Dynamics of Multipole Solitons and Vortex Solitons in PT-Symmetric Triangular Lattices with Nonlocal Nonlinearity
Abstract
Featured Application
Abstract
1. Introduction
2. Theoretical Model
3. Numerical Results
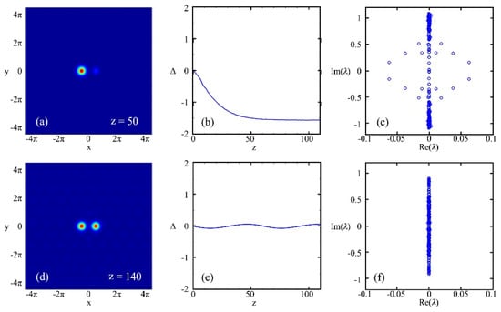
3.1. Dipole Solitons
3.2. Six-Pole Solitons
3.3. Vortex Solitons
4. Conclusions
Author Contributions
Funding
Conflicts of Interest
References
- Peccianti, M.; Conti, C.; Assanto, G. Interplay between nonlocality and nonlinearity in nematic liquid crystals. Opt. Lett. 2005, 30, 415–417. [Google Scholar] [CrossRef] [PubMed]
- Piccardi, A.; Residori, S.; Assanto, G. Nonlocal soliton scattering in random potentials. J. Opt. 2016, 18, 07LT01. [Google Scholar] [CrossRef]
- Assanto, G.; Peccianti, M.; Conti, C. One-dimensional transverse modulational instability in nonlocal media with a reorientational nonlinearity. IEEE J. Sel. Top. Quantum Electron. 2004, 10, 862–869. [Google Scholar]
- Rotschild, C.; Cohen, O.; Manela, O.; Segev, M.; Carmon, T. Solitons in nonlinear media with an infinite range of nonlocality: First observation of coherent elliptic solitons and vortex-ring solitons. Phys. Rev. Lett. 2005, 95, 213904. [Google Scholar] [CrossRef] [PubMed]
- Rotschild, C.; Alfassi, B.; Cohen, O.; Segev, M. Long-range interactions between optical solitons. Nat. Phys. 2006, 2, 769–774. [Google Scholar] [CrossRef]
- Dreischuh, A.; Neshev, D.; Petersen, D.E.; Bang, O.; Królikowski, W. Observation of attraction between dark solitons. Phys. Rev. Lett. 2006, 96, 043901. [Google Scholar] [CrossRef]
- Fang, L.; Gao, J.; Shi, Z.; Zhu, X.; Li, H. Nonlocal defect solitons in parity-time-symmetric superlattices with defocusing nonlinearity. Eur. Phys. J. D 2014, 68, 298. [Google Scholar] [CrossRef]
- Alberucci, A.; Jisha, C.P.; Assanto, G. Breather solitons in highly nonlocal media. J. Opt. 2016, 18, 125501. [Google Scholar] [CrossRef]
- Kartashov, Y.V.; Torner, L.; Vysloukh, V.A. Lattice-supported surface solitons in nonlocal nonlinear media. Opt. Lett. 2006, 31, 2595–2597. [Google Scholar] [CrossRef]
- Rotschild, C.; Segev, M.; Xu, Z.; Kartashov, Y.V.; Torner, L.; Cohen, O. Two-dimensional multipole solitons in nonlocal nonlinear media. Opt. Lett. 2006, 31, 3312–3314. [Google Scholar] [CrossRef]
- Izdebskaya, Y.V.; Shvedov, V.G.; Jung, P.S.; Krolikowski, W. Stable vortex soliton in nonlocal media with orientational nonlinearity. Opt. Lett. 2018, 43, 66–69. [Google Scholar] [CrossRef] [PubMed]
- Bender, C.M.; Boettcher, S. Real spectra in non-Hermitian Hamiltonians having PT symmetry. Phys. Rev. Lett. 1998, 80, 5243–5246. [Google Scholar] [CrossRef]
- Bender, C.M. Making sense of non-Hermitian Hamiltonians. Rep. Prog. Phys. 2007, 70, 947–1018. [Google Scholar] [CrossRef]
- Guo, A.; Salamo, G.J.; Duchesne, D.; Morandotti, R.; Volatier-Ravat, M.; Aimez, V.; Siviloglou, G.A.; Christodoulides, D.N. Observation of PT-symmetry breaking in complex optical potentials. Phys. Rev. Lett. 2009, 103, 093902. [Google Scholar] [CrossRef] [PubMed]
- Petrov, A.; Jalas, D.; Eich, M.; Krause, M.; Renner, H.; Brinkmeyer, E.; Doerr, C.R. Nonreciprocal light propagation in a silicon photonic circuit. Science 2011, 333, 729–733. [Google Scholar]
- Huang, J.; Weng, Y.; Wang, H. Stability and internal interaction of multipole solitons in nonlocal PT-symmetric lattices. Opt. Express 2018, 26, 11667–11677. [Google Scholar] [CrossRef] [PubMed]
- Shi, Z.; Xue, J.; Xing, Z.; Li, Y.; Li, H. Discrete multipole dark solitons in saturable nonlinearity media with parity-time symmetric lattices. Eur. Phys. J. Plus 2017, 132, 79. [Google Scholar] [CrossRef]
- Li, C.; Huang, C.; Liu, H.; Dong, L. Multipeaked gap solitons in PT-symmetric optical lattices. Opt. Lett. 2012, 37, 4543–4545. [Google Scholar]
- Ren, X.; Wang, H.; Wang, H.; He, Y. Stability of in-phase quadruple and vortex solitons in the parity-time-symmetric periodic potentials. Opt. Express 2014, 22, 19774–19782. [Google Scholar] [CrossRef]
- Leykam, D.; Konotop, V.V.; Desyatnikov, A.S. Discrete vortex solitons and parity time symmetry. Opt. Lett. 2013, 38, 371–373. [Google Scholar] [CrossRef]
- Chen, Z.; Liu, J.; Fu, S.; Li, Y.; Malomed, B.A. Discrete solitons and vortices on two-dimensional lattices of PT-symmetric couplers. Opt. Express 2014, 22, 29679–29692. [Google Scholar] [CrossRef] [PubMed]
- Fleischer, J.W.; Segev, M.; Efremidis, N.K.; Christodoulides, D.N. Observation of two-dimensional discrete solitons in optically-induced nonlinear photonic lattices. Nature 2003, 422, 147–150. [Google Scholar] [CrossRef] [PubMed]
- Poli, F.; Cucinotta, A.; Selleri, S. Guiding properties. In Photonic Crystal Fibers: Properties and Applications; Springer: Dordrecht, The Netherlands, 2007; Chapter 2; pp. 53–98. [Google Scholar]
- SeyedShirazi, S.Z.; Solaimani, M.; Farnam, B.; Ghalandari, M.; Aleomraninejada, S.M.A. Spatial soliton propagation through a triangular waveguide: A Runge Kutta study. Optik 2017, 129, 200–206. [Google Scholar] [CrossRef]
- Wang, H.; Shi, S.; Ren, X.; Zhu, X.; Malomed, B.A.; Mihalache, D.; He, Y. Two-dimensional solitons in triangular photonic lattices with parity-time symmetry. Opt. Commun. 2015, 335, 146–152. [Google Scholar] [CrossRef]
- Zhu, X.; Wang, H.; Wu, T.; Zheng, L. Defect solitons in triangular optical lattices. J. Opt. Soc. Am. B 2011, 28, 521–527. [Google Scholar] [CrossRef]
- Friedrich, L.; Stegeman, G.I.; Millar, P.; Aitchison, J.S. 1 x 4 optical interconnect using electronically controlled angle steering of spatial solitons. IEEE Photonics Technol. Lett. 1999, 11, 988–990. [Google Scholar] [CrossRef]
- Piccardi, A.; Alberucci, A.; Bortolozzo, U.; Residori, S.; Assant, G. Readdressable Interconnects with Spatial Soliton Waveguides in Liquid Crystal Light Valves. IEEE Photonics Technol. Lett. 2010, 22, 694–696. [Google Scholar] [CrossRef]
- Zhang, H.; Xu, D.; Zou, J.; Zeng, H.; Tian, Y. Soliton control in inhomogeneous nonlocal media. Opt. Commun. 2011, 284, 1370–1378. [Google Scholar] [CrossRef]
- Jakubowski, M.H.; Steiglitz, K.; Squier, R. State transformations of colliding optical solitons and possible application to computation in bulk media. Phys. Rev. E 1998, 58, 6752–6758. [Google Scholar] [CrossRef]
- Al-Khawaja, U.; Al-Marzoug, S.M.; Bahlouli, H. All-optical switches, unidirectional flow, and logic gates with discrete solitons in waveguide arrays. Opt. Express 2016, 24, 11062–11074. [Google Scholar] [CrossRef]
- Wu, Y. New all-optical switch based on the spatial soliton repulsion. Opt. Express 2006, 14, 4005–4012. [Google Scholar] [CrossRef] [PubMed]
- Ghadi, A.; Sohrabfar, S. All-Optical Multiple Logic Gates Based on Spatial Optical Soliton Interactions. IEEE Photonics Technol. Lett. 2018, 30, 569–572. [Google Scholar] [CrossRef]
- Kheradmand, R.; Aghdami, K.M.; Khiaban, B.H. Tunable all-optical gates in 2D discrete cavity solitons with local defect. Eur. Phys. J. D 2015, 69, 274. [Google Scholar] [CrossRef]
- Scheuer, J.; Orenstein, M. All-optical gates facilitated by soliton interactions in a multilayered Kerr medium. J. Opt. Soc. Am. B 2005, 22, 1260–1267. [Google Scholar] [CrossRef]
- Rosberg, C.R.; Neshev, D.N.; Sukhorukov, A.A.; Krolikowski, W.; Kivshar, Y.S. Observation of nonlinear self-trapping in triangular photonic lattices. Opt. Lett. 2007, 32, 397–399. [Google Scholar] [CrossRef] [PubMed]
- Rasmussen, P.D.; Bang, O.; Królikowski, W. Theory of nonlocal soliton interaction in nematic liquid crystals. Phys. Rev. E 2005, 72, 066611. [Google Scholar] [CrossRef] [PubMed]
- Yang, J. Numerical Methods for Nonlinear Wave Equations. In Nonlinear Waves in Integrable and Nonintegrable Systems; SIAM: Philadelphia, PA, USA, 2010; Chapter 7; pp. 327–397. [Google Scholar]













© 2019 by the authors. Licensee MDPI, Basel, Switzerland. This article is an open access article distributed under the terms and conditions of the Creative Commons Attribution (CC BY) license (http://creativecommons.org/licenses/by/4.0/).
Share and Cite
Huang, J.; Weng, Y.; Chen, P.; Wang, H. Dynamics of Multipole Solitons and Vortex Solitons in PT-Symmetric Triangular Lattices with Nonlocal Nonlinearity. Appl. Sci. 2019, 9, 3731. https://doi.org/10.3390/app9183731
Huang J, Weng Y, Chen P, Wang H. Dynamics of Multipole Solitons and Vortex Solitons in PT-Symmetric Triangular Lattices with Nonlocal Nonlinearity. Applied Sciences. 2019; 9(18):3731. https://doi.org/10.3390/app9183731
Chicago/Turabian StyleHuang, Jing, Yuanhang Weng, Peijun Chen, and Hong Wang. 2019. "Dynamics of Multipole Solitons and Vortex Solitons in PT-Symmetric Triangular Lattices with Nonlocal Nonlinearity" Applied Sciences 9, no. 18: 3731. https://doi.org/10.3390/app9183731
APA StyleHuang, J., Weng, Y., Chen, P., & Wang, H. (2019). Dynamics of Multipole Solitons and Vortex Solitons in PT-Symmetric Triangular Lattices with Nonlocal Nonlinearity. Applied Sciences, 9(18), 3731. https://doi.org/10.3390/app9183731

