Illuminance Reconstruction of Road Lighting in Urban Areas for Efficient and Healthy Lighting Performance Evaluation
Abstract
Featured Application
Abstract
1. Introduction
2. Road Lighting Distributions
2.1. Simulated Road Lighting Scenes
2.2. Real Road Lighting Scenes
3. A Rule-of-Thumb Model of Road Lighting Illuminance Distributions
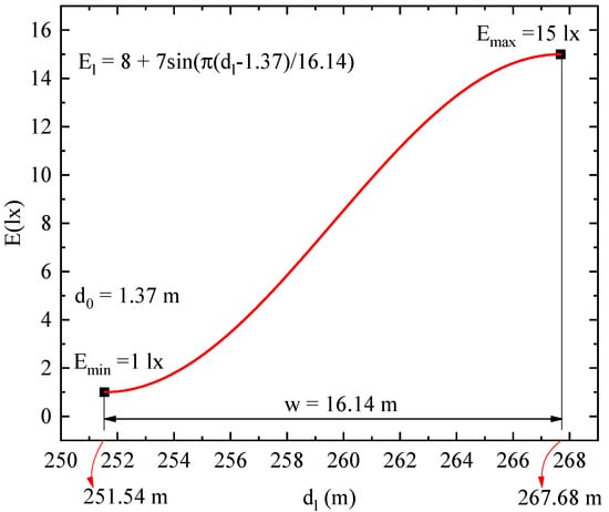
3.1. Illuminance Distributions and Modelling in the Longitudinal Direction
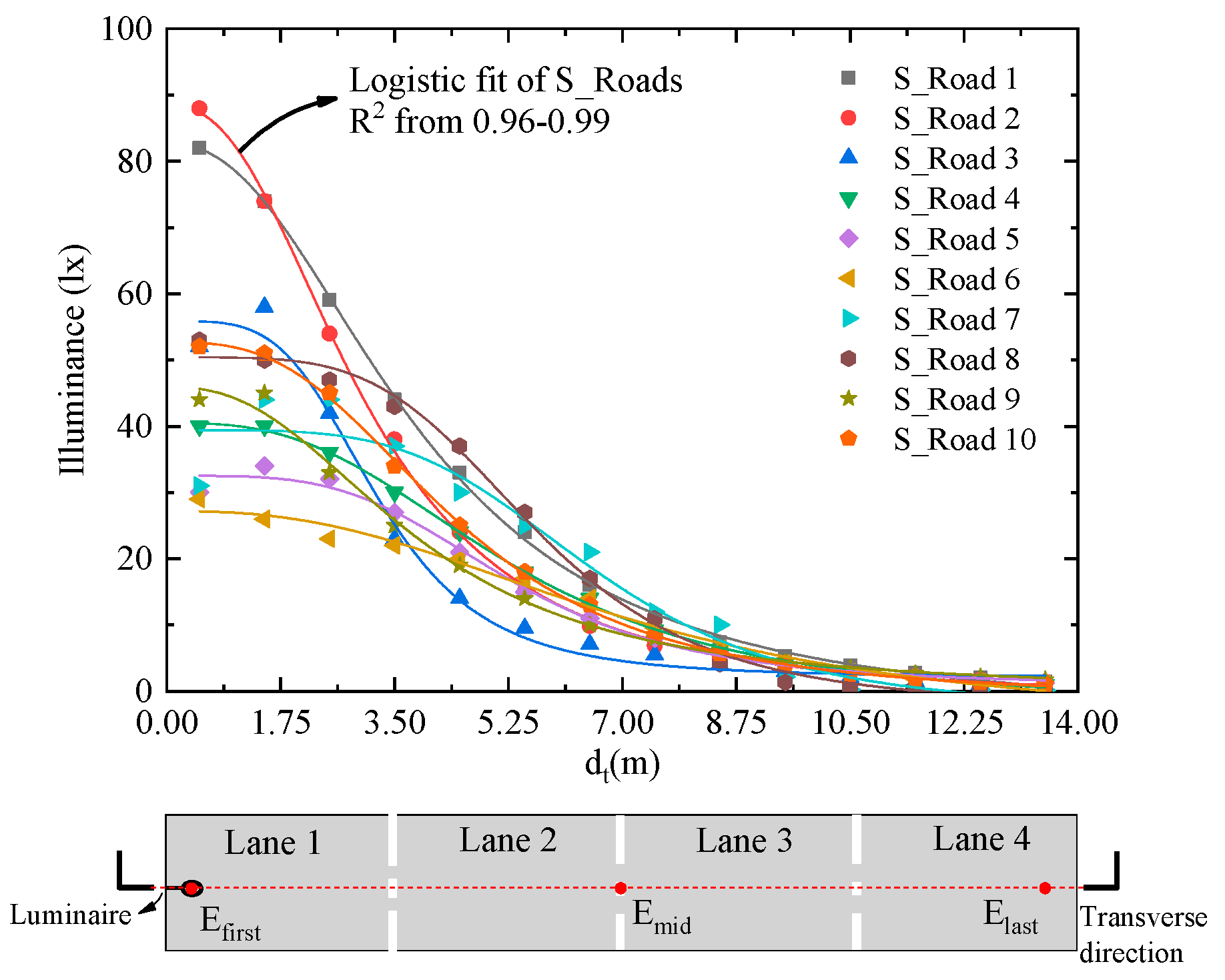
3.2. Illuminance Distributions and Modelling in the Transverse Direction
3.3. Illuminance Construction of Simulated Road Lighting Scenes
3.4. Verifications with Real Road Lighting Scenes
4. Application
5. Discussion
6. Conclusions
Author Contributions
Funding
Acknowledgments
Conflicts of Interest
References
- Boyce, P.R.; Fotios, S.; Richards, M. Road lighting and energy saving. Light. Res. Technol. 2009, 41, 245–260. [Google Scholar] [CrossRef]
- Yao, Q.; Sun, Y.; Lin, Y. Research on Facial Recognition and Color Identification under CMH and HPS Lamps for Road Lighting. LEUKOS 2009, 6, 169–178. [Google Scholar] [CrossRef]
- Rea, M.S.; Bullough, J.D.; Akashi, Y. Several views of metal halide and high-pressure sodium lighting for outdoor applications. Light. Res. Technol. 2009, 41, 297–320. [Google Scholar] [CrossRef]
- Li, F.; Chen, D.; Song, X.; Chen, Y. LEDs: A Promising Energy-Saving Light Source for Road Lighting. APPEEC 2009, 1–3. [Google Scholar] [CrossRef]
- Fotios, S.; Monteiro, A.L.; Uttley, J. Evaluation of pedestrian reassurance gained by higher illuminances in residential streets using the day–dark approach. Light. Res. Technol. 2018. [Google Scholar] [CrossRef]
- Wanvik, P.O. Effects of road lighting: An analysis based on Dutch accident statistics 1987–2006. Accid. Anal. Prev. 2009, 41, 123–128. [Google Scholar] [CrossRef] [PubMed]
- Fotios, S.; Unwin, J.; Farrall, S. Road lighting and pedestrian reassurance after dark: A review. Light. Res. Technol. 2014, 47, 449–469. [Google Scholar] [CrossRef]
- Yao, Q.; Zhang, W.; Zhang, L.; Bian, Y. Establishing Functional Model of Photometric Performance of Trichromatic Light Sources in Chromaticity Diagrams. IEEE Photonics J. 2018, 10, 1–12. [Google Scholar] [CrossRef]
- Kostic, M.; Djokic, L.; Pojatar, D.; Strbac-Hadzibegovic, N. Technical and economic analysis of road lighting solutions based on mesopic vision. Build. Environ. 2009, 44, 66–75. [Google Scholar] [CrossRef]
- Ekrias, A.; Eloholma, M.; Halonena, L.; Song, X.; Zhang, X.; Wen, Y. Road lighting and headlights: Luminance measurements and automobile lighting simulations. Build. Environ. 2008, 43, 530–536. [Google Scholar] [CrossRef]
- BS EN 13201-3:2015. Road Lighting, Part 3: Calculation of Performance; BSI: London, UK, 2016. [Google Scholar]
- CIE 115:2010. Lighting of Roads for Motor and Pedestrian Traffic; CIE: Vienna, Austria, 2010. [Google Scholar]
- Gaston, K.J.; Gaston, S.; Bennie, J.; Hopkins, J. Benefits and costs of artificial nighttime lighting of the environment. Environ. Rev. 2015, 23, 14–23. [Google Scholar] [CrossRef]
- Uttley, J.; Fotios, S. Using the daylight savings clock change to show ambient light conditions significantly influence active travel. J. Environ. Psychol. 2017, 53, 1–10. [Google Scholar] [CrossRef]
- Jackett, M.; Frith, W. Quantifying the impact of road lighting on road safety-A New Zealand Study. IATSS Res. 2013, 36, 139–145. [Google Scholar] [CrossRef]
- UK Highways Agency. Design Manual for Roads and Bridges; Advice Note TA49/07; HMSO: London, UK, 2007.
- Jennifer, V. Light, Lighting, and Health: Issues for Consideration. LEUKOS 2005, 2, 85–96. [Google Scholar] [CrossRef]
- Bommel, V.W. From road lighting to city beautification. Ingineria iluminatului. Light. Eng. 2007, 9, 5–13. [Google Scholar]
- Tsao, Y.; Saunders, D.; Creighton, R.; Coltrin, E.; Simmons, J. Solid-state lighting: An energy-economics perspective. J. Phys. D Appl. Phys. 2010, 43, 17. [Google Scholar] [CrossRef]
- Leccese, F.; Salvadori, G.; Rocca, M. Critical analysis of the energy performance indicators for road lighting systems in historical towns of central Italy. Energy 2017, 138, 616–628. [Google Scholar] [CrossRef]
- Kuechly, H.U.; Kyba, C.C.M.; Ruhtz, T.; Lindemann, C.; Christian, W.; Fischer, J.; Hölkera, F. Aerial survey and spatial analysis of sources of light pollution in Berlin, Germany. Remote Sens. Environ. 2012, 126, 39–50. [Google Scholar] [CrossRef]
- Corte, A.V.; Castillo, J.L.S.; Castillo, A.M.; Gómez, J.M.P.; Gutierrez-Martinez, J.M. An Artificial Neural Network for Analyzing Overall Uniformity in Outdoor Lighting Systems. Energies 2017, 10, 175. [Google Scholar] [CrossRef]
- Beccali, M.; Bonomolo, M.; Ciulla, G.; Galatioto, A.; Lo Brano, V. Improvement of energy efficiency and quality of street lighting in South Italy as an action of Sustainable Energy Action Plans. The case study of Comiso (RG). Energy 2015, 92, 394–408. [Google Scholar] [CrossRef]
- CIE 191:2010. Recommended System for Mesopic Photometry Based on Visual Performance; CIE Central Bureau Kegelgasse: Vienna, Austria, 2010. [Google Scholar]
- Yao, Q. Application-dependent spectrum optimization of four-package LEDs. Light. Res. Technol. 2016, 48, 844–856. [Google Scholar] [CrossRef]
- Enezi, J.; Revell, V.; Brown, T.; Wynne, J.; Schlangen, L.; Lucas, R. A ‘Melanopic’ Spectral efficiency function predicts the sensitivity of melanopsin photoreceptors to polychromatic lights. J. Biol. Rhythm. 2011, 26, 314–323. [Google Scholar] [CrossRef] [PubMed]
- BS EN 13201-2:2003. Road Lighting—Part 2: Performance Requirements; BSI: London, UK, 2003. [Google Scholar]
- CJJ 45-2015. Standard for Lighting Design of Urban Road; China Architecture & Buliding Press: Beijing, China, 2015. [Google Scholar]
- Commission Internationale de l’Éclairage. Principales Decisions (6e Session, 1924), CIE Sixième Session, Genève, Juillet, 1924. Recueil des Travaux et Compte Rendu de Séances; Cambridge University Press: Cambridge, UK, 1926; pp. 67–69. [Google Scholar]
- Rea, M.S.; Figueiro, M.G. Light as a circadian stimulus for architectural lighting. Light. Res. Technol. 2018, 50, 497–510. [Google Scholar] [CrossRef]
- Lucas, R.J.; Peirson, S.N.; Berson, D.M.; Brown, T.M.; Cooper, H.M.; Czeisler, C.A.; Figueiro, M.G.; Gamlin, P.D.; Lockley, S.W.; O’Hagan, J.B.; et al. Measuring and using light in the melanopsin age. Trends Neurosci. 2014, 37, 1–9. [Google Scholar] [CrossRef] [PubMed]
- Gall, D.; Bieske, K. Definition and measurement of circadian radiometric quantities, light and health—Non-visual effects. In Proceedings of the CIE symposium, Vienna, Austria, 30 September–2 October 2004; pp. 129–132. [Google Scholar]
- Kitchin, R. The real-time city? Big data and smart urbanism. GeoJournal 2014, 79, 1–14. [Google Scholar] [CrossRef]
- Bennie, J.; Davies, T.W.; Inger, R.; Gaston, K.J. Mapping artificial lightscapes for ecological studies. Methods Ecol. Evol. 2014, 5, 534–540. [Google Scholar] [CrossRef]
- Paine, D.P.; Kiser, J.D. Aerial Photography and Image Interpretation; John Wiley & Sons: Hoboken, NJ, USA, 2012. [Google Scholar] [CrossRef]
- Elvidge, C.D.; Cinzano, P.; Pettit, D.R.; Arvesen, J.; Sutton, P.; Small, C.; Ebener, S. The Nightsat mission concept. Int. J. Remote Sens. 2007, 28, 2645–2670. [Google Scholar] [CrossRef]
- Kim, M.; Hong, S.H. Relationship between the reflected brightness of artificial lighting and land-use types: A case study of the University of Arizona campus. Landsc. Ecol. Eng. 2015, 11, 39–45. [Google Scholar] [CrossRef]
- Levin, N.; Phinn, S. Illuminating the capabilities of Landsat 8 for mapping night lights. Remote Sens. Environ. 2016, 182, 27–38. [Google Scholar] [CrossRef]
- Hale, J.D.; Davies, G.; Fairbrass, A.J.; Matthews, T.J.; Rogers, D.F.; Sadler, J.P. Mapping Lightscapes: Spatial Patterning of Artificial Lighting in an Urban Landscape. PLoS ONE 2013, 8, e61460. [Google Scholar] [CrossRef] [PubMed]
- CIE TN 007:2017. Interim Recommendation for Practical Application of the CIE System for Mesopic Photometry in Outdoor Lighting; CIE Central Bureau: Vienna, Austria, 2017. [Google Scholar]
- CIE 144:2001. Road Surface and Road Marking Reflection Characteristics; CIE Technical Report; CIE Central Bureau: Vienna, Austria, 2001; 35p. [Google Scholar]
- Uchida, T.; Ayama, M.; Akashi, Y.; Hara, N.; Kitano, T.; Kodaira, Y.; Sakai, K. Adaptation luminance simulation for CIE mesopic photometry system implementation. Light. Res. Technol. 2016, 48, 14–25. [Google Scholar] [CrossRef]
- CIE TN 004:2016. The Use of Terms and Units in Photometry–Implementation of the CIE System for Mesopic Photometry; CIE Technical Report; CIE Central Bureau: Vienna, Austria, 2016; 115p. [Google Scholar]
- BS EN 13201-2:2015. Road Lighting; Performance Requirements; BSI: London, UK, 2015. [Google Scholar]
- Figueiro, M.; Rea, M.S. Quantifying Circadian Light and Its Impact. 2017. Available online: https://www.archlighting.com/technology/quantifying-circadian-light-and-its-impact_o (accessed on 18 August 2018).
















| Road Types | Minimum Illuminance (lx) | Average Illuminance (lx) | U0 | Mean Difference |
|---|---|---|---|---|
| S-single | 5.5 | 18.0 | 0.31 | / |
| R-single | 5.8 | 19.6 | 0.30 | 15.2% |
| Difference | 5.1% | 8.9% | 3.2% | / |
| S-staggered | 16.0 | 27.9 | 0.57 | / |
| R-staggered | 16.0 | 29.3 | 0.55 | 10.5% |
| Difference | 0.0% | 5.0% | 3.5% | / |
| S-double | 10.0 | 22.4 | 0.45 | / |
| R-double | 10.3 | 26.4 | 0.39 | 19.0% |
| Difference | 3.0% | 17.8% | 11.3% | / |
| Road Types | Minimum Illuminance (lx) | Average Illuminance (lx) | U0 | Mean Difference |
|---|---|---|---|---|
| Real-single | 19.6 | 37.4 | 0.52 | / |
| R-single | 21.5 | 38.2 | 0.56 | 6.0% |
| Difference | 9.7% | 2.1% | 7.7% | / |
| Real-double | 10.3 | 20.4 | 0.50 | / |
| R-double | 11.8 | 21.8 | 0.53 | 11.6% |
| Difference | 14.6% | 6.9% | 6.0% | / |
© 2018 by the authors. Licensee MDPI, Basel, Switzerland. This article is an open access article distributed under the terms and conditions of the Creative Commons Attribution (CC BY) license (http://creativecommons.org/licenses/by/4.0/).
Share and Cite
Yao, Q.; Wang, H.; Uttley, J.; Zhuang, X. Illuminance Reconstruction of Road Lighting in Urban Areas for Efficient and Healthy Lighting Performance Evaluation. Appl. Sci. 2018, 8, 1646. https://doi.org/10.3390/app8091646
Yao Q, Wang H, Uttley J, Zhuang X. Illuminance Reconstruction of Road Lighting in Urban Areas for Efficient and Healthy Lighting Performance Evaluation. Applied Sciences. 2018; 8(9):1646. https://doi.org/10.3390/app8091646
Chicago/Turabian StyleYao, Qi, Hongbing Wang, Jim Uttley, and Xiaobo Zhuang. 2018. "Illuminance Reconstruction of Road Lighting in Urban Areas for Efficient and Healthy Lighting Performance Evaluation" Applied Sciences 8, no. 9: 1646. https://doi.org/10.3390/app8091646
APA StyleYao, Q., Wang, H., Uttley, J., & Zhuang, X. (2018). Illuminance Reconstruction of Road Lighting in Urban Areas for Efficient and Healthy Lighting Performance Evaluation. Applied Sciences, 8(9), 1646. https://doi.org/10.3390/app8091646

