; Schiller, M. A modified UNIFAC model. 2. Present parameter matrix and results for different thermodynamic properties. Ind. Eng. Chem. Res. 1993, 32, 178–193. [Google Scholar] [CrossRef]
- Costa, M.C.; Sardo, M.; Rolemberg, M.P.; Ribeiro-Claro, P.; Meirelles, A.J.A.; Coutinho, J.A.P.; Krähenbühl, M.A. The solid–liquid phase diagrams of binary mixtures of consecutive, even saturated fatty acids: Differing by four carbon atoms. Chem. Phys. Lipids 2009, 157, 40–50. [Google Scholar] [CrossRef] [PubMed]
- Costa, M.C.; Rolemberg, M.P.; Meirelles, A.J.A.; Coutinho, J.A.P.; Krähenbühl, M.A. The solid–liquid phase diagrams of binary mixtures of even saturated fatty acids differing by six carbon atoms. Thermochim. Acta 2009, 496, 30–37. [Google Scholar] [CrossRef]





| Palmitic Acid | Stearic Acid | |
|---|---|---|
| CAS number | 57-10-3 | 57-11-4 |
| Formula | C16H32O2 | C18H36O2 |
| Molar mass (g/mol) | 256.43 | 284.48 |
| Tm (°C) in this work | 61.5 | 68.9 |
| Tm (°C) from [13,14,15] | 62.4, 62.4, 62.3 | 70, 69, 70.8 |
| ∆mH (J/g) | 204 | 222, 214 |
| ∆mh (J/mol) | 52 312 | 63 155, 60 879 |
| Purity | 99% | 98,5% |
| Price (USD/kg) [16] | 0.7–0.83 | 0.72–0.87 |
| Palmitic Acid | Stearic Acid | |
|---|---|---|
| Ttr (°C) | 51.6 | 51.3 |
| 52.8 | ||
| 58.5 | ||
| ∆trh (J/mol) | 2600 | 5400 |
| 5700 | ||
| 2800 | ||
| ∆trH (J/g) | 10.14 | 18.98 |
| 20.04 | ||
| 9.84 |
© 2019 by the authors. Licensee MDPI, Basel, Switzerland. This article is an open access article distributed under the terms and conditions of the Creative Commons Attribution (CC BY) license (http://creativecommons.org/licenses/by/4.0/).
Share and Cite
Mailhé, C.; Duquesne, M.; Palomo del Barrio, E.; Azaiez, M.; Achchaq, F. Phase Diagrams of Fatty Acids as Biosourced Phase Change Materials for Thermal Energy Storage. Appl. Sci. 2019, 9, 1067. https://doi.org/10.3390/app9061067
Mailhé C, Duquesne M, Palomo del Barrio E, Azaiez M, Achchaq F. Phase Diagrams of Fatty Acids as Biosourced Phase Change Materials for Thermal Energy Storage. Applied Sciences. 2019; 9(6):1067. https://doi.org/10.3390/app9061067
Chicago/Turabian StyleMailhé, Clément, Marie Duquesne, Elena Palomo del Barrio, Mejdi Azaiez, and Fouzia Achchaq. 2019. "Phase Diagrams of Fatty Acids as Biosourced Phase Change Materials for Thermal Energy Storage" Applied Sciences 9, no. 6: 1067. https://doi.org/10.3390/app9061067
APA StyleMailhé, C., Duquesne, M., Palomo del Barrio, E., Azaiez, M., & Achchaq, F. (2019). Phase Diagrams of Fatty Acids as Biosourced Phase Change Materials for Thermal Energy Storage. Applied Sciences, 9(6), 1067. https://doi.org/10.3390/app9061067

