Abstract
Lattice structures with lattice parameters in the mm range are routinely fabricated by additive manufacturing. Combining light weight and mechanical strength, these structures have plenty of potential applications. When composed of conducting elements, a 3D lattice has interesting electrical and electromagnetic properties. In this work, the electrokinetic properties of a conducting lattice are described by mixing the theory of resistor networks and continuous-medium electrodynamics. Due to the length scale provided by the lattice parameter, the effective continuous medium that mimics the electrokinetic response of a resistor lattice is characterized by a non-local Ohm’s law.
1. Introduction
Metamaterials are artificial structures or assemblies specially designed to reach specific properties that natural materials do not have [1]. Artificial media can be created by different means, among which additive manufacturing offers several advantages for making objects with a complex shape [2,3]. Before adopting a new manufacturing process such as 3D printing, the merit of the process must be evaluated with care. Sustainability criteria are becoming more and more stringent in the process assessment. Reduced consumption of both energy and natural resources, a small volume of waste, environmental issues, life cycle of the manufactured products, etc., must be weighted with specific tools against other constraints, such as cost and ease of production, human labor, etc. [4]. Among the advantages of additive manufacturing, one may cite (i) the possibility to produce a large variety of prototypes or functional components with complex geometry, (ii) substantial automation of the technological process, and (iii) a reduction in the number of manufacturing steps [5,6,7]. Disadvantages include (i) the limited number of materials that can be involved in the process, (ii) a longer fabrication time, and (iii) a higher energy consumption in comparison with conventional methods.
Due to its advantages, additive manufacturing is actively used in diverse such areas as aerospace, automotive, medical, architecture, education, etc. [8]. Different 3D printing technologies include stereolithography [3,9] and extrusion printing method [10]. The latter approach has been successfully applied to produce conductive cellular structures [10,11]. For this production, ink made of polymer with embedded conductive inclusions at a concentration above the percolation threshold is used. Despite the low cost and wide prevalence of 3D printing technology based on extrusion of polymer material, this method is limited to the production of overhanging structures. It requires special support media that complicate the manufacturing process [12]. In contrast, the selective laser sintering fabrication process can deal with a shape sample of any complexity. It can potentially be applied for the fabrication of 3D cellular structures with, however, a larger mass of material used in the fabrication process [13].
Nowadays, sub-mm spatial resolution can easily be reached with commercially-available printers. At this length scale and above, one may think of myriads of mechanical, acoustical, electrical, etc., applications, including the fabrication of molds for the manufacture of special pieces [4]. In particular, 3D printing is providing new opportunities for the fabrication of electromagnetic metamaterials with unusual behavior for electromagnetic radiation in the radio wave and microwave domains [14,15]. For instance, suitably-structured dielectrics behave like an effective anisotropic media for microwaves [16]; a periodic array of small metallic inclusions in a polymer matrix may be seen as a diamagnetic effective medium [17]. When deposited on a metallic foil, 3D-printed all-dielectric resonators lead to broad-band absorption in the microwave range [18,19]. Many other applications are under investigation, which range from DC electrical circuits [20] to GHz antennas [21].
The structure of interest in this work is a periodic network of interconnected beams defining a 3D mesh. Figure 1 is an example representing a diamond lattice. Light 3D lattices of that kind can easily be produced by additive manufacturing [22,23], including the largely-diffused 3D-printing technology based on polymer materials, such as fused deposition modeling (FDM). Recent examples of FDM products are: Kagome mesh structures made of acrylonitrile butadiene styrene (ABS) polymer [24] and simple-cubic lattices made of conducting nanocarbon-doped polylactic acid (PLA) [25]. In that case, the lattice parameter is a few millimeters wide or larger. The advantages of incorporating lattice structures in mechanical parts is so obvious [26] that commercial 3D printing software includes this feature. Moreover, strategies for optimizing the lattice geometry specifically for additive manufacturing have been proposed [27]. From the mechanical point of view, a three-dimensional frame of struts just meeting at nodes must have a nodal connectivity Z greater than five to ensure structural stability [28]. This rule does not hold when the structural elements are intimately welded as they are with 3D printing. In fact, lattices manufactured by 3D printing combine light weight and remarkable mechanical properties [29,30]. Whereas lattice structures combine many properties of foams, it has been argued that 3D-printed lattice structures may outperform foam materials of the same porosity [31].
Figure 1.
(a) Diamond lattice made of interconnected rods. A small part of the structure is detailed in (b).
A plastic 3D mesh manufactured by FDM can conduct electricity when the polymer filament that feeds the printer has been loaded with nanoscopic conducting inclusions at a concentration above the percolation threshold [11,20,32]. Polymer-based resistive lattices have potential applications as 3D stretchable conductors [33]. They are also interesting media for electromagnetic (em) applications owing to their lower conductivity compared to metallic networks. As a consequence, only a small fraction of incoming em radiations is reflected; the rest enters the structure while being progressively absorbed. The shielding structure does not need to be earthed, because the em attenuation is due to power loss produced by Joule heating. Inspired by research works on disordered 2D networks of metallic nanowires [34] or on 3D percolation networks in composite polymers [35], one may infer that an artificial lattice of conducting elements may offer protection against electrostatic discharges or be efficient to shield electromagnetic perturbations. In the latter case, absorption resonances are expected to happen for wavelengths of the order of, or shorter than, the unit cell size [36].
In the present paper, by combining the theory of resistor networks [37] and classical continuous-medium electrodynamics, a new formulation of the electrokinetic behavior of a conducting lattice is derived. Due to the length scale provided by the lattice parameter, the effective continuous medium that mimics the electrokinetic response of a resistor lattice is characterized by a non-local Ohm’s law.
2. Background
Figure 1 shows a model of a mesh having the diamond structure designed for 3D printing technology. The mesh can be viewed as a periodic duplication of the structural unit detailed in Panel (b). The mesh is composed of conducting rods interconnected at nodes. Each rod has a prismatic shape (hexagonal prism in Figure 1). A node is defined as the volume where crossing rods meet. In Figure 1, the nodes are truncated tetrahedra. The mesh can be treated as a discrete network of resistors under the assumption that each node is an equipotential body. The latter assumption is valid either when the lateral dimensions of the rods are much smaller than their length or if each node is made of a perfectly-conducting medium. Then, a single potential can be attributed to each node. Under this condition, the resistance of a rod is with l and being the length and cross-sectional area (see Figure 1b), respectively, and being the conductivity of the polymer nanocomposite used for the fabrication. The mesh can therefore be considered as a network of resistors [38].
The nodes of the mesh receive discrete labels . If is the current injected at node i from an external source, combining Kirchhoff and Ohm’s laws yields:
where if i and j are connected by a rod of resistance , otherwise, and . Obviously, the admittance matrix , also called the Laplacian matrix [39], is singular. This prevents one to solve Equation (1) directly for . The difficulty can be tackled by assuming that each node is connected to an external ground electrode, whose potential is set to zero, by a constant admittance y. The limit will be taken at the end of the calculations. With this trick in hand, Equation (1) is replaced by:
Now, the set of equations (2) for can be solved for the node potentials in the form:
with being the elements of the resolvent matrix . The resolvent matrix is symmetric. It is perfectly defined whenever y is outside the set of eigenvalues of L, in particular for any real positive value of y.
When the mesh is a regular infinite lattice where all nodes are equivalent and all rods have the same resistance R, the resolvent matrix is related to the topological lattice Green’s function [40] where is the adjacency matrix, defined as when the nodes i and j are directly connected and zero otherwise including when . The relation between the matrices is where Z is the lattice coordination number. With the help of Bloch’s theorem, a spectral representation of for 2D and 3D lattices is available in the form of 2D and 3D integrals in Fourier space, to which belong the so-called Watson integrals [41]. Due to the translational symmetry of the lattice, the diagonal elements all take on the same value. For 2D lattices, the diagonal elements of diverge like when , which corresponds to the limit of relevance here. For 3D lattices, the limit of for is a finite number listed in Table 1. There is a simple 1/4 factor between the values of the fcc and diamond lattices [42].
Table 1.
Coordination Z, apparent resistivity , value of the diagonal elements of the topological lattice Green’s function (values from [40]), scaling factor (Equation (7)), times the bond length , and the correction function at (Equation (11) for a few 3D infinite lattices. R is the bond resistance, and a is the lattice parameter of the conventional cubic cell.
The equivalent resistance of the mesh seen from two nodes m and n, also called two-point resistance [43], is defined as the ratio when the current I is injected at node m and removed from node n. A simple application of Equation (3) yields:
after the limit has been taken and given that is a symmetric matrix. The limit of individual elements of the resolvent matrix may be difficult to evaluate, especially in 2D. One can get rid of this difficulty by rewriting the right-hand side of Equation (4) as a diagonal element of the resolvent matrix [38]. Values of can be obtained analytically for a few simple 3D lattices: sc [44], bcc [45], fcc [46] (the equivalent resistances tabulated in [46] must be divided by a factor of two), and diamond [47].
By construction, when . The equivalent resistance between two nodes infinitely far away is [41].
3. Continuous Medium Approximation
The aim of this section is to transform the electrokinetic equations of a continuous medium so as to reproduce the main characteristics of an infinite discrete 3D lattice of resistors with constant resistance R. It is implicitly assumed that all the nodes of the lattice are equivalent (mono-atomic-like crystal lattice).
The first objective is to assign an apparent bulk conductivity to the resistor lattice. For a simple cubic lattice in d-dimensional-space and parameter a, the apparent resistivity is [44]. Figure 2 sketches how an apparent resistivity can be obtained for a resistive mesh with fcc lattice. Half a conventional cubic unit cell is shown. The nodes located in the basal plane are grounded to potential zero. The nodes located in the upper horizontal plane are at potential V. The current flows across the non-horizontal rods. All have the same resistance R and are assembled in parallel. Each of the height red rods, being shared by two adjacent cells, must be viewed as two parallel resistors of resistances , one per each face-sharing unit cell. Accordingly, the total resistance experienced by the current flowing through half the unit cell shown in Figure 2 is . The same half unit cell, viewed as a continuous medium of resistivity , height , and basis area would have a resistance , where a is the fcc lattice parameter. Consequently, for the fcc mesh. The apparent resistivity obtained the same way for other lattices is given in Table 1.
Figure 2.
Half the conventional unit cell (thin black lines) of a face-centered cubic resistor lattice. The resistive rods represented in gray interconnect nodes located within the same horizontal plane. The blue rods are located inside the unit cell. The red rods, located in the vertical faces, are shared by two adjacent cubic cells.
If the current I is injected on a given node, referred to as “Node 0”, Equation (3) gives the potential on any node m compared to the zero potential of the ground electrode each node is connected through the fictitious admittance y. Accordingly, for any positive value of y, the current cannot spread on the network to infinity, and vanishes when the distance between Nodes m and 0 increases to infinity. This property remains at the limit with the consequence:
Setting , one obtains the potential of the contact node , which is finite for a 3D lattice as mentioned above (see Table 1).
In the same condition, the potential at location produced in a continuous medium by a point source injecting the current I at position is . Similar to the case of the discrete lattice, this expression for the potential vanishes at infinity. Unlike the case of the discrete lattice, the potential at the contact point is infinite. Therefore, the Coulomb-like law has to be corrected for short distances, by writing:
with and the positions of Sites m and 0 on the lattice. is a correction function that vanishes like at the limit so as to balance the Coulomb singularity. Comparing Equation (5) for and Equation (6) for allows one to set:
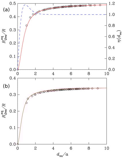
The open circle symbols in Figure 3 represent the equivalent resistances between pairs of nodes of the simple cubic and body-centered cubic resistor lattices up to a distance of nine-times the cubic lattice parameter a. Although the pairs of nodes are oriented along various crystallographic directions, the equivalent-resistance data chiefly fall around a single monotonous curve of the separation distance . For these cubic lattices, one may then ignore the existence of tiny anisotropic variations and consider that the correction function is a function of the distance . Setting from now on:
yields:
Figure 3.
Plot of the equivalent resistance between Sites 0 and m in a perfect resistor lattice versus separation distance . (a) and (b) panels correspond to the simple cubic (sc) lattice and the body-centered cubic (bcc) lattice, respectively. The open symbols are exact results from the literature. The red full-line curve is from Equation (10). The right-hand scale along the vertical axis of the (a) panel is for the blue dashed-line curve representing the simple expression (Equation (12)) of the correction function .
At the bond length distance , the equivalent resistance is [48], with Z the lattice coordination as above. Accordingly, Equation (10) tells one that:
The values of and for cubic lattices are listed in Table 1.
Having a continuous-medium approximation in mind, one considers as a continuous parameter. At a large distance, the discrete character of the resistor lattice should play no role, with the consequence . At the other end, it has already been established through the definition of (Equation (7)) that for . At the bond length distance, Table 1 indicates that .
Summing up the information gained thus far, the function increases for small x, reaches a maximum above unity, and eventually approaches one asymptotically. The shape of the function can be sketched; see the dashed-line curve plotted in Figure 3. For reasons that will be made clear below, one will further impose . A simple function that reproduces all these characteristics is:
The full-line curves in Figure 3 illustrate how well this function works for the simple cubic and body-centered cubic resistor lattices. Even if a better representation of the two-point resistance versus distance could be achieved based on more sophisticated expressions of , additional terms in would make it possible to reproduce the exact value given by Equation (11) for . Equation (12) will be sufficient for what follows.
When a given set of nodes m of the resistor lattice is fed by a given set of currents , a current source function can be defined as . With this definition in hand, the resulting potential of the lattice nodes readily follows from Equation (6):
where can conveniently be viewed as a continuous variable, although it strictly stands for the position of the nodes of the system. When writing this equation, it has been assumed that the correction function is a function of the distance .
The last equations will be applied to a lattice portion having the shape of a slab whose top and bottom faces are two parallel crystallographic planes. All the nodes of the mesh located on and above the top face of the slab are supposed to be held at the potential , while the nodes located on and below the bottom face are held at the potential . Under the assumption of monoatomic lattice, all the nodes located on each ending face are equivalent and receive the same current on the top and at the bottom. Each crystallographic plane parallel to the ending faces of the slab is an equipotential surface. From now on, the mesh is treated as a continuous medium. In particular, the slab is seen as a disk of radius and height L. The source function is given by with z being the axial coordinate and , where A is the area of the two-dimensional periodic unit cell of the ending lattice faces. The potential (Equation (13)) of a point located on the axis of the slab at a distance z from the bottom basis is:
with and . Having realized that , one obtains:
In particular,
where Equation (9) has been used to transform the last term between in the right-hand side of the last expression. This last term rapidly vanishes with increasing thanks to the integral property imposed on the function . With the expression (Equation (12)) of , the result is recovered as soon as L is larger than , which is already the case after one lattice parameter a (see Table 1). This is an important outcome, because the apparent resistivity of a resistor lattice was defined exactly according to the usual relationship between and j.
4. Ohm’s Law
The continuous-medium description of a lattice mesh obtained thus far reproduces some important electrokinetic properties of the latter. Even though the electrokinetics of a network of resistors is governed by topology much more than by geometry, it is tempting to explore the continuous-medium approach slightly further. Forgetting the discrete nature of the interconnected rods, a microscopic Ohm’s law will be derived for the continuous medium that would respond to a current source distribution according to Equation (13). Ohm’s law is first derived in Fourier space. A non-local form of Ohm’s law in real space will be obtained afterward by back Fourier transform of the results obtained. Taking the Fourier transform of Equation (13) versus yields:
where and are the Fourier transforms of and , respectively.
In the stationary case, and . In Fourier space, and with and the Fourier transforms of the electric field and the current density, respectively. Inserting these expressions into Equation (17) yields:
The set of factors on the left-hand side of the dot product symbol represents the resistivity tensor:
Using the definition of (Equation (17)) and assuming as here above that is a function of the distance r irrespective of the direction of leads one to:
The last term follows from Equation (9) along with the mathematical model provided by Equation (12).
A back-Fourier transform of Equation (18) allows one to write the electric field in real space as a convolution of the current density. The result is:
with , being the identity tensor. This expression is the main result of the paper. It gives the macroscopic electric field at location due to the actual distribution of current density.
In order to catch the content of the obtained non-local Ohm’s law for an infinite medium, let us consider a uniform flow of in one direction, taken as the z axis, with an intensity depending on the z coordinate only. The integral over in Equation (21) can be performed in cylindrical coordinates around the axis parallel to z passing through the local position . It is easy to show that the electric field will be oriented along z with a component that depends on z only. Working as for Equation (15), one is led to:
The integration over the variable R is readily carried out to give the simple analytical result:
where is the derivative of the function with respect to its argument. As a simple illustration, the current density is supposed to be a constant j in the half space and zero in the half space . This situation would be realized if there were a current source uniformly distributed on the plane and a current drain localized on a parallel plane at . Taking into account the properties and , one obtains:
As shown in Figure 4, the electric field rapidly converges to in the half space that sustains the current and rapidly vanishes in the half space where there is no current. Still, the transition at the interface is not infinitely sharp, but extends over a region of width . The minima and maxima of the electric field are due to the maximum that the correction function must have, as discussed above. With the simple analytical representation used here (Equation (12)), the extrema of take place at . This value can be considered as a penetration depth of the electric field in a region where the current density is zero.
Figure 4.
Variation of the electric field predicted by Equation (21) in the effective medium representing a 3D conductive mesh. The upper half space is crossed by a uniform current of density j flowing in the z direction. There is no current in the lower half space .
It can be useful to recast Equation (21) in the following form:
after the first term, which corresponds to a normal 3D resistive medium, has been extracted. If the right-hand side were limited to this sole first term, the equation obtained would be equivalent to after were replaced by , with . The second part of Equation (26) is a correction to Ohm’s law coming from the discrete structure of the resistive mesh. The correction term is still a convolution product, like Equation (21), now with a kernel that samples a narrow region around the position , with radius of the order of . If the current density varies slowly with on the scale , it can be expended in a power series of restricted to its first few terms. Each term can be integrated over . Carrying on this development is easy in Fourier space, starting from Equation (20). Under the condition , one gets and . After back Fourier transform of Equation (18), the first term of the small-k development for generates the first term of Equation (26), and the second term gives . Locally, the first term of Equation (26) should reproduce the microscopic Ohm’s law that, after adding the correction just obtained, becomes:
where is the current source function. The factor of two in front of the corrective term depends on the mathematical model used for . According to Equation (20), this factor is the value of the integral .
At the same level of approximation, the last equation can be inverted to give:
5. Summary
The aim of this paper was to describe the electrical properties of a 3D lattice mesh composed of interconnected conductive elements. The interest for the study was triggered by the possibility offered today by additive manufacturing for making lattice structures with mm-size elements. In particular, a 3D-printer based on FDM technology and fed by a conducting thermoplastic polymer nanocomposite can produce such artificial media in an inexpensive way. On the basis of Kirchhoff’s equations applied to a resistive network, the electrokinetic equations for a continuous, homogeneous medium have been modified to account for the topological constraints of the lattice. The solution of the Poisson-like equation , s being the current source function, was corrected (Equation (13)) to avoid divergence of the potential V at the location of a current point source. A simple ad hoc expression (Equation (12)) was proposed to correct the Green’s function of the problem. With this continuous-medium approximation, the potential on any node of the lattice can be calculated for an arbitrary distribution of current sources and sinks.
In the effective continuous-medium description of the lattice, the electric field that drives the current along the mesh elements was considered as a continuous function of the coordinates. The same held for the current density . Both and are related by a non-local Ohm’s law (Equation (21)). That equation was used to show that the electric field penetrates into regions of the effective medium where there is no current. The electric field penetration takes place over a depth of the order of the lattice parameter. This effect is a consequence of non-locality brought about by the discrete nature of the lattice that the effective medium tends to represent.
Author Contributions
P.L. and A.V.M. have developed the mathematics and computational work. The paper was written by P.L. with careful revision and corrections by M.S. and A.V.M.
Funding
This research was funded by European Union H2020 program, RISE project “Graphene-3d” under the Marie Curie Actions, grant number 734164.
Conflicts of Interest
The authors declare no conflict of interest.
References
- Cui, T.J.; Liu, R.; Smith, D.R. (Eds.) Introduction to metamaterias. In Metamaterials, Theory, Design, and Applications; Springer: New York, NY, USA, 2010; pp. 1–19. [Google Scholar]
- Chu, C.; Graf, G.; Rosen, D.W. Design for additive manufacturing of cellular structures. Comput. Aided Des. Appl. 2008, 5, 686–696. [Google Scholar] [CrossRef]
- Eckel, Z.C.; Zhou, C.; Martin, J.H.; Jacobsen, A.J.; Carter, W.B.; Schaedler, T.A. Additive manufacturing of polymer-derived ceramics. Science 2016, 351, 58–62. [Google Scholar] [CrossRef] [PubMed]
- Caligiana, G.; Liverani, A.; Francia, D.; Frizziero, L.; Donnici, G. Integrating QFD and TRIZ for innovative design. J. Adv. Mech. Des. Syst. Manuf. 2017, 11, JAMDSM0015. [Google Scholar] [CrossRef]
- Yakovlev, A.; Trunova, E.; Grevey, D.; Pilloz, M.; Smurov, I. Laser-assisted direct manufacturing of functionally graded 3D objects. Surf. Coat. Technol. 2005, 190, 15–24. [Google Scholar] [CrossRef]
- Alimardani, M.; Toyserkani, E.; Huissoon, J.P. Three-dimensional numerical approach for geometrical prediction of multilayer laser solid freeform fabrication process. J. Laser Appl. 2007, 19, 14–25. [Google Scholar] [CrossRef]
- Quan, Z.; Wu, A.; Keefe, M.; Qin, X.; Yu, J.; Suhr, J.; Byun, J.-H.; Kim, B.-S.; Chou, T.-W. Additive manufacturing of multi-directional preforms for composites: Opportunities and challenges. Mater. Today 2015, 18, 503–512. [Google Scholar] [CrossRef]
- Attaran, M. The rise of 3-D printing: The advantages of additive manufacturing over traditional manufacturing. Bus. Horiz. 2017, 60, 677–688. [Google Scholar] [CrossRef]
- Szczurek, A.; Ortona, A.; Ferrari, L.; Rezaei, E.; Medjahdi, G.; Fierro, V.; Bychanok, D.; Kuzhir, P.; Celzard, A. Carbon periodic cellular architectures. Carbon 2015, 88, 70–85. [Google Scholar] [CrossRef]
- Compton, B.G.; Lewis, J.A. 3D-Printing of Lightweight Cellular Composites. Adv. Mater. 2014, 26, 5930–5935. [Google Scholar] [CrossRef]
- Fantino, E.; Chiappone, A.; Roppolo, I.; Manfredi, D.; Bongiovanni, R.; Pirri, C.F.; Calignano, F. 3D Printing of conductive complex structures with in situ generation of silver nanoparticles. Adv. Mater. 2016, 16, 3712–3717. [Google Scholar] [CrossRef]
- Wang, T.M.; Xi, J.T. A model research for prototype warp deformation in the FDM process. Int. J. Adv. Manuf. Technol. 2007, 33, 1087–1096. [Google Scholar] [CrossRef]
- Kumar, S. Selective laser sintering: A qualitative and objective approach. JOM 2003, 55, 43–47. [Google Scholar] [CrossRef]
- Tian, X.; Yin, M.; Li, D. 3D printing: A useful tool for the fabrication of artificial electromagnetic (EM) medium. Rapid Prototyp. J. 2016, 22, 251–257. [Google Scholar] [CrossRef]
- Sjöberg, D.; Johansson, A.J.; Larsson, C. Electromagnetic properties of heterogeneous material structures produced in 3D-printers. In Proceedings of the 2014 International Conference on Electromagnetics in Advanced Applications (ICEAA), Palm Beach, Netherlands Antilles, 3–8 August 2014; pp. 605–607. [Google Scholar]
- Garcia, C.R.; Correa, J.; Espalin, D.; Barton, J.H.; Rumpf, R.C.; Wicker, R.; Gonzalez, V. 3D printing of anisotropic metamaterials. Prog. Electromagn. Res. Lett. 2012, 34, 75–82. [Google Scholar] [CrossRef]
- Zhang, S.; Whittow, W.; Vardaxoglou, J.C. Additively manufactured artificial materials with metallic meta-atoms. IET Microw. Antennas Propag. 2017, 11, 1955–1961. [Google Scholar] [CrossRef]
- Ren, J.; Yin, J.Y. 3D-printed low-cost dielectric-resonator-based ultra-broadband microwave absorber using carbon-loaded acrylonitrile butadiene styrene polymer. Materials 2018, 11, 1249. [Google Scholar] [CrossRef] [PubMed]
- Jiang, W.; Yan, L.; Ma, H.; Fan, Y.; Wang, J.; Feng, M.; Qu, S. Electromagnetic wave absorption and compressive behavior of a three-dimensional metamaterial absorber based on 3D-printed honeycomb. Sci. Rep. 2018, 8, 4817. [Google Scholar] [CrossRef]
- Kwok, S.W.; Goh, K.H.H.; Tan, Z.D.; Tan, S.T.M.; Tjiu, W.W.; Soh, J.Y.; Ng, Z.J.G.; Chan, Y.Z.; Hui, H.K.; Goh, K.N.J. Electrically conductive filament for 3D-printed circuits and sensors. Appl. Mater. Today 2017, 9, 167–175. [Google Scholar] [CrossRef]
- Kyovtorov, V.; Georgiev, I.; Margenov, S.; Stoychev, D.; Oliveri, F.; Tarchi, D. New antenna design approach—3D polymer printing and metallization experimental test at 14–18 GHz. J. Electron. Commun. 2017, 73, 119–128. [Google Scholar]
- Nguyen, D.S.; Vignat, F. A method to generate lattice structure for additive manufacturing. In Proceedings of the IEEE International Conference on Industrial Engineering and Engineering Management (IEEM), Bali, Indonesia, 4–7 December 2016; pp. 966–970. [Google Scholar]
- Matlack, K.H.; Bauhofer, A.; Krödel, S.; Palermo, A.; Daraio, C. Composite 3D-printed metastructures for low-frequency and broadband vibration absorption. Proc. Natl. Acad. Sci. USA 2016, 113, 8386–8390. [Google Scholar] [CrossRef]
- Gautam, R.; Idapalapati, S.; Feih, S. Printing and characterisation of Kagome lattice structures by fused deposition modelling. Mater. Des. 2018, 137, 266–275. [Google Scholar] [CrossRef]
- Batakliev, T.; Petrova-Doycheva, I.; Angelov, V.; Georgiev, V.; Ivanov, E.; Kotsilkova, R.; Casa, M.; Cirillo, C.; Adami, R.; Sarno, M.; et al. Effects of graphene nanoplatelets and multiwall carbon nanotubes on the structure and mechanical properties of Poly(lactic acid) composites: A comparative study. Appl. Sci. 2019, 9, 436. [Google Scholar] [CrossRef]
- Tang, Y.; Zhao, Y.F. A survey of the design methods for additive manufacturing to improve functional performance. Rapid Prototyp. J. 2016, 22, 569–590. [Google Scholar] [CrossRef]
- Panesar, A.; Abdi, M.; Hickman, D.; Ian Ashcroft, A. Strategies for functionally graded lattice structures derived using topology optimisation for additive manufacturing. Addit. Manuf. 2018, 19, 81–94. [Google Scholar] [CrossRef]
- Fleck, N.A. An overview of the mechanical properties of foams and periodic lattice materials. In Cellular Metals and Polymers 2004; Singer, R.F., Körner, C., Altstädt, V., Munstedt, H., Eds.; Trans Tech Publications, Ltd.: Fürth, Germany, 2005; pp. 1–4. [Google Scholar]
- Kaur, M.; Han, S.M.; Kim, W.S. Three-dimensionally printed cellular architecture materials: Perspectives on fabrication, material advances, and applications. MRS Commun. 2017, 7, 8–19. [Google Scholar] [CrossRef]
- Al-Saedi, D.S.J.; Masood, S.H.; Faizan-Ur-Rab, M.; Alomarah, A.; Ponnusamy, P. Mechanical properties and energy absorption capability of functionally graded F2BCC lattice fabricated by SLM. Mater. Des. 2018, 144, 32–44. [Google Scholar] [CrossRef]
- Maiti, A.; Small, W.; Lewicki, J.P.; Weisgraber, T.H.; Duoss, E.B.; Chinn, S.C.; Pearson, M.A.; Spadaccini, C.M.; Maxwell, R.S.; Wilson, T.S. 3D printed cellular solid outperforms traditional stochastic foam in long-term mechanical response. Sci. Rep. 2016, 6, 24871. [Google Scholar] [CrossRef]
- Leigh, S.J.; Bradley, R.J.; Purssell, C.P.; Billson, C.P.; Hutchins, D.A. A simple, low-cost conductive composite material for 3D printing of electronic sensor. PLoS ONE 2012, 7, e49365. [Google Scholar] [CrossRef]
- Li, T.; Jiang, Y.; Yu, K.; Wang, Q. Stretchable 3D lattice conductors. Soft Matter 2017, 13, 7731–7739. [Google Scholar] [CrossRef]
- O’Callaghan, C.; da Rocha, C.G.; Manning, H.G.; Boland, J.J.; Ferreira, M.S. Effective medium theory for the conductivity of disordered metallic nanowire networks. Phys. Chem. Chem. Phys. 2016, 18, 27564–27571. [Google Scholar]
- Aal, N.A.; El-Tantawy, F.; Al-Hajry, A.; Bououdina, M. New antistatic charge and electromagnetic shielding effectiveness from conductive epoxy resin/plasticized carbon black composites. Polym. Compos. 2008, 29, 125–132. [Google Scholar] [CrossRef]
- Letellier, M.; Macutkevic, J.; Kuzhir, P.; Banys, J.; Fierro, V.; Celzrad, A. Electromagnetic properties of model vitreous carbon foams. Carbon 2017, 122, 217–227. [Google Scholar] [CrossRef]
- Atkinson, D.; van Steenwijk, F.J. Infinite resistive lattices. Am. J. Phys. 1989, 67, 486–492. [Google Scholar] [CrossRef]
- Melnikov, A.; Shuba, M.; Lambin, Ph. Modeling the electrical properties of three-dimensional printed meshes with the theory of resistor lattices. Phys. Rev. E 2018, 97, 043307. [Google Scholar] [CrossRef] [PubMed]
- Cserti, J.; Széchenyi, G.; Dávid, G. Uniform tiling with electrical resistors. J. Phys. A Math. Theor. 2011, 44, 215201. [Google Scholar] [CrossRef]
- Guttmann, A.J. Lattice Green’s functions in all dimensions. J. Phys. A Math. Theor. 2010, 43, 305205. [Google Scholar] [CrossRef]
- Zucker, Z.J. 70+ years of the Watson integrals. J. Stat. Phys. 2011, 145, 591–612. [Google Scholar] [CrossRef]
- Joyce, G.S. Exact results for the diamond lattice Green function with applications to uniform random walks in a plane. J. Phys. A Math. Theor. 2017, 50, 425001. [Google Scholar] [CrossRef]
- Wu, F.Y. Theory of resistor networks: The two-point resistance. J. Phys. A Math. Gen. 2004, 37, 6653–6673. [Google Scholar] [CrossRef]
- Cserti, J. Application of the lattice Green’s function for calculating the resistance of infinite networks of resistors. Am. J. Phys. 2000, 68, 896–906. [Google Scholar] [CrossRef]
- Asad, J.H.; Diab, A.A.; Owaidat, M.Q.; Hijjawi, R.S.; Khalifeh, J.M. Infinite body centered cubic network of identical resistors. Acta Phys. Pol. A 2014, 125, 60–64. [Google Scholar] [CrossRef]
- Asad, J.H.; Diab, A.A.; Hijjawi, R.S.; Khalifeh, J.M. Infinite face-centered-cubic network of identical resistors: Application to lattice Green’s function. Eur. Phys. J. Plus 2013, 128, 2. [Google Scholar] [CrossRef]
- Owaidat, M.Q.; Al-Badawi, A.; Abu-Samak, M. The two-point resistance on the diamond cubic lattice. Eur. Phys. J. Plus 2018, 133, 199. [Google Scholar] [CrossRef]
- Osterberg, P.; Inan, A.S. Impedance between adjacent nodes of infinite uniform D-dimensional resistive lattices. Am. J. Phys. 2004, 72, 792–793. [Google Scholar] [CrossRef]
© 2019 by the authors. Licensee MDPI, Basel, Switzerland. This article is an open access article distributed under the terms and conditions of the Creative Commons Attribution (CC BY) license (http://creativecommons.org/licenses/by/4.0/).



