Natural Convection of Dusty Hybrid Nanofluids in an Enclosure Including Two Oriented Heated Fins
Abstract
1. Introduction
2. Problem Description
- The -axis is along the bottom wall and -axis is along the left wall and the origin is intersection point of these two walls. and are the lengths of left and right fins.
- Two inclined fins are located in the enclosure at and and the relation between and (Note that the left fin rotates in clockwise direction and the right fins rotates in anticlockwise direction) are given as follows: .
- The flow is laminar and incompressible.
- A one-phase model is applied for the hybrid nanofluids in which the nanoparticles volume fraction and the thermophysical properties of the base fluid and nanoparticles’ volume fraction are constants.
- Table 1 shows the values of the thermophysical properties of the base fluid and nanoparticles at 20 °C.
- The Boussinesq approximation is taken into account.
- Effects of the gravity are considered in the vertical direction.
- The viscous dissipation is neglected in the present study.
- A system of equations is performed for the hybrid nanofluid and another one is presented for the dusty phase.
2.1. Dusty Hybrid Nanofluid
2.2. For the Particle Phase
3. Numerical Method and Validation
4. Results and Discussion
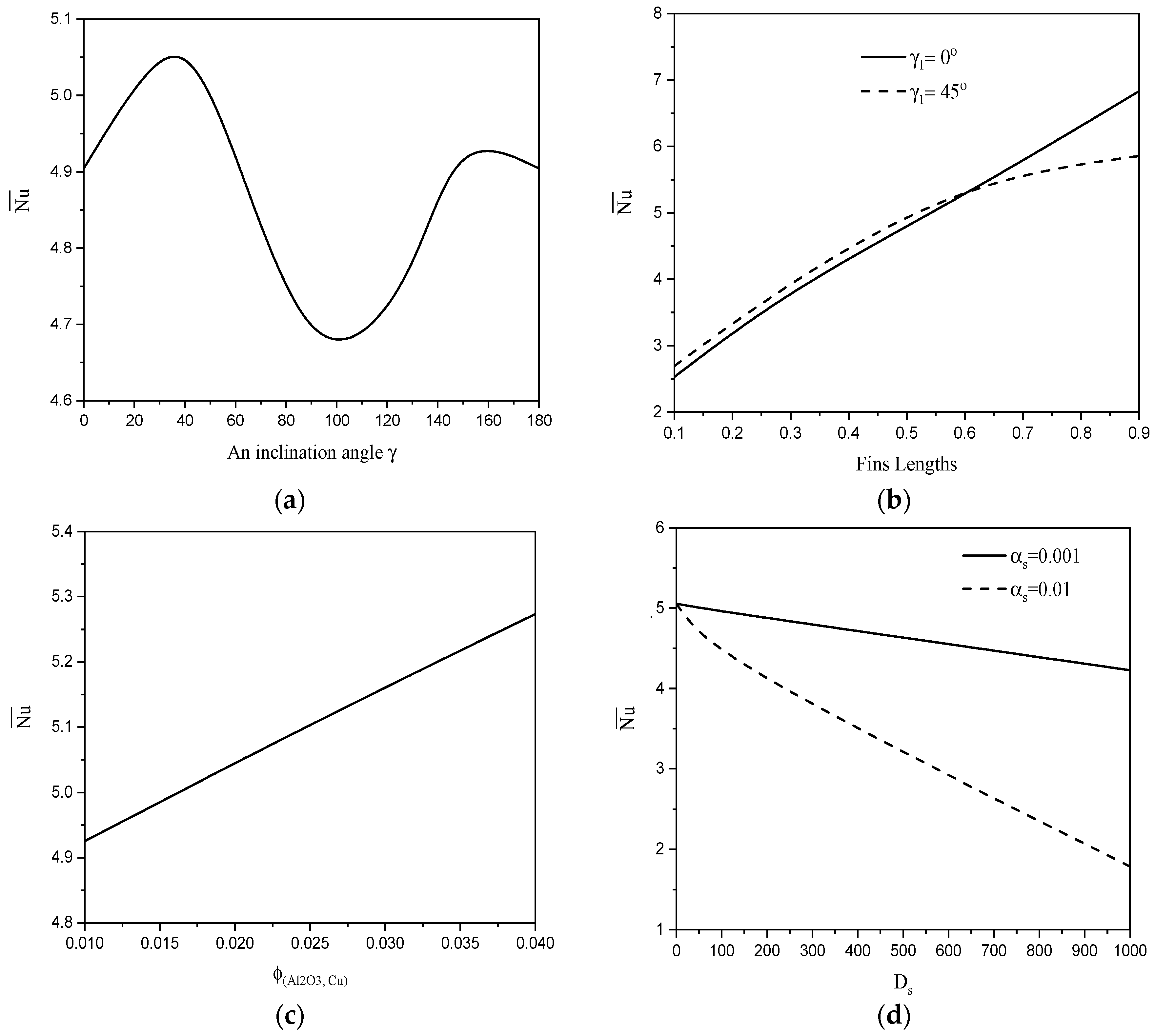
4.1. Effects of Fins’ Geometric Parameters
4.2. Effects of Hybrid Nanofluids
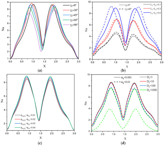
4.3. Local and Average Nusselt Number
5. Conclusions
- There are minimum values of the local Nusselt number that occur at the center of the top wall. Also, the increases in the fins lengths enhance the rate of heat transfer regardless of the values of the inclination angle.
- For the low values of the lengths of the fins, the vertical fins are the best for the heat transfer compared with the rotating fins.
- A clear reduction in the heat transfer rate is obtained as a ratio of the mixture densities increases. Also, like the effects of the mixture density ratio, the increase in the dusty parameter reduces the average Nusselt number.
- A good support in profiles of the average Nusselt number is observed as the nanoparticles’ volume fraction increases.
- The maximum values of the streamlines and dusty velocity components are diminished as values of the nanoparticles’ volume fraction decreases.
Funding
Acknowledgments
Conflicts of Interest
Nomenclature
| specific heat | |
| ratio of the mixture densities | |
| gravitational acceleration, | |
| thermal conductivity, | |
| , | lengths of left and right fins |
| Nusselt number | |
| pressure, | |
| Prandtl number | |
| heat generation parameter | |
| Rayleigh number | |
| , | fin location in the enclosure |
| temperature, | |
| time, s | |
| dimension velocity components, | |
| Cartesian coordinates, | |
| Greek Symbols | |
| thermal diffusivity, | |
| dusty parameter | |
| ratio of the specific heat | |
| Inclined angel | |
| nanoparticle volume fraction | |
| viscosity | |
| dimensionless temperature | |
| kinematic viscosity, | |
| density, . | |
| mass concentration of the particle | |
| dimensionless time | |
| Subscripts | |
| hybrid nanofluid | |
| H | hot |
| C | cold |
| particles | |
References
- Rudinger, G. Chapter 4—Thermodynamics of Gas—Particle Mixtures. In Fundamentals of Gas Particle Flow; Rudinger, G., Ed.; Elsevier: Amsterdam, The Netherlands, 1980; pp. 40–52. [Google Scholar]
- Farbar, L.; Morley, M. Heat transfer to flowing gas-solids mixtures in a circular tube. Ind. Eng. Chem. 1957, 49, 1143–1150. [Google Scholar] [CrossRef]
- Singleton, R.E. Fluid Mechanics of Gas-Solid Particle Flow in Boundary Layers; California Institute of Technology: Pasadena, California, CA, USA, 1964. [Google Scholar]
- Gireesha, B.J.; Bagewadi, C.S.; Prasannakumar, B.C. Pulsatile flow of an unsteady dusty fluid through rectangular channel. Commun. Nonlinear Sci. Numer. Simul. 2009, 14, 2103–2110. [Google Scholar] [CrossRef]
- Manjunatha, P.T.; Gireesha, B.J.; Prasannakumara, B.C. Thermal analysis of conducting dusty fluid flow in a porous medium over a stretching cylinder in the presence of non-uniform source/sink. Int. J. Mech. Mater. Eng. 2014, 9, 13. [Google Scholar] [CrossRef]
- Mahanthesh, B.; Gireesha, B. Thermal Marangoni convection in two-phase flow of dusty Casson fluid. Results Phys. 2018, 8, 537–544. [Google Scholar] [CrossRef]
- Ghadikolaei, S.S.; Hosseinzadeh, K.; Ganji, D.D.; Hatami, M. Fe3O4-(CH2OH)2 nanofluid analysis in a porous medium under MHD radiative boundary layer and dusty fluid. J. Mol. Liq. 2018, 258, 172–185. [Google Scholar] [CrossRef]
- Siddiqa, S.; Begum, N.; Hossain, M.A.; Gorla, R.S.R.; Al-Rashed, A.A.A.A. Two-phase natural convection dusty nanofluid flow. Int. J. Heat Mass Transf. 2018, 118, 66–74. [Google Scholar] [CrossRef]
- Isa, S.M.; Mohammad, N.F. Boundary Layer Flow of Dusty Fluid on a Stretching Sheet of Another Quiescent Fluid. J. Phys. Conf. 2017, 819, 012027. [Google Scholar] [CrossRef]
- Dalal, D.; Datta, N.; Mukherjea, S. Unsteady natural convection of a dusty fluid in an infinite rectangular channel. Int. J. Heat Mass Transf. 1998, 41, 547–562. [Google Scholar] [CrossRef]
- Saba, F.; Ahmed, N.; Khan, U.; Waheed, A.; Rafiq, M.; Mohyud-Din, S. Thermophysical analysis of water based (Cu–Al2O3) hybrid nanofluid in an asymmetric channel with dilating/squeezing walls considering different shapes of nanoparticles. Appl. Sci. 2018, 8, 1549. [Google Scholar] [CrossRef]
- Sheikholeslami, M.; Mehryan, S.A.M.; Shafee, A.; Sheremet, M.A. Variable magnetic forces impact on magnetizable hybrid nanofluid heat transfer through a circular cavity. J. Mol. Liq. 2019, 277, 388–396. [Google Scholar] [CrossRef]
- Sekrani, G.; Poncet, S. Ethylene-and Propylene-Glycol Based Nanofluids: A Litterature Review on Their Thermophysical Properties and Thermal Performances. Appl. Sci. 2018, 8, 2311. [Google Scholar] [CrossRef]
- Mehryan, S.A.M.; Kashkooli, F.M.; Ghalambaz, M.; Chamkha, A.J. Free convection of hybrid Al2O3-Cu water nanofluid in a differentially heated porous cavity. Adv. Powder Technol. 2017, 28, 2295–2305. [Google Scholar] [CrossRef]
- Hussain, S.; Ahmed, S.E.; Akbar, T. Entropy generation analysis in MHD mixed convection of hybrid nanofluid in an open cavity with a horizontal channel containing an adiabatic obstacle. Int. J. Heat Mass Transf. 2017, 2017 114, 1054–1066. [Google Scholar] [CrossRef]
- Mansour, M.; Siddiqa, S.; Gorla, R.S.R.; Rashad, A. Effects of heat source and sink on entropy generation and MHD natural convection of Al2O3-Cu/water hybrid nanofluid filled with square porous cavity. Therm. Sci. Eng. Prog. 2018, 6, 57–71. [Google Scholar] [CrossRef]
- Ashorynejad, H.R.; Shahriari, A. MHD natural convection of hybrid nanofluid in an open wavy cavity. Results Phys. 2018, 9, 440–455. [Google Scholar] [CrossRef]
- Ghadikolaei, S.; Hosseinzadeh, K.; Hatami, M.; Ganji, D.D. MHD boundary layer analysis for micropolar dusty fluid containing Hybrid nanoparticles (Cu-Al2O3) over a porous medium. J. Mol. Liq. 2018, 268, 813–823. [Google Scholar] [CrossRef]
- Chamkha, A.; Dogonchi, A.; Ganji, D. Magnetohydrodynamic nanofluid natural convection in a cavity under thermal radiation and shape factor of nanoparticles impacts: A numerical study using CVFEM. Appl. Sci. 2018, 8, 2396. [Google Scholar] [CrossRef]
- Mozaffari, S.; Tchoukov, P.; Atias, J.; Czarnecki, J.; Nazemifard, N. Effect of asphaltene aggregation on rheological properties of diluted athabasca bitumen. Energy Fuels 2015, 29, 5595–5599. [Google Scholar] [CrossRef]
- Darjani, S.; Koplik, J.; Pauchard, V. Extracting the equation of state of lattice gases from random sequential adsorption simulations by means of the Gibbs adsorption isotherm. Phys. Rev. E 2017, 96, 052803. [Google Scholar] [CrossRef]
- Mozaffari, A.; Sharifi-Mood, N.; Koplik, J.; Maldarelli, C. Self-diffusiophoretic colloidal propulsion near a solid boundary. Phys. Fluids 2016, 28, 053107. [Google Scholar] [CrossRef]
- Mozaffari, S.; Tchoukov, P.; Mozaffari, A.; Atias, J.; Czarnecki, J.; Nazemifard, N. Capillary driven flow in nanochannels—Application to heavy oil rheology studies. Colloids Surf. A Physicochem. Eng. Asp. 2017, 513, 178–187. [Google Scholar]
- Hosseini, S.B.; Khoshkhoo, R.H.; Malabad, S.J. Numerical study on polydisperse particle deposition in a compact heat exchanger. Appl. Therm. Eng. 2017, 127, 330–346. [Google Scholar] [CrossRef]
- Liu, Y.; Lei, C.; Patterson, J.C. Natural convection in a differentially heated cavity with two horizontal adiabatic fins on the sidewalls. Int. J. Heat Mass Transf. 2014, 72, 23–36. [Google Scholar] [CrossRef]
- Varol, Y.; Özgen, F. Effect of inclined thick fin on natural convection in a cavity heated from bottom. Comput. Fluid Dyn. 2015, 15, 47–55. [Google Scholar] [CrossRef]
- Kolsi, L.; Oztop, H.F.; Abu-Hamdeh, N.; Alghamdi, A.; Borjini, M.N. Three dimensional analysis of natural convection and entropy generation in a sharp edged finned cavity. Alex. Eng. J. 2016, 55, 991–1004. [Google Scholar] [CrossRef]
- Elatar, A.; Teamah, M.A.; Hassab, M.A. Numerical study of laminar natural convection inside square enclosure with single horizontal fin. Int. J. Therm. Sci. 2016, 99, 41–51. [Google Scholar] [CrossRef]
- Ma, J.; Xu, F. Unsteady natural convection and heat transfer in a differentially heated cavity with a fin for high Rayleigh numbers. Appl. Therm. Eng. 2016, 99, 625–634. [Google Scholar] [CrossRef]
- Azimifar, A.; Payan, S. Optimization of characteristics of an array of thin fins using PSO algorithm in confined cavities heated from a side with free convection. Appl. Therm. Eng. 2017, 110, 1371–1388. [Google Scholar] [CrossRef]
- Torabi, M.; Keyhani, A.; Peterson, G. A comprehensive investigation of natural convection inside a partially differentially heated cavity with a thin fin using two-set lattice Boltzmann distribution functions. Int. J. Heat Mass Transf. 2017, 115, 264–277. [Google Scholar]
- Imani, G. Three dimensional lattice Boltzmann simulation of steady and transient finned natural convection problems with evaluation of different forcing and conjugate heat transfer schemes. Comput. Math. Appl. 2017, 74, 1362–1378. [Google Scholar] [CrossRef]
- Hatami, M. Numerical study of nanofluids natural convection in a rectangular cavity including heated fins. J. Mol. Liq. 2017, 233, 1–8. [Google Scholar] [CrossRef]
- Gao, D.; Chen, Z.; Zhang, D.; Chen, L. Lattice Boltzmann modeling of melting of phase change materials in porous media with conducting fins. Appl. Therm. Eng. 2017, 118, 315–327. [Google Scholar] [CrossRef]
- Ghalambaz, M.; Jamesahar, E.; Ismael, M.A.; Chamkha, A.J. Fluid-structure interaction study of natural convection heat transfer over a flexible oscillating fin in a square cavity. Int. J. Therm. Sci. 2017, 111, 256–273. [Google Scholar] [CrossRef]
- Alnaqi, A.A.; Aghakhani, S.; Pordanjani, A.H.; Bakhtiari, R.; Asadi, A.; Tran, M.-D. Effects of magnetic field on the convective heat transfer rate and entropy generation of a nanofluid in an inclined square cavity equipped with a conductor fin: Considering the radiation effect. Int. J. Heat Mass Transf. 2019, 133, 256–267. [Google Scholar] [CrossRef]
- Sarkar, J.; Ghosh, P.; Adil, A. A review on hybrid nanofluids: Recent research, development and applications. Renew. Sustain. Energy Rev. 2015, 43, 164–177. [Google Scholar] [CrossRef]
- Aly, A.M.; Raizah, Z.; Ahmed, S.E. Mixed Convection in a Cavity Saturated with Wavy Layer Porous Medium: Entropy Generation. J. Thermophys. Heat Transf. 2018, 32, 1–17. [Google Scholar] [CrossRef]
- Aly, A.M.; Ahmed, S.E.; Raizah, Z. Double-diffusive natural convection in a square porous cavity with sinusoidal distributions side walls filled with a nanofluid. J. Porous Media 2018, 21, 101–122. [Google Scholar] [CrossRef]
- Aly, A.M.; Raizah, Z.; Ahmed, S.E. Natural convection in an enclosure saturatedwith multilayer porous medium and nanofluid over circular cylinders: entropy generation. J. Porous Media 2018, 21, 1007–1024. [Google Scholar] [CrossRef]
- Aly, A.M. Double-diffusive natural convection in a non-darcy porous cavity filled with nanofluid under the effects of chemical reaction. J. Porous Media 2017, 20, 111–126. [Google Scholar] [CrossRef]
- Aly, A.M. Natural convection over circular cylinders in a porous enclosure filled with a nanofluid under thermo-diffusion effects. J. Taiwan Inst. Chem. Eng. 2017, 70, 88–103. [Google Scholar] [CrossRef]
- Ahmed, S.E.; Raizah, Z.A.S. Natural Convection Flow of Nanofluids in a Composite System with Variable-Porosity Media. J. Thermophys. Heat Transf. 2018, 32, 495–502. [Google Scholar] [CrossRef]
- Ahmed, S.E.; Elshehabey, H.M. Buoyancy-driven flow of nanofluids in an inclined enclosure containing an adiabatic obstacle with heat generation/absorption: Effects of periodic thermal conditions. Int. J. Heat Mass Transf. 2018, 124, 58–73. [Google Scholar] [CrossRef]
- Grosan, T.; Revnic, C.; Pop, I.; Ingham, D.B. Magnetic field and internal heat generation effects on the free convection in a rectangular cavity filled with a porous medium. Int. J. Heat Mass Transf. 2009, 52, 1525–1533. [Google Scholar] [CrossRef]





















| Property | Water | Copper (Cu) | Alumina (Al2O3) |
|---|---|---|---|
| (kg/m3) | 997.1 | 8933 | 3970 |
| (J/kg·K) | 4179 | 385 | 765 |
| (W/m·K) | 0.613 | 401 | 40 |
| (1/K) | 21 × 10−5 | 1.67 × 10−5 | 0.85 × 10−5 |
| Function | Grosan at al. [45] | Presents | Error |
|---|---|---|---|
| 3.5132 | 3.5338 | 0.58% | |
| 0.0985 | 0.097359 | 1.16% |
© 2019 by the author. Licensee MDPI, Basel, Switzerland. This article is an open access article distributed under the terms and conditions of the Creative Commons Attribution (CC BY) license (http://creativecommons.org/licenses/by/4.0/).
Share and Cite
Raizah, Z.A.S. Natural Convection of Dusty Hybrid Nanofluids in an Enclosure Including Two Oriented Heated Fins. Appl. Sci. 2019, 9, 2673. https://doi.org/10.3390/app9132673
Raizah ZAS. Natural Convection of Dusty Hybrid Nanofluids in an Enclosure Including Two Oriented Heated Fins. Applied Sciences. 2019; 9(13):2673. https://doi.org/10.3390/app9132673
Chicago/Turabian StyleRaizah, Zehba A.S. 2019. "Natural Convection of Dusty Hybrid Nanofluids in an Enclosure Including Two Oriented Heated Fins" Applied Sciences 9, no. 13: 2673. https://doi.org/10.3390/app9132673
APA StyleRaizah, Z. A. S. (2019). Natural Convection of Dusty Hybrid Nanofluids in an Enclosure Including Two Oriented Heated Fins. Applied Sciences, 9(13), 2673. https://doi.org/10.3390/app9132673

