Weathering Process of In Situ Granite and Particle Breakage Characteristics of Compacted Weathered Granite
Abstract
1. Introduction
2. Quantitative Index for Measuring Weathering Process and Particle Breakage
2.1. Quantitative Index for Measuring Weathering Process of Granite
- (1)
- In a state of weathering, the retained percentage of soil show statistically geometric progressional distribution, it is constant r (0 ≤ r ≤ 1).
- (2)
- The decomposed granite soil, which passed geological time of y0 years, was sieved by one series of sieves with sieve ratio of λ.
- (3)
- The percent retained of nth sieve from maximum particle size Dmax toward smaller size, is expresses as (1−r)·rn−1.
- (1)
- The position of n on the horizontal axis in Figure 1 must be determined. Applying Dmax, the maximum particle size by actual measurement, and , the sieve ratio assuming Tyler Series, is obtained from Equation (2). Using this relation and combining with particle size Dn on the horizontal axis, graduation of n scale in figure is possible. Depending on the n scale, read the value of percent passing pn on vertical axis corresponding to integer n (dotted line in figure). Then, obtain the percent retained qn.
- (2)
- Obtain mean μ and variance σ2 by the following equation:
2.2. Quantitative Index for Measuring Particle Breakage
3. Specimen Preparation and Test Methods
3.1. X-ray Diffraction Test
3.2. Sieving Test and Specific Gravity Test
3.3. Heavy Compaction Test
3.4. Large-Scale Triaxial Test
3.5. Field Compaction Test
4. Test Results and Discussion
4.1. Weathering Process
4.2. Particle Breakage Characteristics
4.2.1. Particle Gradation
4.2.2. Mineral Content (Quartz and Feldspar)
4.2.3. Blows per Layer (Compaction Degree)
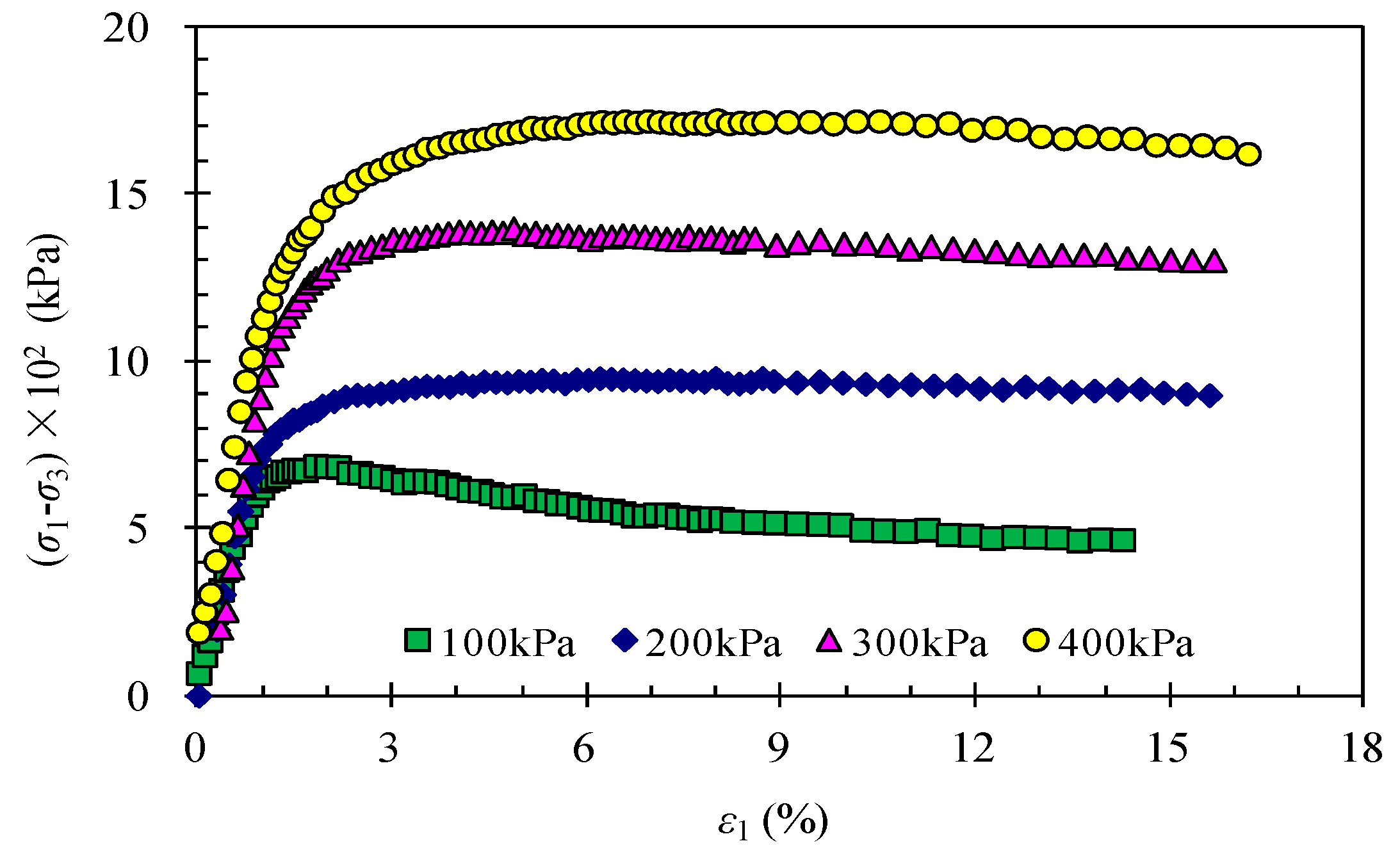
4.2.4. Stress Level
4.2.5. Rolling Passes of Field Vibration Compaction
5. Conclusions
- A preliminary relationship between weathering process parameters (m and r) and burying depth (h) is established to improve the understanding of weathering process and degree of rock by using previous grading equation. With an increase in burying depth of weathered granite, the geological year’s parameter (m) decrease by power function, but the geometric progression constants (r) increase by power function. The exponent of power function in this research can be used to evaluate the weathering process of weathered granite.
- After the heavy compaction test for samples with difference Cu were carried out, The uniformity coefficient Cu can be used to effectively reflect the influence of particle size distribution on soil particle breakage characteristics. The reasonable particle size distribution (e.g., intergranular locking structure) can reduce the potential of particle breakage of coarse-grained soil similar to weathered granite and improve the stability of subgrade filled with coarse-grained soil.
- Because different minerals have different strength and hardness, the mineral composition and content in weathered granite have a significant effect on the particle breakage characteristics of compacted weathered granite. This provides a relatively reliable reference for selecting high-strength and durable subgrade fillings.
- The compaction effect during embankment compaction has a significant effect on the particle breakage properties of weathered granite. With the further increase of compaction effect, Br will tend toward a certain limit value.
- At the lower stress level, the compacted weathered granite shows obvious particle breakage characteristics. There is a significant positive correlation between stress level and particle breakage. Under the same axial strain (e.g., 15%), the higher confining pressure promotes strain confinement and results in further particle breakage of compacted rock samples.
- The thickness of loose paving layers and the number of rolling passes obviously affect the particle breakage characteristics of weathered granite fillings. Excessive compaction may lead to a slight decrease in the degree of compaction of embankment, which road engineers should pay attention to. Before the subgrade is formally filled with weathered granite, the subgrade test section should be paved in order to determine the best mechanical assembly, reasonable construction technology, and reliable quality-control measures, and to prevent over-compaction from a decrease in the degree of compaction, affecting the overall stability of the subgrade.
- Given that wet conditions may influence the evolution of embankments after construction, future extensive research should be focused on dynamic measurement methods of particle breakage and long-term behavior degradation analysis of subgrade as a result of further weathering and particle breakage [29,30,31]. Analyzing the weathering mechanism and particle breakage characteristics of rock by using fracture mechanics is still a challenging task, so researchers and engineers should pay more attention to the weathering mechanism of granite by means of fracture mechanics and micromechanics and evaluate the stability and safety of the subgrade filled with weathered granite by using safe rock theory in the future.
Author Contributions
Funding
Acknowledgments
Conflicts of Interest
Abbreviations
| Bp | breakage potential |
| Br | relative breakage |
| Bt | total breakage |
| Cu | uniformity coefficient that is (d60/d10) |
| D | particle diameter |
| Dmax | maximum grain size |
| Dn | particle size |
| bp | potential for breakage of given size fraction |
| bpl | value of bp after loading |
| bpo | value of bp before loading |
| d10 | 10 percent diameter |
| d60 | 60 percent diameter |
| h | depth of mountain profile |
| m | geological year’s parameter |
| n | ordinal number of a series of sieves with sieve ratio λ (counted from maximum opening side) |
| p | mean stress |
| pn | value of percent passing |
| q | deviator stress that is (σ1–σ3) |
| qn | value of percent retained |
| r | geometric progression constant |
| y0 | geological time unit |
| ε1 | axial strain |
| εv | volumetric strain |
| λ | sieve ratio |
| σ1 | maximum principal stress that is the axial stress in triaxial tests |
| σ3 | minimum principal stress that is the confining stress |
| σ2 | variance |
References
- Fukumoto, T. A grading equation for decomposed granite soil. Soils Found. 1990, 30, 27–34. [Google Scholar] [CrossRef]
- Miura, N.; Murata, H.; Yasufuku, N. Stress-strain characteristic of sand in a particle-crushing region. Soils Found. 1984, 24, 77–89. [Google Scholar] [CrossRef]
- Saberi, M.; Annan, C.D.; Konrad, J.M. Constitutive modeling of gravelly soil-structure interface considering particle breakage. J. Eng. Mech. 2017, 143, 04017044. [Google Scholar] [CrossRef]
- Niu, X.R.; Yao, Y.P.; Chen, Z.D. The strength and constitutive model of compacted weathered granite soils in Lüliang Mountains. Rock Soil Mech. 2017, 38, 2833–2840, 2846. [Google Scholar] [CrossRef]
- Yu, F. Particle breakage and the drained shear behavior of sands. Int. J. Geomech. 2017, 17, 04017041. [Google Scholar] [CrossRef]
- Terzaghi, K.; Peck, R.B. Soil Mechanics in Engineering Practice; Wiley: New York, NY, USA, 1948. [Google Scholar]
- Leslie, D.D. Large scale triaxial tests on gravelly soils. In Proceedings of the 2nd Pan-American Conference on Soil Mechanics and Foundation Engineering, Rio de Janeiro, Brazil, 16–24 July 1963; Associacao Brasileira de Mecanica dos Solos: São Paulo, Brazil, 1963; Volume 1, pp. 181–202. [Google Scholar]
- Leslie, D.D. Shear Strength of Rockfill, Physical Properties. Engineering Study No. 526; South Pacific Division, Corps of Engineers Laboratory: Sausalito, CA, USA, 1975; p. 124. [Google Scholar]
- Marsal, R.J. Discussion of Shear Strength. In Proceedings of the 6th International Conference on Soil Mechanics and Foundation Engineering, Montreal, QC, Canada, 8–15 September 1963; Volume 3, pp. 310–316. [Google Scholar]
- Marsal, R.J. Large scale testing of rockfill materials. J. Soil Mech. Found. Div. 1967, 93, 27–43. [Google Scholar]
- Lee, K.L.; Farhoomand, I. Compressibility and crushing of granular soils in anisotropic triaxial compression. Can. Geotech. J. 1967, 4, 68–86. [Google Scholar] [CrossRef]
- Fukumoto, T. Effect of particle breakage on compaction of decomposed granite soils. Soils Found. 1972, 12, 55–63. [Google Scholar] [CrossRef]
- Miura, N.; O-Hara, S. Particle-Crushing of a Decomposed Granite Soil under Shear Stresses. Soils Found. 1979, 19, 1–14. [Google Scholar] [CrossRef]
- Hardin, B.O. Crushing of Soil Particles. J. Geotech. Eng. 1985, 111, 1177–1192. [Google Scholar] [CrossRef]
- Einav, I. Breakage mechanics-Part I: Theory. J. Mech. Phys. Solids 2007, 55, 1274–1297. [Google Scholar] [CrossRef]
- Zhang, S.; Tong, C.X.; Li, X.; Sheng, D.C. A new method for studying the evolution of particle breakage. Géotechnique 2015, 65, 911–922. [Google Scholar] [CrossRef]
- Liu, H.L.; Sun, Y.F.; Yang, G.; Chen, Y.M. A review of particle breakage characteristics of coarse aggregates. J. Hohai Univ. 2012, 40, 361–369. [Google Scholar] [CrossRef]
- Miura, N.; Yamanouchi, T. Particle-crushing properties of sands under high stresses. Technol. Rep. Ymaguchi Univ. 1976, 1, 439–447. [Google Scholar]
- Hagerty, M.M. One-dimensional high-pressure compression of granular media. J. Geotech. Eng. 1993, 119, 1–18. [Google Scholar] [CrossRef]
- Mun, W.; McCartney, J.S. Roles of particle breakage and drainage in the isotropic compression of sand to high pressures. J. Geotech. Geoenviron. Eng. 2017, 143, 04017071-1–04017071-14. [Google Scholar] [CrossRef]
- De Bono, J.P.; Mcdowell, G.R. On the micro mechanics of yielding and hardening of crushable granular soils. Comput. Geotech. 2018, 97, 167–188. [Google Scholar] [CrossRef]
- Liu, M.C.; Gao, Y.F. Constitutive modeling of coarse-grained materials incorporating the effect of particle breakage on critical state behavior in a framework of generalized plasticity. Int. J. Geomech. 2017, 17, 04016113. [Google Scholar] [CrossRef]
- Wang, H.C.; Kang, J.L.; Xiao, Z.B.; Xiang, Z.Q.; Li, J.R.; Sun, Y.W.; Shi, J.R.; Zhang, J.H. Neoarchean subduction in North China Craton: New evidence from the metamorphic high-Mg igneous assemblage in Yunzhognshan area, Shanxi Province. Acta Petrol. Sin. 2018, 34, 1099–1118. [Google Scholar]
- Ministry of Transport of the People’s Republic of China. JTG E40-2007 Test Methods of Soils for Highway Engineering; China Communications Press: Beijing, China, 2007.
- Schofield, A.N. Disturbed Soil Properties and Geotechnical Design; Thomas Telford: London, UK, 2006. [Google Scholar]
- China Electricity Council. DL/T 5356-2006 Code for Coarse-Grained Soil Tests for Hydropower and Water Conservancy Engineering; China Electric Power Press: Beijing, China, 2006. [Google Scholar]
- Ministry of Transport of the People’s Republic of China. JTG E60-2008 Field Test Methods of Subgrade and Pavement for Highway Engineering; China Communications Press: Beijing, China, 2008.
- Yang, R.F.; Zeng, J.Y.; Dong, L. Compacting mechanism and features of aeolian sands. J. Chang’an Univ. (Nat. Sci. Ed.) 2011, 31, 21–22. [Google Scholar]
- Wang, W.; Coop, M.R. An investigation of breakage behaviour of single sand particles using a high-speed microscope camera. Géotechnique 2016, 66, 1–15. [Google Scholar] [CrossRef]
- Niu, X.; Xie, H.; Sun, Y.; Yao, Y. Basic physical properties and mechanical behavior of compacted weathered granite soils. Int. J. Geomech. 2017, 17, 04017082. [Google Scholar] [CrossRef]
- Konrad, J.M.; Salami, Y. Particle breakage in granular materials—A conceptual framework. Can. Geotech. J. 2018, 55, 710–719. [Google Scholar] [CrossRef]


























| Type of Sample | Weight of Mineral Composition, % | |||||||
|---|---|---|---|---|---|---|---|---|
| Quartz | Plagioclase Feldspar | Potassium Feldspar | Mica | Hematite | Amphibole | Vermiculite | Unknown | |
| Gray | 77 | 11 | 8 | 2 | 1 | 0 | 0 | 1 |
| Yellow-brown | 32 | 35 | 28 | 2 | 0 | 2 | 0 | 1 |
| Red-brown | 12 | 36 | 45 | 0 | 0 | 4 | 2 | 1 |
| Type of Test | Diameter of Rammer Bottom, cm | Weight of Rammer, kg | Drop Height, cm | Size of Mold, cm | Size of Sample | No. of Layers | No. of Blows per Layer | Compaction Effort, kJ/ cm3 | ||
|---|---|---|---|---|---|---|---|---|---|---|
| Internal Diameter | Height | Height, cm | Volume, cm3 | |||||||
| Ⅱ-2 | 5 | 4.5 | 45 | 15.2 | 17 | 12 | 2177 | 3 | 98 | 2677.2 |
| Type of Parameter | Name of Parameter | Value of Parameter |
|---|---|---|
| Quality/Pressure parameter | Working quality of whole machine, kg | 20,000 |
| Distributed quality of vibration wheel, kg | 10,000 | |
| Distributed quality of drive axle, kg | 10,000 | |
| Net line pressure of vibratory wheel, kg/cm | 470 | |
| Size parameter | Diameter of vibration wheel, mm | 1600 |
| Width of vibration wheel, mm | 2130 | |
| Rim thickness of vibration wheel, mm | 40 | |
| Working parameter | Vibration frequency, Hz | 29 |
| Vibration amplitude, mm | 1.9 | |
| Excitation force, kN | 368 | |
| Rolling speed, km/h | 5 |
© 2018 by the authors. Licensee MDPI, Basel, Switzerland. This article is an open access article distributed under the terms and conditions of the Creative Commons Attribution (CC BY) license (http://creativecommons.org/licenses/by/4.0/).
Share and Cite
Niu, X.; Yao, Y.; Sun, Y.; Luo, Z. Weathering Process of In Situ Granite and Particle Breakage Characteristics of Compacted Weathered Granite. Appl. Sci. 2018, 8, 1108. https://doi.org/10.3390/app8071108
Niu X, Yao Y, Sun Y, Luo Z. Weathering Process of In Situ Granite and Particle Breakage Characteristics of Compacted Weathered Granite. Applied Sciences. 2018; 8(7):1108. https://doi.org/10.3390/app8071108
Chicago/Turabian StyleNiu, Xirong, Yangping Yao, Yanfang Sun, and Zuolong Luo. 2018. "Weathering Process of In Situ Granite and Particle Breakage Characteristics of Compacted Weathered Granite" Applied Sciences 8, no. 7: 1108. https://doi.org/10.3390/app8071108
APA StyleNiu, X., Yao, Y., Sun, Y., & Luo, Z. (2018). Weathering Process of In Situ Granite and Particle Breakage Characteristics of Compacted Weathered Granite. Applied Sciences, 8(7), 1108. https://doi.org/10.3390/app8071108

