High-Sensitive TM Modes in Photonic Crystal Nanobeam Cavity with Horizontal Air Gap for Refractive Index Sensing
Abstract
1. Introduction
2. Methods and Materials
2.1. Photonic Band Structure of TM Modes in PhC NB Structure with a Horizontal Air Gap
2.2. Optimization of Waveguide Geometry of PhC NB Cavity Structure with a Horizontal Air Gap
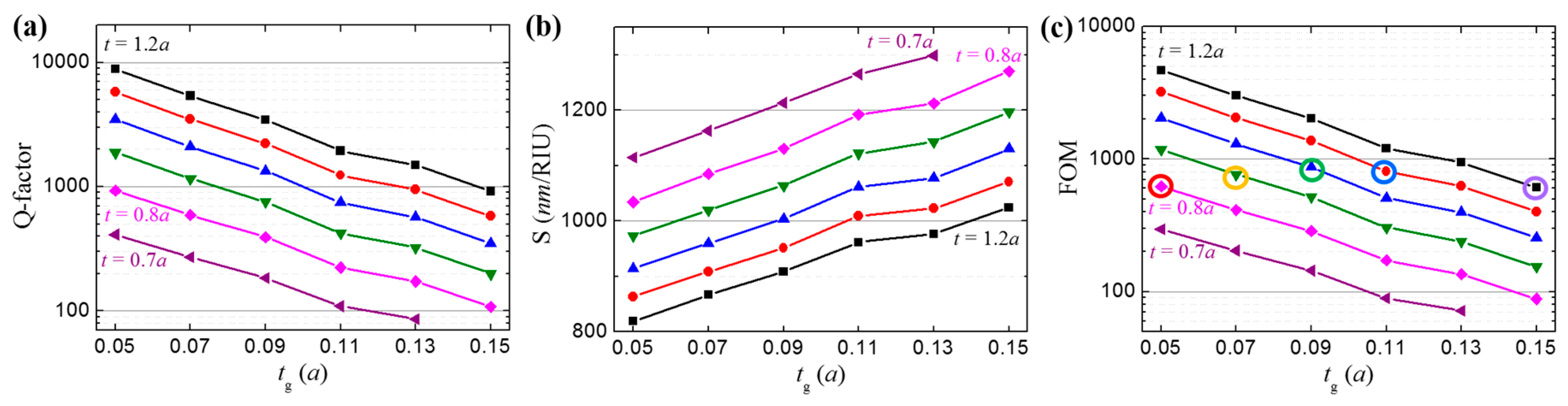
3. Discussion
4. Conclusions
Author Contributions
Funding
Conflicts of Interest
References
- Yablonovitch, E. Inhibited spontaneous emission in solid-state physics and electronics. Phys. Rev. Lett. 1987, 58, 2059–2062. [Google Scholar] [CrossRef] [PubMed]
- John, S. Strong localization of photons in certain disordered dielectric lattices. Phys. Rev. Lett. 1987, 58, 2486–2489. [Google Scholar] [CrossRef] [PubMed]
- Painter, O.; Lee, R.K.; Yariv, A.; Scherer, A.; O’Brien, J.D.; Dapkus, P.D.; Kim, I. Two-dimensional photonic band-gap defect mode laser. Science 1999, 284, 1819–1824. [Google Scholar] [CrossRef] [PubMed]
- Park, H.G.; Kim, S.H.; Kwon, S.H.; Ju, Y.G.; Yang, J.K.; Baek, J.H.; Kim, S.B.; Lee, Y.H. Electrically driven single-cell photonic crystal laser. Science 2004, 305, 1444–1447. [Google Scholar] [CrossRef] [PubMed]
- Akahane, Y.; Asano, T.; Song, B.S.; Noda, S. High-Q photonic nanocavity in a two-dimensional photonic crystal. Nature 2003, 425, 944–947. [Google Scholar] [CrossRef] [PubMed]
- Lee, K.; Asher, S.A. Photonic crystal chemical sensors: pH and ionic strength. J. Am. Chem. Soc. 2001, 122, 9534–9537. [Google Scholar] [CrossRef]
- Loncar, M.; Scherer, A.; Qiu, Y. Photonic crystal laser sources for chemical detection. Appl. Phys. Lett. 2003, 82, 4648–4650. [Google Scholar] [CrossRef]
- Choi, J.-H.; No, Y.-S.; So, J.-P.; Lee, J.M.; Kim, K.-H.; Hwang, M.-S.; Kwon, S.-H.; Park, H.-G. A high-resolution strain-gauge nanolaser. Nat. Commun. 2016, 7, 11569. [Google Scholar] [CrossRef] [PubMed]
- Notomi, M.; Kuramochi, E.; Taniyama, H. Ultrahigh-Q nanocavity with 1D photonic gap. Opt. Express 2008, 16, 11095. [Google Scholar] [CrossRef] [PubMed]
- Quan, Q.; Deotare, P.B.; Loncar, M. Photonic crystal nanobeam cavity strongly coupled to the feeding waveguide. Appl. Phys. Lett. 2010, 96, 203102. [Google Scholar] [CrossRef]
- Jeong, K.Y.; No, Y.S.; Hwang, Y.; Kim, K.S.; Seo, M.K.; Park, H.G.; Lee, Y.H. Electrically driven nanobeam laser. Nat. Commun. 2013, 4, 2822. [Google Scholar] [CrossRef]
- Quan, Q.; Burgess, I.B.; Tang, S.K.Y.; Floyd, D.L.; Loncar, M. High-Q, low index-contrast polymeric photonic crystal nanobeam cavities. Opt. Express 2011, 19, 22191–22197. [Google Scholar] [CrossRef] [PubMed]
- Kim, S.; Kim, H.-M.; Lee, Y.-H. Single nanobeam optical sensor with a high Q-factor and high sensitivity. Opt. Lett. 2015, 40, 5351. [Google Scholar] [CrossRef] [PubMed]
- Almeida, V.R.; Xu, Q.; Barrios, C.A.; Lipson, M. Guiding and confining light in void nanostructure. Opt. Lett. 2004, 29, 1209–1211. [Google Scholar] [CrossRef] [PubMed]
- Kwon, S.H.; Sünner, T.; Kamp, M.; Forchel, A. Optimization of photonic crystal cavity for chemical sensing. Opt. Express 2008, 16, 11709–11717. [Google Scholar] [CrossRef] [PubMed]
- Kita, S.; Hachuda, S.; Nozaki, K.; Baba, T. Nanoslot laser. Appl. Phys. Lett. 2010, 97, 161108. [Google Scholar] [CrossRef]
- Wang, B.W.; Dundar, M.A.; Notzel, R.; Karouta, F.; He, S.L.; van der Heijden, R.W. Photonic crystal slot nanobeam slow light waveguides for refractive index sensing. Appl. Phys. Lett. 2010, 97, 151105. [Google Scholar] [CrossRef]
- Yang, D.; Zhang, P.; Tian, H.; Ji, Y.; Quan, Q. Ultrahigh-Q and low mode volume parabolic radius-modulated single photonic crystal slot nanobeam cavity for high-sensitive refractive index sensing. IEEE Photonics J. 2015, 7, 4501408. [Google Scholar] [CrossRef]
- Sun, R.; Dong, P.; Feng, N.N.; Hong, C.Y.; Michel, J.; Lipson, M.; Kimerling, L. Horizontal single and multiple slot waveguides: Optical transmission at λ = 1550 nm. Opt. Express 2007, 15, 17967–17972. [Google Scholar] [CrossRef] [PubMed]
- Lee, S.; Eom, S.; Chang, J.; Huh, C.; Sung, G.; Shin, J. A silicon nitride microdisk resonator with a 40-nm-thin horizontal air slot. Opt. Express 2010, 18, 11209–11215. [Google Scholar] [CrossRef] [PubMed]
- Jang, H.; Karnadi, I.; Pramudita, P.; Song, J.-H.; Kim, K.S.; Lee, Y.-H. Sub-microWatt threshold nanoisland lasers. Nat. Commun. 2015, 6, 8276. [Google Scholar] [CrossRef] [PubMed]
- Zhang, Y.; McCutcheon, M.W.; Burgess, I.B.; Loncar, M. Ultra-high-Q TE/TM dual-polarized photonic crystal nanocavities. Opt. Lett. 2009, 34, 2694–2696. [Google Scholar] [CrossRef] [PubMed]
- Lu, T.-W.; Lin, P.-T.; Lee, P.-T. Photonic crystal horizontally slotted nanobeam cavity for silicon-based nanolasers. Opt. Lett. 2012, 37, 569–571. [Google Scholar] [CrossRef] [PubMed]
- Lu, T.-W.; Lin, P.-T.; Lee, P.-T. One-dimensional photonic crystal fishbone hybrid nanocavity with nanoposts. Appl. Phys. Lett. 2014, 104, 191107. [Google Scholar] [CrossRef]
- Johnson, S.G.; Joannopoulos, J. Block-iterative frequency domain methods for Maxwell’s equations in a planewave basis. Opt. Express 2001, 8, 173. [Google Scholar] [CrossRef] [PubMed]
- Qiao, Q.; Xia, J.; Lee, C.; Zhou, G. Application of photonic crystal nanobeam cavities for sensing. Micromachines 2018, 9, 541. [Google Scholar] [CrossRef] [PubMed]
- Choi, J.-H.; No, Y.-S.; Hwang, M.-S.; Kwon, S.-Y.; Jeong, K.-Y.; Kwon, S.-H.; Yang, J.-K.; Park, H.-G. Low-threshold photonic-band-edge laser using iron-nail-shaped rod array. Appl. Phys. Lett. 2014, 104, 091120. [Google Scholar] [CrossRef]





© 2019 by the authors. Licensee MDPI, Basel, Switzerland. This article is an open access article distributed under the terms and conditions of the Creative Commons Attribution (CC BY) license (http://creativecommons.org/licenses/by/4.0/).
Share and Cite
Yang, J.-K.; Kim, C.-Y.; Lee, M. High-Sensitive TM Modes in Photonic Crystal Nanobeam Cavity with Horizontal Air Gap for Refractive Index Sensing. Appl. Sci. 2019, 9, 967. https://doi.org/10.3390/app9050967
Yang J-K, Kim C-Y, Lee M. High-Sensitive TM Modes in Photonic Crystal Nanobeam Cavity with Horizontal Air Gap for Refractive Index Sensing. Applied Sciences. 2019; 9(5):967. https://doi.org/10.3390/app9050967
Chicago/Turabian StyleYang, Jin-Kyu, Chae-Young Kim, and Minji Lee. 2019. "High-Sensitive TM Modes in Photonic Crystal Nanobeam Cavity with Horizontal Air Gap for Refractive Index Sensing" Applied Sciences 9, no. 5: 967. https://doi.org/10.3390/app9050967
APA StyleYang, J.-K., Kim, C.-Y., & Lee, M. (2019). High-Sensitive TM Modes in Photonic Crystal Nanobeam Cavity with Horizontal Air Gap for Refractive Index Sensing. Applied Sciences, 9(5), 967. https://doi.org/10.3390/app9050967

