Learning-Based Anomaly Detection and Monitoring for Swarm Drone Flights
Abstract
1. Introduction
2. Problem Description
3. Preliminaries
3.1. Principal Component Analysis (PCA)
3.2. K-Means Clustering
3.3. One-Dimensional Convolutional Neural Network (1D-CNN)
3.4. Logistic Regression
4. Learning-Based Anomaly Detection
4.1. Model Concept
4.2. Data Preprocessing
- (1)
- Data CleaningIn this process, data is refined by filling missing values, filtering excessive noises, removing outliers, and resolving inconsistencies. As explained in Section 2, the difference between the actual position and the reference position, and the actual velocity are used as input data. To match the time stamp of the two different data sources, a linear interpolation technique is used. A linear interpolation of reference data, which is relatively low noise compared to the actual signals, is performed to derive a difference value from the actual data at the same time stamp. Excessively large values that may be caused by noise aberrations are removed from the training data set. In addition, some portion of data exhibiting noises are cut out to reduce noise values across the data.
- (2)
- Data IntegrationData from multiple drones are integrated into a single dataset with vehicle IDs. The vehicle ID is not explicitly used in the learning process but is useful in analyzing the performance of the learned model. Then, the input data includes 1 label information, 1 time stamp, and 6 kinematic variables.
- (3)
- Data TransformationNormalization is performed to bring the range of values of the selected parameters within a certain level. The well-known standardization method is used in this paper. The standardization method normalizes each data sequence by calculating the mean value (Xmean) and the standard deviation value (Xstdev):Xstandard = (X − Xmean)/Xstdev
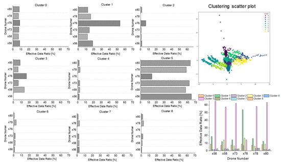
4.3. Clustering and Labeling
4.4. Classification
- (1)
- StandardizationAfter labeling the normal and abnormal state, we removed the drone-label information and used a total of six variables. The range of input variable values are normalized by a standardization method similar to the pre-processing for clustering.Logistical regression algorithms can be used for binary-categorized variables such as the data labeled in this study. The two possible dependent-variable values, represented by 0 and 1, correspond to the “normal” and “abnormal” results. Binary logistical models are used to estimate the probability of a binary response based on one or more predictor (or independent) functions.
- (2)
- 1D-CNN ClassifierThe overall architecture of the classifier for anomaly detection is illustrated in Figure 3. The time series data of kinematic variables described in Section 2 is first standardized with the procedure described earlier in this section. The data first passes through 1D-CNN consisting of six hidden layers; at the output end of CNN is connected to dense multi-layer perceptron with sigmoid activation function. The output of this sigmoid activation function is compared with the target label value, and their cross-entropy error as explained in (5) is used to learn the overall neural network by propagating the error backwards. A stochastic gradient method with minibatch is used for learning. Table 2 represents more detailed attributes of the neural network layers, and also parameters used to learn the network. The total number of parameters in the training process is 114,198, which is 446 KB in size. The architecture laid out in Table 2 is determined by at first building a sufficiently large network and then implementing batch normalization [50] to regulate the network.
- (3)
- Mini-batch sampling in Adaptive moment estimation (Adam) optimizationMost neural network algorithms work best when learning with the same (or similar) amount of data for each class because most algorithms are designed to maximize accuracy and reduce errors. However, if the number of normal and abnormal individuals is considerably different such as in defect classification or abnormal detection, binary classification in such a class-imbalanced circumstance does not produce good results [51]. To mitigate this imbalance, this work generates additional samples to achieve one-to-one ratio of normal and abnormal data when creating batches for Adam [52] optimization adopted for training of the network.
5. Numerical Results
5.1. PCA and Clustering
5.2. Classification Accuracy
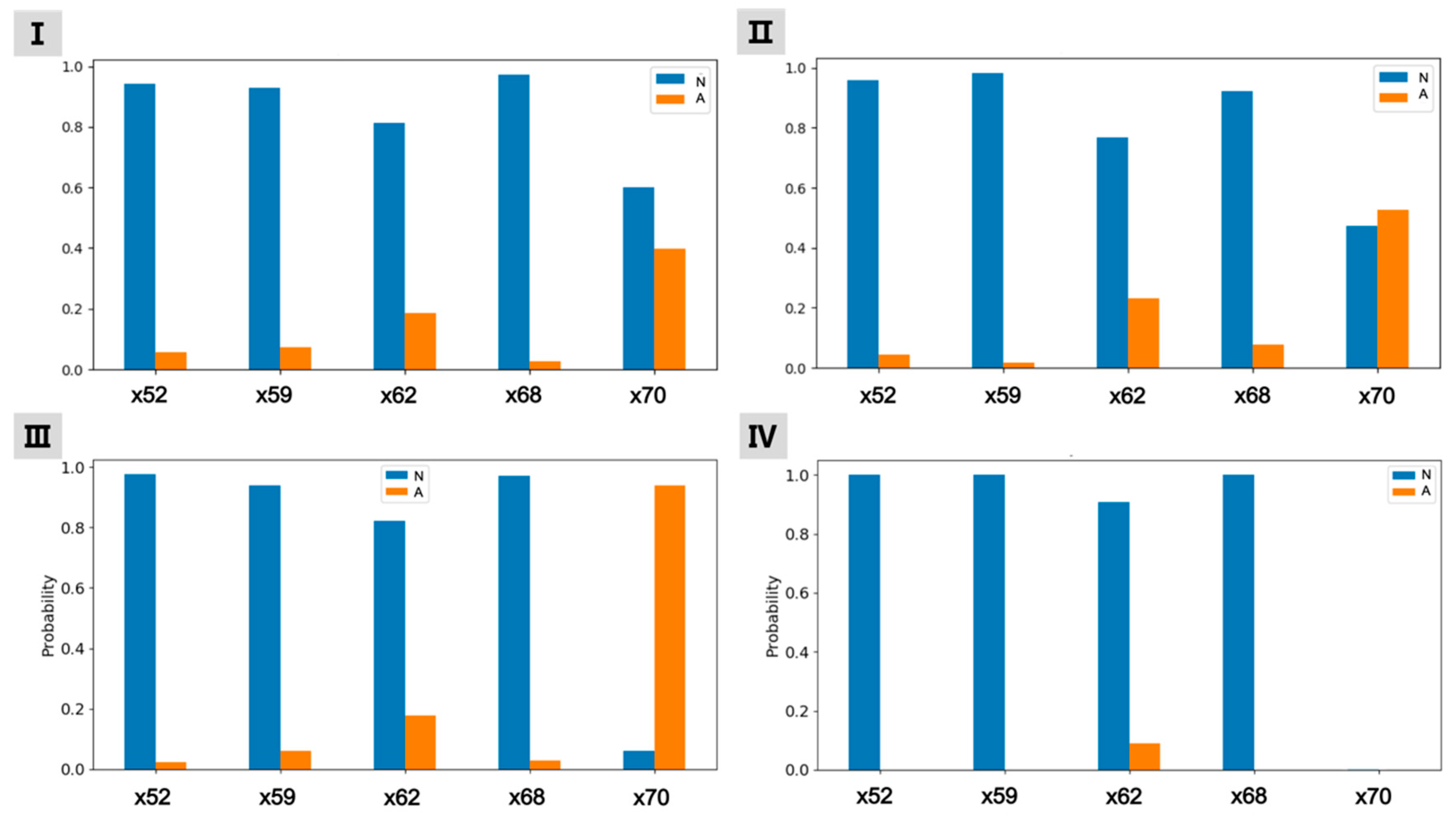
5.3. Anomaly Detection
6. Conclusions
Author Contributions
Funding
Conflicts of Interest
Abbreviations
| AD | Anomaly detection | 
| AI | Artificial intelligence | 
| CNN | Convolutional neural network | 
| GPS | Global positioning system | 
| INS | Inertial navigation system | 
| KNN | K nearest neighbor | 
| LR | Logistical regression | 
| ML | Machine learning | 
| PCA | Principal component analysis | 
| PHM | Prognostics and health monitoring | 
| RNN | Recurrent neural network | 
| RTK | Real time kinematic | 
| TA | True anomaly | 
| TN | True normal | 
| UA | Uncertain anomaly | 
| UN | True normal | 
References
- Otto, A.; Agatz, N.; Campbell, J.; Golden, B.; Pesch, E. Optimization approaches for civil applications of unmanned aerial vehicles (UAVs) or aerial drones: A survey. Networks 2018, 72, 411–458. [Google Scholar] [CrossRef]
- Shakhatreh, H.; Sawalmeh, A.H.; Al-Fuqaha, A.; Dou, Z.; Almaita, E.; Khalil, I.; Othman, N.S.; Khreishah, A.; Guizani, M. Unmanned aerial vehicles (UAVs): A survey on civil applications and key research challenges. IEEE Access 2019, 7, 48572–48634. [Google Scholar] [CrossRef]
- Hu, J.; Lanzon, A. An innovative tri-rotor drone and associated distributed aerial drone swarm control. Robot. Auton. Syst. 2018, 103, 162–174. [Google Scholar] [CrossRef]
- Cai, G.; Dias, J.; Seneviratne, L. A survey of small-scale unmanned aerial vehicles: Recent advances and future development trends. Unmanned Syst. 2014, 2, 175–199. [Google Scholar] [CrossRef]
- Dydek, Z.T.; Annaswamy, A.M.; Lavretsky, E. Adaptive control of quadrotor UAVs: A design trade study with flight evaluations. IEEE Trans. Control Syst. Technol. 2012, 21, 1400–1406. [Google Scholar] [CrossRef]
- Shrit, O.; Martin, S.; Alagha, K.; Pujolle, G. A new approach to realize drone swarm using ad-hoc network. In Proceedings of the 2017 16th Annual Mediterranean Ad Hoc Networking Workshop (Med-Hoc-Net), Budva, Montenegro, 28–30 June 2017; pp. 1–5. [Google Scholar]
- Bürkle, A.; Segor, F.; Kollmann, M. Towards autonomous micro uav swarms. J. Intell. Robot. Syst. 2011, 61, 339–353. [Google Scholar] [CrossRef]
- Sahingoz, O.K. Networking models in flying ad-hoc networks (FANETs): Concepts and challenges. J. Intell. Robot. Syst. 2014, 74, 513–527. [Google Scholar] [CrossRef]
- Shao, Z.; Yan, F.; Zhou, Z.; Zhu, X. Path planning for Multi-UAV formation rendezvous based on distributed cooperative particle swarm optimization. Appl. Sci. 2019, 9, 2621. [Google Scholar] [CrossRef]
- Schilling, F.; Lecoeur, J.; Schiano, F.; Floreano, D. Learning vision-based cohesive flight in drone swarms. arXiv 2018, arXiv:1809.00543. [Google Scholar]
- Cho, D.-H.; Ha, J.-S.; Lee, S.; Moon, S.; Choi, H.-L. Informative path planning and mapping with multiple uavs in wind fields. In Distributed Autonomous Robotic Systems; Springer: Berlin, Germany, 2018; pp. 269–283. [Google Scholar]
- Xie, S.; Zhang, A.; Bi, W.; Tang, Y. Multi-UAV mission allocation under constraint. Appl. Sci. 2019, 9, 2184. [Google Scholar] [CrossRef]
- Yan, F.; Zhu, X.; Zhou, Z.; Chu, J. A hierarchical mission planning method for simultaneous arrival of multi-UAV coalition. Appl. Sci. 2019, 9, 1986. [Google Scholar] [CrossRef]
- Bertuccelli, L.; Choi, H.-L.; Cho, P.; How, J. Real-time multi-UAV task assignment in dynamic and uncertain environments. In Proceedings of the AIAA Guidance, Navigation, and Control Conference, Kissimmee, FL, USA, 8–12 January 2018; p. 5776. [Google Scholar]
- Choi, H.-L.; How, J. Coordinated targeting of mobile sensor networks for ensemble forecast improvement. IEEE Sens. J. 2011, 11, 621–633. [Google Scholar] [CrossRef]
- Nagi, J.; Giusti, A.; Gambardella, L.M.; Di Caro, G.A. Human-swarm interaction using spatial gestures. In Proceedings of the 2014 IEEE/RSJ International Conference on Intelligent Robots and Systems, Chicago, IL, USA, 14–18 september; pp. 3834–3841.
- Hocraffer, A.; Nam, C.S. A meta-analysis of human-system interfaces in unmanned aerial vehicle (UAV) swarm management. Appl. Ergon. 2017, 58, 66–80. [Google Scholar] [CrossRef]
- Hussein, A.; Abbass, H. Mixed initiative systems for human-swarm interaction: Opportunities and challenges. In Proceedings of the 2018 2nd Annual Systems Modelling Conference (SMC), Canberra, Australia, 4 October 2018; pp. 1–8. [Google Scholar]
- Hussein, A.; Ghignone, L.; Nguyen, T.; Salimi, N.; Nguyen, H.; Wang, M.; Abbass, H.A. Towards bi-directional communication in human-swarm teaming: A survey. arXiv 2018, arXiv:1803.03093. [Google Scholar]
- Vistbakka, I.; Majd, A.; Troubitsyna, E. Multi-layered approach to safe navigation of swarms of drones. In Proceedings of the International Conference on Computer Safety, Reliability, and Security, Västerås, Sweden, 18–21 September 2018; pp. 112–125. [Google Scholar]
- Qin, L.; He, X.; Zhou, D. A survey of fault diagnosis for swarm systems. Syst. Sci. Control Eng. Open Access J. 2014, 2, 13–23. [Google Scholar] [CrossRef]
- Higgins, F.; Tomlinson, A.; Martin, K.M. Survey on security challenges for swarm robotics. In Proceedings of the 2009 Fifth International Conference on Autonomic and Autonomous Systems, Valencia, Spain, 20–25 April 2009; pp. 307–312. [Google Scholar]
- Campion, M.; Ranganathan, P.; Faruque, S. A Review and Future Directions of UAV Swarm Communication Architectures. In Proceedings of the 2018 IEEE International Conference on Electro/Information Technology (EIT), Rochester, MI, USA, 3–5 May 2018; pp. 0903–0908. [Google Scholar]
- Alfeo, A.L.; Cimino, M.G.; De Francesco, N.; Lega, M.; Vaglini, G. Design and simulation of the emergent behavior of small drones swarming for distributed target localization. J. Comput. Sci. 2018, 29, 19–33. [Google Scholar] [CrossRef]
- Marzat, J.; Piet-Lahanier, H.; Damongeot, F.; Walter, E. Model-based fault diagnosis for aerospace systems: A survey. Proc. Inst. Mech. Eng. Part G J. Aerosp. Eng. 2012, 226, 1329–1360. [Google Scholar] [CrossRef]
- Boskovic, J.D.; Li, S.-M.; Mehra, R.K. On-line failure detection and identification (FDI) and adaptive reconfigurable control (ARC) in aerospace applications. In Proceedings of the 2001 American Control Conference.(Cat. No. 01CH37148), Arlington, VA, USA, 25–27 June 2001; pp. 2625–2626. [Google Scholar]
- Wang, Y.; Wang, D.; Wang, J. A data driven approach for detection and isolation of anomalies in a group of UAVs. Chin. J. Aeronaut. 2015, 28, 206–213. [Google Scholar] [CrossRef][Green Version]
- Wang, J.-H.; Wang, Y.-X.; Zhu, Y.-H. Bias compensation estimation in multi-UAV formation and anomaly detection. J. Control Syst. Eng. 2016, 4, 40–50. [Google Scholar] [CrossRef]
- Freeman, P.; Pandita, R.; Srivastava, N.; Balas, G.J. Model-based and data-driven fault detection performance for a small UAV. IEEE/ASME Trans. Mechatron. 2013, 18, 1300–1309. [Google Scholar] [CrossRef]
- Ordoukhanian, E.; Madni, A.M. Resilient multi-UAV operation: Key concepts and challenges. In Proceedings of the 54th AIAA Aerospace Sciences Meeting, San Diego, CA, USA, 4–8 January 2016; p. 0475. [Google Scholar]
- Tagarev, T.; Sharkov, G.; Stoianov, N. Cyber security and resilience of modern societies: A research management architecture. Inf. Secur. 2017, 38, 93–108. [Google Scholar] [CrossRef][Green Version]
- Ordoukhanian, E.; Madni, A.M. System Trade-offs in Multi-UAV Networks. In Proceedings of the AIAA SPACE 2015 Conference and Exposition, Pasadena, CA, USA, 31 August–2 September 2015; p. 4542. [Google Scholar]
- Negash, L.; Choi, H.-L. Distributed observers for cyberattack detection and isolation in formation flying UAVs. J. Aerosp. Inf. Syst. 2017, 14, 551–565. [Google Scholar]
- Suarez, A.; Heredia, G.; Ollero, A. Cooperative sensor fault recovery in multi-UAV systems. In Proceedings of the 2016 IEEE International Conference on Robotics and Automation (ICRA), Stockholm, Sweden, 16–21 May 2016; pp. 1188–1193. [Google Scholar]
- Li, G.; Rai, A.; Lee, H.; Chattopadhyay, A. Operational anomaly detection in flight data using a multivariate gaussian mixture model. In Proceedings of the Annual Conference of the PHM Society, Philadelphia, PA, USA, 24–27 September 2018. [Google Scholar]
- Nanduri, A.; Sherry, L. Anomaly detection in aircraft data using Recurrent Neural Networks (RNN). In Proceedings of the 2016 Integrated Communications Navigation and Surveillance (ICNS), Herndon, VA, USA, 19–21 April 2016; pp. 5C2-1–5C2-8. [Google Scholar]
- Manukyan, A.; Olivares-Mendez, M.A.; Voos, H.; Geist, M. Real time degradation identification of UAV using machine learning techniques. In Proceedings of the 2017 International Conference on Unmanned Aircraft Systems (ICUAS), Miami, FL, USA, 13–16 June 2017; pp. 1223–1230. [Google Scholar]
- Yong, D.; Yuanpeng, Z.; Yaqing, X.; Yu, P.; Datong, L. Unmanned aerial vehicle sensor data anomaly detection using kernel principle component analysis. In Proceedings of the 2017 13th IEEE International Conference on Electronic Measurement & Instruments (ICEMI), Yangzhou, China, 20–22 October 2017; pp. 241–246. [Google Scholar]
- Jolliffe, I.T.; Cadima, J. Principal component analysis: A review and recent developments. Philos. Trans. R. Soc. A Math. Phys. Eng. Sci. 2016, 374, 20150202. [Google Scholar] [CrossRef]
- Kiranyaz, S.; Avci, O.; Abdeljaber, O.; Ince, T.; Gabbouj, M.; Inman, D.J. 1D convolutional neural networks and applications: A survey. arXiv 2019, arXiv:1905.03554. [Google Scholar]
- Hendrycks, D.; Mazeika, M.; Kadavath, S.; Song, D. Using self-supervised learning can improve model robustness and uncertainty. In Proceedings of the Thirty-third Conference on Neural information Processing Systems, Vancouver, BC, Canada, 8 December–14 December 2019. [Google Scholar]
- Moon, S.; Choi, Y.; Kim, D.; Seung, M.; Gong, H. Outdoor Swarm Flight System Based on RTK-GPS. J. Kiise 2016, 43, 1315–1324. [Google Scholar] [CrossRef]
- Brillinger, D.R. Time Series: Data Analysis and Theory; Siam: Philadelphia, PA, USA, 1981; Volume 36. [Google Scholar]
- Selim, S.Z.; Ismail, M.A. K-means-type algorithms: A generalized convergence theorem and characterization of local optimality. IEEE Trans. Pattern Anal. Mach. Intell. 1984, PAMI-6, 81–87. [Google Scholar] [CrossRef]
- Chollet, F. Deep Learning mit Python und Keras: Das Praxis-Handbuch vom Entwickler der Keras-Bibliothek; MITP-Verlags GmbH & Co. KG: Frechen, Germany, 2018. [Google Scholar]
- Dreiseitl, S.; Ohno-Machado, L. Logistic regression and artificial neural network classification models: A methodology review. J. Biomed. Inform. 2002, 35, 352–359. [Google Scholar] [CrossRef]
- Kotsiantis, S.; Kanellopoulos, D.; Pintelas, P. Data preprocessing for supervised leaning. Int. J. Comput. Sci. 2006, 1, 111–117. [Google Scholar]
- Famili, A.; Shen, W.-M.; Weber, R.; Simoudis, E. Data preprocessing and intelligent data analysis. Intell. Data Anal. 1997, 1, 3–23. [Google Scholar] [CrossRef]
- Bholowalia, P.; Kumar, A. EBK-means: A Clustering Technique Based on Elbow Method and K-Means in WSN. Int. J. Comput. Appl. 2014, 105. Available online: https://www.ijcaonline.org/archives/volume105/number9/18405-9674 (accessed on 12 December 2019).
- Ioffe, S.; Szegedy, C. Batch normalization: Accelerating deeep neural network training by reducing internal covariance shift. In Proceedings of the 32nd International Conference on Machine Learning, Lille, France, 6–11 July 2015; Volume 37, pp. 448–456. [Google Scholar]
- Japkowicz, N.; Stephen, S. The class imbalance problem: A systematic study. Intell. Data Anal. 2002, 6, 429–449. [Google Scholar] [CrossRef]
- Kingma, D.P.; Ba, J.L. Adam: A method for stochastic optimization. arXiv 2017, arXiv:1412.6980v9. [Google Scholar]
- Vinod, N.; Geoffrey, E.H. Rectified linear units improve restricted boltzmann machines. In Proceedings of the 27th International Conference on International Conference on Machine Learning (ICML), Haifa, Israel, 21–24 June 2010; pp. 807–814. [Google Scholar]
- Lin, M.; Chen, Q.; Yan, S. Network in network. arXiv 2013, arXiv:1312.4400. [Google Scholar]











| Parts | Variable | Attribute Type | 
|---|---|---|
| RTK–GPS | Inertial Position and Velocity | Continuous | 
| INS | Gyro (Body frame rate and their integrals) Accelerometer (xyz-axis values and integrals) | |
| Setpoint | Position (xs, ys, zs) | |
| Vehicle status | Navigation state Arming state | Discrete | 
| Layer | Input | Output | Operation | 
|---|---|---|---|
| Input | (n, timestamp, 6) | (n, 160, 6) | Standardization | 
| Hidden 1 | (n, 160, 6) | (n, 80, 12) | 1D Convolution (strides 2, kernel size 3), 1D Batch normalization, Rectified Linear Unit (ReLU) [53] | 
| Hidden 2 | (n, 80, 12) | (n, 40, 24) | 1D Convolution (strides 2, kernel size 3), 1D Batch normalization, ReLU | 
| Hidden 3 | (n, 40, 24) | (n, 20, 48) | 1D Convolution (strides 2, kernel size 3), 1D Batch normalization, ReLU | 
| Hidden 4 | (n, 20, 48) | (n, 10, 96) | 1D Convolution (strides 2, kernel size 3), 1D Batch normalization, ReLU | 
| Hidden 5 | (n, 10, 96) | (n, 5, 128) | 1D Convolution (strides 2, kernel size 3), 1D Batch normalization, ReLU | 
| Hidden 6 | (n, 5, 128) | (n, 5, 128) | 1D Convolution (strides 1, kernel size 3), 1D Batch normalization, ReLU | 
| Hidden 7 | (n, 5, 128) | (n, 128) | Global Average Pooling (GAP) [54] | 
| Hidden 8 | (n, 128) | (n, 64) | Dense, Batch normalization, ReLU | 
| Output | (n, 64) | (n, 2) | Dense, Sigmoid | 
| Hyper-parameters for learning model | |||
| Batch size | Time length | Epoch number | Learning rate | 
| 128 | 160 | 50 | 0.00004 | 
© 2019 by the authors. Licensee MDPI, Basel, Switzerland. This article is an open access article distributed under the terms and conditions of the Creative Commons Attribution (CC BY) license (http://creativecommons.org/licenses/by/4.0/).
Share and Cite
Ahn, H.; Choi, H.-L.; Kang, M.; Moon, S. Learning-Based Anomaly Detection and Monitoring for Swarm Drone Flights. Appl. Sci. 2019, 9, 5477. https://doi.org/10.3390/app9245477
Ahn H, Choi H-L, Kang M, Moon S. Learning-Based Anomaly Detection and Monitoring for Swarm Drone Flights. Applied Sciences. 2019; 9(24):5477. https://doi.org/10.3390/app9245477
Chicago/Turabian StyleAhn, Hyojung, Han-Lim Choi, Minguk Kang, and SungTae Moon. 2019. "Learning-Based Anomaly Detection and Monitoring for Swarm Drone Flights" Applied Sciences 9, no. 24: 5477. https://doi.org/10.3390/app9245477
APA StyleAhn, H., Choi, H.-L., Kang, M., & Moon, S. (2019). Learning-Based Anomaly Detection and Monitoring for Swarm Drone Flights. Applied Sciences, 9(24), 5477. https://doi.org/10.3390/app9245477
 
        

 
       