Change Detection and Impact of Climate Changes to Iraqi Southern Marshes Using Landsat 2 MSS, Landsat 8 OLI and Sentinel 2 MSI Data and GIS Applications
Abstract
:1. Introduction
2. Materials and Methods
2.1. Study Area
2.2. Available Data
2.3. Methodology
- Acquisition of raw data for satellites Landsat 2, 8 and Sentinel 2 of the Marshlands area of the US Geological Survey site [22]. Landsat 2 images were obtained on 10 June 1977, and 3 August 1977; because there were no serial images. Landsat 8 images were also 2 October 2017 and 11 October 2017. Sentinel 2 was obtained on 2 and 3 October 2017.
- Merging the spectral bands of images for the study area to obtained composite images.
- Mosaic for the images of each satellite separately to get one large image while keeping all the data in it.
- Cutting the study area (Clip) from the resulting image of the mosaic.
- Calculation of the NDVI for each satellite image separately. This indicator is one of the most useful methods for monitoring and distinguishing vegetation from water. It depends on the relationship between the spectral bands NIR and Red band R, due to the high reflectivity of the plant in the NIR range and its low reflectivity in R (Red band) for the VIS spectrum. The value of the NDVI is between −1 and +1, where the value from −1 to 0 represents water and other surface types, while the plant represents values from 0 to +1. NDVI is calculated according to the following Equation [23]:
- The ArcGIS 10.4.1 program is used to perform the supervised classification process, which is the division of the image according to their digital elements (DN) values. This requires the availability of samples representing the categories of classification in certain areas of the image and the production of land cover maps for the study area. The calculation of the number of changes in the area of water and plants in the marshes of southern Iraq for 1977 and 2017
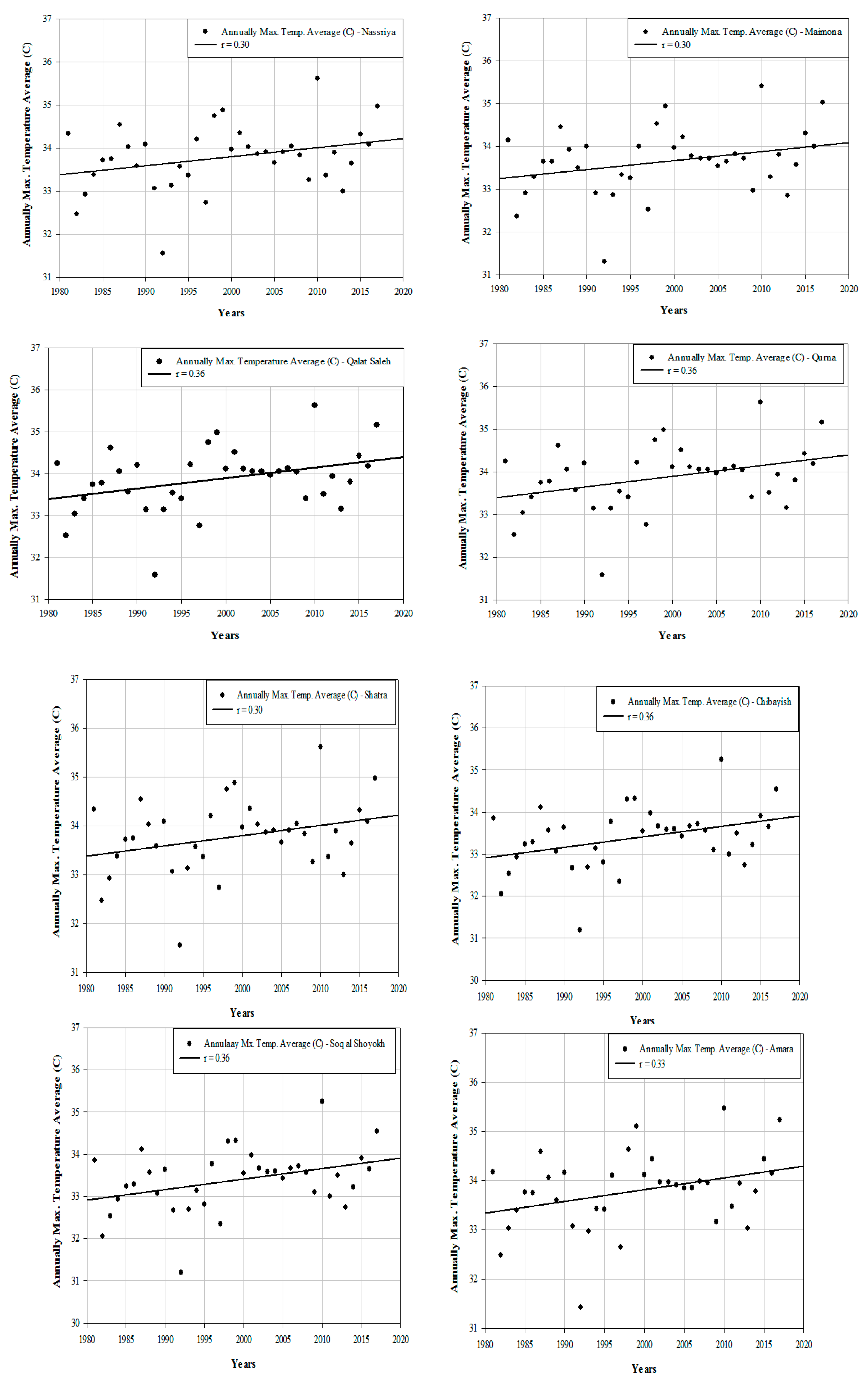
3. Results and Discussions
3.1. DEM
3.2. NDVI
3.3. Supervised Classification
4. Conclusions
Author Contributions
Funding
Conflicts of Interest
References
- Garstecki, T.; Amr, Z. Biodiversity and Ecosystem Management in the Iraqi Marshlands -Screening Study on Potential World Heritage Nomination; IUCN ROWA: Amman, Jordan, 2011; p. 189. [Google Scholar]
- Partow, H.; Jaquet, J. Iraqi Marshlands Observation System—UNEP Technical Report; UNEP: Nairobi, Kenya, 2006; p. 74. [Google Scholar]
- Beaumont, P. Restructuring of Water Usage in the Upper Euphrates Catchment of Turkey and Syria and Their Political and Economic Implications. In Transformations of Middle Eastern Natural Environments: Legacies and Lessons; Yale University Press: New Haven, CT, USA, 1998. [Google Scholar]
- Partow, H. The Mesopotamian Marshlands: Demise of An Ecosystem; UNEO/DEWA TG.01 -3; UNEP, Division of Early Warning and Assessment: Nairobi, Kenya, 2001. [Google Scholar]
- Lawler, A. Ecology—Reviving Iraq’s wetlands. Science 2005, 307, 1186–1189. [Google Scholar] [CrossRef] [PubMed]
- Canadian-Iraq Marshlands Initiative. Managing for Change. The Present and Future State of the Marshes of Southern Iraq; University of Victoria: Victoria, BC, Canada, 2010; p. 64. [Google Scholar]
- Canadian-Iraq Marshlands Initiative. Atlas of the Iraqi Marshes; University of Victoria: Victoria, BC, Canada, 2010; p. 72. [Google Scholar]
- Al-Hathal, Y.M. Drying the Marshlands and its Impact on the Different Climate Characteristics of Southern Iraq. J. Diyala Univ. 2009, 1–16. [Google Scholar]
- Coulibaly, N.; Coulibaly, T.J.; Mpakama, Z.; Savané, I. The Impact of Climate Change on Water Resource Availability in a Trans-Boundary Basin in West Africa: The Case of Sassandra. Hydrology 2018, 5, 13. [Google Scholar] [CrossRef]
- Papa, F.; Prigent, C.; Rossow, W.B. Monitoring flood and discharge variations in the large Siberian rivers from a multi-satellite technique. Surv. Geophys. 2008, 29, 297–317. [Google Scholar] [CrossRef]
- Feng, L.; Hu, C.M.; Chen, X.L.; Cai, X.B.; Tian, L.Q.; Gan, W.X. Assessment of inundation changes of Poyang Lake using MODIS observations between 2000 and 2010. Remote Sens. Environ. 2012, 121, 80–92. [Google Scholar] [CrossRef]
- Ogilvie1, A.; Belaud, G.; Massuel, S.; Mulligan, M.; Le Goulven, P.; Calvez, R. Surface water monitoring in small water bodies: Potential and limits of multi-sensor Landsat time series. J. Hydrol. Earth Syst. Sci. 2018, 22, 35. [Google Scholar]
- Topaloğlu, R.H.; Sertel, E.; Musaoğlu, N. Assessment of Classification Accuracies of Sentinel-2 and Landsat-8 Data for Land Cover/Use Mapping. In Proceedings of the International Archives of the Photogrammetry, Remote Sensing and Spatial Information Sciences, Volume XLI-B8, XXIII ISPRS Congress, Prague, Czech Republic, 12–19 July 2016. [Google Scholar]
- Immitzer, M.; Vuolo, F.; Atzberger, C. First Experience with Sentinel-2 Data for Crop and Tree Species Classifications in Central Europe. Remote Sens. 2016, 8, 27. [Google Scholar] [CrossRef]
- Abdul Jabbar, M.F.; Al-Ma’amar, A.F.; Shehab, A.T. Change Detections in Marsh Areas, South Iraq, Using Remote Sensing and GIS Applications. Iraqi Bull. Geol. Min. 2010, 6, 17–39. [Google Scholar]
- Amani, M.; Salehi, B.; Mahdavi, S.; Granger, J. Spectral Analysis of Wetlands in Newfoundland Using Sentinel 2a and Landsat 8 Imagery. In Proceedings of the IGTF 2017—Imaging & Geospatial Technology Forum 2017 ASPRS Annual Conference, Baltimore, MD, USA, 12–16 March 2017; p. 8. [Google Scholar]
- Jassim, A.Z.; Goff, J.C. Geology of Iraq; Dolin Publishers: Prague, Czech Republic, 2006; p. 340. [Google Scholar]
- Khalaf, A.G.; Mohammed, G.H.; Jaseem, A.A. Monitoring Change of Marshes in South of Iraq by Using Image Processing Techniques for Landsat Images Through Period From 1990 to 2015. J. Eng. Technol. 2016, 34, 261–274. [Google Scholar]
- STRM3 (Shuttle Radar Topography Mission). 2018. Available online: http://www.webgis.com/srtm3.html (accessed on 30 January 2019).
- Du, Z.Q.; Li, W.B.; Zhou, D.B.; Tian, L.Q.; Ling, F.; Wang, H.L.; Gui, Y.M.; Sun, B.Y. Analysis of Landsat-8 OLI imagery for land surface water mapping. Remote Sens. 2014, 5, 672–681. [Google Scholar] [CrossRef]
- European Space Agency (ESA). Sentinel-2 User Handbook; ESA Standard Document; ESA: Paris, France, 2015; p. 64.
- United States Geology Survey (USGS). 2018: Earth Explorer. Available online: http://earthexolorer.usgs.gov (accessed on 30 January 2019).
- Zhang, N.; Hong, Y.; Qin, Q.; Zhu, L. Evaluation of the Visible and Shortwave Infrared Drought Index in China. Int. J. Disaster Risk Sci. 2013, 4, 68–76. [Google Scholar] [CrossRef]










| Satellite | Sepectral Bands (µm) and Spatial Resolution (m) | Swath Area (Km) and Temporal Resolution | Launch and work period | Sensor | |
|---|---|---|---|---|---|
| Landsat-2 | Band 4 | 80 m Blue (0.5 to 0.6 µm) | 170 km x | 1975–1983 | MSS (Multispectral Scanner System) |
| Band 5 | 80 m Green (0.6 to 0.7 µm) | 185 km | |||
| Band 6 | 80 m Red (0.7 to 0.8 µm) | 16 days | |||
| Band 7 | 80 m NIR (0.8 to 1.1 µm) | ||||
| Band 1 | 30 m Visible (0.43 to 0.45 µm) | 170 km x | 2013–2015 | OLI (Operation Land Imager) | |
| Band 2 | 30 m Visible (0.53 to 0.59 µm) | 185 km | |||
| Band 3 | 30 m Red (0.64 to 0.67 µm) | 16 days | |||
| Band 4 | 30 m Blue (0.5 to 0.6 µm) | ||||
| Band 5 | 30 m Blue (0.5 to 0.6 µm) | ||||
| Lansat-8 | Band 6 | 30 m SWIR (1.57–1.65 µm) | |||
| Band 7 | 30 m SWIR (2.11–2.29 µm) | ||||
| Band 8 | 30 m Panchromatic (0.5–0.68 µm) | ||||
| Band 9 | 30 m Cirrus (1.36–1.38 µm) | ||||
| Band 10 | 100 m Thermal (10.6–11.19 µm) | ||||
| Band 11 | 100 m Thermal (11.5–12.51 µm) | ||||
| Band 1 | 60 m Visible (0.433 to 0.453 µm) | 290 km x 290 km 10 days | MS1 (Multispectral Scanner System) | ||
| Band 2 | 10 m Blue (0.458 to 0.523 µm) | ||||
| Band 3 | 10 m Green (0.543 to 0.573 µm) | ||||
| Band 4 | 10 m Red (0.650 to 0.680 µm) | ||||
| Band 5 | 20 m Red Edge (0.698 to 0.713 µm) | ||||
| Band 6 | 20 m Red Edge (0.733 to 0.748 µm) | ||||
| Sentinel-2 | Band 7 | 20 m Red Edge (0.765 to 0.785 µm) | |||
| Band 8 | 10 m NIR (0.930 to 0.950 µm) | ||||
| Band 8A | 20 m Red Edge (0.855 to 0.875 µm) | ||||
| Band 9 | 60 m NIR (0.930 to 0.950 µm) | ||||
| Band 10 | 60 m Cirrus (1.365–1.385 µm) | ||||
| Band 11 | 20 m SWIR (1.565–1.655 µm) | ||||
| Band 12 | 20 m SWIR (2100–2.280 µm) | ||||
© 2019 by the authors. Licensee MDPI, Basel, Switzerland. This article is an open access article distributed under the terms and conditions of the Creative Commons Attribution (CC BY) license (http://creativecommons.org/licenses/by/4.0/).
Share and Cite
Hashim, B.M.; Sultan, M.A.; Attyia, M.N.; Al Maliki, A.A.; Al-Ansari, N. Change Detection and Impact of Climate Changes to Iraqi Southern Marshes Using Landsat 2 MSS, Landsat 8 OLI and Sentinel 2 MSI Data and GIS Applications. Appl. Sci. 2019, 9, 2016. https://doi.org/10.3390/app9102016
Hashim BM, Sultan MA, Attyia MN, Al Maliki AA, Al-Ansari N. Change Detection and Impact of Climate Changes to Iraqi Southern Marshes Using Landsat 2 MSS, Landsat 8 OLI and Sentinel 2 MSI Data and GIS Applications. Applied Sciences. 2019; 9(10):2016. https://doi.org/10.3390/app9102016
Chicago/Turabian StyleHashim, Bassim Mohammed, Maitham Abdullah Sultan, Mazin Najem Attyia, Ali A. Al Maliki, and Nadhir Al-Ansari. 2019. "Change Detection and Impact of Climate Changes to Iraqi Southern Marshes Using Landsat 2 MSS, Landsat 8 OLI and Sentinel 2 MSI Data and GIS Applications" Applied Sciences 9, no. 10: 2016. https://doi.org/10.3390/app9102016
APA StyleHashim, B. M., Sultan, M. A., Attyia, M. N., Al Maliki, A. A., & Al-Ansari, N. (2019). Change Detection and Impact of Climate Changes to Iraqi Southern Marshes Using Landsat 2 MSS, Landsat 8 OLI and Sentinel 2 MSI Data and GIS Applications. Applied Sciences, 9(10), 2016. https://doi.org/10.3390/app9102016

