Surface Waves Propagating on Grounded Anisotropic Dielectric Slab
Abstract
:1. Introduction
2. Characteristics of Surface Waves Propagating on Grounded Anisotropic Slab
2.1. Infinitely Large Anisotropic Grounded Slab
2.1.1. TM Mode Surface Wave
2.1.2. TE Mode Surface Wave
2.1.3. Hybrid Mode Surface Wave
2.2. Finite-Width Anisotropic Grounded Slab
3. Numerical Analysis
3.1. Comparion of Different Methods
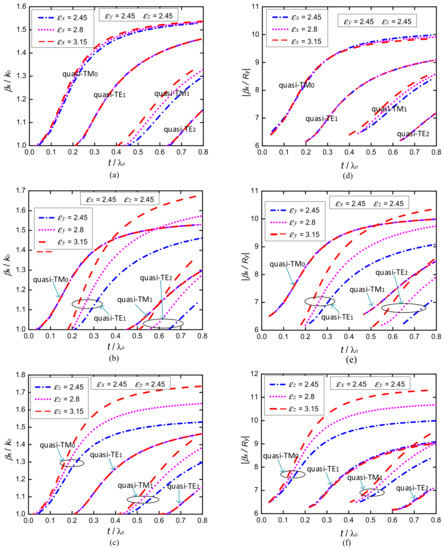
3.2. Effects of Permittivity Tensor on Propagation Characteristics of Surface Waves
3.3. Field Distributions of Surface Waves
4. Conclusions
Author Contributions
Conflicts of Interest
Appendix A. Derivation of Surface Waves Uniformly Distributed on Grounded Anisotropic Slab
Appendix B. Derivation of Surface Wave Modes Based on Marcatili’s Method
References
- Dyakonov, M.I. New type of electromagnetic wave propagating at an interface. Sov. Phys. JETP 1988, 67, 714–716. [Google Scholar]
- Artigas, D.; Torner, L. Dyakonov surface waves in photonic metamaterials. Phys. Rev. Lett. 2005, 94, 013901. [Google Scholar] [CrossRef] [PubMed]
- Chen, S.; Shen, Z.; Wu, W. Analysis of dyakonov surface waves existing at the interface of an isotropic medium and a conductor-backed uniaxial slab. J. Opt. Soc. Am. A 2014, 31, 1923–1930. [Google Scholar] [CrossRef] [PubMed]
- Pozar, D.M. Microwave Engineering, 3rd ed.; Wiley: New York, NY, USA, 2005. [Google Scholar]
- Liu, S.H.; Liang, C.H.; Ding, W.; Chen, L.; Pan, W.T. Electromagnetic wave propagation through a slab waveguide of uniaxially anisotropic dispersive metamaterial. Prog. Electromagn. Res. 2007, 76, 467–475. [Google Scholar] [CrossRef]
- Nevels, R.D.; Michalski, K.A. On the behavior of surface plasmons at a metallo-dielectric interface. J. Lightware Technol. 2014, 32, 3299–3305. [Google Scholar] [CrossRef]
- Smith, D.R.; Schurig, D. Electromagnetic wave propagation in media with indefinite permittivity and permeability tensors. Phys. Rev. Lett. 2003, 90, 077405. [Google Scholar] [CrossRef] [PubMed]
- Yan, W.; Shen, L.; Ran, L.; Kong, J.A. Surface modes at the interfaces between isotropic media and indefinite media. J. Opt. Soc. Am. A 2007, 24, 530–535. [Google Scholar] [CrossRef]
- Volakis, J.L. Antenna Engineering Handbook, 4th ed.; McGraw-Hill: New York, NY, USA, 2007. [Google Scholar]
- Knoesen, A.; Gaylord, T.K.; Moharam, M.G. Hybrid guided modes in uniaxial dielectric planar waveguides. J. Lightware Technol. 1988, 6, 1083–1104. [Google Scholar]
- Maldonado, T.A.; Gaylord, T.K. Hybrid guided modes in biaxial planar waveguides. J. Lightware Technol. 1996, 14, 486–499. [Google Scholar] [CrossRef]
- Seshadri, S.R.; Pickard, W.F. Surface waves on an anisotropic plasma sheath. IEEE Trans. Microw. Theory Tech. 1964, 12, 529–541. [Google Scholar] [CrossRef]
- Engheta, N.; Pelet, P. Surface waves in chiral layers. Opt. Lett. 1991, 16, 723–725. [Google Scholar]
- Rockstuhl, C.; Lederer, F. Intrinsic surface and bulk defected modes in quasi-periodic photonic crystals. J. Lightware Technol. 2007, 25, 2299–2305. [Google Scholar] [CrossRef]
- Attwood, S.S. Surface-wave propagation over a coated plane conductor. J. Appl. Phys. 1951, 22, 504–509. [Google Scholar] [CrossRef]
- Liu, S.; Chen, L.; Liang, C. Guided modes in a grounded slab waveguide of uniaxially anisotropic left-handed material. Microw. Opt. Technol. Lett. 2007, 49, 1644–1648. [Google Scholar] [CrossRef]
- Baccarelli, P.; Burghignoli, P.; Frezza, F.; Galli, A.; Lampariello, P.; Lovat, G.; Paulotto, S. Fundamental modal properties of surface waves on metamaterial grounded slabs. IEEE Trans. Microw. Theory Tech. 2005, 53, 1431–1442. [Google Scholar] [CrossRef]
- Chen, Z.; Shen, Z. Wideband flush-mounted surface wave antenna of very low profile. IEEE Trans. Antennas Propag. 2015, 63, 2430–2438. [Google Scholar] [CrossRef]
- Jiang, Z.H.; Wu, Q.; Brocker, D.E.; Sieber, P.E.; Werner, D.H. A low-profile high-gain substrate-integrated waveguide slot antenna enabled by an ultrathin anisotropic zero-index metamaterial coating. IEEE Trans. Antennas Propag. 2014, 62, 1173–1184. [Google Scholar] [CrossRef]
- Jiang, Z.H.; Wu, Q.; Werner, D.H. Demonstration of enhanced broadband unidirectional electromagnetic radiation enabled by a subwavelength profile leaky anisotropic zero-index metamaterial coating. Phys. Rev. B 2012, 86, 125131. [Google Scholar] [CrossRef]
- Olyphant, M. Measuring anisotropy in microwave substrates. In Proceedings of the 1979 IEEE MTT-S International Microwave Symposium Digest, Orlando, FL, USA, 30 April–2 May 1979. [Google Scholar]
- Marcatili, E.A.J. Dielectric rectangular waveguide and directional coupler for integrated optics. Bell Syst. Tech. J. 1969, 48, 2071–2102. [Google Scholar] [CrossRef]







© 2018 by the authors. Licensee MDPI, Basel, Switzerland. This article is an open access article distributed under the terms and conditions of the Creative Commons Attribution (CC BY) license (http://creativecommons.org/licenses/by/4.0/).
Share and Cite
Chen, Z.; Shen, Z. Surface Waves Propagating on Grounded Anisotropic Dielectric Slab. Appl. Sci. 2018, 8, 102. https://doi.org/10.3390/app8010102
Chen Z, Shen Z. Surface Waves Propagating on Grounded Anisotropic Dielectric Slab. Applied Sciences. 2018; 8(1):102. https://doi.org/10.3390/app8010102
Chicago/Turabian StyleChen, Zhuozhu, and Zhongxiang Shen. 2018. "Surface Waves Propagating on Grounded Anisotropic Dielectric Slab" Applied Sciences 8, no. 1: 102. https://doi.org/10.3390/app8010102
APA StyleChen, Z., & Shen, Z. (2018). Surface Waves Propagating on Grounded Anisotropic Dielectric Slab. Applied Sciences, 8(1), 102. https://doi.org/10.3390/app8010102
